Polyurethane Foams: Past, Present, and Future
Abstract
1. Polymeric Foams
2. Polyurethane Foams
2.1. Effect of the Formulation
2.2. Processing Technology
3. Strategies toward the Sustainability of PUFs
3.1. Renewable Polyols for the Production of PUFs
3.1.1. Use of Biomass for the Production of Polyols
3.1.2. Use of Vegetable Oils as Polyols
3.1.3. Use of Industrial Residues as Polyols
3.2. Alternatives to the Use of Isocyanate
3.3. Recycling of Polyurethane Foams
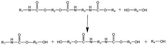
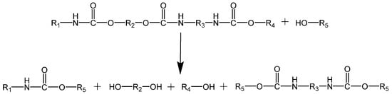
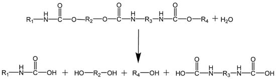
3.3.1. Chemical Recycling of Polyurethanes Foams
3.3.2. Physical Recycling of Polyurethane Foams
4. Polyurethane Foams Applications and Enhancement of Properties
4.1. Mechanical Properties
4.2. Thermal Regulation
4.3. Reaction to Fire
4.4. Sound Absorption Properties
4.5. Other Properties and Applications
5. Conclusions
Author Contributions
Funding
Conflicts of Interest
References
- Lee, S.-T.; Ramesh, N.S. Polymeric Foams: Mechanisms and Materials; CRC Press: New York, NY, USA, 2004. [Google Scholar]
- Titow, W.V. PVC Technology; Rapra Technology Ltd.: Shawbury, UK, 2001; p. 146. ISBN 1859572405. [Google Scholar]
- Eaves, D. Handbook of Polymer Foams; Rapra Technology Ltd.: Shawbury, UK, 2004; p. 289. [Google Scholar]
- Rapra, S. Polymer Foams Market Forecast to 2019; Smithers Rapra: Shawbury, UK, 2014. [Google Scholar]
- Rapra, S. High-Performance Polymer Foams to 2021—Market Reports; Smither Rapra: Shawbury, UK, 2018. [Google Scholar]
- Das, S.; Heasman, P.; Ben, T.; Qiu, S. Porous organic materials: Strategic design and structure–function correlation. Chem. Rev. 2017, 117, 1515–1563. [Google Scholar] [CrossRef] [PubMed]
- Ashida, K. Polyurethane and Related Foams Chemistry and Technology; Taylor & Francis Group: Boca Raton, FL, USA, 2007. [Google Scholar]
- Wellnitz, C.C. Assessment of Extruded Polystyrene Foam for Sandwich Composite Applications; Michigan Technological University: Houghton, MI, USA, 2007; p. 278. [Google Scholar]
- Titow, W.V. PVC Technology, 4th ed.; Elsevier Applied Science Publishers: London, UK; New York, NY, USA, 1984; ISBN 0853342490. [Google Scholar]
- Ionescu, M. Chemistry and Technology of Polyols for Polyurethanes; Rapra Technology Limited: Shawbury, UK, 2005; ISBN 1859574912. [Google Scholar]
- Szycher, M. Szycher’s Handbook of Polyurethanes, 2nd ed.; CRC Press: New York, NY, USA, 2006. [Google Scholar]
- Prisacariu, C. Polyurethane Elastomers from Morphology to Mechanical Aspects; Springer: New York, NY, USA, 2011; ISBN 9783709105139. [Google Scholar]
- Sharmin, E.; Zafar, F. Polyurethane: An Introduction; InTech: London, UK, 2012. [Google Scholar]
- Król, P. Linear Polyurethanes: Synthesis Methods, Chemical Structures, Properties and Applications; VSP: Leiden, The Netherlands, 2008. [Google Scholar]
- Polyurethane Global Market Size Forecast 2021. Available online: https://www.statista.com/statistics/720449/global-polyurethane-market-size-forecast/ (accessed on 13 September 2018).
- Palm, E.; Svensson Myrin, E. Mapping the Plastics System and Its Sustainability Challenges; Lund University: Lund, Sweden, 2018; p. 37. [Google Scholar]
- Polyurethane Production, Pricing and Market Demand. Available online: https://www.plasticsinsight.com/resin-intelligence/resin-prices/polyurethane/ (accessed on 13 September 2018).
- Gama, N.V.; Silva, R.; Costa, M.; Barros-Timmons, A.; Ferreira, A. Statistical evaluation of the effect of formulation on the properties of crude glycerol polyurethane foams. Polym. Test. 2016, 56, 200–206. [Google Scholar] [CrossRef]
- Defonseka, C. Practical Guide to Flexible Polyurethane Foams Practical Guide to Flexible Polyurethane Foams; Smithers Rapra: Shawbury, UK, 2013; ISBN 9781847359742. [Google Scholar]
- Guide, P. MDI and TDI: Safety, Health and the Environment. A Source Book and Practical Guide; John Wiley & Sons Ltd.: New York, NY, USA, 2003; ISBN 0471958123. [Google Scholar]
- Sousa, A.F.; Matos, M.; Pinto, R.J.B.; Freire, C.S.R.; Silvestre, A.J.D. One-pot synthesis of biofoams from castor oil and cellulose microfibers for energy absorption impact materials. Cellulose 2014, 21, 1723–1733. [Google Scholar] [CrossRef]
- Javni, I.; Zhang, W.; Petrovickansaspetrovic, Z.S. Effect of different isocyanates on the properties of soy-based polyurethanes. J. Appl. Polym. Sci. 2003, 88, 2912–2916. [Google Scholar] [CrossRef]
- Shufen, L.; Zhi, J.; Kaijun, Y.; Shuqin, Y.; Chow, W.K. Studies on the thermal behavior of polyurethanes. Polym. Plast. Technol. Eng. 2006, 45, 95–108. [Google Scholar] [CrossRef]
- Singh, S.N. Blowing Agents for Polyurethane Foams; Rapra Technology: Shawbury, UK, 2002; Volume 12, ISBN 1859573215. [Google Scholar]
- Wypych, G. Handbook of Foaming and Blowing Agents; ChemTec Publishing: Toronto, ON, Canada, 2017. [Google Scholar]
- Noorani, R. 3D Printing: Technology, Applications, and Selection; CRC Press: Boca Raton, FL, USA, 2017; ISBN 9781315155494. [Google Scholar]
- Ge, C.; Priyadarshini, L.; Cormier, D.; Pan, L.; Tuber, J. A preliminary study of cushion properties of a 3D printed thermoplastic polyurethane Kelvin foam. Packag. Technol. Sci. 2018, 31, 361–368. [Google Scholar] [CrossRef]
- Tan, S.; Abraham, T.; Ference, D.; Macosko, C.W. Rigid polyurethane foams from a soybean oil-based Polyol. Polymer 2011, 52, 2840–2846. [Google Scholar] [CrossRef]
- Agrawal, A.; Kaur, R.; Walia, R.S. PU foam derived from renewable sources: Perspective on properties enhancement: An overview. Eur. Polym. J. 2017, 95, 255–274. [Google Scholar] [CrossRef]
- Green and Bio Polyols Market by 2021. Available online: http://www.marketsandmarkets.com/PressReleases/Green-and-Bio-Polyols.asp (accessed on 14 September 2018).
