Constitutive Model Prediction and Flow Behavior Considering Strain Response in the Thermal Processing for the TA15 Titanium Alloy
Abstract
:1. Introduction
2. Experimental Details
3. Results and Discussion
3.1. Experiment Results and Flow Stress Behavior
3.2. Constitutive Modeling
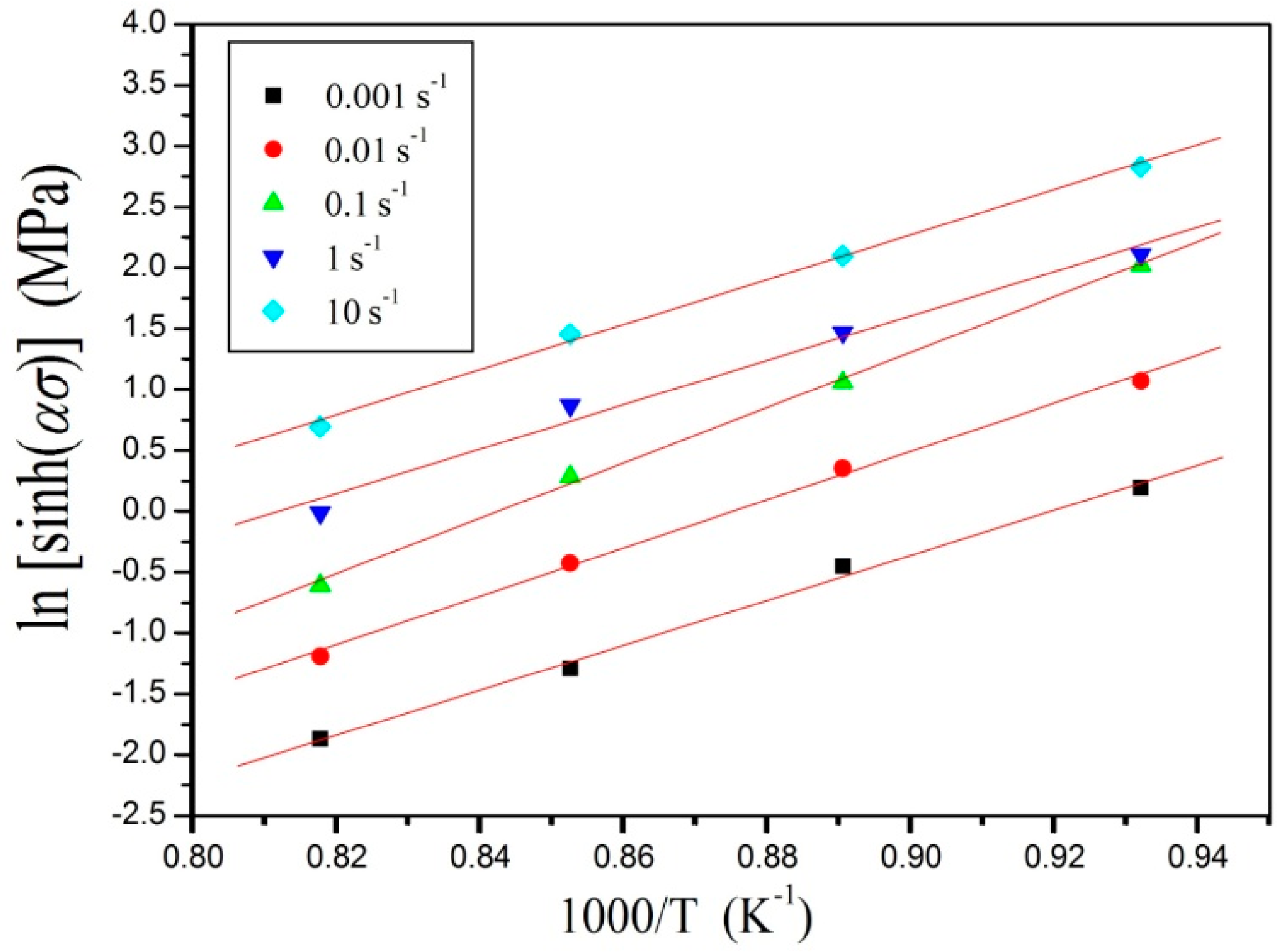
3.2.1. Constitutive Equation Derivation
3.2.2. Material Constants
3.2.3. Strain Effect
4. Validation of Constitutive Modeling
4.1. Results of Constitutive Modeling
4.2. Constitutive Modeling Verification
4.3. Prediction of Constitutive Model
5. Conclusions
- (1)
- TA15 titanium alloy stress was sensitive to deformation temperature and strain rate; the value increased with increasing strain rate and decreased with increased deformation temperature. The experimental result curves exhibited the typical flow behavior, and a constitutive model was introduced based on the Arrhenius equation;
- (2)
- Material constants α, n, Q, and lnA were significantly influenced by the strain effect for TA15 titanium alloy, and the relationships between strain and material constants could be described using fifth-order polynomials with a good fitting correlation;
- (3)
- Flow stress at various conditions of deformation was accurately predicted through the constitutive equation incorporating strain compensation. R and AARE were used to quantify the predictability of the constitutive equation, with values of 6.85% and 0.9929, respectively. The values were 8.19% and 0.9881, respectively, in the prediction using the extended stress-strain data for 1023 K, which proved the high accuracy of the constitutive equation compensated by the strain effect for TA15 titanium alloy.
