Dynamic Characteristics Study for Surface Composite of AMMNCs Matrix Fabricated by Friction Stir Process
Abstract
:1. Introduction
2. Experimental Procedure
3. Mechanical Properties
4. Dynamic Characterization
5. Finite Element Model (FEM)
6. Results of Finite Element Model
7. Modal Analysis Results
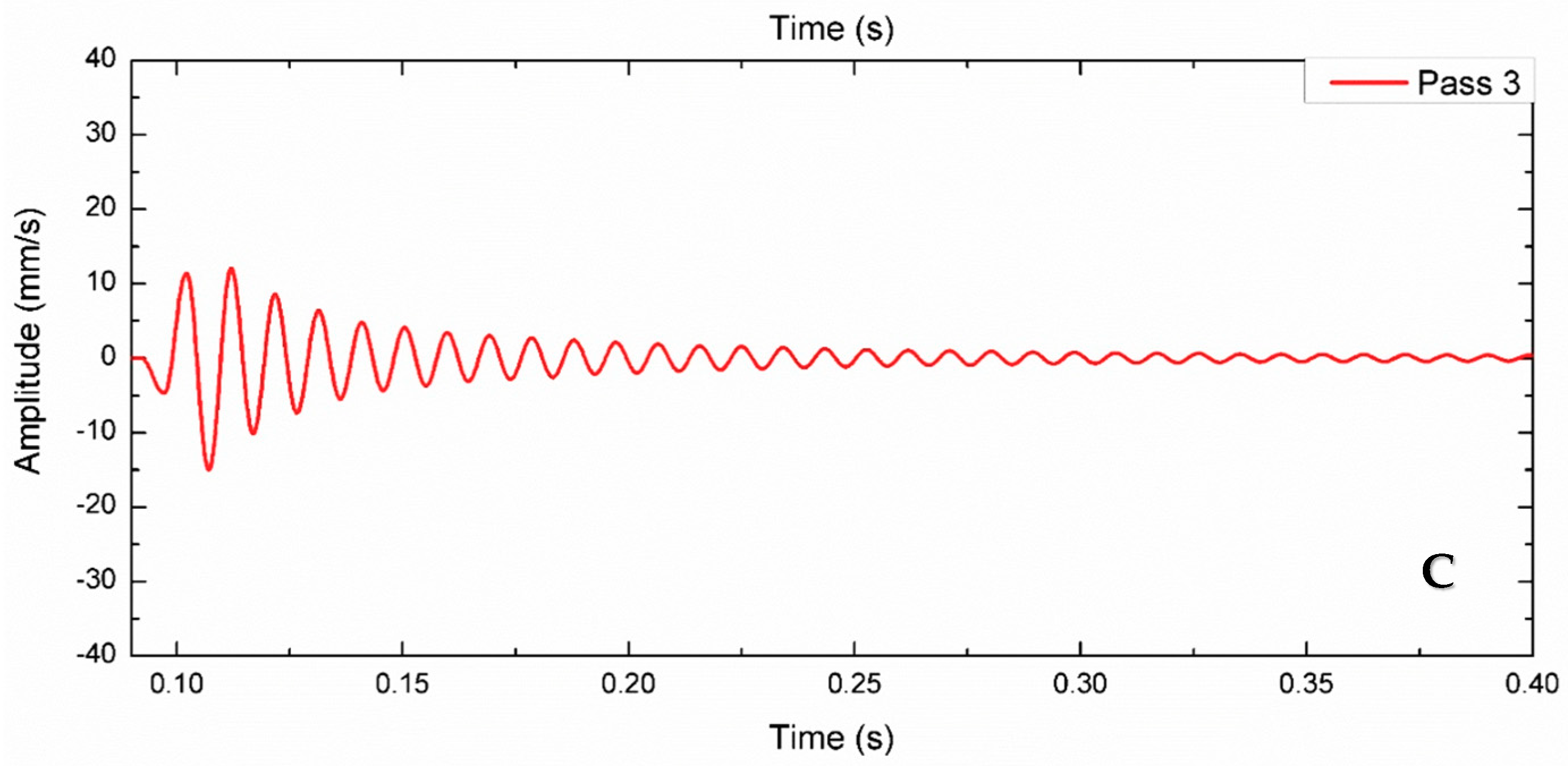
8. Results of Dynamic Properties.
9. Effect of Linear Travel Speed on the Damping Capacity
10. Effect of the Number of FSP Passes on the Damping Capacity
11. Verification of the Dynamic Properties
12. Conclusions
- The natural frequencies obtained by the simulation model were close to the values obtained from the experimental free vibration test.