- Bio-based Polyols Market Report Trends, Analysis, Forecast. Available online: http://www.micromarketmonitor.com/market-report/bio-based-polyols-reports-1739790449.html (accessed on 14 September 2018).
- Gama, N.V.; Soares, B.; Freire, C.S.R.; Silva, R.; Neto, C.P.; Barros-Timmons, A.; Ferreira, A. Rigid polyurethane foams derived from cork liquefied at atmospheric pressure. Polym. Int. 2014, 64, 250–257. [Google Scholar] [CrossRef]
- Gama, N.V.; Soares, B.; Freire, C.S.R.; Silva, R.; Neto, C.P.; Barros-Timmons, A.; Ferreira, A. Bio-based polyurethane foams toward applications beyond thermal insulation. Mater. Des. 2015, 76, 77–85. [Google Scholar] [CrossRef]
- Ferreira, A.; Gama, N.V.; Soares, B.; Freire, C.S.R.; Barros-Timmons, A.; Brandão, I.; Silva, R.; Neto, C.P. Method for Production of Rigid Polyurethane Foams Using Unrefined Crude Glycerol. Patent Application 107,711, 12 June 2014. [Google Scholar]
- Gama, N.; Costa, L.C.; Amaral, V.; Ferreira, A.; Barros-Timmons, A. Insights into the physical properties of biobased polyurethane/expanded graphite composite foams. Compos. Sci. Technol. 2017, 138, 24–31. [Google Scholar] [CrossRef]
- Aniceto, J.P.S.; Portugal, I.; Silva, C.M. Biomass-based polyols through oxypropylation reaction. ChemSusChem 2012, 5, 1358–1368. [Google Scholar] [CrossRef] [PubMed]
- Niu, M.; Zhao, G.; Alma, M.H. Polycondensation reaction and its mechanism during lignocellulosic liquefaction by an acid catalyst: A review. For. Stud. China 2011, 13, 71–79. [Google Scholar] [CrossRef]
- Belgacem, M.; Gandini, A. Monomers, Polymers and Composites from Renewable Resources; Elsevier, Ed.; Elsevier: Amsterdam, The Netherlands, 2008; pp. 273–288. [Google Scholar]
- Gandini, A.; Pinto, C.; Costa, J.J.; Pascoal, N.C. Process for the Production of Liquid Poliols of Renewable Origin by the Liquefaction of Agro-Forestry and Agro-Food Biomass. WO Patent 2010020903 A1, 25 February 2010. [Google Scholar]
- Lammers, G.; Stamhuis, E.J.; Beenackers, A.A.C.M. Kinetics of the hydroxypropylation of potato starch in aqueous solution. Ind. Eng. Chem. Res. 1993, 32, 835–842. [Google Scholar] [CrossRef]
- Gandini, A.; Belgacem, M.N. Recent contributions to the preparation of polymers derived from renewable resources. J. Polym. Environ. 2002, 10, 105–114. [Google Scholar] [CrossRef]
- Pavier, C.; Gandini, A. Oxypropylation of sugar beet pulp. 1. Optimisation of the reaction. Ind. Crops Prod. 2000, 12, 1–8. [Google Scholar] [CrossRef]
- Pavier, C.; Gandini, A. Oxypropylation of sugar beet pulp. 2. Separation of the grafted pulp from the propylene oxide homopolymer. Carbohydr. Polym. 2000, 42, 13–17. [Google Scholar] [CrossRef]
- Pavier, C.; Gandini, A. Urethanes and polyurethanes from oxypropylated sugar beet pulp I. Kinetic study in solution. Eur. Polym. J. 2000, 36, 1653–1658. [Google Scholar] [CrossRef]
- Evtiouguina, M.; Barros-Timmons, A.; Cruz-Pinto, J.J.; Neto, C.P.; Belgacem, M.N.; Gandini, A. Oxypropylation of cork and the use of the ensuing polyols in polyurethane formulations. Biomacromolecules 2002, 3, 57–62. [Google Scholar] [CrossRef] [PubMed]
- Evtiouguina, M.; Gandini, A.; Neto, C.P.; Belgacem, N.M. Urethanes and polyurethanes based on oxypropylated cork: 1. Appraisal and reactivity of products. Polym. Int. 2001, 50, 1150–1155. [Google Scholar] [CrossRef]
- Gandini, A.; Pascoal Neto, C.; Silvestre, A.J.D. Suberin: A promising renewable resource for novel macromolecular materials. Prog. Polym. Sci. 2006, 31, 878–892. [Google Scholar] [CrossRef]
- Cordeiro, N.; Belgacem, M.N.; Gandini, A.; Pascoal Neto, C. Urethanes and polyurethanes from suberin 2: Synthesis and characterization. Ind. Crops Prod. 1999, 10, 1–10. [Google Scholar] [CrossRef]
- Cordeiro, N.; Belgacem, M.N.; Gandini, A.; Neto, C.P. Urethanes and polyurethanes from suberin: 1. Kinetic study. Ind. Crops Prod. 1997, 6, 163–167. [Google Scholar] [CrossRef]
- Evtiouguina, M.; Margarida Barros, A.; Cruz-Pinto, J.J.; Pascoal Neto, C.; Belgacem, N.; Pavier, C.; Gandini, A. The oxypropylation of cork residues: Preliminary results. Bioresour. Technol. 2000, 73, 187–189. [Google Scholar] [CrossRef]
- Fernandes, S.; Freire, C.S.R.; Neto, C.P.; Gandini, A. The bulk oxypropylation of chitin and chitosan and the characterization of the ensuing polyols. Green Chem. 2008, 10, 93–97. [Google Scholar] [CrossRef]
- De Menezes, A.J.; Pasquini, D.; Curvelo, A.A.S.; Gandini, A. Novel thermoplastic materials based on the outer-shell oxypropylation of corn starch granules. Biomacromolecules 2007, 8, 2047–2050. [Google Scholar] [CrossRef] [PubMed]
- Briones, R.; Serrano, L.; Younes, R.B.; Mondragon, I.; Labidi, J. Polyol production by chemical modification of date seeds. Ind. Crops Prod. 2011, 34, 1035–1040. [Google Scholar] [CrossRef]
