Ferroelectromagnetic Properties of PbFe1/2Nb1/2O3 (PFN) Material Synthesized by Chemical-Wet Technology
Abstract
:1. Introduction
2. Experiment
3. Results and Discussion
3.1. X-Ray Diffraction Analysis
3.2. Microstructural Properties
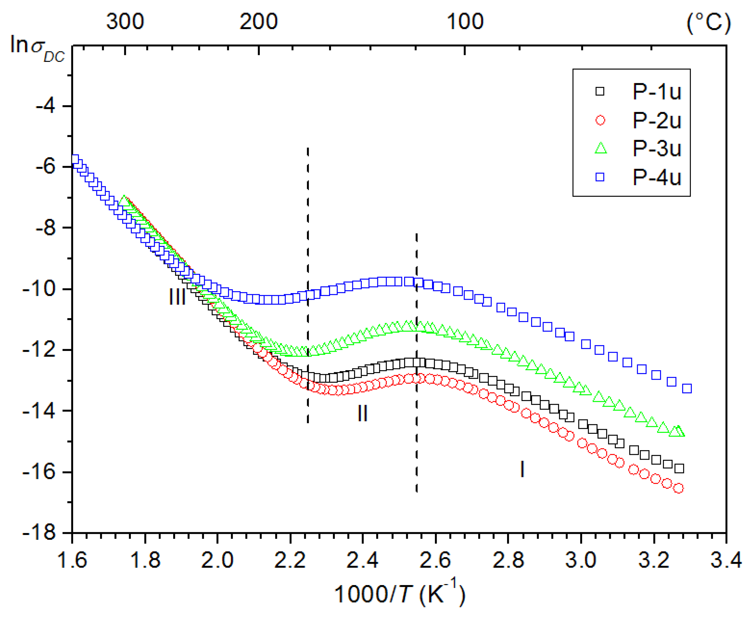
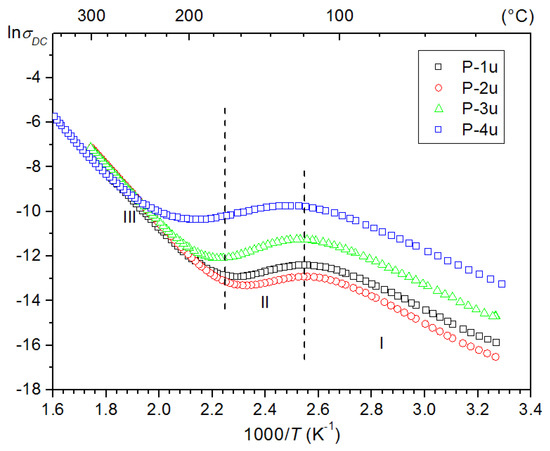
3.3. DC Electrical Conductivity Measurements
3.4. Dielectric Properties
3.5. Ferroelectric Properties
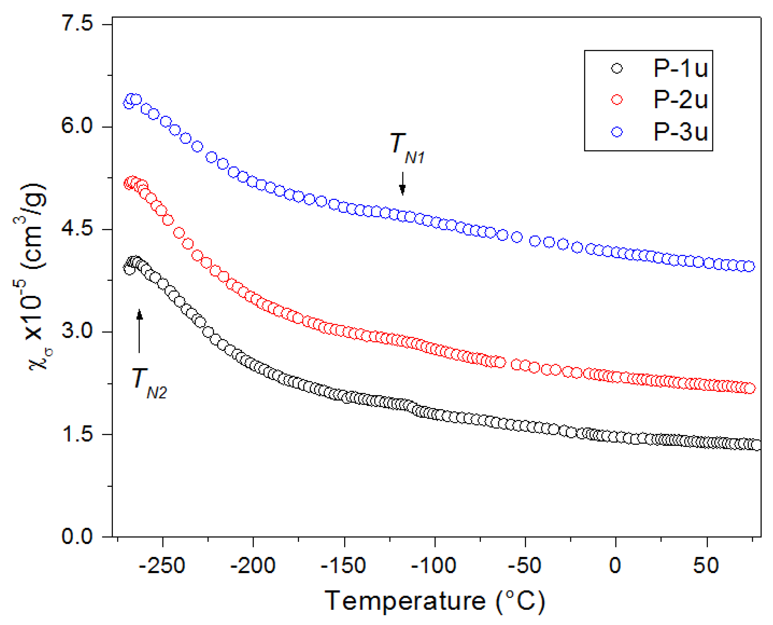
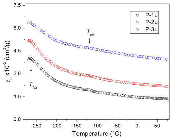
3.6. Magnetic Properties
4. Conclusions
Author Contributions
Funding
Conflicts of Interest
References
- Das, R.N.; Pramanik, P. Single step chemical synthesis of lead based relaxor ferroelectric niobate fine powders. Nanostruct. Mater. 1999, 11, 323–330. [Google Scholar] [CrossRef]
- Raymond, O.; Font, R.; Suarez, N.; Portalles, J.; Siqueiros, J.M. Effects of two kinds of FeNbO4 precursors in the obtainment and dielectric properties of PFN ceramics. Ferroelectrics 2003, 294, 141–154. [Google Scholar] [CrossRef]
- Kozii, V.; Ruhman, J.; Fu, L.; Radzihovsky, L. Ferromagnetic transition in a one-dimensional spin-orbit-coupled metal and its mapping to a critical point in smectic liquid crystals. Phys. Rev. B 2017, 96, 094419. [Google Scholar] [CrossRef]
- Lente, M.H.; Guerra, J.D.S.; de Souza, G.K.S.; Fraygola, B.M.; Raigoza, C.F.V.; Garcia, D.; Eiras, J.A. Nature of the magnetoelectric coupling in multiferroic Pb(Fe1/2Nb1/2)O3 ceramics. Phys. Rev. B 2008, 78, 054109. [Google Scholar] [CrossRef]
- Khomskii, D. Classifying multiferroics: Mechanisms and effects. Physics 2009, 2, 20. [Google Scholar] [CrossRef]
- Wang, K.F.; Liu, J.-M.; Ren, Z.F. Multiferroicity: The coupling between magnetic and polarization orders. Adv. Phys. 2009, 58, 321–448. [Google Scholar] [CrossRef]
- Schmid, H. Some symmetry aspects of ferroics and single phase multiferroics. J. Phys. Condens. Matter 2008, 20, 434201. [Google Scholar] [CrossRef]
- Lente, M.H.; Guerra, J.S.; Sousa, G.K.S.; Raigoza, C.F.V.; Garcia, D.; Eiras, J.A. Investigation of magnetoelectric coupling in single-phase multiferroic ceramics. Ferroelectrics 2008, 368, 99–106. [Google Scholar] [CrossRef]
- Kleemann, W.; Borisov, P.; Shvartsman, V.V.; Bedanta, S. Multiferroic and magnetoelectric materials—Developments and perspectives. EPJ Web Conf. 2012, 29, 00046. [Google Scholar] [CrossRef]
- Gao, X.S.; Chen, X.Y.; Yin, J.; Wu, J.; Liu, Z.G. Ferroelectric and dielectric properties of ferroelectromagnet Pb(Fe1/2Nb1/2)O3 ceramics and thin films. J. Mater. Sci. 2000, 35, 5421–5425. [Google Scholar] [CrossRef]
