The Microstructure-Mechanical Properties of Hybrid Fibres-Reinforced Self-Compacting Lightweight Concrete with Perlite Aggregate
Abstract
1. Introduction
2. Materials and Methods
2.1. Aim and Scope of the Experiment
2.2. Materials
2.3. Methods
2.3.1. Research Characteristics of Concrete Mixtures
2.3.2. Research Characteristics of Hardened Concrete
3. Results
3.1. Properties of Concrete Mixture
3.2. Properties of Hybrid Fibres-Reinforced Self-Compacting Lightweight Concrete
3.3. Microstructure of Hybrid Fibres-Reinforced Self-Compacting Lightweight Concrete
4. Discussion
4.1. Properties of Concrete Mixtures
4.2. Properties of Hybrid Fibres-Reinforced Self-Compacting Lightweight Concrete
4.3. Microstructure of Hybrid Fibres-Reinforced Self-Compacting Lightweight Concrete
5. Conclusions
- Fibre-reinforced concretes, both with basalt and steel fibres, are characterised with greater porosity and absorptivity as well as much lower compressive strength in relation to the concretes without fibres addition. The lowest strength values were obtained for the concretes with BF addition. Microstructural studies showed that this is connected with the ITZ structure between fibres and cement slurry.
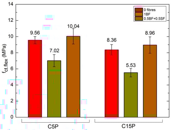
- Adding BF alone reduces the flexural strength by 27% in relation to C5P0 and by 34% compared to C15P0. However, if a combination of fibres involving 0.5% BF + 0.5% BS is applied, then the flexural strength improves—by 5% in C5P50b50s and by 6% in C15P50b50s, in relation to C5P0 and C15P0, respectively.
- As the addition of perlite increases, the absorptivity and frost resistance of considered concretes deteriorates. An improvement in frost resistance can be achieved by the application of BF in the amount of 1%. Utilising a combination of basalt and steel fibres no longer yields satisfactory results.
- The content of steel fibres significantly influences the increase in the air content within the concrete mixture, regardless of the perlite content. The air content in the mixture with steel and basalt fibres is 8% higher than in the mixture with basalt fibres, on average.
- The microstructural studies showed a much better ITZ structure of cement paste with perlite aggregate in relation to the granite aggregate. In turn, the ITZ between cement paste and fibres depends on their type. The cement paste exhibits good bonding with the steel fibres, there were no micro-cracks or micro-fractures. The ITZ between SF and cement slurry is significantly better than in the case of BF.
- The highest frost resistance was observed in the case of SCLC, which contain basalt fibres, rather than SF. Despite an increased porosity and absorptivity of SCLC with BF, thin fibres bridge cracks, protecting the concrete against frost damage; therefore, in the case of concrete intended for outdoor applications, the C5P1b concrete is recommended.
- In cases when concrete is to be applied indoors and the resistance to F-T cycles is not necessary, the SCLC concrete with the highest strength parameters, i.e., C5P50b50s is recommended.
Author Contributions
Funding
Acknowledgments
Conflicts of Interest
References
- Naik, P.P.; Vyawahare, M.R. Strength and durability investigations on self-consolidated concrete with pozzolanic filler and inert filler. Int. J. Eng. Res. Technol. 2013, 2, 3144–3150. [Google Scholar]
- Gesoğlu, M.; Güneyisi, E.; Kocabağ, M.E.; Bayram, V.; Mermerdaş, K. Fresh and hardened characteristics of self-compacting concretes made with combined use of marble powder, limestone filler, and fly ash. Constr. Build. Mater. 2012, 7, 160–170. [Google Scholar] [CrossRef]
- Sadek, D.M.; El-Attar, M.M.; Ali, H.A. Reusing of marble and granite powders in self-compacting concrete for sustainable development. J. Clean. Prod. 2016, 121, 19–32. [Google Scholar] [CrossRef]
- Petermann Moretti, J.; Nunes, S.; Sales, A. Self-compacting concrete incorporating sugarcane bagasse ash. Constr. Build. Mater. 2018, 172, 635–649. [Google Scholar] [CrossRef]
- Kaszyńska, M. Early Age Properties of SCC. In Proceedings of the Combining the Second North American Conference on the Design and Use of Self-Consolidating Concrete and the Fourth International RILEM Symposium on Self-Compacting Concrete, Chicago, IL, USA, 15–18 May 2005. [Google Scholar]
- American Concrete Institute. ACI 238.1R-08—Report on Measurements of Workability and Rheology of Fresh Concrete; American Concrete Institute: Farmington Hills, MI, USA, 2008. [Google Scholar]
- European Research Project Testing-SCC. Guidelines for Testing Fresh Self—Compacting Concrete. European Research Project Testing-SCC, No. GRD2-2000-30024. 2005. Available online: https://www.google.com/url?sa=t&rct=j&q=&esrc=s&source=web&cd=1&ved=0ahUKEwjVqsa83fLbAhWDd94KHZpPAN8QFgglMAA&url=https%3A%2F%2Fwww.researchgate.net%2Ffile.PostFileLoader.html%3Fid%3D549a98cdd685cc92758b4675%26assetKey%3DAS%253A273657778114563%25401442256506810&usg=AOvVaw0LvJSYX2qtC7UF3RAPm8Vq (accessed on 28 May 2018).