- The damping capacity for the surface composite beam was enhanced with respect to the base alloy by 44% as it acts as a self-damping material. This is due to the presence of Al2O3 nanoparticles, which are homogenously dispersed in the metal matrix. Furthermore, this damping capacity can be improved by using an increased number of FSP passes.
- A significant improvement in the damping ratio was obtained from the third pass of FSP.
- The dynamic properties were enhanced at a lower feed rate speed, with the optimum values observed at a travel speed of 10 mm/min. This can be explained by the fact that a lower travel speed allows for adequate heating time and homogenous distribution of nanoparticles in the surface composite matrix.
- The results revealed that there is consistency between the dynamic and static engineering Young’s moduli.
Funding
Acknowledgments
Conflicts of Interest
References
- Mishra, R.S.; Ma, Z.Y. Friction stir welding and processing. Mater. Sci. Eng. R Rep. 2005, 50, 1–78. [Google Scholar] [CrossRef]
- Yoo, J.T.; Yoon, J.K.; Min, K.J.; Lee, H.S. Effect of Friction Stir Welding Process Parameters on Mechanical Properties and Macro Structure of Al-Li Alloy. Procedia Manuf. 2015, 2, 325–330. [Google Scholar] [CrossRef]
- Sahraeinejad, S.; Izadi, H.; Haghshenas, M.; Gerlich, A.P. Fabrication of metal matrix composites by friction stir processing with different Particles and processing parameters. Mater. Sci. Eng. A 2015, 626, 505–513. [Google Scholar] [CrossRef]
- Kurt, A.; Uygur, I.; Cete, E. Surface modification of aluminium by friction stir processing. J. Mater. Process. Technol. 2011, 211, 313–317. [Google Scholar] [CrossRef]
- Thangarasu, A.; Murugan, N.; Dinaharan, I.; Vijay, S.J. Synthesis and characterization of titanium carbide particulate reinforced AA6082 aluminium alloy composites via friction stir processing. Arch. Civ. Mech. Eng. 2015, 15, 324–334. [Google Scholar] [CrossRef]
- Nakata, K.; Kim, Y.G.; Fujii, H.; Tsumura, T.; Komazaki, T. Improvement of mechanical properties of aluminum die casting alloy by multi-pass friction stir processing. Mater. Sci. Eng. A 2006, 437, 274–280. [Google Scholar] [CrossRef]
- Anvari, S.R.; Karimzadeh, F.; Enayati, M.H. Wear characteristics of Al–Cr–O surface nano-composite layer fabricated on Al6061 plate by friction stir processing. Wear 2013, 304, 144–151. [Google Scholar] [CrossRef]
- Liu, Z.Y.; Xiao, B.L.; Wang, W.G.; Ma, Z.Y. Analysis of carbon nanotube shortening and composite strengthening in carbon nanotube/aluminum composites fabricated by multi-pass friction stir processing. Carbon 2014, 69, 264–274. [Google Scholar] [CrossRef]
- Nia, A.A.; Omidvar, H.; Nourbakhsh, S.H. Effects of an overlapping multi-pass friction stir process and rapid cooling on the mechanical properties and microstructure of AZ31 magnesium alloy. Mater. Des. 2014, 58, 298–304. [Google Scholar]
- Al-Fadhalah, K.J.; Almazrouee, A.I.; Aloraier, A.S. Microstructure and mechanical properties of multi-pass friction stir processed aluminum alloy 6063. Mater. Des. 2014, 53, 550–560. [Google Scholar] [CrossRef]
- Yang, R.; Zhang, Z.; Zhao, Y.; Chen, G.; Guo, Y.; Liu, M.; Zhang, J. Effect of multi-pass friction stir processing on microstructure and mechanical properties of Al3Ti/A356 composites. Mater. Charact. 2015, 106, 62–69. [Google Scholar] [CrossRef]
- Casati, R.; Wei, X.; Xia, K.; Dellasega, D.; Tuissi, A.; Villa, E. Mechanical and functional properties of ultrafine grained Al wires reinforced by nano-Al2O3 particles. Mater. Des. 2014, 64, 102–109. [Google Scholar] [CrossRef]
- Lu, H. Design, Fabrication, and properties of high damping metal matrix composites—A review. Materials 2009, 2, 958–977. [Google Scholar] [CrossRef]
