Next Article in Journal
Preparation and Characterization of Expanded Clay-Paraffin Wax-Geo-Polymer Composite Material
Previous Article in Journal
Characterization and Corrosion Resistance of Boron-Containing-Austenitic Stainless Steels Produced by Rapid Solidification Techniques
 
 
Font Type:
Arial Georgia Verdana
Font Size:
Aa Aa Aa
Line Spacing:
Column Width:
Background:
Article

Effect of Ratio in Ammonium Nitrate on the Structural, Microstructural, Magnetic, and AC Conductivity Properties of BaFe12O19

by
Raba’ah Syahidah Azis
1,2,*,
Nor Nadhirah Che Muda
2,*,
Jumiah Hassan
1,2,
Abdul Halim Shaari
1,
Idza Riati Ibrahim
2,
Muhammad Syazwan Mustaffa
1,
Sakinah Sulaiman
2,
Khamirul Amin Matori
1,2 and
Yap Wing Fen
1
1
Department of Physics, Faculty of Science, University Putra Malaysia, 43400 UPM Serdang, Selangor, Malaysia
2
Materials Synthesis and Characterization Laboratory, Institute of Advanced Technology (ITMA), University Putra Malaysia, 43400 UPM Serdang, Selangor, Malaysia
*
Authors to whom correspondence should be addressed.
Materials 2018, 11(11), 2190; https://doi.org/10.3390/ma11112190
Submission received: 4 September 2018 / Revised: 22 September 2018 / Accepted: 26 September 2018 / Published: 6 November 2018
(This article belongs to the Section Materials Physics)

Abstract

This paper investigates the effect of the ratio of ammonium nitrate (AN) on the structural, microstructural, magnetic, and alternating current (AC) conductivity properties of barium hexaferrite (BaFe12O19). The BaFe12O19 were prepared by using the salt melt method. The samples were synthesized using different powder-to-salt weight ratio variations (1:3, 1:4, 1:5, 1:6 and 1:7) of BaCO3 + Fe2O3 and ammonium nitrate salt. The NH4NO3 was melted on a hot plate at 170 °C. A mixture of BaCO3 and Fe2O3 were added into the NH4NO3 melt solution and stirred for several hours using a magnetic stirrer under a controlled temperature of 170 °C. The heating temperature was then increased up to 260 °C for 24 hr to produce an ash powder. The x-ray diffraction (XRD) results show the intense peak of BaFe12O19 for all the samples and the presence of a small amount of the impurity Fe2O3 in the samples, at a ratio of 1:5 and 1:6. From the Fourier transform infra-red (FTIR) spectra, the band appears at 542.71 cm 1 and 432.48 cm 1 , which corresponding to metal–oxygen bending and the vibration of the octahedral sites of BaFe12O19. The field emission scanning electron microscope (FESEM) images show that the grains of the samples appear to stick each other and agglomerate at different masses throughout the image with the grain size 5.26, 5.88, 6.14, 6.22, and 6.18 µm for the ratios 1:3, 1:4, 1:5, 1:6, and 1:7 respectively. From the vibrating sample magnetometer (VSM) analysis, the magnetic properties of the sample ratio at 1:3 show the highest value of coercivity Hc of 1317 Oe, a saturation magnetization Ms of 91 emu/g, and a remnant Mr of 44 emu/g, respectively. As the temperature rises, the AC conductivity is increases with an increase in frequency.

1. Introduction

Barium hexaferrites (BaFe12O19) have a hexagonal magnetoplumbite structure [1] and they are considered to be unique materials. They are hexagonal, with space group P63/mmc (No. 194) with lattice dimensions a = b ≈ 5.90 Å, c ≈ 23.30 Å containing 38 oxygen ions, 24 iron ions, and two barium ions [2,3]. This is due to its interesting properties, such as high chemical stability [4], large magnetocrystalline anisotropy [1], large saturation magnetization [5], high coercivity [1], and high resistivity [6]. In contrast to other complex iron oxides, i.e., orthoferrites and spinel-ferrites, the real part of the dielectric constant for diamagnetically substituted hexaferrites decreases more slowly at low frequencies, and almost monotonically with diamagnetic substitution. The real and imaginary parts of the permeability have a peak near 50 GHz, which is determined by the level of diamagnetic substitution [7]. BaFe12O19 ferrites are used in many aspects of technology, such as high frequency microwaves [8,9,10], magnetic recording media [11], permanent magnets, magnetic sensor applications [12], sensors [13,14,15], etc. Apart from that, BaFe12O19 ferrites are also used in water purifiers to separate the paramagnetic minerals and to eliminate some of metallic impurities in water [16]. Steel wastes such as steel scraps or mill scales are waste materials that form on the surface of the steel during the steel making process [17]. Mill scales are attractive industrial wastes due to their high iron content of about 72%, low levels of impurities, and stable chemical composition [18,19,20]. They consist of wuestite (FeO), hematite (α-Fe2O3), and magnetite (Fe3O4) [17]. High purities of α-Fe2O3 can be produced from the mill scale separation process [20]. Hematite, which is also known as iron (III) oxide (α-Fe2O3), has a hexagonal close packing of O2, with 2/3 of the interstices being filled with Fe3+, and each cation being surrounded by six O2 ions [1]. With the consideration of its high iron composition [18], steel wastes can be used to produce Fe2O3, which is used as a raw material in ferrite production. Recent studies have also recently discovered the large spontaneous polarization and multiferroic properties at room temperature in barium hexaferrites substituted by diamagnetic cations. Herewith, the magnetoelectric characteristics of M-type hexaferrites fabricated by a modified ceramic technique are more advanced than those for the well-known room temperature BiFeO3 orthoferrite, multiferroic [21].
Many techniques were reported for the synthesis of BaFe12O19. These include sol gel [22], hydrothermal [23], high energy ball milling [24,25], and conventional solid reaction methods [26,27,28] and etc. The conventional solid-state reaction method of preparing BaFe12O19 by mixing oxides and carbonates have some disadvantages, such as the production of chemical inhomogeneity, and the introduction of impurities during the milling process [25]. The properties of ceramic ferrite materials are known to be strongly influenced by their composition and microstructures that are sensitive to the processing method [29]. Salt melt synthesis is a modification of the powder metallurgical method, in which salt with a low melting point is added to the reactants and heated above the melting point of the salt [30]. This synthesis begins with liquid phase solution or wet-chemical synthesis, and utilizes a solution medium, in which the target materials are generated from a series of chemical and physical transformations. Compared to solid-state reactions for which the rates are usually limited by the slow diffusion of the reactants, the reaction temperature of salt melt synthesis is lower, as it allows for faster mass transfer transport in the liquid phase by the means of convection and diffusion. Solvation is a crucial step for the solvent-based synthetic routes, but molecular solvents hardly solvate many inorganic-like metals and oxides. However, destabilization of metallic, ionic, or covalent bonds by solvent interactions becomes possible at high temperatures in the presence of strong polarizing forces, which can be provided by salt melts—a pool of ionized cations and anions. On the other hand, as many types of salts dissolve in water by nature, salt melt synthesis (SMS) has the advantage of easy isolation of the product. Salt melt systems have been used as a reaction media for the growth of a single crystal [31], high temperature liquid batteries electrolytes [32], high-energy rechargeable metallic lithium batteries [33], and in the electrolysis of refractory metals [33,34,35]. An oxygen-rich precursor is obtained by heating the mixture of ammonium nitrate solution and iron oxide at 260 °C, which is suitable for the formation of complex oxides [36]. The parallel relationship of powder-to-salt ratio, and the magnetic properties of hexagonal ferrite are optimized and closely observed. The ratio of AN salts to oxide during the synthesis of the materials gives effects on the morphology of the samples [37]. According to previous reports on barium ferrite synthesis, none of these studies reported on preparing BaFe12O19 using the salt melt method. The specific purpose of this research study is to observe the effect of the ratios of ammonium nitrate salt on the structural, microstructural, magnetic, and AC conductivity properties of hexagonal BaFe12O19, using a new approach of chemical route.