- Al-Mishhadani, S.A.; Al-Rubaie, M.F. A data base for self-compacting concrete in Iraq. Eng. Technol. J. 2009, 27, 1203–1218. [Google Scholar]
- Nehdi, M.; Pardhan, M.; Koshowski, S. Durability of self-consolidating concrete incorporating high-volume replacement composite cements. Cem. Concr. Res. 2004, 34, 2103–2112. [Google Scholar] [CrossRef]
- Kaszyńska, M.; Zieliński, A. Effect of lightweight aggregate on minimizing autogenous shrinkage in Self-Consolidating Concrete. Procedia Eng. 2015, 108, 608–615. [Google Scholar] [CrossRef]
- Kaszyńska, M.; Zielinski, A. Restrained Shrinkage Cracking Performance of Lightweight Self-Consolidating Concrete. In Proceedings of the Fifth North Conference on the Design and Use of Self-Consolidating Concrete, Chicago, IL, USA, 12–15 May 2013. [Google Scholar]
- Kaszyńska, M.; Zielinski, A. Influence of mixture composition on shrinkage cracking of lightweight self-consolidating concrete. Brittle Matrix Compos. 2012, 10, 265–274. [Google Scholar] [CrossRef]
- Aslani, F.; Ma, G.; Wan, D.L.Y.; Muselin, G. Development of high-performance self-compacting concrete using waste recycled concrete aggregates and rubber granules. J. Clean. Prod. 2018, 182, 553–566. [Google Scholar] [CrossRef]
- Nepomuceno, M.C.S.; Pereira-de-Oliveira, L.A.; Sandrine, S.F. Mix design of structural lightweight self-compacting concrete incorporating coarse lightweight expanded clay aggregates. Constr. Build. Mater. 2018, 166, 373–385. [Google Scholar] [CrossRef]
- Shafigha, P.; Chaic, L.J.; Mahmudc, H.B.; Mohammad, A. A comparison study of the fresh and hardened properties of normal weight and lightweight aggregate concretes. J. Build. Eng. 2018, 15, 252–260. [Google Scholar] [CrossRef]
- Topçu, I.B.; Uygunoğlu, T. Effect of aggregate type on properties of hardened self-consolidating lightweight concrete (SCLC). Constr. Build. Mater. 2010, 24, 1286–1295. [Google Scholar] [CrossRef]
- Yang, S.; Yue, X.; Liu, X.; Tong, Y. Properties of self-compacting lightweight concrete containing recycled plastic particles. Constr. Build. Mater. 2015, 84, 444–453. [Google Scholar] [CrossRef]
- Aslani, F.; Natoori, M. Stress-strain Relationships for steel fibre reinforced self-compacting concrete. Struct. Eng. Mech. 2013, 46, 295–322. [Google Scholar] [CrossRef]
- Aslani, F.; Nejadi, S. Mechanical properties of conventional and selfcompacting concrete: An analytical study. Constr. Build. Mater. 2012, 36, 330–347. [Google Scholar] [CrossRef]
- Aslani, F.; Nejadi, S. Bond characteristics of steel fibre reinforced self-compacting concrete. Can. J. Civ. Eng. 2012, 39, 834–848. [Google Scholar] [CrossRef]
- Afroughsabet, V.; Ozbakkaloglu, T. Mechanical and durability properties of high-strength concrete containing steel and polypropylene fibers. Constr. Build. Mater. 2015, 94, 73–82. [Google Scholar] [CrossRef]
- Ralegaonkar, R.; Gavali, H.; Aswath, P.; Abolmaali, S. Application of chopped basalt fibers in reinforced mortar, A review. Constr. Build. Mater. 2018, 164, 589–602. [Google Scholar] [CrossRef]
- Jiang, C.; Huang, S.; Zhu, Y.; Lin, Y.; Chen, D. Effect of polypropylene and basalt fiber on the behavior of mortars for repair applications. Adv. Mater. Sci. Eng. 2016, 1–11. [Google Scholar] [CrossRef]
- Santarelli, M.L.; Sbardella, F.; Zuena, M.; Tirillo, J.; Sarasini, F. Basalt fiber reinforced natural hydraulic lime mortars: A potential bio-based material for restoration. Mater. Des. 2014, 63, 398–406. [Google Scholar] [CrossRef]
- Barnat-Hunek, D.; Smarzewski, P. Influence of hydrophobisation on surface free energy of hybrid fiber reinforced ultra-high performance concrete. Constr. Build. Mater. 2016, 1, 367–377. [Google Scholar] [CrossRef]