- Serrano, L.; Alriols, M.G.; Briones, R.; Mondragón, I.; Labidi, J. Oxypropylation of rapeseed cake residue generated in the biodiesel production process. Ind. Eng. Chem. Res. 2010, 49, 1526–1529. [Google Scholar] [CrossRef]
- Matos, M.; Barreiro, M.F.; Gandini, A. Olive stone as a renewable source of biopolyols. Ind. Crops Prod. 2010, 32, 7–12. [Google Scholar] [CrossRef]
- Nadji, H.; Bruzzèse, C.; Belgacem, M.N.; Benaboura, A.; Gandini, A. Oxypropylation of lignins and preparation of rigid polyurethane foams from the ensuing polyols. Macromol. Mater. Eng. 2005, 290, 1009–1016. [Google Scholar] [CrossRef]
- Amaral, J.S.; Sepúlveda, M.; Cateto, C.A.; Fernandes, I.P.; Rodrigues, A.E.; Belgacem, M.N.; Barreiro, M.F. Fungal degradation of lignin-based rigid polyurethane foams. Polym. Degrad. Stab. 2012, 97, 2069–2076. [Google Scholar] [CrossRef]
- Pan, X.; Saddler, J.N. Effect of replacing polyol by organosolv and kraft lignin on the property and structure of rigid polyurethane foam. Biotechnol. Biofuels 2013, 6, 12. [Google Scholar] [CrossRef] [PubMed]
- Li, Y.; Ragauskas, A.J. Kraft lignin-based rigid polyurethane foam. J. Wood Chem. Technol. 2012, 32, 210–224. [Google Scholar] [CrossRef]
- D’Souza, J.; George, B.; Camargo, R.; Yan, N. Synthesis and characterization of bio-polyols through the oxypropylation of bark and alkaline extracts of bark. Ind. Crops Prod. 2015, 76, 1–11. [Google Scholar] [CrossRef]
- Arbenz, A.; Frache, A.; Cuttica, F.; Avérous, L. Advanced biobased and rigid foams, based on urethane-modified isocyanurate from oxypropylated gambier tannin polyol. Polym. Degrad. Stab. 2016, 132, 62–68. [Google Scholar] [CrossRef]
- Yan, Y.; Hu, M.; Wang, Z. Kinetic study on the liquefaction of corn stalk in polyhydric alcohols. Ind. Crops Prod. 2010, 32, 349–352. [Google Scholar] [CrossRef]
- Jin, Y.; Ruan, X.; Cheng, X.; Lü, Q. Liquefaction of lignin by polyethyleneglycol and glycerol. Bioresour. Technol. 2011, 102, 3581–3583. [Google Scholar] [CrossRef] [PubMed]
- Hu, S.; Luo, X.; Li, Y. Polyols and polyurethanes from the liquefaction of lignocellulosic biomass. ChemSusChem 2014, 7, 66–72. [Google Scholar] [CrossRef] [PubMed]
- Hu, S.; Li, Y. Two-step sequential liquefaction of lignocellulosic biomass by crude glycerol for the production of polyols and polyurethane foams. Bioresour. Technol. 2014, 161, 410–415. [Google Scholar] [CrossRef] [PubMed]
- Hassan, E.M.; Shukry, N. Polyhydric alcohol liquefaction of some lignocellulosic agricultural residues. Ind. Crops Prod. 2008, 27, 33–38. [Google Scholar] [CrossRef]
- Wang, H.; Chen, H.-Z. A novel method of utilizing the biomass resource: Rapid liquefaction of wheat straw and preparation of biodegradable polyurethane foam (PUF). J. Chin. Inst. Chem. Eng. 2007, 38, 95–102. [Google Scholar] [CrossRef]
- Soares, B.; Gama, N.; Freire, C.; Barros-Timmons, A.; Brandão, I.; Silva, R.; Pascoal Neto, C.; Ferreira, A. Ecopolyol production from industrial cork powder via acid liquefaction using polyhydric alcohols. ACS Sustain. Chem. Eng. 2014, 2, 846–854. [Google Scholar] [CrossRef]
- Wang, T.; Li, D.; Wang, L.; Yin, J.; Chen, X.D.; Mao, Z. Effects of CS/EC ratio on structure and properties of polyurethane foams prepared from untreated liquefied corn stover with PAPI. Chem. Eng. Res. Des. 2008, 86, 416–421. [Google Scholar] [CrossRef]
- Wang, T.; Zhang, L.; Li, D.; Yin, J.; Wu, S.; Mao, Z. Mechanical properties of polyurethane foams prepared from liquefied corn stover with PAPI. Bioresour. Technol. 2008, 99, 2265–2268. [Google Scholar] [CrossRef] [PubMed]
- Ye, L.; Zhang, J.; Zhao, J.; Tu, S. Liquefaction of bamboo shoot shell for the production of polyols. Bioresour. Technol. 2014, 153, 147–153. [Google Scholar] [CrossRef] [PubMed]
- Gao, L.-L.; Liu, Y.-H.; Lei, H.; Peng, H.; Ruan, R. Preparation of semirigid polyurethane foam with liquefied bamboo residues. J. Appl. Polym. Sci. 2010, 116, 1694–1699. [Google Scholar] [CrossRef]
- Fidan, M.S.; Alma, M.H. Preparation and characterization of biodegradable rigid polyurethane foams from the liquified eucalyptus and pine woods. Wood Res. 2014, 59, 97–108. [Google Scholar]
- Abdel Hakim, A.A.; Nassar, M.; Emam, A.; Sultan, M. Preparation and characterization of rigid polyurethane foam prepared from sugar-cane bagasse polyol. Mater. Chem. Phys. 2011, 129, 301–307. [Google Scholar] [CrossRef]
- Soares, B.; Gama, N.V.; Freire, C.S.R.; Barros-Timmons, A.; Brandão, I.; Silva, R.; Neto, C.P.; Ferreira, A. spent coffee grounds as a renewable source for ecopolyols production. J. Chem. Technol. Biotechnol. 2014, 64, 250–275. [Google Scholar]
