Au and AuCu Nanoparticles Supported on SBA-15 Ordered Mesoporous Titania-Silica as Catalysts for Methylene Blue Photodegradation
Abstract
1. Introduction
2. Materials and Methods
2.1. Materials
2.2. Synthesis of Catalysts
2.3. Characterization of Catalysts
2.4. Photocatalytic Activity
3. Results
3.1. Photocatalytic Activity
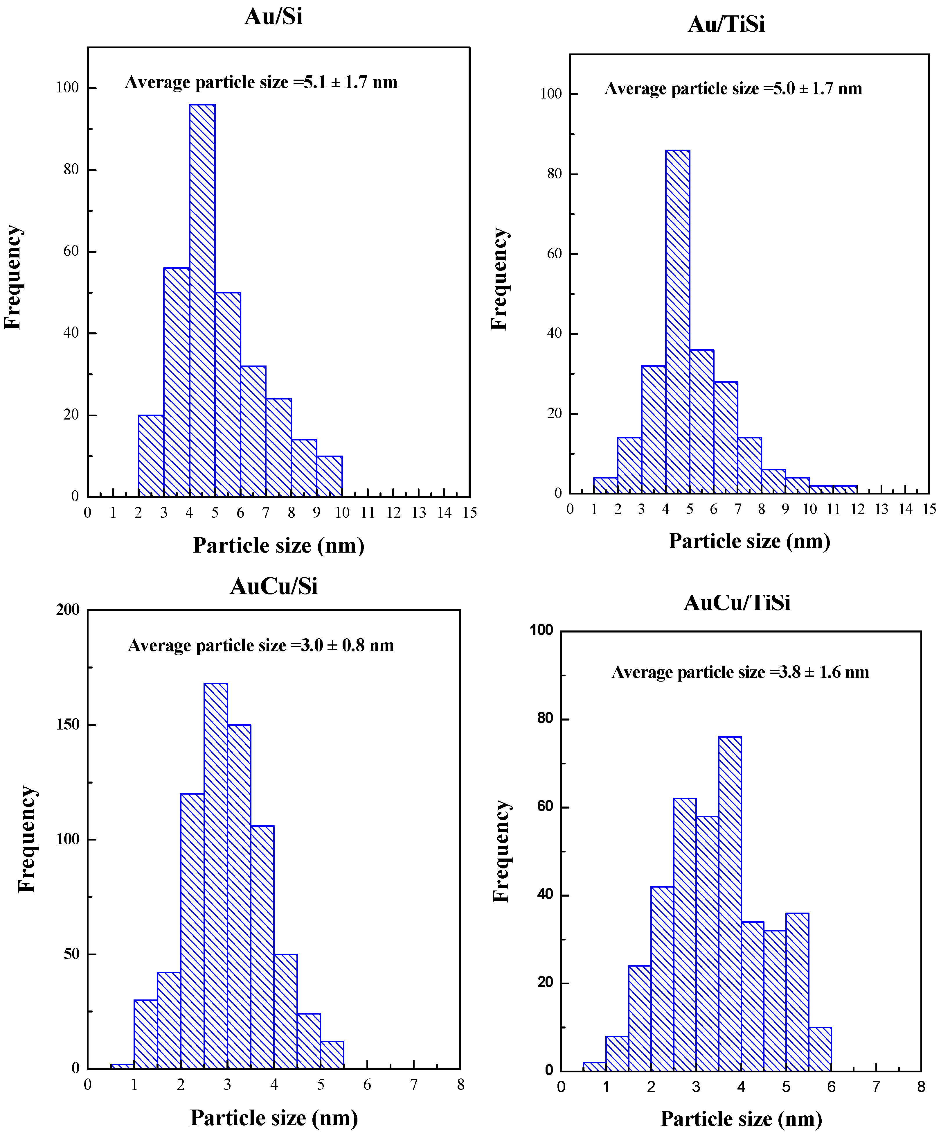
3.2. Characterization Results
4. Discussion
5. Conclusions
Author Contributions
Funding
Acknowledgments
Conflicts of Interest
References
- Ghuge, S.P.; Saroha, A.K. Catalytic ozonation for the treatment of synthetic and industrial effluents—Application of mesoporous materials: A review. J. Environ. Manag. 2018, 211, 83–102. [Google Scholar] [CrossRef] [PubMed]
- Ahmed, S.; Rasul, M.G.; Brown, R.; Hashib, M.A. Influence of parameters on the heterogeneous photocatalytic degradation of pesticides and phenolic contaminants in wastewater: A short review. J. Environ. Manag. 2011, 92, 311–330. [Google Scholar] [CrossRef] [PubMed]
- Rochkind, M.; Pasternak, S.; Paz, Y. Using Dyes for Evaluating Photocatalytic Properties: A Critical Review. Molecules 2014, 20, 88–110. [Google Scholar] [CrossRef] [PubMed]
- Paschoal, F.M.M.; Anderson, M.A.; Zanoni, M.V.B. Simultaneous removal of chromium and leather dye from simulated tannery effluent by photoelectrochemistry. J. Hazard. Mater. 2009, 166, 531–537. [Google Scholar] [CrossRef] [PubMed]
- Ahammad, S.Z.; Yakubu, A.; Rodriguez, D.C.; Dolfing, J.; Graham, D.W. Source separation increases methane yields for waste-to-energy applications in the personal care product industry. Chem. Eng. J. 2014, 244, 195–201. [Google Scholar] [CrossRef]
- Paz, Y.; Luo, Z.; Rabenberg, L.; Heller, A. Photooxidative self-cleaning transparent titanium dioxide films on glass. J. Mater. Res. 1995, 10, 2842–2848. [Google Scholar] [CrossRef]
- Rome’as, V.; Pichat, P.; Guillard, C.; Chopin, T.; Lehaut, C. Degradation of palmitic (hexadecanoic) acid deposited on TiO2-coated self-cleaning glass: Kinetics of disappearance, intermediate products and degradation pathways. New J. Chem. 1999, 23, 365–374. [Google Scholar] [CrossRef]
- Mills, A.; Hill, C.; Robertson, P.K.J. Overview of the current ISO tests for photocatalytic materials. J. Photochem. Photobiol. A Chem. 2012, 237, 7–23. [Google Scholar] [CrossRef]
- Murugan, K.; Rao, T.N.; Gandhi, A.S.; Murty, B.S. Effect of aggregation of methylene blue dye on TiO2 surface in self-cleaning studies. Catal. Commun. 2010, 11, 518–521. [Google Scholar] [CrossRef]
- Hamaloğlu, K.Ö.; Sağ, E.; Bilir, A.; Tuncel, A. Monodisperse-porous titania microspheres and their gold decorated forms as new photocatalysts for dye degradation in batch fashion. Mater. Chem. Phys. 2018, 207, 359–366. [Google Scholar] [CrossRef]