- Barnat-Hunek, D.; Łagód, G.; Fic, S.; Jaorsz-Hadam, M. Effect of Polysiloxanes on Roughness and Durability of Basalt Fibres–Reinforced Cement Mortar. Polymers 2018, 10, 420. [Google Scholar] [CrossRef]
- Smarzewski, P.; Barnat-Hunek, D. Effect of Fiber Hybridization on Durability Related Properties of Ultra-High Performance Concrete. Int. J. Concr. Struct. Mater. 2017, 11, 315–325. [Google Scholar] [CrossRef]
- Sun, W.; Qian, H.; Chen, H. The effect of the combination of hybrid fibers and expansive agent on the physical properties of cementitious composites. J. Chin. Ceram. Soc. 2000, 2, 95–99. [Google Scholar]
- Gao, D.; Zhao, J.; Zhu, H. Design and Application of Steel Fiber Reinforced Concrete; China Building Industry Press: Beijing, China, 2002. [Google Scholar]
- Colombo, I.G.; Colombo, M.; Di Prisco, M. Tensile behavior of textile reinforced concrete subjected to freezing–thawing cycles in un-cracked and cracked regimes. Cem. Concr. Res. 2015, 73, 169–183. [Google Scholar] [CrossRef]
- Piasta, W.; Zarzycki, B. The effect of cement paste volume and w/c ratio on shrinkage strain, water absorption and compressive strength of high performance concrete. Constr. Build. Mater. 2017, 140, 395–402. [Google Scholar] [CrossRef]
- Piasta, W.; Góra, J.; Turkiewicz, T. Properties and durability of coarse igneous rock aggregates and concretes. Constr. Build. Mater. 2016, 126, 119–129. [Google Scholar] [CrossRef]
- Sivakumar, A.; Santhanam, M. A quantitative study on the plastic shrinkage cracking in high strength hybrid fibre reinforced concrete. Cem. Concr. Compos. 2007, 29, 575–581. [Google Scholar] [CrossRef]
- Suchorab, Z.; Barnat-Hunek, D.; Franus, M.; Łagod, G. Mechanical and physical properties of hydrophobized lightweight aggregate concrete with sewage sludge. Materials 2016, 9, 317. [Google Scholar] [CrossRef] [PubMed]
- Dawood, E.T.; Ramli, M. Development of high strength flowable mortar with hybrid fiber. Constr. Build. Mater. 2010, 24, 1043–1050. [Google Scholar] [CrossRef]
- Yang, K.H. Test on concrete reinforced with hybrid or monolithic steel and polyvinyl alcohol fibers. ACI Mater. J. 2011, 108, 664–672. [Google Scholar]
- Farooq, M.; Banthia, N. An innovative FRP fibre for concrete reinforcement: Production of fibre, micromechanics, and durability. Constr. Build. Mater. 2018, 172, 406–421. [Google Scholar] [CrossRef]
- Piasta, W.; Góra, J.; Budzyński, W. Stress-strain relationships and modulus of elasticity of rocks and of ordinary and high performance concretes. Constr. Build. Mater. 2017, 153, 728–739. [Google Scholar] [CrossRef]
- Klimek, B.; Widomski, M.K.; Barnat-Hunek, D. Influence of aggregate type and chemical admixtures on frost resistance of lightweight mortars. In AIP Conference Proceedings, Proceedings of the 22nd International Meeting of Thermophysics 2017 and 4th Meeting of EnRe 2017 (THERMOPHYSICS 2017), Terchova, Slovakia, 12–14 September 2017; AIP Publishing LLC: Terchova, Slovakia, 2017; Volume 1866. [Google Scholar]
- Smarzewski, P.; Barnat-Hunek, D. Mechanical and durability related properties of high performance concrete made with coal cinder and waste foundry sand. Constr. Build. Mater. 2016, 121, 9–17. [Google Scholar] [CrossRef]
- Sadrmomtazi, A.; Tahmouresi, B.; Saradar, A. Effects of silica fume on mechanical strength and microstructure of basalt fiber reinforced cementitious composites (BFRCC). Constr. Build. Mater. 2018, 162, 321–333. [Google Scholar] [CrossRef]
- Singh, G.; Siddique, R. Effect of waste foundry sand (WFS) as partial replacement of sand on the strength, ultrasonic pulse velocity and permeability of concrete. Constr. Build. Mater. 2012, 26, 416–422. [Google Scholar] [CrossRef]