- Sun, R.C. Cereal Straw as a Resource for Sustainable Biomaterials and Biofuels; Elsevier: Amsterdam, The Netherlands, 2010; ISBN 9780444532343. [Google Scholar]
- Hu, S.; Wan, C.; Li, Y. Production and characterization of biopolyols and polyurethane foams from crude glycerol based liquefaction of soybean straw. Bioresour. Technol. 2012, 103, 227–233. [Google Scholar] [CrossRef] [PubMed]
- Nasar, M.; Emam, A.; Sultan, M.; Hakim, A.A.A. Optimization and characterization of sugar-cane bagasse liquefaction process. Indian J. Sci. Technol. 2010, 3, 207–212. [Google Scholar]
- Ogunfeyitimi, O.S.; Okewale, A.O.; Igbokwe, P.K. The use of castor oil as a reactive monomer in synthesis of flexible polyurethane foam. Int. J. Multidiscip. Sci. Eng. 2012, 3, 10–14. [Google Scholar]
- Saralegi, A.; Gonzalez, M.L.; Valea, A.; Eceiza, A.; Corcuera, M.A. The role of cellulose nanocrystals in the improvement of the shape-memory properties of castor oil-based segmented thermoplastic polyurethanes. Compos. Sci. Technol. 2014, 92, 27–33. [Google Scholar] [CrossRef]
- Yeganeh, H.; Mehdizadeh, M.R. Synthesis and properties of isocyanate curable millable polyurethane elastomers based on castor oil as a renewable resource polyol. Eur. Polym. J. 2004, 40, 1233–1238. [Google Scholar] [CrossRef]
- Sharma, C.; Kumar, S.; Unni, A.R.; Aswal, V.K.; Rath, S.K.; Harikrishnan, G. Foam stability and polymer phase morphology of flexible polyurethane foams synthesized from castor oil. J. Appl. Polym. Sci. 2014, 131, 40668–40676. [Google Scholar] [CrossRef]
- Spontón, M.; Casis, N.; Mazo, P.; Raud, B.; Simonetta, A.; Ríos, L.; Estenoz, D. Biodegradation study by Pseudomonas sp. of flexible polyurethane foams derived from castor oil. Int. Biodeterior. Biodegrad. 2013, 85, 85–94. [Google Scholar] [CrossRef]
- Zhang, L.; Zhang, M.; Hu, L.; Zhou, Y. Synthesis of rigid polyurethane foams with castor oil-based flame retardant polyols. Ind. Crops Prod. 2014, 52, 380–388. [Google Scholar] [CrossRef]
- Yeganeh, H.; Hojati-Talemi, P. Preparation and properties of novel biodegradable polyurethane networks based on castor oil and poly(ethylene glycol). Polym. Degrad. Stab. 2007, 92, 480–489. [Google Scholar] [CrossRef]
- Zhang, M.; Pan, H.; Zhang, L.; Hu, L.; Zhou, Y. Study of the mechanical, thermal properties and flame retardancy of rigid polyurethane foams prepared from modified castor-oil-based polyols. Ind. Crops Prod. 2014, 59, 135–143. [Google Scholar] [CrossRef]
- Zhang, L.; Zhang, M.; Zhou, Y.; Hu, L. The study of mechanical behavior and flame retardancy of castor oil phosphate-based rigid polyurethane foam composites containing expanded graphite and triethyl phosphate. Polym. Degrad. Stab. 2013, 98, 2784–2794. [Google Scholar] [CrossRef]
- Corcuera, M.A.; Rueda, L.; Fernandez d’Arlas, B.; Arbelaiz, A.; Marieta, C.; Mondragon, I.; Eceiza, A. Microstructure and properties of polyurethanes derived from castor oil. Polym. Degrad. Stab. 2010, 95, 2175–2184. [Google Scholar] [CrossRef]
- Ikeh, P.O. Comparative analysis of flame characteristics of castor oil and some other inorganic flame retardants used in polyurethane foam systems. Niger. J. Basic Appl. Sci. 2011, 19, 55–63. [Google Scholar] [CrossRef]
- Petrović, Z.S.; Cvetković, I. Vegetable oil-based hyperbranched polyols in flexible foams. Contemp. Mater. 2012, 1, 63–71. [Google Scholar] [CrossRef]
- Badri, K.H. Biobased Polyurethane from Palm Kernel Oil-Based Polyol; Intech: New Delhi, India, 2012. [Google Scholar]
- Pawlik, H.; Prociak, A. Influence of palm oil-based polyol on the properties of flexible polyurethane foams. J. Polym. Environ. 2011, 20, 438–445. [Google Scholar] [CrossRef]
- Tanaka, R.; Hirose, S.; Hatakeyama, H. Preparation and characterization of polyurethane foams using a palm oil-based polyol. Bioresour. Technol. 2008, 99, 3810–3816. [Google Scholar] [CrossRef] [PubMed]
- Chuayjuljit, S.; Sangpakdee, T. Processing and properties of palm oil-based rigid polyurethane foam. J. Met. Mater. Miner. 2007, 17, 17–23. [Google Scholar]
- Tamami, B.; Sohn, S.; Wilkes, G.L. Incorporation of carbon dioxide into soybean oil and subsequent preparation and studies of nonisocyanate polyurethane networks. J. Appl. Polym. Sci. 2004, 92, 883–891. [Google Scholar] [CrossRef]
- Sonnenschein, M.F.; Wendt, B.L. Design and formulation of soybean oil derived flexible polyurethane foams and their underlying polymer structure/property relationships. Polymer 2013, 54, 2511–2520. [Google Scholar] [CrossRef]
- Gu, R.; Konar, S.; Sain, M. Preparation and characterization of sustainable polyurethane foams from soybean oils. J. Am. Oil Chem. Soc. 2012, 89, 2103–2111. [Google Scholar] [CrossRef]
