Statistical Mechanics Treatment of the Broadened Snoek Relaxation Peak in Ternary Niobium–Vanadium–Oxygen Alloys
Abstract
1. Introduction
2. Method
2.1. Static Distribution of Oxygen Interstitial in Nb–V–O System
2.2. Dynamic Relaxation of the Interstitial Atoms
3. Results and Discussions
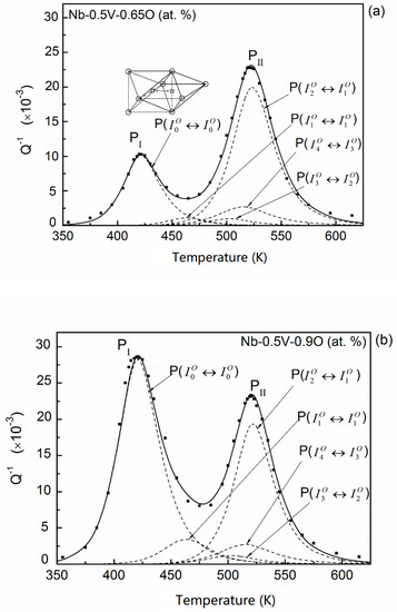
3.1. Results of Nb-Based Alloys
3.1.1. In the Case of < 1
3.1.2. In the Case of > 1
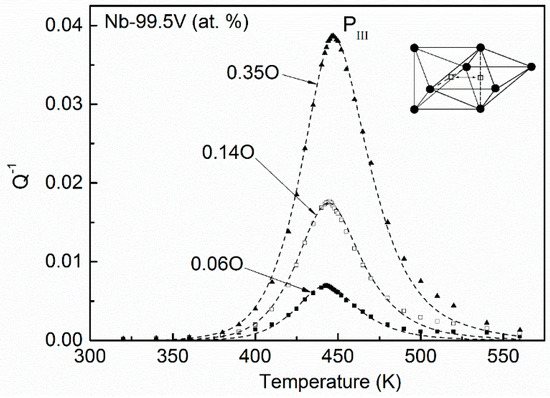
3.2. Results of V-Based Alloys
3.3. Results of Concentrated Substitutional Solutions Alloys
4. Conclusions
Author Contributions
Funding
Conflicts of Interest
References
- Nowick, A.S.; Berry, B.S. The snoek relaxation, other point-defect relaxation. In Anelastic Relaxation in Crystalline Solids; Academic Press: New York, NY, USA, 1972. [Google Scholar]
- Koiwa, M. Theory of the snoek effect in ternary b.c.c. alloys. Philos. Mag. 1971, 24, 81–106. [Google Scholar] [CrossRef]
- Saitoh, H.; Yoshinaga, N.; Ushioda, K. Influence of substitutional atoms on the Snoek peak of carbon in b.c.c. iron. Acta Mater. 2004, 52, 1255–1261. [Google Scholar] [CrossRef]
- Yu, L.M.; Yin, F.X.; Ping, D.H. Natural mechanism of the broadened Snoek relaxation profile in ternary body-centered-cubic alloys. Phys. Rev. B 2007, 75, 174105. [Google Scholar] [CrossRef]
- Brouwer, R.C.; Rector, J.; Koeman, N.; Griessen, R. Hydrogen as a local probe: Diffusion and short-range order in Ti1−yVy alloys. Phys. Rev. B 1989, 40, 3546. [Google Scholar] [CrossRef]
- Carlson, O.N.; Indrawirawan, H.; Owen, C.V.; Buck, O. Study of the hydrogen internal friction peak in Nb-10 At. Pct V in the presence of oxygen. Metall. Trans. A 1989, 20, 1215–1219. [Google Scholar]
- Lauf, R.J.; Altstetter, C.J. Diffusion and trapping of oxygen in refractory metal alloys. Acta Metall. 1979, 27, 1157–1163. [Google Scholar] [CrossRef]
- Numakura, H. Mechanical relaxation due to interstitial solutes in metals. Solid State. Phenom. 2003, 89, 93–114. [Google Scholar] [CrossRef]
- Blanter, M.S.; Fradkov, M.Y. Solute interaction and internal friction spectra in solid solutions. Acta Metall. Mater. 1992, 40, 2201–2208. [Google Scholar] [CrossRef]
- Indrawirawan, H.; Buck, O.; Carlson, O.N. Substitutional-Interstitial Solute Interactions in Niobium-Vanadium-Oxygen Alloys. Phys. Stat. Solidi (a) 1987, 104, 443–451. [Google Scholar] [CrossRef]
- Szkopiak, Z.C.; Smith, J.T. The internal friction of Nb-1 at.% substitutional alloys. J. Phys. D 1975, 8, 1273–1284. [Google Scholar] [CrossRef]
- Kushnareva, N.P.; Snejko, S.E.; Yarosh, I.P. Internal friction in Nb-V-O alloys. Acta Metall. Mater. 1995, 43, 4393–4401. [Google Scholar] [CrossRef]
- Kushnareva, N.P.; Snejko, S.E. Anelastic behaviour in Nb-Ti alloys containing interstitial elements. J. Alloys Compd. 1994, 211–212, 37–40. [Google Scholar]