- Jayakumar, G.; Albert Irudayaraj, A.; Dhayal Raj, A. Photocatalytic Degradation of Methylene Blue by Nickel Oxide Nanoparticles. Mater. Today Proc. 2017, 4, 11690–11695. [Google Scholar] [CrossRef]
- Pelaez, M.; Nolan, N.T.; Pillai, S.C.; Seery, M.K.; Falaras, P.; Kontos, A.G.; Dunlop, P.S.M.; Hamilton, J.W.J.; Byrne, J.A.; O’Shea, K.; et al. A review on the visible light active titanium dioxide photocatalysts for environmental applications. Appl. Catal. B Environ. 2012, 125, 331–349. [Google Scholar] [CrossRef]
- Asahi, R.; Taga, Y.; Mannstadt, W.; Freeman, A.J. Electronic and optical properties of anatase TiO2. Phys. Rev. B 2000, 61, 7459–7465. [Google Scholar] [CrossRef]
- Ohtani, B. Photocatalysis A to Z—What we know and what we do not know in a scientific sense. J. Photochem. Photobiol. C Photochem. Rev. 2010, 11, 157–178. [Google Scholar] [CrossRef]
- Tasbihi, M.; Kočí, K.; Edelmannová, M.; Troppová, I.; Reli, M.; Schomäcker, R. Pt/TiO2 photocatalysts deposited on commercial support for photocatalytic reduction of CO2. J. Photochem. Photobiol. A Chem. 2018. [Google Scholar] [CrossRef]
- Wang, L.; Li, Q. Photochromism into nanosystems: Towards lighting up the future nanoworld. Chem. Soc. Rev. 1044, 47, 1044–1097. [Google Scholar] [CrossRef] [PubMed]
- Sarina, S.; Waclawik, E.R.; Zhu, H. Photocatalysis on supported gold and silver nanoparticles under ultraviolet and visible light irradiation. Green Chem. 2013, 15, 1814. [Google Scholar] [CrossRef]
- Moretti, E.; Rodríguez-Aguado, E.; Molina, A.I.; Rodríguez-Castellón, E.; Talon, A.; Storaro, L. Sustainable photo-assisted CO oxidation in H2-rich stream by simulated solar light response of Au nanoparticles supported on TiO2. Catal. Today 2018, 304, 135–142. [Google Scholar] [CrossRef]
- Sato, S.; White, J.M. Photodecomposition of water over Pt/TiO2 catalysts. Chem. Phys. Lett. 1980, 72, 83–86. [Google Scholar] [CrossRef]
- Linsebigler, A.L.; Lu, G.; Yates, J.T. Photocatalysis on TiO2 Surfaces: Principles, Mechanisms, and Selected Results. Chem. Rev. 1995, 95, 735–758. [Google Scholar] [CrossRef]
- Wang, Y.; Widmann, D.; Heenemann, M.; Diemant, T.; Biskupek, J.; Schlögl, R.; Behm, R.J. The role of electronic metal-support interactions and its temperature dependence: CO adsorption and CO oxidation on Au/TiO2 catalysts in the presence of TiO2 bulk defects. J. Catal. 2017, 354, 46–60. [Google Scholar] [CrossRef]
- Dulnee, S.; Luengnaruemitchai, A.; Wanchanthuek, R. Activity of Au/ZnO catalysts prepared by photo-deposition for the preferential CO oxidation in a H2-rich gas. Int. J. Hydrog. Energy 2014, 39, 6443–6453. [Google Scholar] [CrossRef]
- Zielińska-Jurek, A. Progress, Challenge, and Perspective of Bimetallic TiO2-Based Photocatalysts. J. Nanomater. 2014, 2014, 1–17. [Google Scholar] [CrossRef]