2. Materials and Methods

2.1. Synthesis of BaFe12O19 via the Salt Melt Method

The BaFe12O19 powder was prepared using the ammonium nitrate salt melt method. The barium carbonate, BaCO3 (SYSTERM.98%), and ammonium nitrate, NH4NO3 (AN) (SYSTERM) reagents used were of analytical grade from Systerm without any further purification. The raw material Fe2O3 were synthesized and reutilized from steel waste products using a magnetic separation technique as previously reported by [38,39]. The calculations of the masses of the sample composition components, and the formation of the weights were performed according to the stoichiometric proportion of the general equation of reaction (Equation (1)):
BaCO3 + 6Fe2O3 → BaFe12O19 + CO2
The chemicals were mixed with powders to salt molar ratios of 1:3, 1:4, 1:5, 1:6, and 1:7. The ammonium nitrate salts were added into a beaker and heated until melted at 170 °C. The mixed Fe:Ba powders were added into a beaker with melted ammonium nitrate and kept at room temperature. Fe2O3, BaCO3 powder, and ammonium nitrate NH4NO3 salt (AN) were varied from 1:3 to 1:7. The mixed solution was kept stirred on the hotplate at 260 °C, to form a precipitate on the surface of the glass beaker. The precipitate was dried on the hotplate until a brown-reddish ash was formed. The powders were added with the binder polyvinyl alcohol (PVA) at 1 wt %, and pressed at 5 tons to form pellets. The pellets were finally sintered at 1300 °C for 6 hr, and were then ready for characterization.

2.2. Characterizations of BaFe12O19

The phase identification for the sintered sample was examined with X-ray diffraction, XRD (Philip Expert Pro PW3040) (Grovewood Road, Malvern, UK). The XRD scan ranged from 20 to 80°, with a 0.016° step size at room temperature, operating at 40 kV and 30 mA using CuKα (0.154 nm). The microstructure was observed through a FEI NOVA NanoSEM 230 Field Emission Scanning Electron Microscope, FESEM (Kensington, Sydney, Australia), and the grain size was measured by the mean linear intercept method, involving over 150 grains. The Fourier infrared spectra (200–4000 cm−1) was recorded using a Fourier transform infra-red (FTIR) spectrometer (Perkin Elmer model 1650) (Winter Street, Waltham, MA, USA) to determine the infrared spectrum of absorption and emission bands of the sample. The density (ρexp) was measured using the Archimedes method, with water as the liquid medium. The theoretical density, ρxrd was calculated using the following equation (Equation (2)):
ρ xrd = 2 M N a V cell
where the ρxrd is the theoretical density, the constant 2 represents the number of formula units in a units cell, M is the molar mass, Na represents Avogadro’s number, and Vcell is the volume of unit cells which were calculated using the equation (Equation (3)):
V cell = 3 2 a 2 c
where a and c are the lattice constants calculated by indexing the X-ray diffraction (XRD) pattern.
The experimental densities observed were smaller compared to that of the calculated X-ray density, due to the particle coarsening and densification process during the heating process [24]. The relative density and porosity values were calculated using the relation given by Equation (4) [40]:
ρxrd = 8M/Naa3
ρr = [(ρexp/ρxrd)] × 100%
where ρr is the relative density, ρxrd is the X-ray density, M is the molecular weight of a sample, Na is Avogadro’s number, and ‘a’ is the lattice constant, which was calculated by indexing the XRD pattern.
The percentage of the porosity of the sintered samples was calculated using the relation (Equation (5)):
Porosity   ( %   P ) = ( 1 ρ exp ρ t h e o r e t i c a l ) × 100 %
where ρexp is the experimental density determined from the Archimedes principle.
The magnetic properties were measured by a vibrating sample magnetometer (VSM) Model 7404 LakeShore (Westerville OH, Paris, France). The measurement was carried out at room temperature. The external field applied was 12 kOe parallel to the sample. The Curie temperature of the samples was measured using the Precision LCR Meter H284A Hewlett Packard (Petaling Jaya, Selangor, Malaysia). The sample was wound with 10 turns of copper wire. Then, the sample was placed in a muffle furnace, and the experiment was conducted, starting from room temperature to 600 °C. The value of inductance, Ls, against temperature, T, with an increment of 30 °C, was recorded from the LCR meter at a frequency of 10 kHz. Electrical conductivity properties were measured on the sintered pellets using an Agilent HP4294A High Precision Impedance Analyzer, (Petaling Jaya, Selangor, Malaysia) and an LT furnace. To ensure that the sample made good electrical contact with the electrodes of the sample holder, silver paint was applied on both surfaces of the pellets. The conductivity properties of material were measured in a frequency range from 40 Hz to 1 MHz, and in a narrow temperature range of 30 to 180 °C. Electrical AC conductivity (σAC) was quantified by electrical conduction, due to an applied AC field through the samples. The σAC was found to follow the unique conductive properties of a semiconductor at higher temperatures. The σAC can be described via Jonsher’s universal power law [41,42] (Equation (6)):
σ T ( ω ) = σ d c ( 0 ) + A ω n
where σdc is the DC conductivity, which is the frequency-independent conductivity. The AC conductivity σac obeys the Almond–West universal power law described as Equation (7):
σ ac ( ω ) = A ω n
where A is the AC coefficient, which is a temperature-dependent quantity, and n is the frequency exponent of the mobile ions, with the range 0 < n < 1. The quantity σac (ω) is the frequency-dependent conductivity used for analyses. The AC conductivity is calculated using the dielectric parameters Equation (8):
σ AC = ω ε o ε r "
where ω is the angular velocity, εo is the permittivity of free space, and εr is the dielectric loss factor calculated using Equation (9):
ε r " = G d ε o ω A
where G is the conductance, d is the thickness, and A is the cross sectional area of the samples.

