Two-Way Shape Memory Effect Induced by Tensile Deformation in Columnar-Grained Cu71.7Al18.1Mn10.2 Alloy
Abstract
:1. Introduction
2. Experimental Procedure
3. Results and Discussion
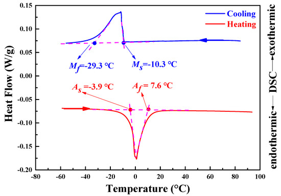
3.1. Transformation Temperatures and Microstructure of Directional Solidification Cu71.7Al18.1Mn10.2 SMAs
3.2. Pre-Deformation and TWSME of Columnar-Grained Cu71.7Al18.1Mn10.2 SMA
3.3. TWSME and Transformation Temperatures
3.4. TWSME and Martensite Morphology
4. Summary
Author Contributions
Funding
Conflicts of Interest
References
- Omori, T.; Wang, J.J.; Sutou, Y.; Kainuma, R.; Ishida, K. Two-way shape memory effect induced by bending deformation in ductile Cu-Al-Mn alloys. Mater. Trans. 2002, 43, 1676–1683. [Google Scholar] [CrossRef]
- Li, Z.; Wang, M.P.; Xu, G.Y. Materials of Cu-Based Shape Memory Alloys; Press of Central South University: Changsha, China, 2010. [Google Scholar]
- Liu, Y.; Liu, Y.; Van Humbeeck, J. Two-way shape memory effect developed by martensite deformation in NiTi. Acta Mater. 1998, 47, 199–209. [Google Scholar] [CrossRef]
- Larochette, P.A.; Ahlers, M. Grain-size dependence of the two-way shape memory effect obtained by stabilisation in Cu-Zn-Al crystals. Mater. Sci. Eng. A Struct. Mater. Prop. Microstruct. Process. 2003, 361, 249–257. [Google Scholar] [CrossRef]
- Tong, Y.X.; Guo, B.; Chen, F.; Tian, B.; Li, L.; Zheng, Y.F.; Ma, L.W.; Chung, C.Y. Two-way shape memory effect of TiNiSn alloys developed by martensitic deformation. Mater. Sci. Eng. A Struct. Mater. Prop. Microstruct. Process. 2012, 550, 434–437. [Google Scholar] [CrossRef]
- Ueland, S.M.; Chen, Y.; Schuh, C.A. Oligocrystalline Shape Memory Alloys. Adv. Funct. Mater. 2012, 22, 2094–2099. [Google Scholar] [CrossRef]
- Sutou, Y.; Omori, T.; Kainuma, R.; Ishida, K. Grain size dependence of pseudoelasticity in polycrystalline Cu–Al–Mn-based shape memory sheets. Acta Mater. 2013, 61, 3842–3850. [Google Scholar] [CrossRef]
- Suezawa, M.; Sumino, K. Behaviour of elastic constants in Cu-Al-Ni alloy in the close vicinity of Ms-point. Scr. Metall. 1976, 10, 789–792. [Google Scholar] [CrossRef]
- Mercier, O.; Melton, K.N.; Gremaud, G.; Hagi, J. Single-crystal elastic constants of the equiatomic NiTi alloy near the martensitic transformation. J. Appl. Phys. 1980, 51, 1833–1834. [Google Scholar] [CrossRef]
- Miyazaki, S.; Kawai, T.; Otsuka, K. On the origin of intergranular fracture in beta phase shape memory alloys. Scr. Metall. 1982, 16, 431–435. [Google Scholar] [CrossRef]
- Sutou, Y.; Omori, T.; Kainuma, R.; Ishida, K. Ductile Cu–Al–Mn based shape memory alloys: General properties and applications. Mater. Sci. Technol. 2013, 24, 896–901. [Google Scholar] [CrossRef]
- Kainuma, R.; Takahashi, S.; Ishida, K. Thermoelastic martensite and shape memory effect in ductile Cu-Al-Mn alloys. Metall. Mater. Trans. A Phys. Metall. Mater. Sci. 1996, 27, 2187–2195. [Google Scholar] [CrossRef]
- Omori, T.; Kusama, T.; Kawata, S.; Ohnuma, I.; Sutou, Y.; Araki, Y.; Ishida, K.; Kainuma, R. Abnormal Grain Growth Induced by Cyclic Heat Treatment. Science 2013, 341, 1500–1502. [Google Scholar] [CrossRef] [PubMed]
- Liu, J.-L.; Huang, H.-Y.; Xie, J.-X. Superelastic anisotropy characteristics of columnar-grained Cu-Al-Mn shape memory alloys and its potential applications. Mater. Des. 2015, 85, 211–220. [Google Scholar] [CrossRef]
- Liu, J.-L.; Huang, H.-Y.; Xie, J.-X. The roles of grain orientation and grain boundary characteristics in the enhanced superelasticity of Cu71.8Al17.8Mn10.4 shape memory alloys. Mater. Des. 2014, 64, 427–433. [Google Scholar] [CrossRef]
- Xie, J.-X.; Liu, J.-L.; Huang, H.-Y. Structure design of high-performance Cu-based shape memory alloys. Rare Met. 2015, 34, 607–624. [Google Scholar] [CrossRef]
- Yang, S.; Zhang, F.; Wu, J.; Lu, Y.; Shi, Z.; Wang, C.; Liu, X. Superelasticity and shape memory effect in Cu-Al-Mn-V shape memory alloys. Mater. Des. 2017, 115, 17–25. [Google Scholar] [CrossRef]