Author Contributions
Funding
Acknowledgments
Conflicts of Interest
References
- Vo, P.; Jahazi, M.; Yue, S.; Bocher, P. Flow stress prediction during hot working of near-α titanium alloys. Mater. Sci. Eng. A 2007, 447, 99–110. [Google Scholar] [CrossRef]
- Wu, C.; Yang, H.; Li, H.W. Substructure and texture evolution and flow behavior of TA15 titanium alloy compressed in the α+β two-phase field. J. Mater. Process. Technol. 2013, 213, 2033–2041. [Google Scholar]
- Yang, Y.; Wu, S.Q.; Li, G.P.; Li, Y.L.; Lu, Y.F.; Yang, K.; Ge, P. Evolution of deformation mechanisms of Ti-22.4Nb-0.73Ta-2Zr-1.34O alloy during straining. Acta Mater. 2010, 58, 2778–2787. [Google Scholar] [CrossRef]
- Sun, Z.C.; Yang, H.; Tang, Z. Microstructural evolution model of TA15 titanium alloy based on BP neural network method and application in isothermal deformation. Comput. Mater. Sci. 2010, 50, 308–318. [Google Scholar] [CrossRef]
- Zhao, A.M.; Yang, H.; Fan, X.G.; Gao, P.F.; Zuo, R.; Meng, M. The flow behavior and microstructure evolution during (σ+β) deformation of β wrought TA15 titanium alloy. Mater. Des. 2016, 109, 112–122. [Google Scholar] [CrossRef]
- Gao, P.F.; Zhan, M.; Fan, X.G.; Lei, Z.N.; Cai, Y. Hot deformation bahavior and microstructure evolution of TA15 titanium alloy with nonuniform microstructure. Mater. Sci. Eng. A 2017, 689, 243–251. [Google Scholar] [CrossRef]
- Gao, P.F.; Yang, H.; Fan, X.G.; Yan, S.L. Microstructural features of TA15 titanium alloy under different temperature routes in isothermal local forming. Mater. Sci. Eng. A 2012, 540, 245–252. [Google Scholar] [CrossRef]
- Fan, X.G.; Yang, H.; Sun, Z.C.; Zhang, D.W. Effect of deformation inhomogeneity on the microstructure and mechanical properties of large-scale rib-web component of titanium alloy under local loading forming. Mater. Sci. Eng. A 2010, 527, 5391–5399. [Google Scholar] [CrossRef]
- Sun, Q.J.; Wang, G.C. Microstructure and superplasticity of TA15 alloy. Mater. Sci. Eng. A 2014, 606, 401–408. [Google Scholar] [CrossRef]
- Ma, B.L.; Wu, X.D.; Li, X.J.; Wan, M.; Cai, Z.Y. Investigation on the hot formability of TA15 titanium alloy sheet. Mater. Des. 2016, 94, 9–16. [Google Scholar] [CrossRef]
- Zhu, S.; Yang, H.; Guo, L.G.; Fan, X.G. Effect of cooling rate on microstructure evolution during α/β heat treatment of TA15 titanium alloy. Mater. Charact. 2012, 70, 101–110. [Google Scholar] [CrossRef]
- Wu, C.B.; Yang, H.; Fan, X.G.; Sun, Z.C. Dynamic globularization kinetics during hot working of TA15 titanium alloy with colony microstructure. Trans. Nonferrous Meter. Soc. China 2011, 21, 1963–1969. [Google Scholar] [CrossRef]
- Sun, Z.C.; Wang, X.Q.; Zhang, J.; Yang, H. Prediction and control of equiaxed α in near-β forging of TA15 Ti-alloy based on BP neural network: For purpose of tri-modal microstructure. Mater. Sci. Eng. A 2014, 591, 18–25. [Google Scholar] [CrossRef]
- Rezaei Ashtiani, H.R.; Shahsavari, P. Strain-dependent constitutive equation to predict high temperature flow behavior of AA2030 aluminum alloy. Mech. Mater. 2016, 100, 209–218. [Google Scholar] [CrossRef]
