Facile Synthesis of Visible Light-Induced g-C3N4/Rectorite Composite for Efficient Photodegradation of Ciprofloxacin
Abstract
1. Introduction
2. Materials and Methods
2.1. Materials
2.2. Catalysts Preparation
2.3. Characterization
2.4. Evaluation of Photocatalytic Activity
2.5. Analysis of Degradation by-Products of CIP
3. Results and Discussion
3.1. XRD Analysis
3.2. Microstructure Analysis
3.3. Photoluminescence Analysis
3.4. FTIR Analysis
3.5. BET Analysis
3.6. Photocatalytic Activity
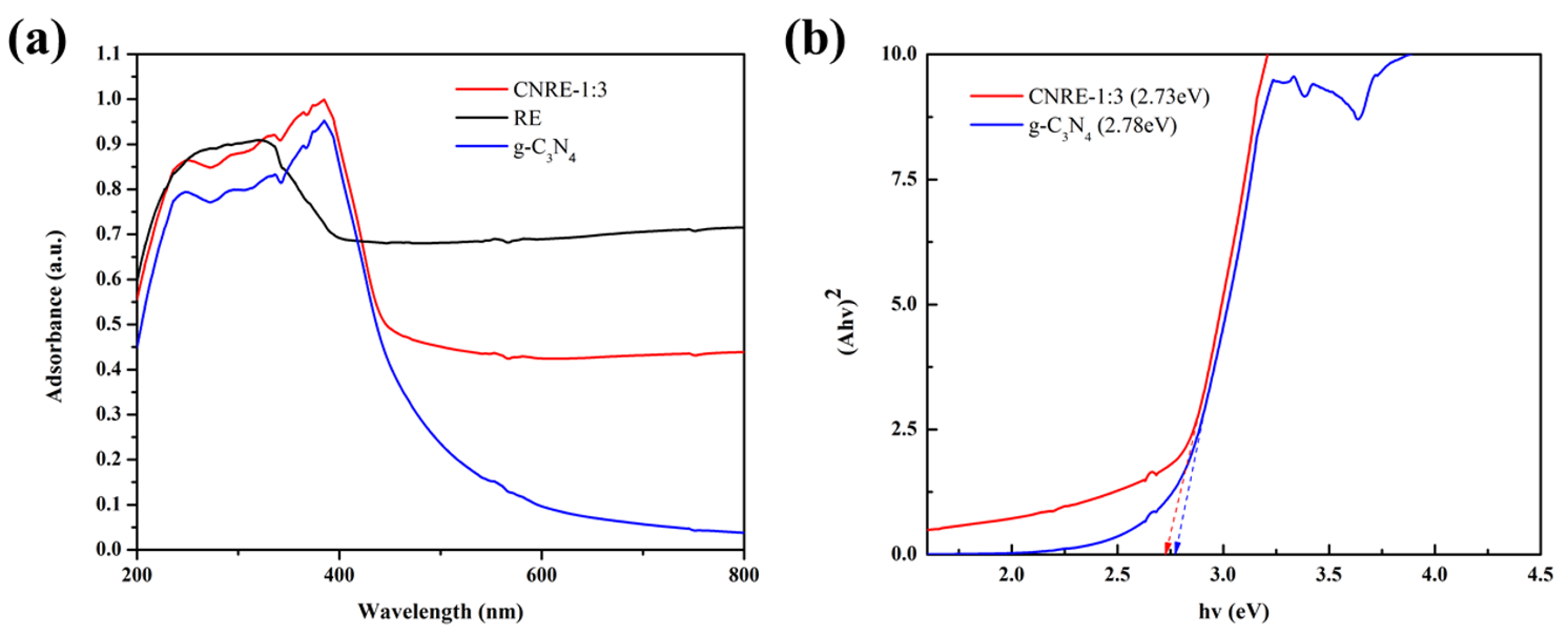
3.7. UV-Vis Diffuse Reflection Spectrum
3.8. The Reusability and Stability of Catalyst
3.9. Proposed CIP Degradation Pathways
3.10. Photocatalytic Mechanism
4. Conclusions
Author Contributions
Funding
Conflicts of Interest
References
- Liu, B.; Guo, W.Q.; Ren, N.Q. Decontamination of wastewaters containing synthetic organic dyes by electrochemical methods: A review. Adv. Mater. Res. 2013, 788, 405–408. [Google Scholar] [CrossRef]
- Konieczny, K.; Sąkol, D.; Bodzek, M. Efficiency of the hybrid coagulation-ultrafiltration water treatment process with the use of immersed hollow-fiber membranes. Desalination 2006, 198, 102–110. [Google Scholar] [CrossRef]
- Cui, X.; Choo, K.H. Granular iron oxide adsorbents to control natural organic matter and membrane fouling in ultrafiltration water treatment. Water Res. 2013, 47, 4227. [Google Scholar] [CrossRef] [PubMed]
- Gupta, V.K.; Kumar, R.; Nayak, A.; Saleh, T.A.; Barakat, M.A. Adsorptive removal of dyes from aqueous solution onto carbon nanotubes: A review. Adv. Colloid Interface Sci. 2013, 193–194, 24. [Google Scholar] [CrossRef] [PubMed]
- Lin, S.H.; Lin, C.M. Treatment of textile waste effluents by ozonation and chemical coagulation. Water Res. 1993, 27, 1743–1748. [Google Scholar] [CrossRef]
- Hassani, A.; Khataee, A.; Karaca, S. Photocatalytic degradation of ciprofloxacin by synthesized TiO2 nanoparticles on montmorillonite: Effect of operation parameters and artificial neural network modeling. J. Mol. Catal. A: Chem. 2015, 409, 149–161. [Google Scholar] [CrossRef]
- Maeda, K.; Wang, X.; Nishihara, Y. Photocatalytic activities of graphitic carbon nitride powder for water reduction and oxidation under visible light. J. Phys. Chem. C. 2009, 113, 4940–4947. [Google Scholar] [CrossRef]
- Yuan, Y.P.; Yin, L.; Cao, S.; Gu, L.; Xu, G.; Du, P.; Chai, H.; Liao, Y.; Xue, C. Microwave-assisted heating synthesis: a general and rapid strategy for large-scale production of high crystalline g-C3N4 with enhanced photocatalytic H2 production. Green Chem. 2014, 16, 4663–4668. [Google Scholar] [CrossRef]