- Vedantam, R.R.; Subramanian, V.; Sivasubramanian, V.; Murthy, V.R.K. Low frequency dielectric studies on Pb(Fe1/2Nb1/2)O3. Mater. Sci. Eng. B 2004, 113, 136–142. [Google Scholar] [CrossRef]
- Fiebig, M.; Lottermoser, T.; Meier, D.; Trassin, M. The evolution of multiferroics. Nat. Rev. Mater. 2016. [Google Scholar] [CrossRef]
- Spaldin, N.A. Multiferroics: Past, present, and future. MRS Bull. 2017, 42, 385–390. [Google Scholar] [CrossRef]
- Christodoulou, L.; Venables, J.D. Multifunctional material systems: The first generation. JOM 2003, 55, 39–45. [Google Scholar] [CrossRef]
- Allison, J.; Backman, D.; Christodoulou, L. Integrated computational materials engineering: A new paradigm for the global materials profession. JOM 2006, 58, 25–27. [Google Scholar] [CrossRef]
- Dagdeviren, C.; Joe, P.; Tuzman, O.L.; Park, K.I.; Lee, K.J.; Shi, Y.; Huang, Y.; Rogers, J.A. Recent progress in flexible and stretchable piezoelectric devices for mechanical energy harvesting, sensing and actuation. Extrem. Mech. Lett. 2016, 9, 269–281. [Google Scholar] [CrossRef]
- Elahi, H.; Eugeni, M.; Gaudenzi, P. A review on mechanisms for piezoelectric-based energy harvesters. Energies 2018, 11, 1850. [Google Scholar] [CrossRef]
- Gao, X.; Xue, J.; Wang, J. Sequential combination of constituent oxides in the synthesis of Pb(Fe1/2Nb1/2)O3 by mechanical activation. J. Am. Ceram. Soc. 2002, 85, 565–572. [Google Scholar] [CrossRef]
- Singh, K.; Band, S.A.; Kinge, W.K. Effect of sintering temperature on dielectric properties of Pb(Fe1/2Nb1/2)O3 perovskite material. Ferroelectrics 2004, 306, 179–185. [Google Scholar] [CrossRef]
- Bochenek, D.; Surowiak, Z.; Krok-Kowalski, J.; Poltierova-Vejpravova, J. Influence of the sintering conditions on the physical proprieties of the ceramic PFN multiferroics. J. Electroceram. 2010, 25, 122–129. [Google Scholar] [CrossRef]
- Majumder, S.B.; Bhattacharyya, S.; Katiyar, R.S.; Manivannan, A.; Dutta, P.; Seehra, M.S. Dielectric and magnetic properties of sol-gel-derived lead iron niobate ceramics. J. Appl. Phys. 2006, 99, 024108. [Google Scholar] [CrossRef]
- Havlicek, R.; Poltierova-Vejpravova, J.; Bochenek, D. Structure and magnetic properties of perovskite-like multiferroic PbFe0.5Nb0.5O3. J. Phys. Conf. Ser. 2010, 200, 012058. [Google Scholar] [CrossRef]
- Liou, Y.-C.; Shih, C.-Y.; Yu, C.-H. Pb(Fe1/2Nb1/2)O3 perovskite ceramics produced by simplified wolframite route. Jpn. J. Appl. Phys. 2002, 41, 3829–3831. [Google Scholar] [CrossRef]