- Wu, J.J.; Li, C.G.; Wang, D.B.; Gui, M.C. Damping and sound absorption properties of particle reinforced Al matrix composite foams. Compos. Sci. Technol. 2003, 63, 569–574. [Google Scholar]
- Alnefaie, K.A.; Aldousari, S.M.; Khashaba, U.A. New development of self-damping MWCNT composites. Compos. Part A Appl. Sci. Manuf. 2013, 52, 1–11. [Google Scholar] [CrossRef]
- Erdoğan, G.; Bayraktar, F.; Sanliturk, K.Y. Measurement of dynamic properties of materials. In Proceedings of the 32nd International Congress and Exposition on Noise Control Engineering, Seogwipo, Korea, 25–28 August 2003. [Google Scholar]
- Deng, C.F.; Wang, D.Z.; Zhang, X.X.; Ma, Y.X. Damping characteristics of carbon nanotube reinforced aluminum composite. Mater. Lett. 2007, 61, 3229–3231. [Google Scholar] [CrossRef]
- Umashankar, K.S.; Gangadharan, K.V.; Desai, V.; Shivamurthy, B. Fabrication and Investigation of Damping Properties of Nano Particulate Composites. J. Miner. Mater. Charact. Eng. 2010, 9, 819–830. [Google Scholar] [CrossRef]
- Roohnia, M. An Estimation of Dynamic Modulus of Elasticity in Cantilever Flexural Timber Beams. Drvna Ind. 2014, 65, 3–10. [Google Scholar] [CrossRef]
- Ustinov, A.I.; Polishchuk, S.S.; Skorodzievskii, V.S.; Bliznuk, V.V. Effect of grain size on the damping capacity of quasicrystalline Al–Cu–Fe materials. Surf. Coat. Technol. 2008, 202, 5812–5816. [Google Scholar] [CrossRef]
- Madhu, B.V.; Pralhada, R.K.; Girish, D.P. Investigation of Effect of Thermal Stresses on Damping and Thermal Expansion Behavior of Al/Al2O3 Metal Matrix Composites. Bonfring Int. J. Ind. Eng. Manag. Sci. 2012, 2, 131–135. [Google Scholar]
- Ben, B.S.; Ben, B.A.; Adarsh, K.; Vikram, K.A.; Ratnam, C. Damping measurement in composite materials using combined finite element and frequency response method. Int. J. Eng. Sci. Invent. 2013, 89–97. [Google Scholar]
- Koblar, D.; Boltežar, M. Evaluation of the frequency-dependent Young’s modulus and damping factor of rubber from experiment and their implementation in a finite-element analysis. Exp. Tech. 2016, 40, 235–244. [Google Scholar] [CrossRef]
- Cai, C.; Zheng, H.; Khan, M.S.; Hung, K.C. Modeling of material damping properties in ANSYS. In Proceedings of the InCADFEM Users’ Meeting & ANSYS Conference, Singapore, 22 April 2002; pp. 9–11. [Google Scholar]
- Saini, N.; Dwivedi, D.K.; Jain, P.K.; Singh, H. Surface Modification of Cast Al-17%Si Alloys Using Friction Stir Processing. Procedia Eng. 2015, 100, 1522–1531. [Google Scholar] [CrossRef]
- Srikanth, N.; Tun, K.K.; Gupta, M. Finite Element Based Energy Dissipation Studies of Al-SiC Composites. J. Compos. Mater. 2016, 37, 1385–1410. [Google Scholar] [CrossRef]
- Yesilyurt, I.; Gursoy, H. Estimation of elastic and modal parameters in composites using vibration analysis. J. Vib. Control 2013, 21, 509–524. [Google Scholar] [CrossRef]
- Yuvaraj, N.; Aravindan, S. Vipin Fabrication of Al5083/B4C surface composite by friction stir processing and its tribological characterization. J. Mater. Res. Technol. 2015, 4, 398–410. [Google Scholar] [CrossRef]
- Moustafa, E. Effect of Multi-Pass Friction Stir Processing on Mechanical Properties for AA2024/Al2O3 Nanocomposites. Materials (Basel) 2017, 10, 1053. [Google Scholar] [CrossRef] [PubMed]
- Biswal, A.R.; Roy, T.; Behera, R.K.; Pradhan, S.K.; Parida, P.K. Finite Element Based Vibration Analysis of a Nonprismatic Timoshenko Beam with Transverse Open Crack. Procedia Eng. 2016, 144, 226–233. [Google Scholar] [CrossRef]
- Ladeveze, P.; Nedjar, D.; Reynier, M. Updating of finite element models using vibration tests. AIAA J. 1994, 32, 1485–1491. [Google Scholar] [CrossRef]