- Jian-jun, L.; Ying, M.; Yan-chun, L. The performance of green basalt fiber and its application in the civil engineering field. Appl. Mech. Mater. 2012, 193–194, 548–552. [Google Scholar] [CrossRef]
- Kamiya, S.; Tanaka, I.; Imamura, K.; Sasaki, H.; Nakagawa, N. Basalt Fiber Material. U.S. Patent US7,767,603 B2, 3 August 2010. [Google Scholar]
- Polish Committee for Standardization. PN-EN 934-2 + A1:2012. Admixtures for Concrete, Mortar and Grout-Part 2: Concrete Admixtures-Definitions, Requirements, Conformity, Marking and Labelling; PKN: Warsaw, Poland, 2012. [Google Scholar]
- Sika Poland. Available online: Pol.sika.com (accessed on 28 May 2018).
- Polish Committee for Standardization. PN-EN 206 + A1:2016-12. Concrete-Specification, Performance, Production and Conformity; PKN: Warsaw, Poland, 2016. [Google Scholar]
- ASTM International. ASTM C1611/C1611M-09be1. Standard Test Method for Slump Flow of Self-Consolidating Concrete; ASTM International: West Conshohocken, PA, USA, 2009. [Google Scholar]
- Polish Committee for Standardization. PN-EN 12350-7:2011. Testing Fresh Concrete-Part 7: Air Content-Pressure Methods; PKN: Warsaw, Poland, 2011. [Google Scholar]
- Polish Committee for Standardization. PN-B-06250:1988. Normal Concrete; PKN: Warsaw, Poland, 1988. [Google Scholar]
- Rigby, S.P.; Fletcher, R.S.; Riley, S.N. Characterisations of porous solids using integrated nitrogen sorption and mercury porosimetry. Chem. Eng. Sci. 2004, 59, 41–51. [Google Scholar] [CrossRef]
- Sidney, D. Mercury porosimetry: An inappropriate method for the measurement of pore size distributions in cement-based materials. Cem. Concr. Res. 2000, 30, 1517–1525. [Google Scholar] [CrossRef]
- Polish Committee for Standardization. PN-EN 12390-5:2011. Testing Hardened Concrete-Part 5: Flexural Strength of Test Specimens; PKN: Warsaw, Poland, 2011. [Google Scholar]
- Polish Committee for Standardization. PN-EN 12390-3:2011. Testing Hardened Concrete-Part 3: Compressive Strength of Test Specimens; PKN: Warsaw, Poland, 2011. [Google Scholar]
- Bandi, S.M.; Patel, Y.J.; Vyas, V.H. Study on Fresh and Hardened Properties of Self Compacted Concrete Using Recycled Concrete Aggregate. Int. J. Innov. Res. Sci. Eng. Technol. 2016, 5. [Google Scholar] [CrossRef]
- Fagerlund, G. Studies of the Destruction Mechanism at Freezing of Porous Materials: Paper Presented at Fondation Française d’Études Nordiques, the 6th International Congress on Problems Raised by Frost Action, Le Havre, April 23 to 25, 1975; Swedish Cement and Concrete Research Institute: Stockholm, Sweden, 1976. [Google Scholar]
- Pigeon, M.; Pleau, R. Durability of Concrete in Cold Climates; E&FN Spon: London, UK, 2010. [Google Scholar]
- Nataraja, M.C.; Nagaraj, T.S.; Bhavanishankar, S.; Ramalinga Reddy, B.M. Proportioning cement based composites with burnt coal cinder. Mater. Struct. 2007, 40, 543–552. [Google Scholar] [CrossRef]
- Franus, W.; Panek, R.; Wdowin, M. SEM Investigation of Microstructures in Hydration Products of Portland Cement. In 2nd International Multidisciplinary Microscopy and Microanalysis Congress; Part of the Springer Proceedings in Physics Book Series (SPPHY); Springer: Berlin, Germany, 2014; Volume 164, pp. 105–112. [Google Scholar]
- Tosun, K.; Baradan, B. Effect of ettringite morphology on DEF-related expansion. Cem. Concr. Compos. 2010, 32, 271–280. [Google Scholar] [CrossRef]
- Ceesay, J. The Influence of Exposure Conditions on Delayed Ettringite Formation in Mortar Specimens. Master’s Thesis, University of Maryland, College Park, MD, USA, 2004. [Google Scholar]
- Dubberke, W.; Delayed Ettringite Reaction (DEF). Observations, Comments and Opinions. Available online: http://www.angelfire.com/ia/concrete/page5.html (accessed on 28 May 2018).