- Zaccariello, G.; Moretti, E.; Storaro, L.; Riello, P.; Canton, P.; Gombac, V.; Montini, T.; Rodríguez-Castellón, E.; Benedetti, A. TiO2-mesoporous silica nanocomposites: Cooperative effect in the photocatalytic degradation of dyes and drugs. RSC Adv. 2014, 4, 37826–37837. [Google Scholar] [CrossRef]
- Hou, J.; Yang, X.; Lv, X.; Huang, M.; Wang, Q.; Wang, J. Controlled synthesis of TiO2 mesoporous microspheres via chemical vapor deposition. J. Alloys Compd. 2012, 511, 202–208. [Google Scholar] [CrossRef]
- Kwiatkowski, K.; Lukehart, C. Nanocomposites prepared by sol-gel methodsSynthesis and characterization. In Handbook of Nanostructured Materials and Nanotechnology; Elsevier: Amsterdam, The Netherlands, 2000; pp. 387–421. ISBN 9780125137607. [Google Scholar]
- Hidalgo, M.C.; Aguilar, M.; Maicu, M.; Navío, J.A.; Colón, G. Hydrothermal preparation of highly photoactive TiO2 nanoparticles. Catal. Today 2007, 129, 50–58. [Google Scholar] [CrossRef]
- Xu, S.; Sun, X.; Gao, Y.; Yue, M.; Yue, Q.; Gao, B. Solvent effects on microstructures and properties of three-dimensional hierarchical TiO2 microsphere structures synthesized via solvothermal approach. J. Solid State Chem. 2017, 253, 167–175. [Google Scholar] [CrossRef]
- Kumar, K.D.; Kumar, G.P.; Reddy, K.S. Rapid Microwave Synthesis of Reduced Graphene Oxide-supported TiO2 Nanostructures as High Performance Photocatalyst. Mater. Today Proc. 2015, 2, 3736–3742. [Google Scholar] [CrossRef]
- Moro, P.; Stampachiacchiere, S.; Donzello, M.P.; Fierro, G.; Moretti, G. A comparison of the photocatalytic activity between commercial and synthesized mesoporous and nanocrystalline titanium dioxide for 4-nitrophenol degradation: Effect of phase composition, particle size, and addition of carbon nanotubes. Appl. Surf. Sci. 2015, 359, 293–305. [Google Scholar] [CrossRef]
- Acosta-Silva, Y.J.; Nava, R.; Hernández-Morales, V.; Macías-Sánchez, S.A.; Gómez-Herrera, M.L.; Pawelec, B. Methylene blue photodegradation over titania-decorated SBA-15. Appl. Catal. B Environ. 2011, 110, 108–117. [Google Scholar] [CrossRef]
- Sen, T.; Sebastianelli, A.; Bruce, I.J. Mesoporous Silica—Magnetite Nanocomposite: Fabrication and Applications in Magnetic Bioseparations. J. Am. Chem. Soc. 2006, 128, 7130–7131. [Google Scholar] [CrossRef] [PubMed]
- Zhang, F.-A.; Lee, D.-K.; Pinnavaia, T.J. PMMA/mesoporous silica nanocomposites: Effect of framework structure and pore size on thermomechanical properties. Polym. Chem. 2010, 1, 107–113. [Google Scholar] [CrossRef]
- Chiang, H.-M.; Cho, K.-Y.; Zeng, L.-X.; Chiang, H.-L. Characteristics of Carbon Material Formation on SBA-15 and Ni-SBA-15 Templates by Acetylene Decomposition and Their Bioactivity Effects. Materials 2016, 9, 350. [Google Scholar] [CrossRef] [PubMed]