- Lu, X.; Xu, K.; Chen, P.; Jia, K.; Liu, S.; Wu, C. Facile one step method realizing scalable production of g-C3N4 nanosheets and study of their photocatalytic H2 evolution activity. J. Mater. Chem. A. 2014, 2, 18924–18928. [Google Scholar] [CrossRef]
- Chen, J.; Hong, Z.; Chen, Y.; Lin, B.; Gao, B. One-step synthesis of sulfur-doped and nitrogen-deficient g-C3N4 photocatalyst for enhanced hydrogen evolution under visible light. Mater. Lett. 2015, 145, 129–132. [Google Scholar] [CrossRef]
- Zhang, Y.; Pan, Q.; Chai, G.; Liang, M.; Dong, G.; Zhang, Q.; Qiu, J. Synthesis and luminescence mechanism of multicolor-emitting g-C3N4 nanopowders by low temperature thermal condensation of melamine. Sci. Rep. 2013, 3, 1943. [Google Scholar] [CrossRef] [PubMed]
- Sehnert, J.; Kilian Baerwinkel, A.; Senker, J. Ab Initio calculation of solid-state NMR spectra for different triazine and heptazine based structure proposals of g-C3N4. J. Phys. Chem. B. 2007, 111, 10671–10680. [Google Scholar] [CrossRef] [PubMed]
- Liu, H.; Chen, D.; Wang, Z.; Jing, H.; Zhang, R. Microwave-assisted molten-salt rapid synthesis of isotype triazine-/heptazine based g-C3N4 heterojunctions with highly enhanced photocatalytic hydrogen evolution performance. Appl. Catal. B Environ. 2017, 203, 300–313. [Google Scholar] [CrossRef]
- Fan, X.; Xing, Z.; Shu, Z.; Zhang, L.; Wang, L.; Shi, J. Improved photocatalytic activity of g-C3N4 derived from cyanamide-urea solution. RSC Adv. 2015, 5, 8323–8328. [Google Scholar] [CrossRef]
- Ge, L.; Han, C.; Xiao, X.; Guo, L.; Li, Y. Enhanced visible light photocatalytic hydrogen evolution of sulfur-doped polymeric g-C3N4 photocatalysts. Mater. Res. Bull. 2013, 48, 3919–3925. [Google Scholar] [CrossRef]
- Cao, S.; Low, J.; Yu, J.; Jaroniec, M. Polymeric photocatalysts based on graphitic carbon nitride. Adv. Mater. 2015, 27, 2150–2176. [Google Scholar] [CrossRef] [PubMed]
- Tunney, J.J.; Detellier, C. Interlamellar amino functionalization of kaolinite. Can. J. Chem. 1997, 75, 1766–1772. [Google Scholar] [CrossRef]
- Farkas, A.; Dékány, I. Interlamellar adsorption of organic pollutants in hydrophobic montmorillonite. Colloid. Polym. Sci. 2001, 279, 459–467. [Google Scholar] [CrossRef]
- Dékány, I.; Szántó, F.; Nagy, L.G. Sorption and immersional wetting on clay minerals having modified surface. I. Surface properties of nonswelling clay mineral organocomplexes. J. Colloid Interface Sci. 1985, 103, 321–331. [Google Scholar] [CrossRef]
- Chang, P.H.; Jean, J.S.; Jiang, W.T.; Li, Z.H. Mechanism of tetracycline sorption on rectorite. Colloids Surf. A. 2009, 339, 94–99. [Google Scholar] [CrossRef]
