Evaluation of Thermal-Mechanical Properties of Bio-Oil Regenerated Aged Asphalt
Abstract
1. Introduction
2. Molecular Models and Methods
2.1. Modeling and Simulations Details
2.2. Methods (Calculation Details)
2.2.1. Specific Heat Capacity
2.2.2. Thermal Expansion Coefficient
2.2.3. Elastic Constant
2.2.4. Young’s Modulus, Shear Modulus, and Bulk Modulus
3. Results and Discussions
3.1. Thermal Properties of BRAA
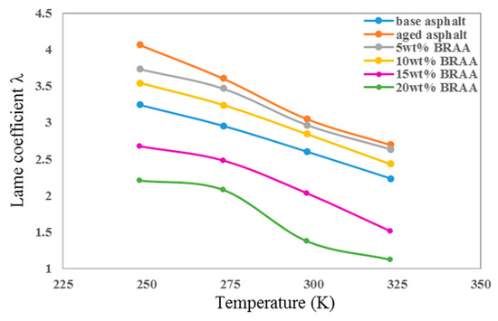
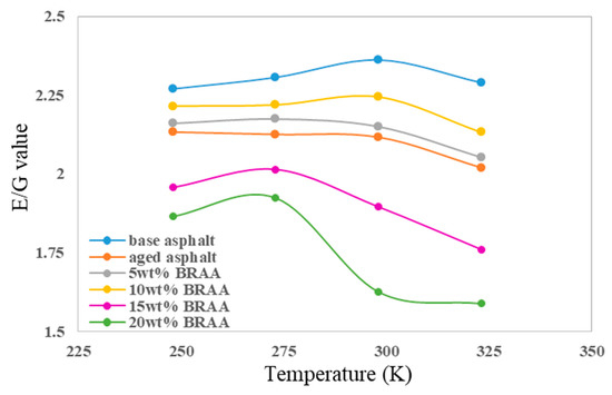
3.2. Mechanical Properties of BRAA
4. Conclusions
- (1)
- The aging process had a significant impact on the thermal properties of asphalt. Aged asphalt had lower specific heat capacity and thermal expansion coefficient than base asphalt. The addition of 5 wt% bio-oil could make the thermal properties of aged asphalt restore to the original level. When the amount of bio-oil was over 10 wt%, the thermal stability of asphalt would be affected, which made the performance of asphalt decrease rapidly with temperature rising.
- (2)
- The aged asphalt had higher elastic constants, Young’s modulus, and bulk modulus than base asphalt, which meant asphalt hardened after aging. The addition of bio-oil would soften the aged asphalt, which reduced the possibility of asphalt cracking. 5 wt% of bio-oil could increase the ductility of aged asphalt by 6.0%. As the amount of bio-oil increased, the structure of asphalt would be affected. When the addition of bio-oil was over 15 wt%, the ductility of aged asphalt would decrease instead.
5. Further Research Work
Author Contributions
Funding
Conflicts of Interest
References
- Wu, J.; Airey, G. The influence of aggregate interaction and aging procedure on asphalt aging. J. Test. Eval. 2009, 37, 402–409. [Google Scholar]
- Wu, S.; Pang, L.; Liu, G.; Zhu, J. Laboratory study on ultraviolet radiation aging of asphalt. J. Mater. Civ. Eng. 2010, 22, 767–772. [Google Scholar] [CrossRef]
- Mazzoni, G.; Bocci, E.; Canestrari, F. Influence of rejuvenators on asphalt ageing in hot recycled asphalt mixtures. J. Traffic Transp. Eng. 2018, 5, 157–168. [Google Scholar]
- National Asphalt Pavement Association. Hot Recycling of Yesterday; Recycling Report; National Asphalt Pavement Association: Lanham, MD, USA, 1977; Volume 1. [Google Scholar]
- Hamilton, J. Historical Oil Shocks; National Bureau of Economic Research: Cambridge, MA, USA, 1 February 2011. [Google Scholar]
- Shen, J.; Amirkhanian, S.; Miller, J. Effects of rejuvenating agents on superpave mixtures containing reclaimed asphalt pavement. J. Mater. Civ. Eng. 2007, 19, 376–384. [Google Scholar] [CrossRef]
- Xiao, F.; Amirkhanian, S.; Juang, C. Rutting resistance of rubberized asphalt concrete pavements containing reclaimed asphalt pavement mixtures. J. Mater. Civ. Eng. 2007, 19, 475–483. [Google Scholar] [CrossRef]
- Mallick, R.; Kandhal, P.; Bradbury, R. Using marm-mix asphalt technology to incorporate high percentage of reclaimed asphalt pavement material in asphalt mixtures. Transp. Res. Rec. J. Transp. Res. Board 2008, 2051, 71–79. [Google Scholar] [CrossRef]
- Rossi, C.; Caputo, P.; Loise, V.; Ashimova, S.; Teltayev, B.; Sangiorgi, C. A New Green Rejuvenator: Evaluation of Structural Changes of Aged and Recycled Bitumens by Means of Rheology and NMR. In RILEM 252-CMB-Symposium on Chemo Mechanical Characterization of Bituminous Materials; Springer: Arcavacata di Rende, Italy, 2018; pp. 177–182. [Google Scholar]
