Nanostructure and Corresponding Quenching Efficiency of Fluorescent DNA Probes
Abstract
:1. Introduction
2. Materials and Methods
2.1. Materials
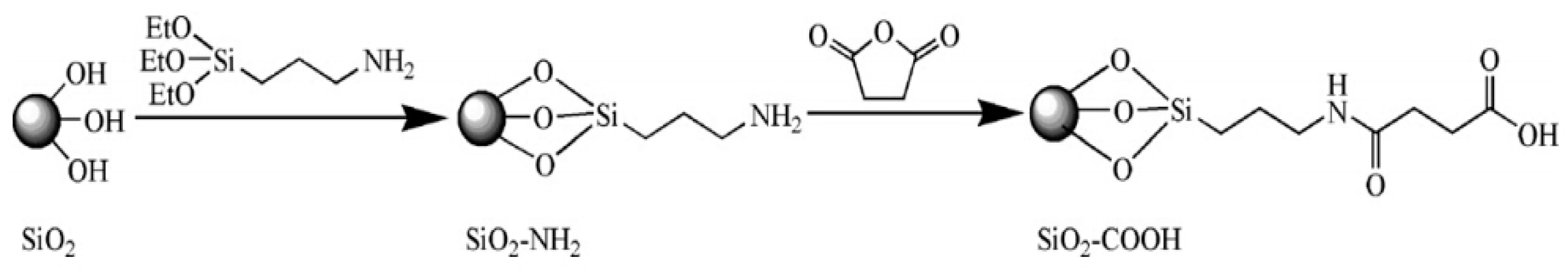
2.2. Preparation of Carboxyl-Modified CdTe/SiO2 (CdTe/SiO2-COOH)
2.3. Preparation of DNA Hairpin Templates
2.4. Conjugation of DNA Template and CdTe/SiO2 (CdTe/SiO2-dsDNA Hairpin) and Dehybridization (CdTe/SiO2-ssDNA)
2.5. Conjugation of 40-nm AuNPs with ssDNA (AuNPs-ssDNA)
2.6. Preparation and Detection of Fluorescent DNA Probes
3. Results and Discussion
3.1. Synthesis and Modification of CdTe/SiO2 Composite Nanoparticles
3.2. Carriable ssDNA Number on AuNPs and CdTe/SiO2 Particles
3.3. Controllable Nanostructures of DNA Probes by DNA Hairpin Template
3.4. Detection for Target DNA
4. Conclusions
Acknowledgments
Author Contributions
Conflicts of Interest
References
- Meng, H.M.; Fu, T.; Zhang, X.B.; Wang, N.N.; Tan, W.; Shen, G.L.; Yu, R.Q. Efficient fluorescence turn-on probe for zirconium via a target-triggered DNA molecular beacon strategy. Anal. Chem. 2012, 84, 2124–2128. [Google Scholar] [CrossRef] [PubMed]
- Hu, R.; Liu, T.; Zhang, X.B.; Huan, S.Y.; Wu, C.; Fu, T.; Tan, W. Multicolor fluorescent biosensor for multiplexed detection of DNA. Anal. Chem. 2014, 86, 5009–5016. [Google Scholar] [CrossRef] [PubMed]
- Wu, M.; Xu, X.; Wang, J.; Li, L. Fluorescence resonance energy transfer in a binary organic nanoparticle system and its application. ACS Appl. Mater. Interfaces 2015, 7, 8243–8250. [Google Scholar] [CrossRef] [PubMed]
- Geißler, D.; Linden, S.; Liermann, K.; Wegner, K.D.; Charbonnière, L.J.; Hildebrandt, N. Lanthanides and quantum dots as Förster resonance energy transfer agents for diagnostics and cellular imaging. Inorg. Chem. 2013, 53, 1824–1838. [Google Scholar] [CrossRef] [PubMed]
- Dezhurov, S.V.; Volkova, I.Y.; Wakstein, M.S. FRET-based biosensor for oleic acid in nanomolar range with quantum dots as an energy donor. Bioconj. Chem. 2011, 22, 338–345. [Google Scholar] [CrossRef] [PubMed]
- Li, M.; Cushing, S.K.; Wang, Q.; Shi, X.; Hornak, L.A.; Hong, Z.; Wu, N. Size-dependent energy transfer between CdSe/ZnS quantum dots and gold nanoparticles. J. Phys. Chem. Lett. 2011, 2, 2125–2129. [Google Scholar] [CrossRef]
- Mandal, S.; Ghatak, C.; Rao, V.G.; Ghosh, S.; Sarkar, N. Pluronic micellar aggregates loaded with gold nanoparticles (Au NPs) and fluorescent dyes: A study of controlled nanometal surface energy transfer. J. Phys. Chem. C 2012, 116, 5585–5597. [Google Scholar] [CrossRef]
- Lunz, M.; Gerard, V.A.; Gun’ko, Y.K.; Lesnyak, V.; Gaponik, N.; Susha, A.S.; Bradley, A.L. Surface plasmon enhanced energy transfer between donor and acceptor CdTe nanocrystal quantum dot monolayers. Nano Lett. 2011, 11, 3341–3345. [Google Scholar] [CrossRef] [PubMed]