- Tan, X.L.; Chen, C.L.; Yu, S.M.; Wang, X. Sorption of Ni2+ on Na-rectorite studied by batch and spectroscopy methods. Appl. Geochem. 2008, 23, 2767–2777. [Google Scholar] [CrossRef]
- Zhang, G.; Sun, Z.; Duan, Y.; Ma, R.; Zheng, S. Synthesis of nano-TiO2/diatomite composite and its photocatalytic degradation of gaseous formaldehyde. Appl. Surf. Sci. 2017, 412, 105–112. [Google Scholar] [CrossRef]
- Guo, Y.; Yu, W.; Chen, J.; Wang, X.; Gao, B.; Wang, G. Ag3Po4/rectorite nanocomposites: ultrasound-assisted preparation, characterization and enhancement of stability and visible-light photocatalytic activity. Ultrason. Sonochem. 2017, 34, 831–838. [Google Scholar] [CrossRef] [PubMed]
- Huang, Y.; Ma, X.; Liang, G.; Yan, Y.; Wang, S. Adsorption behavior of Cr(VI) on organic-modified rectorite. Chem. Eng.J. 2008, 138, 187–193. [Google Scholar] [CrossRef]
- Kabira, I.; Sheppardb, L.; Liub, R.; Yaoc, Y.; Zhuc, Q.; Chena, W.; Koshya, P.; Sorrella, C. Contamination of TiO2 thin flms spin coated on rutile and fused silica substrates. Surf. Coat. Technol. 2018, 354, 369–382. [Google Scholar] [CrossRef]
- Li, C.; Sun, Z.; Zhang, W.; Yu, C.; Zheng, S. Highly efficient g-C3N4/TiO2/kaolinite composite with novel three-dimensional structure and enhanced visible light responding ability towards ciprofloxacin and S. aureus. Appl. Catal. B. 2018, 220, 272–282. [Google Scholar] [CrossRef]
- Zhang, Z.; Long, J.; Xie, X.; Lin, H.; Zhou, Y.; Yuan, R.; Dai, W.; Ding, Z.; Wang, X.; Fu, X. Probing the electronic structure and photoactivation process of nitrogen-doped TiO2 using DRS, PL and EPR. ChemPhysChem 2012, 13, 1542–1550. [Google Scholar] [CrossRef] [PubMed]
- Dong, X.; Sun, Z.; Zhang, X.; Li, X.; Zheng, S. Synthesis and enhanced solar light photocatalytic activity of a C/N co-doped TiO2/diatomite composite with exposed (001) facets. Aust. J. Chem. 2018, 71, 315–324. [Google Scholar] [CrossRef]
- Dozzi, M.V.; D’Andrea, C.; Ohtani, B.; Valentini, G.; Selli, E. Fluorine-doped TiO2 materials: Photocatalytic activity vs. time-resolved photoluminescence. J. Phys. Chem. B. 2013, 117, 25586–25595. [Google Scholar] [CrossRef]
- Cao, K.; Jiang, Z.; Zhang, X.; Zhang, Y.; Zhao, J.; Xing, R.; Yang, S.; Gao, C.; Pan, F. Highly water-selective hybrid membrane by incorporating g-C3N4, nanosheets into polymer matrix. J. Membr. Sci. 2015, 490, 72–83. [Google Scholar] [CrossRef]
- Huang, S.; Xu, Y.; Xie, M.; Xu, H.; He, M.; Xia, J.; Huang, L.; Li, H. Synthesis of magnetic CoFe2O4/g-C3N4, composite and its enhancement of photocatalytic ability under visible-light. Colloids Surf. A 2015, 478, 71–80. [Google Scholar] [CrossRef]