- Xiu, S.; Shahbazi, A. Bio-oil production and upgrading research: A review renewable and sustainable. Energy Rev. 2012, 16, 4406–4414. [Google Scholar]
- Fini, E.; Kalberer, E.; Shahbazi, A.; Basti, M.; You, Z.; Ozer, H.; Aurangzeb, Q. Chemical characterization of biobinder from swine manure: Sustainable modifier for asphalt binder. J. Mater. Civ. Eng. 2011, 23, 1506–1513. [Google Scholar] [CrossRef]
- Prakash, R.; Singh, R.; Murugan, S. Experimental investigation on a diesel engine fueled with bio-oil derived from waste wood-biodiesel emulsions. Energy 2013, 55, 610–618. [Google Scholar] [CrossRef]
- Yang, X.; You, Z. High temperature performance evaluation of bio-oil modified asphalt binders using the DSR and MSCR tests. Constr. Build. Mater. 2015, 76, 380–387. [Google Scholar] [CrossRef]
- Gao, J.; Wang, H.; You, Z.; Mohd Hasan, M.R. Research on properties of bio-asphalt binders based on time and frequency sweep test. Constr. Build. Mater. 2018, 160, 786–793. [Google Scholar] [CrossRef]
- Yang, X.; You, Z.; Dai, Q. Performance Evaluation of asphalt binder modified by bio-oil generated from waste wood resources. Int. J. Pavement Res. Technol. 2013, 6, 431–439. [Google Scholar]
- Yang, X.; You, Z.; Dai, Q.; Mills-Beale, J. Mechanical performance of asphalt mixtures modified by bio-oils derived from waste wood resources. Constr. Build. Mater. 2014, 51, 424–431. [Google Scholar] [CrossRef]
- Cuadri, A.; García-Morales, M.; Navarro, F.; Partal, P. Processing of bitumens modified by a bio-oil-derived polyurethane. Fuel 2014, 118, 83–90. [Google Scholar] [CrossRef]
- Williams, A.; Jones, J.; Ma, L.; Pourkashanian, M. Pollutants from the combustion of solid biomass fuels. Prog. Energy Combust. Sci. 2012, 38, 113–137. [Google Scholar] [CrossRef]
- Yang, S.; Suciptan, T.; Chang, Y. Investigation of rheological behavior of Japanese cedar based bio-binder as partial replacement for bituminous binder. In Proceedings of the Transportation Research Board 92nd Annual Meeting, Washington, DC, USA, 13–17 January 2013. [Google Scholar]
- Guarin, A.; Khan, A.; Butt, A.; Birgisson, B.; Kringos, N. An extensive laboratory investigation of the use of bio-oil modified bitumen in road construction. Constr. Build. Mater. 2016, 106, 133–139. [Google Scholar] [CrossRef]
- Sun, Z.; Yi, J.; Feng, D.; Kasbergen, C.; Scarpas, A.; Zhu, Y. Preparation of bio-bitumen by bio-oil based on free radical polymerization and production process optimization. J. Clean. Prod. 2018, 189, 21–29. [Google Scholar] [CrossRef]
- Sun, B.; Zhou, X. Diffusion and rheological properties of asphalt modified by bio-oil regenerant derived from waste wood. J. Mater. Civ. Eng. 2017, 119, 1–11. [Google Scholar] [CrossRef]
- Yang, X.; Mills-Beale, J.; You, Z. Chemical characterization and oxidative aging of bio-asphalt and its compatibility with petroleum asphalt. J. Clean. Prod. 2017, 142, 1837–1847. [Google Scholar] [CrossRef]
- Alder, B.; Wainwright, T. Studies in molecular dynamics. I. General method. J. Chem. Phys. 1959, 31, 459–466. [Google Scholar] [CrossRef]
- Rahman, A. Correlations in the motion of atoms in liquid argon. Phys. Rev. 1964, 136, A405. [Google Scholar] [CrossRef]
- Boek, E.; Yakovlev, D.; Headen, T.F. Quantitative molecular representation of asphaltenes and molecular dynamics simulation of their aggregation. Energy Fuels 2009, 23, 1209. [Google Scholar] [CrossRef]