- Blanter, M.S. Influence of Interatomic Interaction on Internal Friction Spectrum in Nb-V-0 Alloys (Computer Simulation). Phys. Stat. Solidi (a) 1992, 133, 317–323. [Google Scholar] [CrossRef]
- Gibala, G.; Wert, C.A. The clustering of oxygen in solid solution in niobium. Acta Metall. 1966, 14, 1095–1103. [Google Scholar] [CrossRef]
- Botta, W.J.; Florencio, O.; Grandini, C.R.; Tejima, H.; Jordao, J.A.R. Mechanical multiple relaxation spectra in Nb-Ze-O alloys. Acta Metall. Mater. 1990, 38, 391–396. [Google Scholar] [CrossRef]
- Park, J.; Altstetter, C.J. Effects of deformation on hydrogen permeation in austenitic stainless steels. Acta Metall. 1986, 34, 1771–1781. [Google Scholar]
- Yu, L.M.; Yin, F.X.; Ping, D.H.; Liu, Y.C. Interstitial-interstitial interaction of oxygen atoms in a Nb-based ternary body-centered-cubic system. J. Appl. Phys. 2011, 109, 113536. [Google Scholar]
- Brouwer, R.C.; Griessen, R. Heat of solution and site energies of hydrogen in disordered transition-metal alloys. Phys. Rev. B 1989, 40, 1481–1494. [Google Scholar] [CrossRef]
- Hiraga, K.; Onozuka, G.; Hirabayashi, M. Locations of oxygen, nitrogen and carbon atoms in vanadium determined by neutron diffraction. Mater. Sci. Eng. 1977, 27, 35–38. [Google Scholar] [CrossRef]
- Takahashi, J.; Koiwa, M.; Hirabayashi, M.; Yamaguchi, S.; Fujino, Y.; Ozawa, K.; Doi, K. A Lattice Location Study of Oxygen in Vanadium by 1-MeV Deuteron Channeling. J. Phys. Soc. Jpn. 1978, 45, 1690–1696. [Google Scholar] [CrossRef]
- Kirchheim, R. Diffusion of Hydrogen and Other Interstitials in Disordred and Amorphous Materials. Defect Diffus. Forum 1997, 143–147, 911–926. [Google Scholar] [CrossRef]
- Numakura, H.; Yotsui, G.; Koiwa, M. Calculation of the strength of Snoek relaxation in dilute ternary bcc alloys. Acta Metall. Mater. 1995, 43, 705–714. [Google Scholar] [CrossRef]
- Biscarini, A.; Coluzzi, B.; Mazzolai, F.M. Application of statistical mechanics to solid solutions of interstitial impurities in binary alloys. Acta Mater. 1999, 47, 3447–3455. [Google Scholar] [CrossRef]
- Biscarini, A.; Coluzzi, B.; Mazzolai, F.M. Interstitial-site occupancies by H: A statistical model of blocking effects and H transition probabilities in fcc binary alloys. Phys. Rev. B 1994, 49, 969–978. [Google Scholar] [CrossRef]
- Puskar, A. Factors affecting anelasticity of materials. In Internal Friction of Materials; Cambridge International Science Publishing: Cambridge, UK, 2001. [Google Scholar]
- Wert, C.; Marx, J. A new method for determining the heat of activation for relaxation processes. Acta Metall. 1953, 1, 113–115. [Google Scholar] [CrossRef]
- Nowick, A.S.; Heller, W.R. Dielectric and anelastic relaxation of crystals containing point defects. Adv. Phys. 1965, 14, 101–166. [Google Scholar] [CrossRef]
- Biscarini, A.; Coluzzi, B.; Mazzolai, F.M. Interstitial hydrogen in BCC binary alloys: Site occupancies and transition probabilities. Defect Diffus. Forum 1999, 165–166, 1–20. [Google Scholar]