- Shahbazi, A.; Younesi, H.; Badiei, A. Batch and fixed-bed column adsorption of Cu(II), Pb(II) and Cd(II) from aqueous solution onto functionalised SBA-15 mesoporous silica. Can. J. Chem. Eng. 2013, 91, 739–750. [Google Scholar] [CrossRef]
- Balati, A.; Shahbazi, A.; Amini, M.M.; Hashemi, S.H.; Jadidi, K. Comparison of the efficiency of mesoporous silicas as absorbents for removing naphthalene from contaminated water. Eur. J. Environ. Sci. 2014, 4, 69–76. [Google Scholar] [CrossRef]
- Gómez-Cazalilla, M.; Mérida-Robles, J.M.; Gurbani, A.; Rodríguez-Castellón, E.; Jiménez-López, A. Characterization and acidic properties of Al-SBA-15 materials prepared by post-synthesis alumination of a low-cost ordered mesoporous silica. J. Solid State Chem. 2007, 180, 1130–1140. [Google Scholar] [CrossRef]
- Shindo, T.; Koizumi, N.; Hatakeyama, K.; Ikeuchi, T. Post-synthesis of TiO2 Dispersed Inside the Pore Channels of SBA-15 and its Photocatalytic Activity for the Degradation of Methylene Blue. Int. J. Soc. Mater. Eng. Resour 2011, 18, 11–17. [Google Scholar] [CrossRef]
- Tu, C.-H.; Wang, A.-Q.; Zheng, M.-Y.; Wang, X.-D.; Zhang, T. Factors influencing the catalytic activity of SBA-15-supported copper nanoparticles in CO oxidation. Appl. Catal. A Gen. 2006, 297, 40–47. [Google Scholar] [CrossRef]
- Liu, X.; Wang, A.; Wang, X.; Mou, C.-Y.; Zhang, T. Au–Cu Alloy nanoparticles confined in SBA-15 as a highly efficient catalyst for CO oxidation. Chem. Commun. 2008, 27, 3187–3189. [Google Scholar] [CrossRef] [PubMed]
- Houas, A.; Lachheb, H.; Ksibi, M.; Elaloui, E.; Guillard, C.; Herrmann, J.-M. Photocatalytic degradation pathway of methylene blue in water. Appl. Catal. B Environ. 2001, 31, 145–157. [Google Scholar] [CrossRef]
- Reza, K.M.; Kurny, A.; Gulshan, F. Parameters affecting the photocatalytic degradation of dyes using TiO2: A review. Appl. Water Sci. 2017, 7, 1569–1578. [Google Scholar] [CrossRef]
- Jiao, L.; Regalbuto, J.R. The synthesis of highly dispersed noble and base metals on silica via strong electrostatic adsorption: II. Mesoporous silica SBA-15. J. Catal. 2008, 260, 342–350. [Google Scholar] [CrossRef]
- Mahvi, A.H.; Ghanbarian, M.; Nasseri, S.; Khairi, A. Mineralization and discoloration of textile wastewater by TiO2 nanoparticles. Desalination 2009, 239, 309–316. [Google Scholar] [CrossRef]
- Dong, W.; Sun, Y.; Lee, C.W.; Hua, W.; Lu, X.; Shi, Y.; Zhang, S.; Chen, J.; Zhao, D. Controllable and Repeatable Synthesis of Thermally Stable Anatase Nanocrystal−Silica Composites with Highly Ordered Hexagonal Mesostructures. J. Am. Chem. Soc. 2007, 129, 13894–13904. [Google Scholar] [CrossRef] [PubMed]
- Shiraishi, Y.; Sakamoto, H.; Sugano, Y.; Ichikawa, S.; Hirai, T. Pt–Cu Bimetallic Alloy Nanoparticles Supported on Anatase TiO2: Highly Active Catalysts for Aerobic Oxidation Driven by Visible Light. ACS Nano 2013, 7, 9287–9297. [Google Scholar] [CrossRef] [PubMed]