- Pan, T.; Yu, Q.; Lloyd, S. Quantum-chemistry based study of beechwood lignin as an antioxidant of petroleum asphalt. J. Mater. Civ. Eng. 2013, 10, 1477–1488. [Google Scholar] [CrossRef]
- Allen, M.; Tildesley, D. Computer Simulation of Liquids; Oxford University Press: Oxford, UK, 22 August 2017. [Google Scholar]
- Zhang, L.; Greenfield, M. Effects of polymer modification on properties and micro-structure of model asphalt systems. Energy Fuels 2008, 22, 3363–3375. [Google Scholar] [CrossRef]
- Zhang, L.; Greenfield, M. Molecular orientation in model asphalts using molecular simulation. Energy Fuels 2007, 21, 1102–1111. [Google Scholar] [CrossRef]
- Groenzin, H.; Mullins, O. Molecular size and structure of asphaltenes from various sources. Energy Fuels 2000, 14, 677–684. [Google Scholar] [CrossRef]
- Li, D.; Greenfield, M. Chemical compositions of improved model asphalt systems for molecular simulations. Fuel 2014, 115, 347–356. [Google Scholar] [CrossRef]
- Bai, A.; Zhou, X. Self-healing Properties of Bio-oil Regenerated Asphalt. J. Chongqing Jiaotong Univ. (Nat. Sci.) 2018, 8, 29–33. [Google Scholar]
- Nie, Y.; Zhang, Y.; Yu, J.; Kuang, D.L.; Zhang, X.P. Research on aging mechanism and recycling mechanism based on asphalt four components analysis. Appl. Mech. Mater. 2012, 204–208, 1659–1664. [Google Scholar] [CrossRef]
- Zhang, R. Fuels and Chemicals Derived from Biomass; Zhengzhou University Press: Zhengzhou, China, September 2004. [Google Scholar]
- Halliday, D.; Resnick, R. Fundamentals of Physics; John Wiley & Sons: Hoboken, NJ, USA, 1981. [Google Scholar]
- Tipler, P.; Mosca, G. Physics for Scientists and Engineers; Macmillan: London, UK, 2007. [Google Scholar]
- McNaught, A. Compendium of Chemical Terminology; Blackwell Science: Oxford, UK, 1997. [Google Scholar]









| Saturates | Aromatics | Resins | Asphaltenes | Acetic Acid | 1-Carboxy-2-Propanone | Methanol | |
|---|---|---|---|---|---|---|---|
| base asphalt | 13.20% | 51.70% | 26.90% | 8.20% | |||
| aged asphalt | 11.60% | 37.20% | 28.00% | 23.20% | |||
| 5 wt% BRAA | 11.05% | 35.43% | 26.67% | 22.10% | 2.86% | 1.20% | 0.70% |
| 10 wt% BRAA | 10.55% | 33.82% | 25.45% | 21.09% | 5.47% | 2.28% | 1.34% |
| 15 wt% BRAA | 10.09% | 32.35% | 24.35% | 20.17% | 7.84% | 3.28% | 1.92% |
| 20 wt% BRAA | 9.67% | 31.00% | 23.33% | 19.33% | 10.02% | 4.19% | 2.46% |
© 2018 by the authors. Licensee MDPI, Basel, Switzerland. This article is an open access article distributed under the terms and conditions of the Creative Commons Attribution (CC BY) license (http://creativecommons.org/licenses/by/4.0/).
Share and Cite
Yang, T.; Chen, M.; Zhou, X.; Xie, J. Evaluation of Thermal-Mechanical Properties of Bio-Oil Regenerated Aged Asphalt. Materials 2018, 11, 2224. https://doi.org/10.3390/ma11112224
Yang T, Chen M, Zhou X, Xie J. Evaluation of Thermal-Mechanical Properties of Bio-Oil Regenerated Aged Asphalt. Materials. 2018; 11(11):2224. https://doi.org/10.3390/ma11112224
Chicago/Turabian StyleYang, Tianyuan, Meizhu Chen, Xinxing Zhou, and Jun Xie. 2018. "Evaluation of Thermal-Mechanical Properties of Bio-Oil Regenerated Aged Asphalt" Materials 11, no. 11: 2224. https://doi.org/10.3390/ma11112224
APA StyleYang, T., Chen, M., Zhou, X., & Xie, J. (2018). Evaluation of Thermal-Mechanical Properties of Bio-Oil Regenerated Aged Asphalt. Materials, 11(11), 2224. https://doi.org/10.3390/ma11112224