3. Results and Discussion

3.1. Structural Analysis

The XRD spectra of the sintered BaFe12O19 of various powders to salt ratios are given in Figure 1. The observed peaks corresponded to the formation of the BaFe12O19 structure for all ratios. Therefore, based on the XRD spectra, BaCO3 could be decomposed and BaFe12O19 could be formed through the salt-melt synthesis method by the diffusion of Ba2+, Fe3+, and O2− ions with subsequent sintering, without going through calcination or pre-sintering treatments. The peaks were observed and indexed to the ICSD reference code of 98-001-9939. Increasing the amount of AN contents from 1:5 to 1:6 ratios led to an increase in the amount of Fe2O3 phase. Well-defined sharp peaks indicate the good crystalline quality of the samples [24,43,44].
However, the intermediate phase, Fe2O3, was observed for powders having ratios of 1:5 and 1:6, and the diffraction planes matched well with JCPDS card no. of 98-004-6404 (Table 1). This was due to incomplete reactions and the homogenization process that occurs in the samples, even when a higher temperature is applied [45]. The crystal structure of BaFe12O19 could be described by two space groups, the classical P63/mmc (No.194) and P63mc (No.186) space groups. The first and second space groups were used for describing the crystal structure to explain the existence of non-zero spontaneous polarization. This was a polar centrosymmetric and non-centrosymmetric space group [2].
Furthermore, the presence of Fe2O3 was possibly due to the solubility rates of oxide, which are generally low, while that of carbonates is high [14,15,30,46]. Besides, it was observed from the spectra that the intensity of the peaks for samples having ratios of 1:5 and 1:6 were relatively lower than the other samples. The reduction of the peak’s intensity was prominent in sample having a ratio of 1:6, which in the presence of Fe2O3 was relatively high. By further increasing the amount of AN content resulted in compositional homogeneity, which only existed in the BaFe12O19 phase as the major phase in the sample, having a ratio of 1:7, though the degree of crystallinity was not as high as in samples with ratios of 1:3 and 1:4. The BaFe12O19 peaks corresponded to the diffraction planes (110), (008), (112), (017), (114), (020), (018), (023), (025), (026), (127), (034), (1211), (220), (0116), and (137), respectively, with hexagonal structures [13,40].
The characteristics of the lattice constants a and c of hexagonal ferrites were calculated according to (Equation 10) [47]:
1 d 2 = 4 3 ( h 2 + h k + k 2 a 2 ) + 1 c 2
where (hkl) are the miller indices, while d is the interplanar distance given by the Bragg formula, 2 d sin θ = n λ . The volume of the unit cell for all samples was obtained using a and c parameters according to the relation in (Equation 9). The variations of structural parameters, such as the lattice parameter, unit cell volume, X-ray density, and porosity are shown in Table 2. The obtained lattice parameters a, c, and the volume of the unit cell (Table 1) were in good agreement, as reported by [1,48], which shows the perfectness of the crystal structure of BaFe12O19. The X-ray density, ρxrd, of this sample, was higher than for single crystals [1], which was due to the larger lattice constant (a) obtained from this work.
The values of both lattice parameters (a and c) change with increase in temperature. This could be attributed to Fe3+ in octahedral coordination, which has a larger ionic radius than Fe3+ in tetrahedral and pentahedral coordinations, but Fe2+ has a larger ionic radius than Fe3+ in the same coordination. [49]. In addition, this phenomenon was due to the microstructural defects and interactions between cations [50]. The density values decreased as the AN contents increased (Figure 2a) while the porosity of the samples increased from 19.41% to 23.24% as the AN salts increased (Figure 2b). The nitrate decomposition and gas release during the sintering process led to the formation of the porous volume. The stability of the AN salts significantly affected various parameters, such as the particle granulation, particle size distribution, bulk density, porosity, etc.
A large amount of pores led to a decrease in sample density values [14]. It is important to pay attention to the amount of porosity in the BF system, because a higher amount of porosity would result in more pinning centers to the movement of the domain walls, thus increasing the demagnetizing effects in the sample, and reducing its magnetic properties. The influence on magnetic properties will be discussed in details in the magnetic properties section.
The FTIR spectra of BaFe12O19 before and after sintering are shown in Figure 3a,b. The FTIR spectra show the characteristic peaks in the required region, which are 1413, 815.25, 542.71 and 432.48 cm−1. From Figure 3a, it can be seen that the FTIR characteristics transmittance absorption peak at 1413 cm−1 was attributed to C–O stretching, CH2 stretching, and C=O [51,52]. The absorption bands at 815.25 cm−1 and 728.12 cm−1 were assigned to the N–O bending vibration of NO3, and to C–N stretching from the ammonium nitrate used in the reaction. [51,52,53].
Figure 3b shows the FTIR characteristic of the absorption band of BaFe12O19 appearing at 542.71 cm−1 and 432.48 cm−1 [54,55], which corresponds to metal–oxygen bending and the vibration of octahedral sites of BaFe12O19 (Table 3).
The vibration wavenumbers are in agreement with previous reports by Mali et al. [53] and Mandizadeh et al. [54]. This shows that there were no other elements, such as ammonia, that were used in the experiment. All of the sample series exhibited typical M-type hexaferrite spectra.

3.2. Microstructural Analysis

The FESEM micrographs and the average grain size distributions are shown in Figure 4a–e. As confirmed by the grain size distribution histograms, a large distribution of grain sizes was produced, and all of the distributions were generally in the range of 2–12 µm [13]. Based on the FESEM image, for all samples, some of the grains had nearly spherical shapes, and others had elongated shapes [56,57,58,59]. The grains of the samples appeared to stick each other and agglomerate at different masses throughout the image. The sample with the least powder-to-salt weight ratio had a small grain size compared to the other sample. This was because, at higher salt contents, an increase in grain size due to an increase in the mean particle separation during the salt melt synthesis was produced, leading to enlarged growth without the hindrance of the concomitant growth of surrounding particles or the fusion of particles onto each other [30,37].
Diffusion is a fundamental process that can happen during sample preparation. By applying heat onto the solution, the particles are enabled to be always in contact with each other atomically, and due to microcrystalline grains, required diffusion distances are minimized. During the reaction, the molten salt acted as a nucleation site and controlled the morphology and crystal orientation of the ferrite particles. Also, due to the formation of defects during synthesis, the diffusion may be high. In addition, by the formation of micron-crystalline particles, diffusion can hardly take place through the migration of grain boundaries.
It can be seen that AN addition enhanced the growth rate of the reactant materials, thus leading to enlargement of the grain size. It was also found that a large amount of AN salts also led to an increase of pore formation (Figure 5a,b).