- Khan, M.R.; Chuan, T.W.; Yousuf, A.; Chowdhury, M.N.K.; Cheng, C.K. Schottky barrier and surface plasmonic resonance phenomena towards the photocatalytic reaction: Study of their mechanisms to enhance photocatalytic activity. Catal. Sci. Technol. 2015, 5, 2522–2531. [Google Scholar] [CrossRef]
- Zhu, H.; Chen, X.; Zheng, Z.; Ke, X.; Jaatinen, E.; Zhao, J.; Guo, C.; Xie, T.; Wang, D. Mechanism of supported gold nanoparticles as photocatalysts under ultraviolet and visible light irradiation. Chem. Commun. 2009, 48, 7524–7526. [Google Scholar] [CrossRef] [PubMed]
- Wang, A.-Q.; Liu, J.-H.; Lin, S.D.; Lin, T.-S.; Mou, C.-Y. A novel efficient Au–Ag alloy catalyst system: Preparation, activity, and characterization. J. Catal. 2005, 233, 186–197. [Google Scholar] [CrossRef]
- Boccuzzi, F.; Chiorino, A.; Manzoli, M.; Lu, P.; Akita, T.; Ichikawa, S.; Haruta, M. Au/TiO2 Nanosized Samples: A Catalytic, TEM, and FTIR Study of the Effect of Calcination Temperature on the CO Oxidation. J. Catal. 2001, 202, 256–267. [Google Scholar] [CrossRef]
- Gao, X.; Bare, S.R.; Fierro, J.L.G.; Banares, M.A.; Wachs, I.E. Preparation and in-Situ Spectroscopic Characterization of Molecularly Dispersed Titanium Oxide on Silica. J. Phys. Chem. B 1998, 102, 5653–5666. [Google Scholar] [CrossRef]
- Reyes-Carmona, Á.; Soriano, D.; López Nieto, J.M.; Jones, D.J.; Jiménez-Jiménez, J.; Jiménez-López, A.; Rodríguez-Castellón, E. Iron-containing SBA-15 as catalyst for partial oxidation of hydrogen sulfide. Catal. Today 2013, 210, 117–123. [Google Scholar] [CrossRef]
- Górska, P.; Zaleska, A.; Kowalska, E.; Klimczuk, T.; Sobczak, J.W.; Skwarek, E.; Janusz, W.; Hupka, J. TiO2 photoactivity in vis and UV light: The influence of calcination temperature and surface properties. Appl. Catal. B Environ. 2008, 84, 440–447. [Google Scholar] [CrossRef]
- Liu, L.; Gao, F.; Zhao, H.; Li, Y. Tailoring Cu valence and oxygen vacancy in Cu/TiO2 catalysts for enhanced CO2 photoreduction efficiency. Appl. Catal. B Environ. 2013, 134–135, 349–358. [Google Scholar] [CrossRef]
- Yang, Y.-F.; Sangeetha, P.; Chen, Y.-W. Au/FeOx–TiO2 Catalysts for the Preferential Oxidation of CO in a H2 Stream. Ind. Eng. Chem. Res. 2009, 48, 10402–10407. [Google Scholar] [CrossRef]
- Chen, Y.; Li, W.; Wang, J.; Yang, Q.; Hou, Q.; Ju, M.; Jiao, T.; Wei, D.; Song, X.; Sun, T.; et al. Gold nanoparticle-modified TiO2/SBA-15 nanocomposites as active plasmonic photocatalysts for the selective oxidation of aromatic alcohols. RSC Adv. 2016, 6, 70352–70363. [Google Scholar] [CrossRef]
- Escamilla-Perea, L.; Peza-Ledesma, C.L.; Nava, R.; Rivera-Muñoz, E.M.; Pawelec, B.; Fierro, J.L.G. CO oxidation at 20 °C over Au/SBA-15 catalysts decorated by Fe2O3 nanoparticles. Catal. Commun. 2011, 15, 108–112. [Google Scholar] [CrossRef]