- Yu, L.M.; Yin, F.X. Internal friction of Niobium–Titanium–Oxygen alloys. J. Mater. Sci. 2007, 42, 7819–7826. [Google Scholar] [CrossRef]
- Sagues, A.A.; Gibala, R. Substitutional-interstitial interactions in Ta-Re-N and Ta-Re-O alloys. Acta Metall. 1974, 22, 1423–1432. [Google Scholar] [CrossRef]
- Strahl, A.; Golovin, I.S.; Neuhauser, H.; Golovina, S.B.; Sinning, H.R. Influence of Al concentration on the short-range and long-range diffusion of carbon in Fe–Al alloys. Mat. Sci. Eng. A 2006, 442, 128–132. [Google Scholar] [CrossRef]













| 0.99 | 1.00 × 10−2 | 2.50 × 10−5 | |||||
| 0.207 | 0.785 | 7.50 × 10−3 | 1.88 × 10−5 | ||||
| 6.19 × 10−2 | 0.596 | 0.338 | 4.40 × 10−3 | 1.09 × 10−5 | |||
| 0.136 | 0.721 | 0.141 | 1.90 × 10−3 | 4.68 × 10−6 | |||
| 0.333 | 0.599 | 6.69 × 10−2 | 6.34 × 10−4 | 1.56 × 10−6 |
| Transition Type | Configuration | Transition Probability (Normalized) | Site-Energy (kJ/mol) | Saddle-Point Energy (kJ/mol) | Activation Energy (kJ/mol) | Peak Temperature (K) |
|---|---|---|---|---|---|---|
![]() | 0.146 | −77.79 | 51.35 | 129.14 | 515 | |
![]() | 0.822 | −77.79 | 51.35 | 129.14 | 515 | |
![]() | 4.3 × 10−3 | −58.19 | 69.60 | 127.79 | 504 | |
![]() | 0.0229 | −58.19 | 69.60 | 127.79 | 504 | |
![]() | 4.5 × 10−3 | −58.19 | 51.35 | 109.54 | 440 |
| 0.25 | 0.50 | 0.25 | |||||
| 0.0625 | 0.3125 | 0.4375 | 0.1875 | ||||
| 0.0156 | 0.1563 | 0.3750 | 0.3438 | 0.1094 | |||
| 0.0469 | 0.25 | 0.4063 | 0.25 | 0.0469 | |||
| 0.1094 | 0.3438 | 0.3750 | 0.1563 | 0.0156 | |||
| 0.1875 | 0.4375 | 0.3125 | 0.0625 | ||||
| 0.25 | 0.50 | 0.25 |
© 2018 by the authors. Licensee MDPI, Basel, Switzerland. This article is an open access article distributed under the terms and conditions of the Creative Commons Attribution (CC BY) license (http://creativecommons.org/licenses/by/4.0/).
Share and Cite
Ren, J.; Yu, L.; Liu, Y.; Li, H.; Ma, Z.; Wu, J. Statistical Mechanics Treatment of the Broadened Snoek Relaxation Peak in Ternary Niobium–Vanadium–Oxygen Alloys. Materials 2018, 11, 1948. https://doi.org/10.3390/ma11101948
Ren J, Yu L, Liu Y, Li H, Ma Z, Wu J. Statistical Mechanics Treatment of the Broadened Snoek Relaxation Peak in Ternary Niobium–Vanadium–Oxygen Alloys. Materials. 2018; 11(10):1948. https://doi.org/10.3390/ma11101948
Chicago/Turabian StyleRen, Jian, Liming Yu, Yongchang Liu, Huijun Li, Zongqin Ma, and Jiefeng Wu. 2018. "Statistical Mechanics Treatment of the Broadened Snoek Relaxation Peak in Ternary Niobium–Vanadium–Oxygen Alloys" Materials 11, no. 10: 1948. https://doi.org/10.3390/ma11101948
APA StyleRen, J., Yu, L., Liu, Y., Li, H., Ma, Z., & Wu, J. (2018). Statistical Mechanics Treatment of the Broadened Snoek Relaxation Peak in Ternary Niobium–Vanadium–Oxygen Alloys. Materials, 11(10), 1948. https://doi.org/10.3390/ma11101948