- Bochenek, D. Magnetic and ferroelectric properties of PbFe1/2Nb1/2O3 synthesized by a solution precipitation method. J. Alloy. Compd. 2010, 504, 508–513. [Google Scholar] [CrossRef]
- Bharti, C.; Dutta, A.; Shannigrahi, S.; Choudhary, S.N.; Thapa, R.K.; Sinha, T.P. Impedance spectroscopy, electronic structure and X-ray photoelectron spectroscopy studies of Pb(Fe1/2Nb1/2)O3. J. Electron Spectrosc. Relat. Phenom. 2009, 169, 80–85. [Google Scholar] [CrossRef]
- Youmee, P.; Phanichphant, S. Synthesis and Properties of Lead Iron Niobate (PFN). Ceram. Forum Int. 2004, 81, E45–E50. [Google Scholar]
- Bochenek, D.; Zachariasz, R. Sol-gel method to obtain the ferroelectromagnetic (Pb(Fe0.5Nb0.5)O3) ceramics for micromechatronic aplications. Mater. Werkst. 2015, 46, 294–299. [Google Scholar] [CrossRef]
- Peng, W.; Lemée, N.; Karkut, M.; Dkhil, B.; Shvartsman, V.V. Spin-lattice coupling in multiferroic Pb(Fe1/2Nb1/2)O3 thin films. Appl. Phys. Lett. 2009, 94, 012509. [Google Scholar] [CrossRef]
- Peng, W.; Lemée, N.; Holc, J.; Kosec, M.; Blinc, R.; Karkut, M.G. Epitaxial growth and structural characterization of Pb(Fe1/2Nb1/2)O3 thin films. J. Magn. Magn. Mater. 2009, 321, 1754–1757. [Google Scholar] [CrossRef]
- Tang, J.; Zhu, M.; Zhong, T.; Hou, Y.; Wang, H.; Yan, H. Synthesis of fine Pb(Fe0.5Nb0.5)O3 perovskite powders by coprecipitation method. Mater. Chem. Phys. 2007, 101, 475–479. [Google Scholar] [CrossRef]
- Bochenek, D.; Surowiak, Z. Applications of iron (III) nitrate to obtain the multiferroic Pb(Fe1/2Nb1/2)O3 ceramics by the sol–gel method. J. Alloy. Compd. 2009, 480, 732–736. [Google Scholar] [CrossRef]
- Bochenek, D.; Skulski, R.; Niemiec, P.; Brzezińska, D.; Rogacki, K. The magnetic and electric measurements of the multiferroic PbFe1/2Nb1/2O3 ceramics obtained using hot uniaxial pressure method. Arch. Metall. Mater. 2018, 63, 1243–1247. [Google Scholar] [CrossRef]
- Raymond, O.; Font, R.; Portelles, J.; Siqueiros, J.M. Magnetoelectric coupling study in multiferroic Pb(Fe0.5Nb0.5)O3 ceramics through small and large electric signal standard measurements. J. Appl. Phys. 2011, 109, 094106. [Google Scholar] [CrossRef]
- Laguta, V.V.; Stephanovich, V.A.; Raevski, I.P.; Raevskaya, S.I.; Titov, V.V.; Smotrakov, V.G.; Eremkin, V.V. Magnetoelectric effect in antiferromagnetic multiferroic Pb(Fe1/2Nb1/2)O3 and its solid solutions with PbTiO3. Phys. Rev. B 2017, 95, 014207. [Google Scholar] [CrossRef]
- Font, R.; Raymond-Herrera, O.; Mestres, L.; Portelles, J.; Fuentes, J.; Siqueiros, J.M. Improvement of the dielectric and ferroelectric properties of multiferroic Pb(Fe1/2Nb1/2)O3 ceramics processed in oxygen atmosphere. J. Mater. Sci. 2016, 51, 6319–6330. [Google Scholar] [CrossRef]