- Cai, J.; Li, F.G.; Liu, T.Y.; Chen, B.; He, M. Constitutive equations for elevated temperature flow stress of Ti-6Al-4V alloy considering the effect of strain. Mater. Des. 2011, 32, 1144–1151. [Google Scholar] [CrossRef]
- Zeng, Z.P.; Jonsson, S.; Zhang, Y.S. Constitutive equations for pure titanium at elevated temperatures. Mater. Sci. Eng. A 2009, 505, 116–119. [Google Scholar] [CrossRef]
- Ren, F.C.; Chen, J. Modeling flow stress of 70Cr3Mo steel used for back-up roll during hot deformation considering strain compensation. J. Iron Steel Res. 2013, 20, 118–124. [Google Scholar] [CrossRef]
- Ji, G.L.; Li, F.G.; Li, Q.H.; Li, Z. A comparative study on Arrhenius-type constitutive model and artificial neural network model to predict high-temperature deformation behaviour in Aermet100 steel. Mater. Sci. Eng. A 2011, 528, 4774–4782. [Google Scholar] [CrossRef]
- Zhang, J.Q.; Di, H.S.; Wang, X.Y.; Zhang, J.C.; Ma, T.J. Constitutive analysis of the hot deformation behavior of Fe-23Mn-2Al-0.2C twinning induced plasticity steel inconsideration of strain. Mater. Des. 2013, 44, 354–364. [Google Scholar] [CrossRef]
- Woll, D.W.; Davidson, M.J.; Khanra, A.K. Constitutive modeling of powder metallurgy processed Al-4%Cu preforms during compression at elevated temperaure. Mater. Des. 2015, 65, 83–93. [Google Scholar] [CrossRef]
- Li, J.; Li, F.G.; Cai, J.; Wang, R.T.; Yuan, Z.W.; Xue, F.M. Flow behavior modeling of the 7050 aluminum alloy at elevated temperatures considering the compensation of strain. Mater. Des. 2012, 42, 369–377. [Google Scholar] [CrossRef]
- Cai, Z.W.; Chen, F.X.; Guo, J.Q. Constitutive model for elevated temperature flow stress of AZ41M magnesium alloy considering the compensation of strain. J. Alloys Compd. 2015, 648, 215–222. [Google Scholar] [CrossRef]
- Yang, L.; Wang, B.Y.; Liu, G.; Zhao, H.J.; Xiao, W.C. Behavior and modeling of flow softening and ductile damage evolution in hot deformation of TA15 alloy sheets. Mater. Des. 2015, 85, 135–148. [Google Scholar] [CrossRef]
- Samantaray, D.; Mandal, S.; Bhaduri, A.K. A comparative study on Johnson Cook, modified Zerilli-Armstrong and Arrhenius-type constitutive models to predict elevated temperature flow behaviour in modified 9Cr-1Mo steel. Comput. Mater. Sci. 2009, 47, 568–576. [Google Scholar] [CrossRef]
- Lin, Y.C.; Xia, Y.C.; Chen, X.M.; Chen, M.S. Constitutive descriptions for hot compressed 2124-T851 aluminum alloy over a wide range of temperature and strain rate. Comput. Mater. Sci. 2010, 50, 227–233. [Google Scholar] [CrossRef]
- Haghdadi, N.; Zarei-Hanzaki, A.; Abedi, H.R. The flow behavior modeling of cast A356 aluminum alloy at elevated temperatures considering the effect of strain. Mater. Sci. Eng. A 2012, 535, 252–257. [Google Scholar] [CrossRef]
- Zhang, R.; Wang, D.J.; Huang, L.J.; Yuan, S.J.; Geng, L. Deformation behaviors and microstructure evolution of TiBw/TA15 composite with novel network architecture. J. Alloys Compd. 2017, 722, 970–980. [Google Scholar] [CrossRef]
- Luo, Y.; Heng, Y.; Wang, Y.; Yan, X. Dynamic recrystallization behavior of TA15 titanium alloy under isothermal compression during hot deformation. Adv. Mater. Sci. Eng. 2014, 2014, 1–9. [Google Scholar] [CrossRef]