| Compound | CaO | SiO2 | Al2O3 | Fe2O3 | MgO | Na2O | K2O | Na2Oeq |
|---|---|---|---|---|---|---|---|---|
| Content | 64.64 | 20.22 | 4.37 | 3.33 | 1.20 | 0.26 | 0.50 | 0.59 |
| Le Chatelier (mm) | Spec. Surface (cm2·g−1) | Spec. Gravity (kg·dm−3) | Initial Setting Time (min) | Heat of Hydr. (J·g−1) * | 2-Day Compr. Strength (MPa) | 28-Day Compr. Strength (MPa) |
|---|---|---|---|---|---|---|
| 1.1 | 4110 | 3.09 | 170 | 308 | 29.9 | 59.9 |
| Components | Unit | C5P0 | C5P1b | C5P50b50s | C15P0 | C15P1b | C15P50b50s |
|---|---|---|---|---|---|---|---|
| Portland cement CEM I 42.5 R | (kg·m−3) | 461 | 461 | 461 | 461 | 461 | 461 |
| Silica fume | (kg·m−3) | 40 | 40 | 40 | 40 | 40 | 40 |
| Granite aggregate (2/8 mm) | (kg·m−3) | 936 | 936 | 936 | 936 | 936 | 936 |
| Quartz sand (0/2 mm) | (kg·m−3) | 664 | 637 | 637 | 594 | 567 | 567 |
| Perlite (0/2 mm) | (kg·m−3) | 1.25 | 1.25 | 1.25 | 3.76 | 3.76 | 3.76 |
| Perlite (0/2 mm) | (%) | 5 | 5 | 5 | 15 | 15 | 15 |
| Water | (l·m−3) | 208.4 | 208.2 | 208.2 | 208.2 | 208.2 | 208.2 |
| Superplasticiser | (kg·m−3) | 7.60 | 7.91 | 8.35 | 7.82 | 8.10 | 8.78 |
| Steel fibres (SF) | (kg·m−3) | - | - | 39.25 | - | - | 39.25 |
| Steel fibres (SF) | (%) | - | - | 0.5 | - | - | 0.5 |
| Basalt fibres (BF) | (kg·m−3) | - | 26.7 | 13.35 | - | 26.7 | 13.35 |
| Basalt fibres (BF) | (%) | - | 1 | 0.5 | - | 1 | 0.5 |
| w/c | - | 0.45 | 0.45 | 0.45 | 0.45 | 0.45 | 0.45 |
| w/b | - | 0.41 | 0.41 | 0.41 | 0.41 | 0.41 | 0.41 |
| Parameters | Unit | Value | Parameters | Unit | Value |
|---|---|---|---|---|---|
| Hardness on the Mohs scale | (−) | 8.5 | Moisture absorption | (%) | <0.1 |
| Elongation to fracture | (%) | 2.4–3.1 | Coefficient of linear thermal expansion | (K−1) | 5.5 × 10−7 |
| Softening temperature | (°C) | 960 | Specific heat capacity | (kJ∙kg−1·K−1) | 0.86 |
| Modulus of elasticity | (GPa) | 89–110 | Constant operating temperature | (°C) | 680 |
| Tensile strength | (MPa) | 2800–4500 | Melting temperature | (°C) | 1450 |
| Thermal conductivity | (W∙m−1·K−1) | 1.67 | Operating temperature range | (°C) | –260 to +750 |
| Density | (kg·m−3) | 2670 | Coefficient of thermal conductivity | (W∙m−1·K−1) | 0.031–0.038 |
| Class | Slump-Flow SF a (mm) |
|---|---|
| SF1 | 550–650 |
| SF2 | 660–750 |
| SF3 | 760–850 |
| Class | t500a, (s) |
|---|---|
| VS1 | <2 |
| VS2 | ≥2 |
| VSI | Mixture Assessment | Criterion |
|---|---|---|
| 0 | Very stable | No visible segregation and no slurry leakage |
| 1 | Stable | No visible segregation, small slurry leakage |
| 2 | Unstable | Small segregation, large slurry leakage, small mortar leakage (film up to 10 mm) |
| 3 | Very unstable | Visible segregation, pile of aggregate in the centre of the mixture patch, large mortar leakage (over 10 mm), large slurry leakage |
| Mixtures | Slump-Flow Consistency | Air Content (%) | |||||
|---|---|---|---|---|---|---|---|
| (Abrams Cone) SF (mm) | SF Class | Visual Stability Index VSI (%) | VSI Class | t500 (s) | Viscosity Class t500 | ||
| C5P0 | 750 | SF2 | unstable | 2 | 2 | VS2 | 2.6 |
| C5P1b | 660 | SF2 | stable | 1 | 3 | VS2 | 5.5 |
| C5P50b50s | 550 | SF1 | stable | 1 | 4.3 | VS2 | 6.0 |
| C15P0 | 750 | SF2 | stable | 1 | 2.5 | VS2 | 3.2 |
| C15P1b | 680 | SF2 | stable | 1 | 3.2 | VS2 | 5.8 |
| C15P50b50s | 550 | SF1 | very stable | 0 | 4.7 | VS2 | 6.2 |
| Parameters | Unit | C5P0 | C5P1b | C5P50b50s | C15P0 | C15P1b | C15P50b50s |
|---|---|---|---|---|---|---|---|
| Volumetric density | (g·cm−3) | 2.172 | 1.732 | 1.687 | 1.989 | 1.575 | 1.552 |
| Open porosity | (%) | 16.91 | 23.11 | 21.95 | 23.88 | 27.83 | 26.65 |
| Water absorption by weight | (%) | 6.58 | 11.27 | 12.31 | 10.64 | 14.25 | 15.57 |
| Frost resistance: mass loss after 50 F-T cycles | (%) | 2.1 | 0.03 | 2.8 | 7.88 | 1.39 | 2.02 |
| Reduction in strength after 50 F-T cycles | (%) | 1.3 | 0.4 | 4.0 | 8.1 | 3.2 | 9.2 |
| Flexural tensile strength fct,flex after 28 days | (MPa) | 9.56 | 7.02 | 10.04 | 8.36 | 5.53 | 8.96 |
| Compressive strength fc,cube#100 after 7 days | (MPa) | 67.28 | 21.85 | 42.67 | 50.66 | 11.64 | 35.84 |
| Compressive strength fc,cube#100 after 28 days | (MPa) | 74.63 | 31.38 | 54.03 | 68.32 | 26.23 | 52.77 |
© 2018 by the authors. Licensee MDPI, Basel, Switzerland. This article is an open access article distributed under the terms and conditions of the Creative Commons Attribution (CC BY) license (http://creativecommons.org/licenses/by/4.0/).
Share and Cite
Barnat-Hunek, D.; Góra, J.; Andrzejuk, W.; Łagód, G. The Microstructure-Mechanical Properties of Hybrid Fibres-Reinforced Self-Compacting Lightweight Concrete with Perlite Aggregate. Materials 2018, 11, 1093. https://doi.org/10.3390/ma11071093
Barnat-Hunek D, Góra J, Andrzejuk W, Łagód G. The Microstructure-Mechanical Properties of Hybrid Fibres-Reinforced Self-Compacting Lightweight Concrete with Perlite Aggregate. Materials. 2018; 11(7):1093. https://doi.org/10.3390/ma11071093
Chicago/Turabian StyleBarnat-Hunek, Danuta, Jacek Góra, Wojciech Andrzejuk, and Grzegorz Łagód. 2018. "The Microstructure-Mechanical Properties of Hybrid Fibres-Reinforced Self-Compacting Lightweight Concrete with Perlite Aggregate" Materials 11, no. 7: 1093. https://doi.org/10.3390/ma11071093
APA StyleBarnat-Hunek, D., Góra, J., Andrzejuk, W., & Łagód, G. (2018). The Microstructure-Mechanical Properties of Hybrid Fibres-Reinforced Self-Compacting Lightweight Concrete with Perlite Aggregate. Materials, 11(7), 1093. https://doi.org/10.3390/ma11071093