3.3. Magnetic Hysteresis

Figure 6 shows the magnetization M—magnetic field H hysteresis loop of the BaFe12O19-sintered samples, and the magnetic parameters measured in the field of 10,000 Oe are presented in Table 4. The hysteresis graph shows the effect of the magnetic parameters; coercivity Hc, saturation magnetization Ms, and remanence Mr, with increasing AN contents. It could be observed that the hysteresis loop confirmed that a strong interaction of magnetic moments within domains occurred due to exchange forces where hysteresis loops with a sigmoid shape could be observed. This observed behavior could be considered to be the formation of the ordered magnetism in the sample. In fact, to obtain an ordered magnetism and a well-formed MH hysteresis loop, there must exist a significant domain formation, a sufficiently strong anisotropy field, Ha, and optional addition contributions that come from defects such as grain boundaries and pores [9,60].
The magnetic parameters Hc, Ms, and Mr (Figure 6 and Figure 7) decreased with increasing AN contents. These results showed that the addition of salts influenced the magnetic properties of the BaFe12O19 powders. Large amounts of AN salts yielded a large amount of diamagnetic substances in a ferromagnetic BF system. A sample ratio of 1:3 produced maximum magnetic properties with the values of Hc being 1317 Oe, Ms being 90.85 emu/g, and Mr being 43.83 emu/g, which was higher compared to other methods for synthesizing BaFe12O19 [4,61,62,63]. The value of magnetization, Ms, of the sample ratio 1:3 was higher than that of single crystals (Ms is 72 emu/g) due to the formation of high-weight fractions of magnetic phases in the samples. The high values of the magnetic parameters Mr, Ms, and Hc were associated with structural properties, particularly the phase composition of BaFe12O19 powders, as well as the microstructure of the samples [4].
The increased amounts of AN salts resulted in a reduction of the magnetic properties and an enlargement of the grain size [38] (Figure 8). The reduction of the magnetic properties, particularly the Ms values, were predominantly attributed to the intrinsic factors, which were the degrees of crystallinity and crystalline phases that existed in the samples. It was clearly observed before the Figure 1 that the intermediate Fe2O3 phase that existed in the samples had ratios of 1:5 and 1:6. However the Ms value was insignificantly affected, for a sample having a ratio of 1:5, due to only a minute amount of Fe2O3 being present in the sample, besides having a high intensity of the main crystalline peaks, as compared to that of the sample having a ratio of 1:6. Therefore, a reduction of Ms could be observed in the sample, having a ratio of 1:6, resulting from the reduction in the crystallinity and the significant existence of the intermediate Fe2O3 phase.
While Ms was strongly affected by the intrinsic factors, Hc also depended on the degree of crystallinity and magnetic anisotropy, but most importantly on the microstructure properties. The latter progress indicated that the grain size strongly affected the resulting magnetic properties [64,65,66], which was also demonstrated by the samples in this study (see Table 4).
Dho et al. [64] stated that the pinning of magnetization at the grain boundaries was the most likely cause for determining the coercivity. Furthermore, with larger grain size, the existence of size-shape anisotropy was negligible, and the coercivity caused by grain boundary pinning would be insignificant, as each grain is in the multi-domain state. It is known that a few micron sizes are large enough to be a multi-domain state, and the coercivity caused by intrinsic factors within the grains should be very small. This results in the coercivity being more affected by the grain size [20].
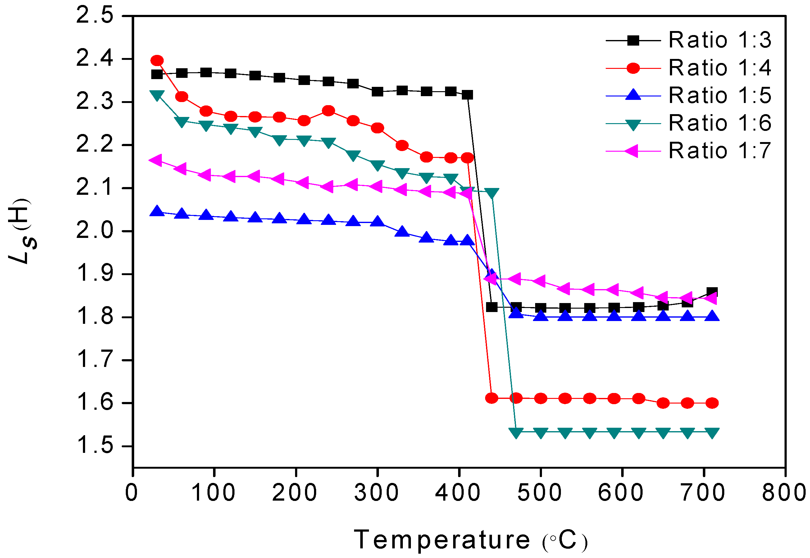
Figure 9 shows the graph of inductance, Ls, versus temperature, which determines the Curie temperature, Tc, of all samples. It can be observed that all of the samples experienced a transition from a ferromagnetic to a paramagnetic state above Tc. The Tc for the powder-to-salt weight ratio of 1:3, 1:4, 1:5, 1:6, and 1:7 were 440, 438, 465, 460, and 444 °C, respectively. These values were very close to 450 °C, the value presented in literature [1,5]. The sample powder-to-salt weight ratios of 1:5 and 1:6 had greater Tc values because of a Fe2O3 phase in the sample, as shown in XRD analysis. This can be explained by the increase in the amount of Fe ions, where there is also an increase in the exchange interaction of the ions [67].
The effect of oxygen stoichiometry through oxygen loss that occurred during sintering temperature at 1300 °C would cause the reduction in Fe3+ to Fe2+, in order to stabilize the composition after oxygen loss. The strength of the exchange interaction was no longer the same, since more oxygen was missing from the structure. The formation of higher amounts of Fe2+ also contributed to the mobility of the electron between Fe2+ and Fe3+. Consequently, the reduction of Fe3+ to Fe2+ would affect the interaction, therefore reducing the magnetization, since the net magnetic moment in the barium hexaferrite sample was contributed to by the Fe3+ interaction. Stoichiometric changes were also observed through the Curie temperature and the Tc measurement, whereas the Tc value was highly related to the composition or the stoichiometry inside the sample. It is known that the Tc is depends on the exchange interaction between the magnetic ions in the sample [68]. Thus, the presence of the α-Fe2O3 and γ-Fe2O3 phases in the samples affects the Curie temperature [69]. The discrepancy of the Curie temperature is not affected by the microstructural changes, because it is strongly affected by the crystal structure and the compositional stoichiometry [70].

3.4. AC Conductivity

The variation of AC conductivity (σAC) with frequency f in the log scale (f = 40–106 Hz) at different temperatures (303–453 K) is shown in Figure 10a–e. The experimental σac conductivity was well-fitted with Johnscher’s power law. The AC conductivity increased with the frequency as the temperature increased. It was highly temperature-dependent [13,14,15]. According to Johnscher’s universal power law, the frequency independence plateau from 40 Hz to 10 kH was attributed to DC-like conductivity. The data analysis showed that the conductivity increased at a high frequency (107 Hz), where the results showed that the conductivity was not temperature-dependent, but frequency-dependent. The conductivity remained almost constant in the low-frequency region, but exhibited dispersion for higher frequencies (f > 104 Hz) [13,14,15]. The effect of diamagnetic substitution in barium hexaferrite will have an effect on the slow decrease at low frequency in the dielectric constant value. The level of diamagnetic substitution also results in a peak near 50 GHz in the real and imaginary parts of permeability [7].
The dispersion in conductivity with frequency has been explained by the Koops theorem [71], where the ferrite is composed of two layers: grain with high conductivity, and a grain boundary with poor conductivity. At lower frequencies, grain boundaries are effective with high resistance, giving a constant conductivity; at higher frequencies, the increase in conductivity with the frequency is due to the grain effect, as well as the increase in the hopping of the charge carriers Fe2+ ↔ Fe3+ at the adjacent octahedral sites. Due to the improvement in the hopping process of the electron, it causes the conductive grains to become more active, thus increasing the conductivity [72,10]. The hopping depends on the local displacement of charges and the concentration of the ferric and ferrous ions at the octahedral sites.
Generally, the increase in AN salts led to larger grain; thus, resulting in higher conductivity (Table 5). The larger grains led to thinner grain boundaries, with less atoms that were in a state of disorder and defect in the material. With fewer amounts of defects that blocked the carrier transition, it resulted in a decrease in resistivity, and an increase in conductivity. Thus, it is probable that BaFe12O19 has a higher electrical conductivity, due to the ratio of the volume of BaFe12O19 and the decrease in the disorder.

4. Conclusions

BaFe12O19 were successfully prepared by ammonium nitrate variation in the salt melt technique derived from steel wastes. XRD analysis studies confirmed that the synthesized BaFe12O19 formed the hexagonal structure. The FTIR characteristics peaks appeared at 542.71 cm 1 and 432.48 cm 1 which confirmed the metal–oxygen bending, and the vibration of octahedral sites of BaFe12O19. Increasing the powder-to-AN salts ratio has been observed to produce larger grain sizes, with less grain boundaries in the samples. The samples with a powder-to-salt weight ratio of 1:3 were found to produce the highest coercivity, saturation magnetization, and remnants, with a value of 1317 Oe, 91 emu/g and 44 emu/g, respectively. Addition of diamagnetic salts, which increase the salt ratio, reduced the magnetic properties of the samples. The presence of small amounts of Fe2O3 in some samples increased the Curie temperature, Tc, of the sample, due to the increase in the exchange interaction between the Fe ions. AC conductivity is a thermally activated process, since the AC conductivity increases with an increase in frequency as the temperature rises. This research work has highly potential for its low cost, and can be used to recycle approached permanent magnet fabrications used in motors, loudspeakers, and electromagnetic (EM) absorber applications.

Author Contributions

All authors have contributed to the final manuscript of the present investigation. “Conceptualization, R.S.A. and N.N.C.M.; Methodology, R.S.A. and N.N.C.M., Formal Analysis, R.S.A. and N.N.C.M., Writing-Original Draft, R.S.A., N.N.C.M., J.H., A.H.S., I.R.I., M.S.M., K.A.M. and Y.W.F.; Writing-Review & Editing, M.S.M. and R.S.A.; Investigation, N.N.C.M. and S.S., Project Administration, R.S.A.”.

Funding

This research was funded by Research University Grants (GP-IPS, Impact Grants), Universiti Putra Malaysia and Fundamental Research Grants Scheme (FRGS), Ministry of Education Malaysia (01-014-16-1835FR).