- Pechar, T.W.; Sohn, S.; Wilkes, G.L.; Ghosh, S.; Frazier, C.E.; Fornof, A.; Long, T.E. Characterization and comparasion of polyurethane networks prepared using soybean-based polyols. J. Appl. Polym. Sci. 2006, 101, 1432–1443. [Google Scholar] [CrossRef]
- Zhang, L.; Jeon, H.K.; Malsam, J.; Herrington, R.; Macosko, C.W. Substituting soybean oil-based polyol into polyurethane flexible foams. Polymer 2007, 48, 6656–6667. [Google Scholar] [CrossRef]
- John, J.; Bhattacharya, M.; Turner, R.B. Characterization of polyurethane foams from soybean oil. J. Appl. Polym. Sci. 2002, 86, 3097–3107. [Google Scholar] [CrossRef]
- Beltran, A.A.; Boyaca, L.A. Preparation of oleochemical polyols derived from soybean oil. Lat. Am. Appl. Res. 2011, 74, 69–74. [Google Scholar]
- Luo, X.; Mohanty, A.; Misra, M. Lignin as a reactive reinforcing filler for water-blown rigid biofoam composites from soy oil-based polyurethane. Ind. Crops Prod. 2013, 47, 13–19. [Google Scholar] [CrossRef]
- Bakhshi, H.; Yeganeh, H.; Mehdipour-Ataei, S.; Shokrgozar, M.A.; Yari, A.; Saeedi-Eslami, S.N. Synthesis and characterization of antibacterial polyurethane coatings from quaternary ammonium salts functionalized soybean oil based polyols. Mater. Sci. Eng. C 2013, 33, 153–164. [Google Scholar] [CrossRef] [PubMed]
- Guo, A.; Javni, I.; Petrovic, Z. Rigid polyurethane foams based on soybean oil. J. Appl. Polym. Sci. 1999, 77, 467–473. [Google Scholar] [CrossRef]
- Fridrihsone, A.; Stirna, U.; Lazdiņa, B.; Misāne, M.; Vilsone, D. Characterization of polyurethane networks structure and properties based on rapeseed oil derived polyol. Eur. Polym. J. 2013, 49, 1204–1214. [Google Scholar] [CrossRef]
- Philipp, C.; Eschig, S. Waterborne polyurethane wood coatings based on rapeseed fatty acid methyl esters. Prog. Org. Coat. 2012, 74, 705–711. [Google Scholar] [CrossRef]
- Kong, X.; Liu, G.; Curtis, J.M. Novel polyurethane produced from canola oil based poly(ether ester) polyols: Synthesis, characterization and properties. Eur. Polym. J. 2012, 48, 2097–2106. [Google Scholar] [CrossRef]
- Da Silva, V.R.; Mosiewicki, M.A.; Yoshida, M.I.; Coelho da Silva, M.; Stefani, P.M.; Marcovich, N.E. Polyurethane foams based on modified tung oil and reinforced with rice husk ash II: Mechanical characterization. Polym. Test. 2013, 32, 665–672. [Google Scholar] [CrossRef]
- Karak, N. Vegetable Oil-Based Polymers: Properties, Processing and Applications; Woodhead Publishing: Oxford/Cambridge, UK, 2012; ISBN 9780857097101. [Google Scholar]
- Sharmin, E.; Zafar, F.; Ahmad, S. Seed Oil Based Polyurethanes: An Insight; Intech: New Delhi, India, 2012. [Google Scholar]
- Petrovic, Z. Polyurethanes from Vegetable Oils. Polym. Rev. 2008, 48, 109–155. [Google Scholar] [CrossRef]
- Sawpan, M.A. Polyurethanes from vegetable oils and applications: A review. J. Polym. Res. 2018, 25, 184. [Google Scholar] [CrossRef]
- Li, Y.; Luo, X.; Hu, S. Bio-Based Polyols and Polyurethanes; Springer International Publishing: Cham, Switzerland, 2015. [Google Scholar]
- Tu, Y.-C.; Suppes, G.J.; Hsieh, F.-H. Water-blown rigid and flexible polyurethane foams containing epoxidized soybean oil triglycerides. J. Appl. Polym. Sci. 2008, 109, 537–544. [Google Scholar] [CrossRef]
- Petrović, Z.S.; Guo, A.; Javni, I.; Cvetković, I.; Hong, D.P. Polyurethane networks from polyols obtained by hydroformylation of soybean oil. Polym. Int. 2008, 57, 275–281. [Google Scholar] [CrossRef]
- Badan, A.; Majka, T.M. The influence of vegetable-oil based polyols on physico-mechanical and thermal properties of polyurethane foams. In Proceedings of the 21st International Electronic Conference on Synthetic Organic Chemistry, Santiago de Compostela, Spain, 1–30 November 2017; pp. 1–7. [Google Scholar]
- Petrović, Z.S.; Zhang, W.; Javni, I. Structure and properties of polyurethanes prepared from triglyceride polyols by ozonolysis. Biomacromolecules 2005, 6, 713–719. [Google Scholar] [CrossRef] [PubMed]
- Veronese, V.B.; Menger, R.K.; Forte, M.M.; Petzhold, C.L. Rigid polyurethane foam based on modified vegetable oil. J. Appl. Polym. Sci. 2011, 120, 530–537. [Google Scholar] [CrossRef]
- Kurańska, M.; Prociak, A. The influence of rapeseed oil-based polyols on the foaming process of rigid polyurethane foams. Ind. Crops Prod. 2016, 89, 182–187. [Google Scholar] [CrossRef]
- Tan, H.W.; Abdul Aziz, A.R.; Aroua, M.K. Glycerol production and its applications as a raw material: A review. Renew. Sustain. Energy Rev. 2013, 27, 118–127. [Google Scholar] [CrossRef]
- Kong, P.S.; Aroua, M.K.; Daud, W.M.A.W. Conversion of crude and pure glycerol into derivatives: A feasibility evaluation. Renew. Sustain. Energy Rev. 2016, 63, 533–555. [Google Scholar] [CrossRef]