- Briottet, L.; Jones, J.J.; Montheillet, F. A mechanical interpretation of the activation energy of high temperature deformation in two phase materials. Acta Mater. 1996, 44, 1665–1672. [Google Scholar] [CrossRef]
- Zhang, M.J.; Li, F.G.; Wang, S.Y.; Liu, C.Y. Effect of powder preparation technology on the hot deformation behavior of HIPed P/M nickel-base superalloy FGH96. Mater. Sci. Eng. A 2011, 528, 4030–4039. [Google Scholar] [CrossRef]
- Mandal, S.; Rakesh, V.; Sivaprasad, P.V.; Venugopal, S.; Kasiviswanathan, K.V. Constitutive equations to predict high temperature flow stress in a Ti-modified austenitic stainless steel. Mater. Sci. Eng. A 2009, 500, 114–121. [Google Scholar] [CrossRef]
- Liao, C.H.; Wu, H.Y.; Lee, S.H.; Zhu, F.J.; Liu, H.C.; Wu, C.T. Strain-dependent constitutive analysis of extruded AZ61 Mg alloy under hot compression. Mater. Sci. Eng. A 2013, 565, 1–8. [Google Scholar] [CrossRef]
- Ji, G.L.; Li, F.G.; Li, Q.H.; Li, H.Q.; Li, Z. Prediction of the hot deformation behavior for Aermet100 steel using an artificial neural network. Comput. Mater. Sci. 2010, 48, 626–632. [Google Scholar] [CrossRef]
- Mosleh, A.; Mikhaylovskaya, A.; Kotov, A.; Pourcelot, T.; Aksenov, S.; Kwame, J.; Portnoy, V. Modelling of the superplastic deformation of the near-α titanium alloy (Ti-2.5Al-1.8Mn) using Arrhenius-type constitutive model and artificial neural network. Metals 2017, 7, 568. [Google Scholar] [CrossRef]













| α Coefficient | n Coefficient | Q Coefficient | lnA Coefficient |
|---|---|---|---|
| C0 = 0.00684 | D0 = 4.29525 | E0 = 567.4279 | F0 = 55.57609 |
| C1 = 0.00248 | D1 = −3.41358 | E1 = 742.9928 | F1 = 74.06573 |
| C2 = 0.00883 | D2 = −4.96388 | E2 = −5372.16 | F2 = −541.173 |
| C3 = −0.01072 | D3 = 29.91754 | E3 = 12837.02 | F3 = 1300.602 |
| C4 = −0.00216 | D4 = −35.6602 | E4 = −13555.2 | F4 = −1381.13 |
| C5 = 0.00544 | D5 = 13.30015 | E5 = 5382.073 | F5 = 551.388 |
© 2018 by the authors. Licensee MDPI, Basel, Switzerland. This article is an open access article distributed under the terms and conditions of the Creative Commons Attribution (CC BY) license (http://creativecommons.org/licenses/by/4.0/).
Share and Cite
Li, J.; Li, F.; Cai, J. Constitutive Model Prediction and Flow Behavior Considering Strain Response in the Thermal Processing for the TA15 Titanium Alloy. Materials 2018, 11, 1985. https://doi.org/10.3390/ma11101985
Li J, Li F, Cai J. Constitutive Model Prediction and Flow Behavior Considering Strain Response in the Thermal Processing for the TA15 Titanium Alloy. Materials. 2018; 11(10):1985. https://doi.org/10.3390/ma11101985
Chicago/Turabian StyleLi, Jiang, Fuguo Li, and Jun Cai. 2018. "Constitutive Model Prediction and Flow Behavior Considering Strain Response in the Thermal Processing for the TA15 Titanium Alloy" Materials 11, no. 10: 1985. https://doi.org/10.3390/ma11101985
APA StyleLi, J., Li, F., & Cai, J. (2018). Constitutive Model Prediction and Flow Behavior Considering Strain Response in the Thermal Processing for the TA15 Titanium Alloy. Materials, 11(10), 1985. https://doi.org/10.3390/ma11101985