Acknowledgments

The authors would like to thank the Department of Physics, Faculty of Science and the Institute of Advanced Technology (ITMA), University Putra Malaysia, 43400 UPM Serdang, Selangor, Malaysia for the measurement facilities. The author also would like to thank to the Research University Grants (GP-IPS, Impact Grants), University Putra Malaysia and the Fundamental Research Grants Scheme (FRGS) (01-014-16-1835FR) Ministry of Education Malaysia for the funds.

Conflicts of Interest

The authors declare no conflict of interest.

References

  1. Pullar, R.C. Hexagonal ferrites: A review of the synthesis, properties and applications of hexaferrite ceramics. Prog. Mater. Sci. 2012, 57, 1191–1334. [Google Scholar] [CrossRef]
  2. Trukhanov, A.V.; Trukhanov, S.V.; Balagurov, A.M.; Kostishyn, V.G.; Trukhanov, A.V.; Panina, L.V.; Trukhanova, E.L. Features of crystal structure and dual ferroic properties of BaFe12−xMexO19 (Me = In3+ and Ga3+; x = 0.1–1.2). J. Magn. Magn. Mater. 2018, 464, 139–147. [Google Scholar]
  3. Summergard, R.N.; Banks, E. New hexagonal ferrimagnetic oxides. J. Phys. Chem. Solids 1957, 2, 312–317. [Google Scholar] [CrossRef]
  4. Meng, Y.Y.; He, M.H.; Zeng, Q.; Jiao, D.L.; Shukla, S.; Ramanujan, R.V.; Liu, Z.W. Synthesis of barium ferrite ultrafine powders by a sol–gel combustion method using glycine gels. J. Alloys Compd. 2014, 583, 220–225. [Google Scholar] [CrossRef]
  5. Campbell, P. Permanent Magnet Materials and Their Application; Cambridge University Press: Cambridge, UK, 1994. [Google Scholar]
  6. Martirosyan, K.S.; Galstyan, E.; Hossain, S.M.; Wang, Y.J.; Litvinov, D. Barium hexaferrite nanoparticles: Synthesis and magnetic properties. Mater. Sci. Eng. B 2011, 176, 8–13. [Google Scholar] [CrossRef]
  7. Trukhanov, S.V.; Trukhanov, A.V.; Kostishyn, V.G.; Panina, L.V.; Trukhanov, A.V.; Turchenko, V.A.; Tishkevich, D.I.; Trukhanova, E.L.; Yakovenko, O.S.; Matzui, L.Y. Investigation into the structural features and microwave absorption of doped barium hexaferrites. Dalton Trans. 2017, 46, 9010–9021. [Google Scholar] [CrossRef] [PubMed]
  8. Mu, G.; Chen, N.; Pan, X.; Shen, H.; Gu, M. Preparation and microwave absorption properties of barium ferrite nanorods. Mater. Lett. 2008, 62, 840–842. [Google Scholar] [CrossRef]
  9. Syazwan, M.M.; Azis, R.S.; Hashim, M.; Ismayadi, I.; Kanagesan, S.; Hapishah, A.N. Co–Ti- and Mn–Ti-substituted barium ferrite for electromagnetic property tuning and enhanced microwave absorption synthesized via mechanical alloying. J. Aus. Ceram. Soc. 2017, 53, 465–474. [Google Scholar] [CrossRef]
  10. Rafiq, M.A.; Waqar, M.; Mirza, T.A.; Farooq, A.; Zulfiqar, A. Effect of Ni2+ Substitution on the Structural, Magnetic, and Dielectric Properties of Barium Hexagonal Ferrites (BaFe12O19). J. Electron. Mater. 2017, 46, 241–246. [Google Scholar] [CrossRef]
  11. Kubo, O.; Ido, T.; Yokoyama, H. Properties of Ba Ferrite Particles for Perpendicular Magnetic Recording Media. IEEE Trans. Magn. 1982, 18, 1122–1124. [Google Scholar] [CrossRef]
  12. Karmakar, M.; Mondal, B.; Pal, M.; Mukherjee, K. Acetone and ethanol sensing of barium hexaferrite particles: A case study considering the possibilities of non-conventional hexaferrite sensor. Sens. Actuators B Chem. 2014, 190, 627–633. [Google Scholar] [CrossRef]
  13. Iulian, P.; Florin, T. Influence of partial substitution of Fe3+ with W3+ on the microstructure, humidity sensitivity, magnetic and electrical properties of barium hexaferrite. Superlattices Microstruct. 2014, 70, 46–53. [Google Scholar]
  14. Florin, T.; Iulian, P.; Paul, D.P.; Sorin, T. Influence of thermal treatment on the structure, humidity sensitivity, electrical and magnetic properties of barium–tungsten ferrite. Compos. Part B 2013, 51, 106–111. [Google Scholar]
  15. Tudorache, F.; Brinza, F.; Popa, P.D.; Petrila, I.; Grigoras, M.; Tascu, S. Comparison between Powders of Strontium Hexaferrite Processed by Dynamic Gas Heat Treatment and Re-Calcination. Acta Phys. Pol. A 2012, 121, 92–94. [Google Scholar] [CrossRef]
  16. Yavuz, C.T.; Prakash, A.; Mayo, J.T.; Colvin, V.L. Magnetic separations: From steel plants to biotechnology. Chem. Eng. Sci. 2009, 64, 2510–2521. [Google Scholar] [CrossRef]
  17. Saberifar, S.; Jafari, F.; Kardi, H.; Jafarzadeh, M.A.; Mousavi, S.A. Recycling Evaluation of Mill Scale in Electric Arc Furnace. J. Adv. Mater. Process. 2014, 2, 73–78. [Google Scholar]
  18. El-Hussiny, N.A.; Mohamed, F.M.; Shalabi, M.E.H. Recycling of mill scale in sintering process. Sci. Sinter. 2011, 43, 21–31. [Google Scholar] [CrossRef]
  19. Azis, R.A.; Hashim, M.; Saiden, N.M.; Daud, N.; Shahrani, N.M. Study the Iron Environments of the Steel Waste Product and its Possible Potential Applications in Ferrites. Adv. Mater. Res. 2015, 1109, 295–299. [Google Scholar] [CrossRef]
  20. Daud, N.; Azis, R.A.; Hashim, M.; Matori, K.A.; Jumiah, H.; Saiden, N.M.; Shahrani, M.; Mariana, N. Preparation and Characterization of Sr1−xNdxFe12O19 Derived from Steel-Waste Product via Mechanical Alloying. Mater. Sci. Forum 2016, 846, 403–409. [Google Scholar] [CrossRef]
  21. Trukhanov, A.V.; Trukhanov, S.V.; Panina, L.V.; Kostishyn, V.G.; Panina, L.V.; Salem, M.M.; Kazakevich, I.S.; Turchenko, V.A.; Kochervinskii, V.V.; Krivchenya, D.A. Multiferroic properties and structural features of M-type Al-substituted barium hexaferrites. Phys. Solid State 2017, 59, 737–745. [Google Scholar] [CrossRef]
  22. Dong, L.; Han, Z.; Zhang, Y.; Wu, Z.; Zhang, X. Synthesis of hexagonal barium ferrite nanoparticle by sol-gel method. Rare Met. 2006, 25, 605–608. [Google Scholar] [CrossRef]
  23. Ataie, A.; Piramoon, M.R.; Harris, I.R.; Ponton, C.B. Effect of hydrothermal synthesis environment on the particle morphology, chemistry and magnetic properties of barium hexaferrite. J. Mater. Sci. 1995, 30, 5600–5606. [Google Scholar] [CrossRef]
  24. Huang, L.Z.; Hashim, M.; Ismail, I.; Kanagesan, S.; Shafie, M.S.; Idris, F.M.; Ibrahim, I.R. Development of Magnetic B-H Hysteresis Loops Through Stages of Microstructure Evolution of Bulk BaFe12O19. J. Supercond. Nov. Magn. 2015, 28, 3075–3086. [Google Scholar] [CrossRef]
  25. Azis, R.A.; Hashim, M.; Zakaria, A.; Hassan, J.; Daud, N.; Shahrani, N.M.; Siang, P.C. Magnetic properties and microstructures of cobalt substituted barium hexaferrites derived from steel waste product via mechanical alloying technique. Mater. Sci. Forum 2016, 846, 388–394. [Google Scholar] [CrossRef]
  26. Trukhanov, S.V.; Trukhanov, A.V.; Turchenko, V.A.; Kostishyn, V.G.; Panina, L.V.; Kazakevich, I.S.; Balagurov, A.M. Structure and magnetic properties of BaFe11.9In0.1O19 hexaferrite in a wide temperature range. J. Alloy Compd. 2016, 689, 383–393. [Google Scholar] [CrossRef]
  27. Trukhanov, A.V.; Turchenko, V.O.; Bobrikov, I.A.; Trukhanov, S.V.; Kazakevich, I.S.; Balagurov, A.M. Crystal structure and magnetic properties of the BaFe12−xAlxO19 (x = 0.1–1.2) solid solutions. J. Magn. Magn. Mater. 2015, 393, 253–259. [Google Scholar] [CrossRef]
  28. Trukhanov, A.V.; Trukhanov, S.V.; Panina, L.V.; Kostishyn, V.G.; Kazakevich, I.S.; Trukhanov, A.V.; Trukhanova, E.L.; Natarov, V.O.; Turchenko, V.A.; Salem, M.M.; et al. Evolution of structure and magnetic properties for BaFe11.9In0.1O19 hexaferrite in a wide temperature range. J. Magn. Magn. Mater. 2016, 426, 487–496. [Google Scholar] [CrossRef]
  29. Ibrahim, I.R.; Hashim, M.; Nazlan, R.; Ismail, I.; Ab Rahman, W.N.; Abdullah, N.H.; Idris, F.M.; Shafie, M.S.; Zulkimi, M.M. Grouping trends of magnetic permeability components in their parallel evolution with microstructure in Ni0.3Zn0.7Fe2O4. J. Magn. Magn. Mater. 2014, 355, 265–275. [Google Scholar] [CrossRef]
  30. Kimura, T. Molten Salt Synthesis of Ceramic Powders. In Advances in Ceramics—Synthesis and Characterization, Processing and Specific Applications; INTECH Open Access Publisher: New York, NY, USA, 2003; pp. 75–100. [Google Scholar]
  31. Elwell, D.; Scheel, H.J. Crystal Growth from High-Temperature Solutions; Academic Press: London, UK, 1975. [Google Scholar]
  32. Nitta, K.; Inazawa, S.; Sakai, S.; Fukunaga, A.; Itani, E.; Numata, K.; Hagiwara, R.; Nohira, T. Development of molten salt electrolyte battery. SEI Tech. Rev. 2013, 76, 33–39. [Google Scholar]
  33. Inman, D.; White, S.H. The production of refractory metals by the electrolysis of molten salts; design factors and limitations. J. Appl. Electrochem. 1978, 8, 375–390. [Google Scholar] [CrossRef]
  34. Chen, G.Z.; Fray, D.J.; Farthing, T.W. Direct electrochemical reduction of titanium in molten calcium chloride. Nature 2000, 407, 361–364. [Google Scholar] [CrossRef] [PubMed]
  35. Nohira, T.; Yasuda, K.; Ito, Y. Pinpoint and bulk electrochemical reduction of insulating silicon dioxide to silicon. Nat. Mater. 2003, 2, 397–401. [Google Scholar] [CrossRef] [PubMed]
  36. Topal, U. Ammonium nitrate melt technique for the synthesis of oxide compounds. J. Phys. Conf. Ser. 2009, 153, 1–5. [Google Scholar] [CrossRef]
  37. Akdogan, E.K.; Brennan, R.E.; Allahverdi, M.; Safari, A. Effects of Molten Salt Synthesis (MSS) Parameters on the Morphology of Sr3Ti2O7 and SrTiO3 Seed Crystals. J. Electroceram. 2006, 16, 159–165. [Google Scholar] [CrossRef]
  38. Che Muda, N.N.; Azis, R.S.; Hashim, M.; Hassan, J.; Sulaiman, S.; Daud, N.; Mohd Sharani, N.M.; Azizan, A.H.; Musa, M.A. Synthesis and Characterization of Barium Hexaferrites Derived from Steel Waste by Ammonium Nitrate Salt Melt Synthesis. J. Solid State Sci. Technol. Lett. 2015, 16, 73–77. [Google Scholar]
  39. Azizan, A.H.; Azis, R.S.; Hassan, J.; Hashim, M.; Mohd Shahrani, N.M.; Daud, N.; Sulaiman, S.; Che Muda, N.N.; Musa, M.A. Structural and Magnetic Properties of Aluminum Substituted Yttrium Iron Garnet Via Sol-Gel Synthesis. J. Solid State Sci. Technol. Lett. 2015, 16, 58–61. [Google Scholar]
  40. Smit, J.; Wijn, H.P.J. Ferrites; John Wiley: New York, NY, USA, 1959. [Google Scholar]
  41. Jonscher, A.K. The “universal” dielectric response. Nature 1977, 267, 673–679. [Google Scholar] [CrossRef]
  42. Jonscher, A.K. A new understanding of the dielectric relaxation of solids. J. Mater. Sci. 1981, 16, 2037–2060. [Google Scholar] [CrossRef]
  43. Topal, U.; Husnu, O.; Lev, D. Finding Optimal Fe/Ba Ratio to Obtain Single Phase BaFe12O19 Prepared by Ammonium Nitrate Melt Technique. J. Alloys Compd. 2007, 428, 17–21. [Google Scholar] [CrossRef]
  44. Shafie, M.S.E.; Hashim, M.; Ismail, I.; Kanagesan, S.; Fadzidah, M.I.; Idza, I.R.; Hajalilou, A.; Sabbaghizadeh, R. Magnetic M-H Loops Family Characteristics in the Microstructure Evolution of BaFe12O19. J. Mater. Sci. Mater. Electron. 2014, 25, 3787–3794. [Google Scholar] [CrossRef]
  45. Sort, J.; Nogués, J.; Suriñach, S.; Muñoz Domínguez, J.S.; Baró, M.D. Coercivity Enhancement in Ball-Milled and Heat-Treated Sr-Ferrite with Iron Sulphide. J. Metastable Nanocryst. Mater. 2003, 6, 599–606. [Google Scholar] [CrossRef]
  46. Dursun, S.; Ramazan, T.; Numan, A.; Sedat, A. Comparison of the Structural and Magnetic Properties of Submicron Barium Hexaferrite Powders Prepared by Molten Salt and Solid State Calcination Routes. Ceram. Int. 2012, 38, 3801–3806. [Google Scholar] [CrossRef]
  47. Li, W.; Qiao, X.; Li, M.; Liu, T.; Peng, H.X. La and Co substituted M-type barium ferrites processed by sol–gel combustion synthesis. Mater. Res. Bull. 2013, 48, 4449–4453. [Google Scholar] [CrossRef]
  48. Singh, V.P.; Kumar, G.; Dhiman, P.; Kotnala, R.K.; Shah, J.; Batoo, K.M.; Singh, M. Structural, Dielectric and Magnetic Properties of Nanocrystalline BaFe12O19 Hexaferrite Processed via Sol-gel Technique. Adv. Mater. Lett. 2014, 5, 447–452. [Google Scholar] [CrossRef]
  49. Ahmad, S.I.; Rao, P.K.; Syed, I.A. Sintering temperature effect on density, structural and morphological properties of Mg- and Sr-doped ceria. J. Taibah Univ. Sci. 2016, 10, 381–385. [Google Scholar] [CrossRef]
  50. Tchouank, T.C.T.; Jyoti, S.; Mohammed, J.; Sachin, K.; Srivastava, A.K. Effect of temperature on the magnetic properties of nano-sized M-type barium hexagonal ferrites. AIP Conf. Proc. 2017, 1860, 02008. [Google Scholar]
  51. Huang, J.; Hanrui, Z.; Wenlan, L. Synthesis and Characterization of Nano Crystalline BaFe12O19 Powders by Low Temperature Combustion. Mater. Res. Bull. 2003, 38, 149–159. [Google Scholar] [CrossRef]
  52. Vinaykumar, R.; Mazumder, R.; Bera, J. Characterization of SrCo1.5Ti1.5Fe9O19 Hexagonal Ferrite Synthesized by Sol-Gel Combustion and Solid State Route. J. Magn. Magn. Mater. 2017, 429, 359–366. [Google Scholar] [CrossRef]
  53. Mali, A.; Ataie, A. Structural characterization of nano-crystalline BaFe12O19 powders synthesized by sol–gel combustion route. Scr. Mater. 2005, 53, 1065–1070. [Google Scholar] [CrossRef]
  54. Mandizadeh, S.; Soofivand, F.; Salavati-Niasari, M.; Bagheri, S. Auto-Combustion Preparation and Characterization of BaFe12O19 Nanostructures by Using Maleic Acid as Fuel. J. Ind. Eng. Chem. 2015, 26, 167–172. [Google Scholar] [CrossRef]
  55. Baykal, A.; Auwal, I.A.; Güner, S.; Sözeri, H. Magnetic and Optical Properties of Zn2+ Ion Substituted Barium Hexaferrites. J. Magn. Magn. Mater. 2017, 430, 29–35. [Google Scholar] [CrossRef]
  56. Brightlin, B.C.; Balamurugan, S. The effect of post annealing treatment on the citrate sol–gel derived nanocrystalline BaFe12O19 powder: Structural, morphological, optical and magnetic properties. Appl. Nanosci. 2016, 6, 1199–1210. [Google Scholar] [CrossRef]
  57. Jiang, J.; Ai, L.H. Facile synthesis, characterization and properties of Ba-hexaferrite/ZnO hybrid structures. Phys. B 2010, 405, 2640–2642. [Google Scholar] [CrossRef]
  58. Sathyamoorthy, R.; Chandramohan, S.; Sudhagar, P.; Kanjilal, D.; Kabiraj, D.; Asokan, K. Structural and photoluminescence properties of swift heavy ion irradiated CdS thin films. Sol. Energy Mater. Sol. Cells 2006, 90, 2297–2304. [Google Scholar] [CrossRef]
  59. Mishra, S.K.; Pathak, L.C.; Rao, V. Synthesis of submicron Ba-hexaferrite powder by a self-propagating chemical decomposition process. Mater. Lett. 1997, 32, 137–141. [Google Scholar] [CrossRef]
  60. Rodziah, N.; Hashim, M.; Idza, I.R.; Ismayadi, I.; Hapishah, A.N.; Khamirul, M.A. Dependence of developing magnetic hysteresis characteristics on stages of evolving microstructure in polycrystalline yttrium iron garnet. Appl. Surf. Sci. 2012, 258, 2679–2685. [Google Scholar] [CrossRef]
  61. Zhi, H.L.; Soo, K.C.; Ismayadi, I.; Kim, S.T.; Liew, J.Y.C. Structural transformations of mechanically induced top-down approach BaFe12O19 nanoparticles synthesized from high crystallinity bulk materials. J. Magn. Magn. Mater. 2017, 429, 192–202. [Google Scholar]