- Liu, M.; Zhou, W.; Wang, T.; Wang, D.; Liu, L.; Ye, J. High performance Au–Cu alloy for enhanced visible-light water splitting driven by coinage metals. Chem. Commun. 2016, 52, 4694–4697. [Google Scholar] [CrossRef] [PubMed]
- Liu, X.; Wang, A.; Li, L.; Zhang, T.; Mou, C.Y.; Lee, J.F. Structural changes of Au–Cu bimetallic catalysts in CO oxidation: In situ XRD, EPR, XANES, and FT-IR characterizations. J. Catal. 2011, 278, 288–296. [Google Scholar] [CrossRef]
- Liu, X.; Wang, A.; Zhang, T.; Su, D.S.; Mou, C.Y. Au-Cu alloy nanoparticles supported on silica gel as catalyst for CO oxidation: Effects of Au/Cu ratios. Catal. Today 2011, 160, 103–108. [Google Scholar] [CrossRef]
- Dong, W.; Sun, Y.; Ma, Q.; Zhu, L.; Hua, W.; Lu, X.; Zhuang, G.; Zhang, S.; Guo, Z.; Zhao, D. Excellent photocatalytic degradation activities of ordered mesoporous anatase TiO2-SiO2 nanocomposites to various organic contaminants. J. Hazard. Mater. 2012, 229–230, 307–320. [Google Scholar] [CrossRef] [PubMed]
- Rather, R.A.; Singh, S.; Pal, B. Photocatalytic Degradation of Methylene Blue by Plasmonic Metal-TiO2 Nanocatalysts under Visible Light Irradiation. J. Nanosci. Nanotechnol. 2017, 17, 1210–1216. [Google Scholar] [CrossRef] [PubMed]
- Malik, R.; Chaudhary, V.; Tomer, V.K.; Rana, P.S.; Nehra, S.P.; Duhan, S. Visible light-driven mesoporous Au-TiO2/SiO2photocatalysts for advanced oxidation process. Ceram. Int. 2016, 42, 10892–10901. [Google Scholar] [CrossRef]
- Trofimovaite, R.; Parlett, C.M.A.; Kumar, S.; Frattini, L.; Isaacs, M.A.; Wilson, K.; Olivi, L.; Coulson, B.; Debgupta, J.; Douthwaite, R.E.; et al. Single atom Cu(I) promoted mesoporous titanias for photocatalytic Methyl Orange depollution and H2 production. Appl. Catal. B Environ. 2018, 232, 501–511. [Google Scholar] [CrossRef]
- Chowdhury, I.H.; Ghosh, S.; Basak, S.; Naskar, M.K. Mesoporous CuO-TiO2 microspheres for efficient catalytic oxidation of CO and photodegradation of methylene blue. J. Phys. Chem. Solids 2017, 104, 103–110. [Google Scholar] [CrossRef]
- Zhang, G.; Miao, H.; Hu, X.; Mu, J.; Liu, X.; Han, T.; Fan, J.; Liu, E.; Yin, Y.; Wan, J. A facile strategy to fabricate Au/TiO2 nanotubes photoelectrode with excellent photoelectrocatalytic properties. Appl. Surf. Sci. 2017, 391, 345–352. [Google Scholar] [CrossRef]
- Quiñones, C.; Ayala, J.; Vallejo, W. Methylene blue photoelectrodegradation under UV irradiation on Au/Pd-modified TiO2 films. Appl. Surf. Sci. 2010, 257, 367–371. [Google Scholar] [CrossRef]
- Wen, H.; Long, Y.; Han, W.; Wu, W.; Yang, Y.; Ma, J. Preparation of a novel bimetallic AuCu-P25-rGO ternary nanocomposite with enhanced photocatalytic degradation performance. Appl. Catal. A Gen. 2018, 549, 237–244. [Google Scholar] [CrossRef]