- Homnick, P.J.; Tinkham, J.S.; Devaughn, R.; Lahti, P.M. Engineering frontier energy levels in donor-acceptor fluoren-9-ylidene malononitriles versus fluorenones. J. Phys. Chem. A 2013, 118, 475–486. [Google Scholar] [CrossRef] [PubMed]
- Yue, Z.; Lisdat, F.; Parak, W.J.; Hickey, S.G.; Tu, L.; Sabir, N.; Bigall, N.C. Quantum-dot-based photoelectrochemical sensors for chemical and biological detection. ACS Appl. Mater. Interfaces 2013, 5, 2800–2814. [Google Scholar] [CrossRef] [PubMed]
- Loo, A.H.; Sofer, Z.; Bouša, D.; Ulbrich, P.; Bonanni, A.; Pumera, M. Carboxylic carbon quantum dots as a fluorescent sensing platform for DNA detection. ACS Appl. Mater. Interfaces 2016, 8, 1951–1957. [Google Scholar] [CrossRef] [PubMed]
- Wu, L.; Li, X.; Ling, Y.; Huang, C.; Jia, N. Morpholine derivative-functionalized carbon dots-based fluorescent probe for highly selective Lysosomal imaging in living cells. ACS Appl. Mater. Interfaces 2017, 9, 28222–28232. [Google Scholar] [CrossRef] [PubMed]
- Wang, W.; Guo, Y.; Tiede, C.; Chen, S.; Kopytynski, M.; Kong, Y.; Kulak, A.; Tomlinson, D.; Chen, R.; McPherson, M.; et al. Ultraefficient Cap-exchange protocol to compact biofunctional quantum dots for sensitive ratiometric biosensing and cell imaging. ACS Appl. Mater. Interfaces 2017, 9, 15232–15244. [Google Scholar] [CrossRef] [PubMed]
- Chuang, C.C.; Chang, C.W. Complexation of bioreducible cationic polymers with gold nanoparticles for improving stability in serum and application on nonviral gene delivery. ACS Appl. Mater. Interfaces 2015, 7, 7724–7731. [Google Scholar] [CrossRef] [PubMed]
- Silva, L.H.; da Silva, J.R.; Ferreira, G.A.; Silva, R.C.; Lima, E.C.; Azevedo, R.B.; Oliveira, D.M. Labeling mesenchymal cells with DMSA-coated gold and iron oxide nanoparticles: Assessment of biocompatibility and potential applications. J. Nanobiotechnol. 2016, 14, 59. [Google Scholar] [CrossRef] [PubMed]
- Dai, Z.; Li, Y.; Guo, W.J.; Qi, D.L.; Zhang, J.M. Quantum dots and Au nanoparticles conjugated fluorescent DNA probes into uniform microstructure by asymmetrical synthesis. Micro Nano Lett. 2012, 7, 142–145. [Google Scholar] [CrossRef]
- Banerjee, A.; Pons, T.; Lequeux, N.; Dubertret, B. Quantum dots–DNA bioconjugates: Synthesis to applications. Interface Focus 2016, 6, 20160064. [Google Scholar] [CrossRef] [PubMed]
- Zhang, C.Y.; Yeh, H.C.; Kuroki, M.T.; Wang, T.H. Single-quantum-dot-based DNA nanosensor. Nat Mater. 2005, 4, 826–831. [Google Scholar] [CrossRef]
- Liang, R.; Li, W.; Li, Y.; Tan, C.; Li, J.; Jin, Y.; Ruan, K. An oligonucleotide microarray for microRNA expression analysis based on labeling RNA with quantum dot and nanogold probe. Nucleic Acid Res. 2005, 33, e17. [Google Scholar] [CrossRef] [PubMed]
- Jiang, Y.; Rabbi, M.; Mieczkowski, P.A.; Marszalek, P.E. Separating DNA with different topologies by atomic force microscopy in comparison with gel electrophoresis. J. Phys. Chem. B 2010, 114, 12162–12165. [Google Scholar] [CrossRef] [PubMed]