- Hu, S.; Li, Y. Polyols and polyurethane foams from base-catalyzed liquefaction of lignocellulosic biomass by crude glycerol: Effects of crude glycerol impurities. Ind. Crops Prod. 2014, 57, 188–194. [Google Scholar] [CrossRef]
- Li, Y.; Zhou, Y.; Lubguban, A. Methods for Producing Polyols and Polyurethanes. U.S. Patent 20110054059 A1, 3 March 2011. [Google Scholar]
- Li, Y.; Zhou, Y. Methods for Producing Polyols Using Crude Glycerin. U.S. Patent 8,022,257, 20 September 2011. [Google Scholar]
- Luo, X.; Hu, S.; Zhang, X.; Li, Y. Thermochemical conversion of crude glycerol to biopolyols for the production of polyurethane foams. Bioresour. Technol. 2013, 139, 323–329. [Google Scholar] [CrossRef] [PubMed]
- Gómez, E.F.; Luo, X.; Li, C.; Michel, F.C.; Li, Y. Biodegradability of crude glycerol-based polyurethane foams during composting, anaerobic digestion and soil incubation. Polym. Degrad. Stab. 2014, 102, 195–203. [Google Scholar] [CrossRef]
- Gama, N.V.; Silva, R.; Mohseni, F.; Davarpanah, A.; Amaral, V.S.; Ferreira, A.; Barros-Timmons, A. Enhancement of physical and reaction to fire properties of crude glycerol polyurethane foams filled with expanded graphite. Polym. Test. 2018, 69, 199–207. [Google Scholar] [CrossRef]
- Gama, N.V.; Soares, B.; Freire, C.S.; Silva, R.; Ferreira, A.; Barros-Timmons, A. Effect of unrefined crude glycerol composition on the properties of polyurethane foams. J. Cell. Plast. 2017, 54, 633–649. [Google Scholar] [CrossRef]
- Gama, N.; Silva, R.; Carvalho, A.P.O.; Ferreira, A.; Barros-Timmons, A. Sound absorption properties of polyurethane foams derived from crude glycerol and liquefied coffee grounds polyol. Polym. Test. 2017, 62, 13–22. [Google Scholar] [CrossRef]
- Li, C.; Luo, X.; Li, T.; Tong, X.; Li, Y. Polyurethane foams based on crude glycerol-derived biopolyols: One-pot preparation of biopolyols with branched fatty acid ester chains and its effects on foam formation and properties. Polymer 2014, 55, 6529–6538. [Google Scholar] [CrossRef]
- Zeltins, V.; Yakushin, V.; Cabulis, U.; Kirpluks, M. Crude tall oil as raw material for rigid polyurethane foams with low water absorption. Solid State Phenom. 2017, 267, 17–22. [Google Scholar] [CrossRef]
- Mizera, K.; Kirpluks, M.; Cabulis, U.; Leszczyńska, M.; Półka, M.; Ryszkowska, J. Characterisation of ureaurethane elastomers containing tall oil based polyols. Ind. Crops Prod. 2018, 113, 98–110. [Google Scholar] [CrossRef]
- Athawale, V.D.; Nimbalkar, R.V. Polyurethane dispersions based on sardine fish oil, soybean oil, and their interesterification products. J. Dispers. Sci. Technol. 2011, 32, 1014–1022. [Google Scholar] [CrossRef]
- Pawar, M.S.; Kadam, A.S.; Dawane, B.S.; Yemul, O.S. Synthesis and characterization of rigid polyurethane foams from algae oil using biobased chain extenders. Polym. Bull. 2016, 73, 727–741. [Google Scholar] [CrossRef]
- Park, S.K.; Hettiarachchy, N.S. Physical and mechanical properties of soy protein-based plastic foams. J. Am. Oil Chem. Soc. 1999, 76, 1201–1205. [Google Scholar] [CrossRef]
- Roy, P.K.; Mathur, R.; Kumar, D.; Rajagopal, C. Tertiary recycling of poly(ethylene terephthalate) wastes for production of polyurethane–polyisocyanurate foams. J. Environ. Chem. Eng. 2013, 1, 1062–1069. [Google Scholar] [CrossRef]
- Członka, S.; Bertino, M.F.; Strzelec, K.; Strąkowska, A.; Masłowski, M. Rigid polyurethane foams reinforced with solid waste generated in leather industry. Polym. Test. 2018, 69, 225–237. [Google Scholar] [CrossRef]
- Silva, M.C.; Takahashi, J.A.; Chaussy, D.; Belgacem, M.N.; Silva, G.G. Composites of rigid polyurethane foam and cellulose residue. J. Appl. Polym. Sci. 2010, 117, 3665–3672. [Google Scholar] [CrossRef]
- Otto, G.P.; Moisés, M.P.; Carvalho, G.; Rinaldi, A.W.; Garcia, J.C.; Radovanovic, E.; Fávaro, S.L. Mechanical properties of a polyurethane hybrid composite with natural lignocellulosic fibers. Compos. Part B Eng. 2017, 110, 459–465. [Google Scholar] [CrossRef]
- Zieleniewska, M.; Leszczyński, M.K.; Szczepkowski, L.; Bryśkiewicz, A.; Krzyżowska, M.; Bień, K.; Ryszkowska, J. Development and applicational evaluation of the rigid polyurethane foam composites with egg shell waste. Polym. Degrad. Stab. 2016, 132, 78–86. [Google Scholar] [CrossRef]
- Oushabi, A.; Sair, S.; Abboud, Y.; Tanane, O.; Bouari, A. El An experimental investigation on morphological, mechanical and thermal properties of date palm particles reinforced polyurethane composites as new ecological insulating materials in building. Case Stud. Constr. Mater. 2017, 7, 128–137. [Google Scholar] [CrossRef]