- Puri, M.; Bahel, S.; Raevski, I.P.; Narang, S.B. Dielectric and impedance studies of (Pb1−xCax)(Fe0.5Nb0.5)O3 dielectric ceramics. J. Mater. Sci. Mater. Electron. 2016, 27, 1077–1086. [Google Scholar] [CrossRef]
- Bochenek, D.; Niemiec, P.; Guzdek, P.; Wzorek, M. Magnetoelectric and electric measurements of the (1−x)BiFeO3–(x)Pb(Fe1/2Nb1/2)O3 solid solution. Mater. Chem. Phys. 2017, 195, 199–206. [Google Scholar] [CrossRef]
- Brzezińska, D.; Skulski, R.; Bochenek, D.; Niemiec, P. The properties of (1−x)(0.5PZT-0.5PFW)-xPFN ceramics. Integr. Ferroelectr. 2016, 173, 104–112. [Google Scholar] [CrossRef]
- Gusev, A.A.; Raevski, I.P.; Avvakumov, E.G.; Isupov, V.P.; Raevskaya, S.I.; Chen, H.; Titov, V.V.; Chou, C.-C.; Kubrin, S.P.; Titov, S.V.; et al. Dielectric properties of undoped and Li-doped Pb(Fe1/2Nb1/2)O3 ceramics sintered from mechanochemically synthesized powders. Ferroelectrics 2015, 475, 61–67. [Google Scholar] [CrossRef]
- Raevskaya, S.I.; Kubrin, S.P.; Raevski, I.P.; Chou, C.C.; Chen, H.; Titov, V.V.; Malitskaya, M.A.; Sarychev, D.A.; Zakharchenko, I.N. The effect of quenching on semiconductive properties and magnetic phase transition temperature of multiferroic Pb(Fe1/2Nb1/2)O3 ceramics. Ferroelectrics 2017, 509, 64–73. [Google Scholar] [CrossRef]
- Lv, X.; Liu, G.; Liu, X.Q.; Chen, X.M. Local structure evolution in Ba-substituted Pb(Fe1/2Nb1/2)O3 ceramics. J. Am. Ceram. Soc. 2014, 97, 2880–2884. [Google Scholar] [CrossRef]
- Bochenek, D.; Niemiec, P.; Chrobak, A.; Ziółkowski, G.; Zachariasz, R. Ferroelectric-ferromagnetic composites of based on Pb(Fe1/2Nb1/2)O3. Compos. Theory Pract. 2013, 13, 59–64. [Google Scholar]
- Bochenek, D.; Dudek, J. Influence of the processing conditions on the properties of the biferroic Pb(Fe1/2Nb1/2)O3 ceramics. Eur. Phys. J. Spec. Top. 2008, 154, 19–22. [Google Scholar] [CrossRef]
- Wójcik, K.; Zieleniec, K.; Milata, M. Electrical Properties of Lead Iron Niobate PFN. Ferroelectrics 2003, 289, 107–120. [Google Scholar] [CrossRef]
- Bochenek, D.; Niemiec, P.; Korzekwa, J.; Durtka, B.; Stokłosa, Z. Microstructure and properties of the ferroelectric-ferromagnetic PLZT-ferrite composites. Symmetry 2018, 10, 59. [Google Scholar] [CrossRef]
- Suchet, I.P. Chemie Physicque des Semiconducteurs; Dunod: Paris, France, 1962. [Google Scholar]
- Bochenek, D.; Niemiec, P.; Skulski, R.; Adamczyk, M.; Brzezińska, D. Electrophysical properties of the multicomponent PBZT-type ceramics doped by Sn4+. J. Electroceram. 2018. [Google Scholar] [CrossRef]
- Raymond, O.; Font, R.; Suárez-Almodovar, N.; Portelles, J.; Siqueiros, J.M. Frequency-temperature response of ferroelectromagnetic PbFe1/2Nb1/2O3 ceramics obtained by different precursors. Part I. Structural and thermo-electrical characterization. J. Appl. Phys. 2005, 97, 084107. [Google Scholar] [CrossRef]
- Bhat, V.V.; Ramanujachary, K.V.; Lofland, S.E.; Umarji, A.M. Tuning the multiferroic properties of Pb(Fe1/2Nb1/2)O3 by cationic substitution. J. Magn. Magn. Mater. 2004, 280, 221–226. [Google Scholar] [CrossRef]










| Oxide Formula | Theoretical (%) | Experimental (%) | |||
|---|---|---|---|---|---|
| P-1u | P-2u | P-3u | P-4u | ||
| PbO | 67.72 | 67.42 | 67.69 | 67.57 | 67.93 |
| Fe2O3 | 12.11 | 11.27 | 11.83 | 12.23 | 12.38 |
| Nb2O5 | 20.16 | 20.31 | 20.47 | 20.20 | 19.69 |
| Parameter | P-1u | P-2u | P-3u | P-4u |
|---|---|---|---|---|
| ρ (g/cm3) | 6.58 | 7.33 | 7.41 | 7.29 |
| TC (°C) 1 | 97 | 97 | 105 | 97 |
| εr at RT 1 | 4207 | 4210 | 5650 | 7753 |
| εmax at TC 1 | 9774 | 11,651 | 13,584 | 15,812 |
| tanδ at RT 1 | 0.148 | 0.124 | 0.136 | 0.265 |
| tanδ at TC 1 | 0.208 | 0.168 | 0.217 | 0.381 |
| ρDC at RT (Ωm) | 8.0 × 106 | 1.4 × 107 | 2.4 × 106 | 6.1 × 105 |
| EAct in I (eV) | 0.454 | 0.489 | 0.451 | 0.430 |
| EAct in II (eV) | 0.219 | 0.146 | 0.302 | 0.181 |
| EAct in III (eV) | 1.034 | 1.121 | 1.015 | 1.067 |
| EC (kV/mm) 2 | 0.785 | 0.777 | 0.825 | 0.539 |
| PR (μC/cm2) 2 | 6.832 | 0.64 | 8.50 | 5.53 |
© 2018 by the authors. Licensee MDPI, Basel, Switzerland. This article is an open access article distributed under the terms and conditions of the Creative Commons Attribution (CC BY) license (http://creativecommons.org/licenses/by/4.0/).
Share and Cite
Bochenek, D.; Niemiec, P. Ferroelectromagnetic Properties of PbFe1/2Nb1/2O3 (PFN) Material Synthesized by Chemical-Wet Technology. Materials 2018, 11, 2504. https://doi.org/10.3390/ma11122504
Bochenek D, Niemiec P. Ferroelectromagnetic Properties of PbFe1/2Nb1/2O3 (PFN) Material Synthesized by Chemical-Wet Technology. Materials. 2018; 11(12):2504. https://doi.org/10.3390/ma11122504
Chicago/Turabian StyleBochenek, Dariusz, and Przemysław Niemiec. 2018. "Ferroelectromagnetic Properties of PbFe1/2Nb1/2O3 (PFN) Material Synthesized by Chemical-Wet Technology" Materials 11, no. 12: 2504. https://doi.org/10.3390/ma11122504
APA StyleBochenek, D., & Niemiec, P. (2018). Ferroelectromagnetic Properties of PbFe1/2Nb1/2O3 (PFN) Material Synthesized by Chemical-Wet Technology. Materials, 11(12), 2504. https://doi.org/10.3390/ma11122504