- Tian, J.; Liu, Q.; Asiri, A.M.; Sun, X.; He, Y. Ultrathin graphitic C3N4, nanofibers: Hydrolysis-driven top-down rapid synthesis and application as a novel fluorosensor for rapid, sensitive and selective detection of Fe3+. Sens. Actuators B 2015, 216, 453–460. [Google Scholar] [CrossRef]
- Ong, W.J.; Tan, L.L.; Chai, S.P.; Yong, S.T. Graphene oxide as a structure-directing agent for the two-dimensional interface engineering of sandwich-like graphene-g-C3N4 hybrid nanostructures with enhanced visible-light photoreduction of CO2 to methane. Chem. Commun. 2015, 51, 858–861. [Google Scholar] [CrossRef] [PubMed]
- Liu, C.; Zhang, Y.; Dong, F.; Reshak, A.H.; Ye, L.; Pinna, N.; Zeng, C.; Zhang, T.; Huang, H. Chlorine intercalation in graphitic carbon nitride for efficient photocatalysis. Appl. Catal. B Environ. 2017, 203, 465–474. [Google Scholar] [CrossRef]
- Batchu, S.R.; Panditi, V.R.; O’Shea, K.E.; Gardinali, P.R. Photodegradation of antibiotics under simulated solar radiation: Implications for their environmental fate. Sci. Total. Environ. 2014, 470–471, 299–310. [Google Scholar] [CrossRef] [PubMed]
- Sutar, R.S.; Rathod, V.K. Ultrasound assisted Laccase catalyzed degradation of Ciprofloxacin hydrochloride. J. Ind. Eng. Chem. 2015, 31, 276–282. [Google Scholar] [CrossRef]
- Haddad, T.; Kümmerer, K. Characterization of photo-transformation products of the antibiotic drug Ciprofloxacin with liquid chromatography-tandem mass spectrometry in combination with accurate mass determination using an LTQ-Orbitrap. Chemosphere 2014, 115, 40–46. [Google Scholar] [CrossRef]
- Durán-Álvarez, J.C.; Avella, E.; Ramírez-Zamora, R.M.; Zanella, R. Photocatalytic degradation of ciprofloxacin using mono- (Au, Ag and Cu) and bi- (Au-Ag and Au-Cu) metallic nanoparticles supported on TiO2 under UV-C and simulated sunlight. Catal. Today. 2016, 266, 175–187. [Google Scholar] [CrossRef]
- Chen, F.; Yang, Q.; Wang, Y.; Yao, F.; Ma, Y.; Huang, X.; Li, X.; Wang, D.; Zeng, G.; Yu, H. Efficient construction of bismuth vanadate-based Z-scheme photocatalyst for simultaneous Cr(VI) reduction and ciprofloxacin oxidation under visible light: Kinetics, degradation pathways and mechanism. Chem. Eng. J. 2018, 348, 157–170. [Google Scholar] [CrossRef]
- Chen, Y.; Wang, A.; Zhang, Y.; Bao, R.; Tian, X.; Li, J. Electro-fenton degradation of antibiotic ciprofloxacin (CIP): formation of Fe3+-CIP chelate and its effect on catalytic behavior of Fe2+/Fe3+ and CIP mineralization. Electrochim. Acta 2017, S0013468617320443. [Google Scholar] [CrossRef]