- Bryśkiewicz, A.; Zieleniewska, M.; Przyjemska, K.; Chojnacki, P.; Ryszkowska, J. Modification of flexible polyurethane foams by the addition of natural origin fillers. Polym. Degrad. Stab. 2016, 132, 32–40. [Google Scholar] [CrossRef]
- Antunes, M.; Cano, Á.; Haurie, L.; Velasco, J.I. Esparto wool as reinforcement in hybrid polyurethane composite foams. Ind. Crops Prod. 2011, 34, 1641–1648. [Google Scholar] [CrossRef]
- Figovsky, O.L. Hybrid Nonisocyanate Polyurethane Network Polymers and Composites Formed Therefrom. U.S. Patent 6,120,905, 19 September 2000. [Google Scholar]
- Guan, J.; Song, Y.; Lin, Y.; Yin, X.; Zuo, M.; Zhao, Y.; Tao, X.; Zheng, Q. Progress in study of non-isocyanate polyurethane. Ind. Eng. Chem. Res. 2011, 50, 6517–6527. [Google Scholar] [CrossRef]
- Li, Z.; Zhao, Y.; Yan, S.; Wang, X.; Kang, M.; Wang, J.; Xiang, H. Catalytic synthesis of carbonated soybean oil. Catal. Lett. 2008, 123, 246–251. [Google Scholar] [CrossRef]
- Tamami, G.W.S.S.B. Using Tetrabutylammonium Bromide Catalyst. U.S. Patent 20040230009 A1, 18 November 2004. [Google Scholar]
- Clements, J.H. Reactive applications of cyclic alkylene carbonates. Ind. Eng. Chem. Res. 2003, 42, 663–674. [Google Scholar] [CrossRef]
- Kathalewar, M.; Sabnis, A.; Waghoo, G. Effect of incorporation of surface treated zinc oxide on non-isocyanate polyurethane based nano-composite coatings. Prog. Org. Coat. 2013, 76, 1215–1229. [Google Scholar] [CrossRef]
- Birukov, O.; Figovsky, O.; Leykin, A.; Shapovalov, L. Epoxi-amine Composition Modified with Hydroxyalkyl Urethane. U.S. Patent 7989553 B, 2 August 2011. [Google Scholar]
- Rappoport, L.; Brown, R.D. Urethane Oligomers and Polyurethanes. U.S. Patent 5175231 A, 29 December 1992. [Google Scholar]
- Rappoport, L. Water-Compatible Urethane-Containing Amine Hardener. WO Patent 1998058004 A1, 23 December 1998. [Google Scholar]
- Rappoport, L.; Vainer, A.; Yam, A. Epoxy-Amine Compositions Containing Sulfur as a Cure Accelerator. U.S. Patent 6,465,597, 15 October 2002. [Google Scholar]
- Rappoport, L.; Vainer, A.; Yam, A. Allow the Adjustment of Chemical and Physical Properties of the Polymers; Polymers Such as Hydroxy-Terminated Polybutadiene Endcapped with Isocyanatates to form Urethane or Urea Linkages, and Another Functional Group. U.S. Patent 20020169272 A1, 14 November 2002. [Google Scholar]
- Rappoport, L.; Vainer, A.; Yam, A. Polyfunctional Urethane- or Urea-Containing Oligomers and Polymers Prepared Therefrom. U.S. Patent 6,369,188, 9 April 2002. [Google Scholar]
- Clark, J.H.; Farmer, T.J.; Ingram, I.D.V.; Lie, Y.; North, M. Renewable self-blowing non-isocyanate polyurethane foams from lysine and sorbitol. Eur. J. Org. Chem. 2018, 2018, 4265–4271. [Google Scholar] [CrossRef]
- Farhadian, A.; Ahmadi, A.; Omrani, I.; Miyardan, A.B.; Varfolomeev, M.A.; Nabid, M.R. Synthesis of fully bio-based and solvent free non-isocyanate poly (ester amide/urethane) networks with improved thermal stability on the basis of vegetable oils. Polym. Degrad. Stab. 2018, 155, 111–121. [Google Scholar] [CrossRef]
- Cregut, M.; Bedas, M.; Durand, M.-J.; Thouand, G. New insights into polyurethane biodegradation and realistic prospects for the development of a sustainable waste recycling process. Biotechnol. Adv. 2013, 31, 1634–1647. [Google Scholar] [CrossRef] [PubMed]
- Yang, W.; Dong, Q.; Liu, S.; Xie, H.; Liu, L.; Li, J. Recycling and disposal methods for polyurethane foam wastes. Procedia Environ. Sci. 2012, 16, 167–175. [Google Scholar] [CrossRef]
- Zia, K.M.; Bhatti, H.N.; Ahmad Bhatti, I. Methods for polyurethane and polyurethane composites, recycling and recovery: A review. React. Funct. Polym. 2007, 67, 675–692. [Google Scholar] [CrossRef]
- Johnson, O.B. Method for Continuous Hydrolysis of Polyurethane Foam in Restricted Tubular Reaction Zone and RECOVERY. U.S. Patent 4025559 A, 24 May 1977. [Google Scholar]
- Motokucho, S.; Nakayama, Y.; Morikawa, H.; Nakatani, H. Environment-friendly chemical recycling of aliphatic polyurethanes by hydrolysis in a CO2/water system. J. Appl. Polym. Sci. 2018, 135, 45897. [Google Scholar] [CrossRef]
- Yamamoto, N.; Nakayama, A.; Oshima, M.; Kawasaki, N.; Aiba, S. Enzymatic hydrolysis of lysine diisocyanate based polyurethanes and segmented polyurethane ureas by various proteases. React. Funct. Polym. 2007, 67, 1338–1345. [Google Scholar] [CrossRef]
- Watando, H.; Saya, S.; Fukaya, T.; Fujieda, S.; Yamamoto, M. Improving chemical recycling rate by reclaiming polyurethane elastomer from polyurethane foam. Polym. Degrad. Stab. 2006, 91, 3354–3359. [Google Scholar] [CrossRef]
- Kanaya, K.; Takahashi, S. Decomposition of polyurethane foams by alkanolamines. J. Appl. Polym. Sci. 1994, 51, 675–682. [Google Scholar] [CrossRef]