  62. Tomohisa, Y.; Yasunori, T.; Takao, S.; Hirotaro, M.; Tsukasa, C.; Shunsaku, K.; Yuji, W. Barium ferrite powders prepared by microwave-induced hydrothermal reaction and magnetic property. J. Magn. Magn. Mater. 2009, 321, 8–11. [Google Scholar]
  63. Shafqat, M.B.; Arif, O.; Atiq, S.; Saleem, M.; Ramay, S.M.; Mahmood, A.; Naseem, S. Influence of sintering temperature on structural, morphological and magnetic properties of barium hexaferrite nanoparticles. Mod. Phys. Lett. B 2016, 30, 1650254. [Google Scholar] [CrossRef]
  64. Dho, J.; Lee, E.K.; Park, J.Y.; Hur, N.H. Effects of the grain boundary on the coercivity of barium ferrite BaFe12O19. J. Magn. Magn. Mater. 2005, 285, 164–168. [Google Scholar] [CrossRef]
  65. Durmus, Z.; Sozeri, H.; Toprak, M.S.; Baykal, A. The Effect of Condensation on the Morphology and Magnetic Properties of Modified Barium Hexaferrite (BaFe12O19). Nano-Micro Lett. 2011, 3, 108–114. [Google Scholar] [CrossRef]
  66. Kanagesan, S.; Jesurani, S.; Sivakumar, M.; Thirupathi, C.; Kalaivani, T. Effect of Microwave Calcinations on Barium Hexaferrite Synthesized via Sol-Gel Combustion. J. Sci. Res. 2011, 3, 451–456. [Google Scholar] [CrossRef]
  67. Mallick, K.K.; Philip, S.; Roger, J.G. Magnetic Properties of Cobalt Substituted M-Type Barium Hexaferrite Prepared by Co-Precipitation. J. Magn. Magn. Mater. 2007, 312, 418–429. [Google Scholar] [CrossRef]
  68. Gilleo, M.A. Superexchange Interaction Energy for Fe3+-O2−-Fe3+ Linkages. Phys. Rev. 1958, 109, 777–781. [Google Scholar] [CrossRef]
  69. Dimri, M.C.; Subhash, C.K.; Dube, D.C. Electrical and Magnetic Properties of Barium Hexaferrite Nanoparticles Prepared by Citrate Precursor Method. Ceram. Int. 2004, 30, 1623–1626. [Google Scholar] [CrossRef]
  70. Goldman, A. Modern Ferrite Technology; Springer Publication: Berlin/Heidelberg, Germany, 2006. [Google Scholar]
  71. Mazen, S.A.; Abu-Elsaad, N.I. Structural, magnetic and electrical properties of the lithium ferrite obtained by ball milling and heat treatment. Appl. Nanosci. 2015, 5, 105–114. [Google Scholar] [CrossRef]
  72. Pubby, K.; Narang, S.B.; Chawla, S.K.; Mudsainiyan, R.K. Effect of temperature on dielectric and electrical properties of Co–Zr doped barium hexaferrites prepared by sol–gel method. J. Mater. Sci. Mater. Electron. 2016, 27, 11220–11230. [Google Scholar] [CrossRef]
Figure 1. X-ray diffraction pattern for BaFe12O19 at different ratios of ammonium nitrate.
Figure 1. X-ray diffraction pattern for BaFe12O19 at different ratios of ammonium nitrate.
Materials 11 02190 g001
Figure 2. Relationships of (a) density, ρexp and (b) Percentage of porosity, %P of BaFe12O19.
Figure 2. Relationships of (a) density, ρexp and (b) Percentage of porosity, %P of BaFe12O19.
Materials 11 02190 g002
Figure 3. FTIR of BaFe12O19 (a) before sintering and (b) after sintering at 1300 °C.
Figure 3. FTIR of BaFe12O19 (a) before sintering and (b) after sintering at 1300 °C.
Materials 11 02190 g003
Figure 4. FESEM images of BaFe12O19 sintered at 1300 °C with ratios of (a) 1:3, (b) 1:4, (c) 1:5, (d) 1:6, and (e) 1:7.
Figure 4. FESEM images of BaFe12O19 sintered at 1300 °C with ratios of (a) 1:3, (b) 1:4, (c) 1:5, (d) 1:6, and (e) 1:7.
Materials 11 02190 g004aMaterials 11 02190 g004bMaterials 11 02190 g004c
Figure 5. Relationship of (a) grain size, D, and (b) percentage of porosity, %P at various ratios of BaFe12O19.
Figure 5. Relationship of (a) grain size, D, and (b) percentage of porosity, %P at various ratios of BaFe12O19.
Materials 11 02190 g005aMaterials 11 02190 g005b
Figure 6. Hysteresis loop of BaFe12O19 at different ratios (a) 1:3, (b) 1:4, (c) 1:5, (d) 1:6, and (e) 1:7.
Figure 6. Hysteresis loop of BaFe12O19 at different ratios (a) 1:3, (b) 1:4, (c) 1:5, (d) 1:6, and (e) 1:7.
Materials 11 02190 g006
Figure 7. Variation of saturation magnetization, Ms, and remnant, Mr, of BaFe12O19 at different ratios.
Figure 7. Variation of saturation magnetization, Ms, and remnant, Mr, of BaFe12O19 at different ratios.
Materials 11 02190 g007
Figure 8. Grain size, D, and coercivity, Hc, of BaFe12O19 at different ratios.
Figure 8. Grain size, D, and coercivity, Hc, of BaFe12O19 at different ratios.
Materials 11 02190 g008
Figure 9. Curie temperatures of samples at different powder-to-salt weight ratios.
Figure 9. Curie temperatures of samples at different powder-to-salt weight ratios.
Materials 11 02190 g009
Figure 10. Variations of AC conductivity with respect to the frequency of BaFe12O19 at different ratios (a) 1:3, (b) 1:4 (c) 1:5 (d) 1:6, and (e) 1:7.
Figure 10. Variations of AC conductivity with respect to the frequency of BaFe12O19 at different ratios (a) 1:3, (b) 1:4 (c) 1:5 (d) 1:6, and (e) 1:7.
Materials 11 02190 g010aMaterials 11 02190 g010bMaterials 11 02190 g010c
Table 1. X-ray diffraction parameters of the main peak (114), position, d-spacing, and height.
Table 1. X-ray diffraction parameters of the main peak (114), position, d-spacing, and height.
SamplePeak (hkl)Position 2θ(o)d-SpacingPhaseReference CodeSpace Group
1:311434.3042.62631Barium hexaferrites98-001-9939P63/mmc
1:411434.1372.62631Barium hexaferrites98-001-9939P63/mmc
1:511434.1602.62631Barium hexaferrites98-001-9939P63/mmc
10433.3312.68455Hematite98-004-6404R-3 c
1:611434.3352.62631Barium hexaferrites98-001-9939P63/mmc
10433.3372.68455Hematite98-004-6404R-3 c
1:711434.1302.62631Barium hexaferrites98-001-9939P63/mmc
Table 2. Lattice constants a and c, c/a ratio, volume of unit cell, V, particle size, D, X-ray density, ρx, bulk density, ρb and porosity, %P for BaFe12O19.
Table 2. Lattice constants a and c, c/a ratio, volume of unit cell, V, particle size, D, X-ray density, ρx, bulk density, ρb and porosity, %P for BaFe12O19.
SamplesLattice Parameterc/aV (Å)3ρx (g/cm3)ρb (g/cm3)%P
a (Å)c (Å)
1:35.856323.07843.9408685.44125.38474.339319.41
1:45.888323.20483.9408696.74775.29744.173021.22
1:55.882923.18193.9406694.78415.31234.144021.99
1:65.850923.07333.9435684.02655.39594.260321.04
1:75.889123.20483.9403696.93715.29594.065023.24
Table 3. Summary of the major vibration modes of BaFe12O19 at different ratios after sintering.
Table 3. Summary of the major vibration modes of BaFe12O19 at different ratios after sintering.
SamplesWave Number (cm−1)
1:3432.48542.71
1:4420.14548.82
1:5419.62563.90
1:6419.13569.63
1:7417.62569.93
Table 4. Saturation magnetization Ms, coercivity Hc, and remanence Mr, of BaFe12O19 at different ratios.
Table 4. Saturation magnetization Ms, coercivity Hc, and remanence Mr, of BaFe12O19 at different ratios.
SamplesMs (emu/g)Hc (Oe)Mr (emu/g)Mr/Ms
1:390.871317.043.830.49
1:456.18752.0232.570.59
1:561.01665.6723.420.40
1:642.89630.5113.580.32
1:758.00653.8526.120.46
Table 5. Direct current (DC)-like conductivity extracted from the AC conductivity spectrum at different ratios for BaFe12O19 at 1 kHz.
Table 5. Direct current (DC)-like conductivity extracted from the AC conductivity spectrum at different ratios for BaFe12O19 at 1 kHz.
Sampleσdc−1m−1)
30 °C80 °C130 °C180 °C
1:31.58 × 10−63.78 × 10−52.85 × 10−53.86 × 10−5
1:44.53 ×10−61.69 × 10−55.13 × 10−56.01 × 10−5
1:57.39 × 10−78.29 × 10−79.85 × 10−71.31 × 10−6
1:63.71 × 10−69.72 × 10−62.53 × 10−55.96 × 10−5
1:71.35 × 10−52.41 × 10−56.40 × 10−51.83 × 10−4