- Wang, R.; Nuckolls, C.; Windm, S.J. Assembly of heterogeneous functional nanomaterials on DNA origami scaffolds. Angew. Chem. Int. Ed. 2012, 51, 11325–11327. [Google Scholar] [CrossRef] [PubMed]
- Ma, W.; Xu, L.; de Moura, A.F.; Wu, X.; Kuang, H.; Xu, C.; Kotov, N.A. Chiral inorganic nanostructures. Chem. Rev. 2017, 117, 8041–8093. [Google Scholar] [CrossRef]
- Kuang, H.; Yin, H.; Xing, C.; Xu, C. A sensitive dnazyme-based chiral sensor for lead detection. Materials 2013, 6, 5038–5046. [Google Scholar] [CrossRef] [PubMed]
- Jin, P.; Dai, Z.; Guo, W.J.; Chen, G.P. Preparation of gold nanoparticles assemblies with controllable, continuous and discrete nanostructures. Chem. J. Chin. Univ. 2015, 36, 844–849. [Google Scholar] [CrossRef]
- Song, J.J.; Dai, Z.; Guo, W.J.; Li, Y.; Wang, W.T.; Li, N.N.; Wei, J.F. Preparation of CdTe/CdS/SiO2 core/multishell structured composite nanoparticles. J. Nanosci. Nanotechnol. 2013, 13, 6924–6927. [Google Scholar] [CrossRef] [PubMed]
- Jing, L.H.; Yang, C.H.; Qiao, R.R.; Niu, M.; Du, M.H.; Wang, D.Y.; Gao, M.Y. Highly fluorescent CdTe@SiO2 particles prepared via reverse microemulsion method. Chem. Mater. 2010, 22, 420–427. [Google Scholar] [CrossRef]
- Cederquist, K.B.; Keating, C.D. Curvature effects in DNA: Au nanoparticle conjugates. ACS Nano 2009, 3, 256–260. [Google Scholar] [CrossRef] [PubMed]
- Chen, D.; Yang, M.; Zheng, N.J.; Xie, N.; Liu, D.L.; Xie, C.F.; Yao, D.S. A novel aptasensor for electrochemical detection of ractopamine, clenbuterol, salbutamol, phenylethanolamine and procaterol. Biosens. Bioelectron. 2016, 81, 525–531. [Google Scholar] [CrossRef] [PubMed]









© 2018 by the authors. Licensee MDPI, Basel, Switzerland. This article is an open access article distributed under the terms and conditions of the Creative Commons Attribution (CC BY) license (http://creativecommons.org/licenses/by/4.0/).
Share and Cite
Guo, W.; Wei, Y.; Dai, Z.; Chen, G.; Chu, Y.; Zhao, Y. Nanostructure and Corresponding Quenching Efficiency of Fluorescent DNA Probes. Materials 2018, 11, 272. https://doi.org/10.3390/ma11020272
Guo W, Wei Y, Dai Z, Chen G, Chu Y, Zhao Y. Nanostructure and Corresponding Quenching Efficiency of Fluorescent DNA Probes. Materials. 2018; 11(2):272. https://doi.org/10.3390/ma11020272
Chicago/Turabian StyleGuo, Wenjuan, Yanhong Wei, Zhao Dai, Guangping Chen, Yuanyuan Chu, and Yifei Zhao. 2018. "Nanostructure and Corresponding Quenching Efficiency of Fluorescent DNA Probes" Materials 11, no. 2: 272. https://doi.org/10.3390/ma11020272
APA StyleGuo, W., Wei, Y., Dai, Z., Chen, G., Chu, Y., & Zhao, Y. (2018). Nanostructure and Corresponding Quenching Efficiency of Fluorescent DNA Probes. Materials, 11(2), 272. https://doi.org/10.3390/ma11020272