- Perini, J.A.; Silva, B.F.; Nogueira, R.F. Zero-valent iron mediated degradation of ciprofloxacin–assessment of adsorption, operational parameters and degradation products. Chemosphere 2014, 117, 345–352. [Google Scholar] [CrossRef] [PubMed]












| Sample | (m2/g) | Standard Deviations of SBET | ore Volume (cm3/g) |
|---|---|---|---|
| Rectorite(RE) | 28.9 | 1.3 | 0.060 |
| g-C3N4 | 16.2 | 2.2 | 0.046 |
| CNRE-1:3 | 27.1 | 1.5 | 0.062 |
| Products | Molecular Formula | Structural Formula | m/z | Name |
|---|---|---|---|---|
| CIP | C17H18FN3O3 | ![]() | 332 | ciprofloxacin |
| P1 | C17H16FN3O5 | ![]() | 362 | 1-cyclopropyl-6-fluoro-7-(N-(2-formamidoethyl)formamido)-4-oxo-1,4-dihydroquinoline-3-carboxylic acid |
| P2 | C15H16N3FO3 | ![]() | 306 | 7-((2-aminoethyl)amino)-1-cyclopropyl-6-fluoro-4-oxo-1,4-dihydroquinoline-3-carboxylic acid |
| P3 | C14H11FN2O4 | ![]() | 291 | 1-cyclopropyl-6-fluoro-7-formamido-4-oxo-1,4-dihydroquinoline-3-carboxylic acid |
| P4 | C13H11FN2O3 | ![]() | 263 | 7-amino-1-cyclopropyl-6-fluoro-4-oxo-1,4-dihydroquinoline-3-carboxylic acid |
| P5 | C17H18FN3O4 | ![]() | 348 | 1-cyclopropyl-6-fluoro-2-methyl-4-oxo-7-(piperazin-1-yl)-1,4-dihydroquinoline-3-carboxylic acid compound with λ1-oxidane (1:1) |
| P6 | C16H18FN3O | ![]() | 288 | 1-cyclopropyl-6-fluoro-7-(piperazin-1-yl)quinolin-4(1H)-one |
| P7 | C9H8O | ![]() | 133 | 1-phenylprop-2-en-1-one |
© 2018 by the authors. Licensee MDPI, Basel, Switzerland. This article is an open access article distributed under the terms and conditions of the Creative Commons Attribution (CC BY) license (http://creativecommons.org/licenses/by/4.0/).
Share and Cite
Sun, Z.; Zhang, X.; Zhu, R.; Dong, X.; Xu, J.; Wang, B. Facile Synthesis of Visible Light-Induced g-C3N4/Rectorite Composite for Efficient Photodegradation of Ciprofloxacin. Materials 2018, 11, 2452. https://doi.org/10.3390/ma11122452
Sun Z, Zhang X, Zhu R, Dong X, Xu J, Wang B. Facile Synthesis of Visible Light-Induced g-C3N4/Rectorite Composite for Efficient Photodegradation of Ciprofloxacin. Materials. 2018; 11(12):2452. https://doi.org/10.3390/ma11122452
Chicago/Turabian StyleSun, Zhiming, Xiangwei Zhang, Rui Zhu, Xiongbo Dong, Jie Xu, and Bin Wang. 2018. "Facile Synthesis of Visible Light-Induced g-C3N4/Rectorite Composite for Efficient Photodegradation of Ciprofloxacin" Materials 11, no. 12: 2452. https://doi.org/10.3390/ma11122452
APA StyleSun, Z., Zhang, X., Zhu, R., Dong, X., Xu, J., & Wang, B. (2018). Facile Synthesis of Visible Light-Induced g-C3N4/Rectorite Composite for Efficient Photodegradation of Ciprofloxacin. Materials, 11(12), 2452. https://doi.org/10.3390/ma11122452