- Liu, J.-L.; Huang, H.-Y.; Xie, J.-X. Effects of aging treatment on the microstructure and superelasticity of columnar-grained Cu71Al18Mn11 shape memory alloy. Int. J. Miner. Metall. Mater. 2016, 23, 1157–1166. [Google Scholar] [CrossRef]
- Larochette, P.A.; Cingolani, E.; Ahlers, M. Stabilization and the two way shape memory effect (TWME) in Cu-Zn-Al polycrystals. Mater. Sci. Eng. A Struct. Mater. Prop. Microstruct. Process. 1999, 273, 600–604. [Google Scholar] [CrossRef]
- Kim, H.W. A study of the two-way shape memory effect in Cu-Zn-Al alloys by the thermomechanical cycling method. J. Mater. Process. Technol. 2004, 146, 326–329. [Google Scholar] [CrossRef]
- Cingolani, E.; Ahlers, M. On the origin of the two way shape memory effect in Cu-Zn-Al single crystals. Mater. Sci. Eng. A Struct. Mater. Prop. Microstruct. Process. 1999, 273, 595–599. [Google Scholar] [CrossRef]
- Perkins, J.; Sponholz, R.O. Stress-Induced Martensitic Transformation Cycling and Two-Way Shape Memory Training in Cu-Zn-Al Alloys. Metall. Trans. A 1984, 15, 313–321. [Google Scholar] [CrossRef]
- Pons, J.; Masse, M.; Portier, R. Thermomechanical cycling and two-way memory effect induced in Cu-Zn-Al. Mater. Sci. Eng. A Struct. Mater. Prop. Microstruct. Process. 1999, 273, 610–615. [Google Scholar] [CrossRef]
- Zhang, J.X.; Liu, Y.X.; Cai, W.; Zhao, L.C. The mechanisms of two way-shape memory effect in a Cu-Zn-Al alloy. Mater. Lett. 1997, 33, 211–214. [Google Scholar] [CrossRef]
- Cingolani, E.; Ahlers, M.; Sade, M. The two way shape memory effect in Cu-Zn-Al single crystals: Role of dislocations and stabilization. Acta Metall. Mater. 1995, 43, 2451–2461. [Google Scholar] [CrossRef]
- Cingolani, E.; van Humbeeck, J.; Ahlers, M. Stabilization and two-way shape memory effect in Cu-Al-Ni single crystals. Metall. Mater. Trans. A Phys. Metall. Mater. Sci. 1999, 30, 493–499. [Google Scholar] [CrossRef]
- Cingolani, E.; Stalmans, R.; Van Humbeeck, J.; Ahlers, M. Influence of thermal treatments on the long range order and the two way shape memory effect induced by stabilization in Cu-Al-Be single crystals. Mater. Sci. Eng. A Struct. Mater. Prop. Microstruct. Process. 1999, 268, 109–115. [Google Scholar] [CrossRef]
- Panchenko, E.Y.; Timofeeva, E.E.; Larchenkova, N.G.; Chumlyakov, Y.I.; Tagiltsev, A.I.; Maier, H.J.; Gerstein, G. Two-way shape memory effect under multi-cycles in 001 -oriented Ni49Fe18Ga27Co6 single crystal. Mater. Sci. Eng. A Struct. Mater. Prop. Microstruct. Process. 2017, 706, 95–103. [Google Scholar] [CrossRef]
- Meng, X.; Chen, F.; Cai, W.; Wang, L.; Zhao, L. Two-way shape memory effect and its stability in a Ti-Ni-Nb wide hysteresis shape memory alloy. Mater. Trans. 2006, 47, 724–727. [Google Scholar] [CrossRef]













© 2018 by the authors. Licensee MDPI, Basel, Switzerland. This article is an open access article distributed under the terms and conditions of the Creative Commons Attribution (CC BY) license (http://creativecommons.org/licenses/by/4.0/).
Share and Cite
Yao, P.-S.; Huang, H.-Y.; Su, Y.-J.; Xie, J.-X. Two-Way Shape Memory Effect Induced by Tensile Deformation in Columnar-Grained Cu71.7Al18.1Mn10.2 Alloy. Materials 2018, 11, 2109. https://doi.org/10.3390/ma11112109
Yao P-S, Huang H-Y, Su Y-J, Xie J-X. Two-Way Shape Memory Effect Induced by Tensile Deformation in Columnar-Grained Cu71.7Al18.1Mn10.2 Alloy. Materials. 2018; 11(11):2109. https://doi.org/10.3390/ma11112109
Chicago/Turabian StyleYao, Pei-Sheng, Hai-You Huang, Yan-Jing Su, and Jian-Xin Xie. 2018. "Two-Way Shape Memory Effect Induced by Tensile Deformation in Columnar-Grained Cu71.7Al18.1Mn10.2 Alloy" Materials 11, no. 11: 2109. https://doi.org/10.3390/ma11112109
APA StyleYao, P.-S., Huang, H.-Y., Su, Y.-J., & Xie, J.-X. (2018). Two-Way Shape Memory Effect Induced by Tensile Deformation in Columnar-Grained Cu71.7Al18.1Mn10.2 Alloy. Materials, 11(11), 2109. https://doi.org/10.3390/ma11112109