- Cai, L.W. Vibration Analyses Using Finite Element Method. In Fundamentals of Mechanical Vibrations; Cai, L.W., Ed.; ASME: New York, NY, USA, 2016. [Google Scholar]
- Zamani, H.A.; Aghdam, M.M.; Sadighi, M. Free vibration analysis of thick viscoelastic composite plates on visco-Pasternak foundation using higher-order theory. Compos. Struct. 2017, 182, 25–35. [Google Scholar] [CrossRef]
- Khashaba, U.A. Development and characterization of high performance nano-hybrid GFRE composites for structural applications. Compos. Struct. 2014, 116, 523–534. [Google Scholar] [CrossRef]
- Edson, C.B.; Rogério, A.; Luiz, C.P.; Mirabel, C.R. A Review on the Development and Properties of Continuous Fiber/epoxy/aluminum Hybrid Composites for Aircraft Structures. Mater. Res. 2005, 9, 247–256. [Google Scholar]
- Rao, S.S.; Yap, F.F. Mechanical Vibrations, 5th ed.; Prentice Hall: Upper Saddle River, NJ, USA, 2011. [Google Scholar]
- Morozova, N.N.; Rybak, S.A. Determination of the complex modulus of elasticity of soft viscoelastic materials. Polym. Mech. 1976, 12, 158–160. [Google Scholar] [CrossRef]
- Karthikeyan, L.; Senthilkumar, V.S.; Viswanathan, D.; Natarajan, S. Effect of Low Feed Rate FSP on Microstructure and Mechanical Properties of Extruded Cast 2285 Aluminum Alloy. J. Mater. Sci. Technol. 2007, 23, 614–618. [Google Scholar]
- Patel, V.V.; Badheka, V.; Kumar, A. Influence of Friction Stir Processed Parameters on Superplasticity of Al-Zn-Mg-Cu Alloy. Mater. Manuf. Process. 2016, 31, 1573–1582. [Google Scholar] [CrossRef]
















| Mode | Simulation Model | Experimental Result | ||
|---|---|---|---|---|
| Fully Composite (Hz) | Surface Composite (Hz) | Base Material (Hz) | Surface Composite (Hz) | |
| 1. | 110.6 | 108.34 | 102.55 | 104 |
| 2. | 802.17 | 772.85 | 743.78 | 762 |
| 3. | 1260.7 | 1225.6 | 1168.9 | 1335.9 |
| Speed RPM | Natural Frequency (Hz) | Damping Ratio (ζ) | Loss Factor (η) | Storage Modulus (E′) GPa | Loss Modulus (E″) | Complex Modulus (E*) GPa | Shear Modulus (G) GPa | Number of Passes | Static Young’s Modulus GPa |
|---|---|---|---|---|---|---|---|---|---|
| Base alloy | 101 | 1.71 | 0.0342 | 61.754412 | 2.1120009 | 61.790517 | 23.25354 | - | 59.94788221 |
| 900 | 100 | 3.85867 | 0.077173 | 60.7621471 | 4.689221 | 60.94282 | 22.84291 | 3 | 61.3297661 |
| 1100 | 109 | 4.09065 | 0.081813 | 69.45885 | 4.34257 | 69.59447 | 26.11235 | 3 | 71.01231 |
| 1400 | 98 | 4.19065 | 0.08381 | 57.81953 | 4.846028 | 58.02225 | 21.73667 | 3 | 58.1162103 |
| 1800 | 95 | 3.4175 | 0.06835 | 50.5553034 | 3.455455 | 50.67326 | 19.00575 | 3 | 45.61504421 |
© 2018 by the author. Licensee MDPI, Basel, Switzerland. This article is an open access article distributed under the terms and conditions of the Creative Commons Attribution (CC BY) license (http://creativecommons.org/licenses/by/4.0/).
Share and Cite
Moustafa, E.B. Dynamic Characteristics Study for Surface Composite of AMMNCs Matrix Fabricated by Friction Stir Process. Materials 2018, 11, 1240. https://doi.org/10.3390/ma11071240
Moustafa EB. Dynamic Characteristics Study for Surface Composite of AMMNCs Matrix Fabricated by Friction Stir Process. Materials. 2018; 11(7):1240. https://doi.org/10.3390/ma11071240
Chicago/Turabian StyleMoustafa, Essam B. 2018. "Dynamic Characteristics Study for Surface Composite of AMMNCs Matrix Fabricated by Friction Stir Process" Materials 11, no. 7: 1240. https://doi.org/10.3390/ma11071240
APA StyleMoustafa, E. B. (2018). Dynamic Characteristics Study for Surface Composite of AMMNCs Matrix Fabricated by Friction Stir Process. Materials, 11(7), 1240. https://doi.org/10.3390/ma11071240