Share and Cite

MDPI and ACS Style

Azis, R.S.; Che Muda, N.N.; Hassan, J.; Shaari, A.H.; Ibrahim, I.R.; Mustaffa, M.S.; Sulaiman, S.; Matori, K.A.; Fen, Y.W. Effect of Ratio in Ammonium Nitrate on the Structural, Microstructural, Magnetic, and AC Conductivity Properties of BaFe12O19. Materials 2018, 11, 2190. https://doi.org/10.3390/ma11112190

AMA Style

Azis RS, Che Muda NN, Hassan J, Shaari AH, Ibrahim IR, Mustaffa MS, Sulaiman S, Matori KA, Fen YW. Effect of Ratio in Ammonium Nitrate on the Structural, Microstructural, Magnetic, and AC Conductivity Properties of BaFe12O19. Materials. 2018; 11(11):2190. https://doi.org/10.3390/ma11112190

Chicago/Turabian Style

Azis, Raba’ah Syahidah, Nor Nadhirah Che Muda, Jumiah Hassan, Abdul Halim Shaari, Idza Riati Ibrahim, Muhammad Syazwan Mustaffa, Sakinah Sulaiman, Khamirul Amin Matori, and Yap Wing Fen. 2018. "Effect of Ratio in Ammonium Nitrate on the Structural, Microstructural, Magnetic, and AC Conductivity Properties of BaFe12O19" Materials 11, no. 11: 2190. https://doi.org/10.3390/ma11112190

APA Style

Azis, R. S., Che Muda, N. N., Hassan, J., Shaari, A. H., Ibrahim, I. R., Mustaffa, M. S., Sulaiman, S., Matori, K. A., & Fen, Y. W. (2018). Effect of Ratio in Ammonium Nitrate on the Structural, Microstructural, Magnetic, and AC Conductivity Properties of BaFe12O19. Materials, 11(11), 2190. https://doi.org/10.3390/ma11112190

Note that from the first issue of 2016, this journal uses article numbers instead of page numbers. See further details here.

Article Metrics

Back to TopTop