- Hai, Z.; Kolli, N.E.; Uribe, D.B.; Beaunier, P.; José-Yacaman, M.; Vigneron, J.; Etcheberry, A.; Sorgues, S.; Colbeau-Justin, C.; Chen, J.; et al. Modification of TiO2 by Bimetallic Au–Cu Nanoparticles for Wastewater Treatment. J. Mater. Chem. A 2013, 1, 10829–10835. [Google Scholar] [CrossRef] [PubMed]







| Sample | SBET (m2·g−1) | Vp (cm3·g−1) | dp (nm) | d100 (nm) | Eg (eV) |
|---|---|---|---|---|---|
| Si | 654 | 0.50 | 5.0 | 8.74 | - |
| TiSi | 393 | 0.32 | 4.8 | 8.57 | 3.13 |
| Au/Si | 213 | 0.21 | 4.2 | 8.10 | - |
| Au/TiSi | 236 | 0.18 | 4.1 | 8.17 | 2.70 |
| AuCu/Si | 200 | 0.20 | 4.3 | 8.10 | - |
| AuCu/TiSi | 237 | 0.19 | 4.3 | 8.25 | 2.43 |
| Au0 | Auδ+ | |
|---|---|---|
| Au/Si | 83.0 (58.8) | 84.3 (41.2) |
| AuCu/Si | 83.4 (50.8) | 84.9 (49.2) |
| Au/TiSi | 83.1 (72.0) | 84.3 (28.0) |
| AuCu/TiSi | 83.8 (84.0) | 85.2 (16.0) |
| Catalyst | O 1s | Si 2p | Ti 2p | Au 4f | Cu 2p | Au/Si | Au/(Si + Ti) | (Au + Cu)/(Si + Ti) |
|---|---|---|---|---|---|---|---|---|
| Au/Si | 65.3 | 28.4 | 0.0 | 0.5 | 0.0 | 0.019 | 0.019 | 0.019 |
| AuCu/Si | 63.2 | 27.6 | 0.0 | 0.5 | 0.8 | 0.018 | 0.018 | 0.047 |
| Au/TiSi | 60.8 | 12.7 | 12.1 | 1.3 | 0.0 | 0.099 | 0.051 | 0.051 |
| AuCu/TiSi | 51.3 | 10.9 | 8.3 | 0.7 | 1.3 | 0.061 | 0.035 | 0.105 |
© 2018 by the authors. Licensee MDPI, Basel, Switzerland. This article is an open access article distributed under the terms and conditions of the Creative Commons Attribution (CC BY) license (http://creativecommons.org/licenses/by/4.0/).
Share and Cite
Barroso-Martín, I.; Moretti, E.; Talon, A.; Storaro, L.; Rodríguez-Castellón, E.; Infantes-Molina, A. Au and AuCu Nanoparticles Supported on SBA-15 Ordered Mesoporous Titania-Silica as Catalysts for Methylene Blue Photodegradation. Materials 2018, 11, 890. https://doi.org/10.3390/ma11060890
Barroso-Martín I, Moretti E, Talon A, Storaro L, Rodríguez-Castellón E, Infantes-Molina A. Au and AuCu Nanoparticles Supported on SBA-15 Ordered Mesoporous Titania-Silica as Catalysts for Methylene Blue Photodegradation. Materials. 2018; 11(6):890. https://doi.org/10.3390/ma11060890
Chicago/Turabian StyleBarroso-Martín, Isabel, Elisa Moretti, Aldo Talon, Loretta Storaro, Enrique Rodríguez-Castellón, and Antonia Infantes-Molina. 2018. "Au and AuCu Nanoparticles Supported on SBA-15 Ordered Mesoporous Titania-Silica as Catalysts for Methylene Blue Photodegradation" Materials 11, no. 6: 890. https://doi.org/10.3390/ma11060890
APA StyleBarroso-Martín, I., Moretti, E., Talon, A., Storaro, L., Rodríguez-Castellón, E., & Infantes-Molina, A. (2018). Au and AuCu Nanoparticles Supported on SBA-15 Ordered Mesoporous Titania-Silica as Catalysts for Methylene Blue Photodegradation. Materials, 11(6), 890. https://doi.org/10.3390/ma11060890