- Chuayjuljit, S.; Norakankorn, C.; Pimpan, V. Chemical recycling of rigid polyurethane foam scrap via base catalyzed aminolysis. J. Met. Mater. Miner. 2002, 12, 19–22. [Google Scholar]
- Behrendt, G.; Naber, B.W. The chemical recycling of polyurethanes (Review). J. Univ. Chem. Technol. Metall. 2009, 44, 3–23. [Google Scholar]
- Li, C.; Liu, L.; Zhu, C. Characterization of renewable PUF and preparation of polyurethane foam composites with alkali lignin/renewable PUF. Open Mater. Sci. J. 2011, 5, 130–133. [Google Scholar] [CrossRef]
- Machado, R.M.; Farrell, B.E. Process for Modifying the Glycolysis Reaction Product of Polyurethane Scrap. U.S. Patent 5,300,530, 5 April 1994. [Google Scholar]
- Krulis, Z.; Horak, Z.; Hynek Benes, M.H. Method of Recycling Waste Polyurethane Foams. WO Patent 2009024102 A2, 26 February 2009. [Google Scholar]
- Wu, C.-H.; Chang, C.-Y.; Cheng, C.-M.; Huang, H.-C. Glycolysis of waste flexible polyurethane foam. Polym. Degrad. Stab. 2003, 80, 103–111. [Google Scholar] [CrossRef]
- Paciorek-Sadowska, J.; Czupryński, B.; Liszkowska, J. Glycolysis of rigid polyurethane–polyisocyanurate foams with reduced flammability. J. Elastomers Plast. 2016, 48, 340–353. [Google Scholar] [CrossRef]
- Simón, D.; Borreguero, A.M.; de Lucas, A.; Rodríguez, J.F. Glycolysis of viscoelastic flexible polyurethane foam wastes. Polym. Degrad. Stab. 2015, 116, 23–35. [Google Scholar] [CrossRef]
- Mohammad, M.; Nikje, A.; Garmarudi, A.B.; Idris, A.B. Polyurethane waste reduction and recycling: From bench to pilot scales. Des. Monomers Polym. 2011, 14, 395–421. [Google Scholar]
- Diessel, C.; Kliwer, C.; Burak, G.; Blumel, E.; Kittel, C. Recycling of Thermosetting Polyurethane Soft Foam. U.S. Patent 5185380 A, 9 February 1993. [Google Scholar]
- Alavi, M.M. Recycling of Polyurethane Foams; Smithers Rapra: Shawbury, UK, 2016; p. 222. ISBN 9780323511346. [Google Scholar]
- Wolfgang, H. Light wt. Slabs Filled with Ground Rigid Polyurethane Foam—Using a Matrix Resin to Obtain a Smooth Uniform Structure. DE 2719714 A1, 3 May 1977. [Google Scholar]
- Heneczkowski, M.; Galina, H. Material recycling of RIM flexible polyurethane foams wastes. Polym. J. 2002, 47, 523–527. [Google Scholar]
- Kausar, A. Polyurethane composite foams in high-performance applications: A review. Polym. Plast. Technol. Eng. 2018, 57, 346–369. [Google Scholar] [CrossRef]
- Ibrahim Marhoon, I.; Kais Rasheed, A. Mechanical and physical properties of glass wool-rigid polyurethane foam composites. Coll. Eng. J. 2015, 18, 41–49. [Google Scholar]
- Yakushin, V.; Bel’kova, L.; Sevastyanova, I. Properties of rigid polyurethane foams filled with glass microspheres. Mech. Compos. Mater. 2012, 48, 579–586. [Google Scholar] [CrossRef]
- Şerban, D.-A.; Weissenborn, O.; Geller, S.; Marşavina, L.; Gude, M. Evaluation of the mechanical and morphological properties of long fibre reinforced polyurethane rigid foams. Polym. Test. 2016, 49, 121–127. [Google Scholar] [CrossRef]
- You, K.M.; Park, S.S.; Lee, C.S.; Kim, J.M.; Park, G.P.; Kim, W.N. Preparation and characterization of conductive carbon nanotube-polyurethane foam composites. J. Mater. Sci. 2011, 46, 6850–6855. [Google Scholar] [CrossRef]
- He, T.; Liao, X.; He, Y.; Li, G. Novel electric conductive polylactide/carbon nanotubes foams prepared by supercritical CO2. Prog. Natl. Sci. Mater. Int. 2013, 23, 395–401. [Google Scholar] [CrossRef]
- Espadas-Escalante, J.; Avilés, F.; Gonzalez-Chi, P.; Oliva, A. Thermal conductivity and flammability of multiwall carbon nanotube/polyurethane foam composites. J. Cell. Plast. 2017, 53, 215–230. [Google Scholar] [CrossRef]
- Yan, D.-X.; Dai, K.; Xiang, Z.-D.; Li, Z.-M.; Ji, X.; Zhang, W.-Q. Electrical conductivity and major mechanical and thermal properties of carbon nanotube-filled polyurethane foams. J. Appl. Polym. Sci. 2011, 120, 3014–3019. [Google Scholar] [CrossRef]
- Kim, J.M.; Lee, Y.; Jang, M.G.; Han, C.; Kim, W.N. Electrical conductivity and EMI shielding effectiveness of polyurethane foam-conductive filler composites. J. Appl. Polym. Sci. 2017, 134, 1–9. [Google Scholar] [CrossRef]
- Hodlur, R.M.; Rabinal, M.K. Graphene based polyurethane material: As highly pressure sensitive composite. In Proceedings of the Physics Education Research Conference, Philadelphia, PA, USA, 1–2 August 2012; pp. 1279–1280. [Google Scholar]
- Strankowski, M.; Włodarczyk, D.; Piszczyk, Ł.; Strankowska, J. Thermal and mechanical properties of microporous polyurethanes modified with reduced graphene oxide. Int. J. Polym. Sci. 2016, 2016, 1–8. [Google Scholar] [CrossRef]
- Liu, Z.; Shen, D.; Yu, J.; Dai, W.; Li, C.; Du, S.; Jiang, N.; Li, H.; Lin, C.-T.; