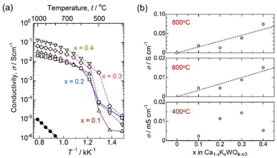
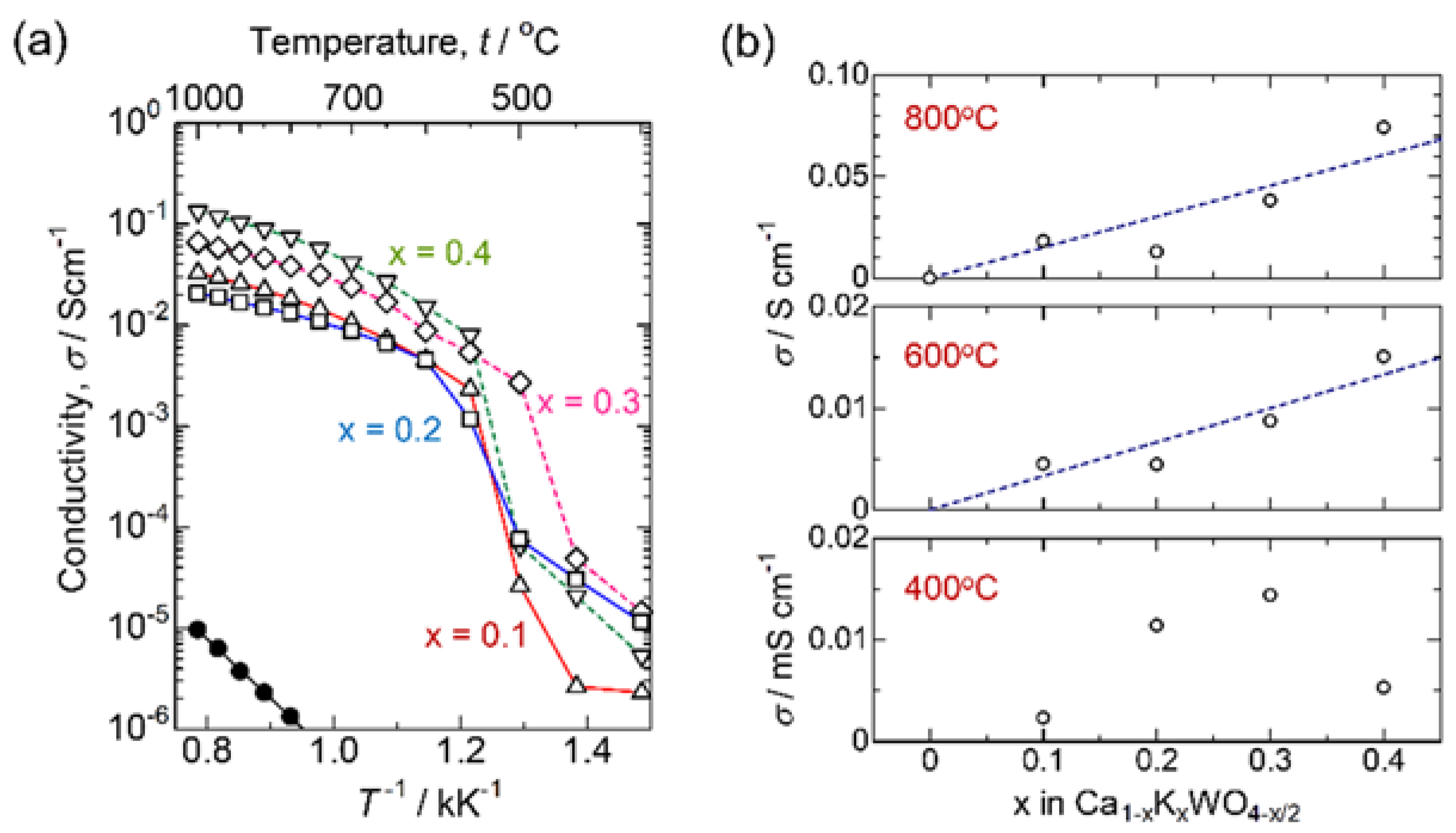
Defect Structure and Oxide Ion Conduction of Potassium Ion Substituted CaWO4
Takai, S.; Shitaune, S.; Sano, T.; Kawaji, H.; Yabutsuka, T.; Esaka, T.; Yao, T. Defect Structure and Oxide Ion Conduction of Potassium Ion Substituted CaWO4. Materials 2018, 11, 1092. https://doi.org/10.3390/ma11071092
Takai S, Shitaune S, Sano T, Kawaji H, Yabutsuka T, Esaka T, Yao T. Defect Structure and Oxide Ion Conduction of Potassium Ion Substituted CaWO4. Materials. 2018; 11(7):1092. https://doi.org/10.3390/ma11071092
Chicago/Turabian StyleTakai, Shigeomi, Shinya Shitaune, Toshifumi Sano, Hitoshi Kawaji, Takeshi Yabutsuka, Takao Esaka, and Takeshi Yao. 2018. "Defect Structure and Oxide Ion Conduction of Potassium Ion Substituted CaWO4" Materials 11, no. 7: 1092. https://doi.org/10.3390/ma11071092


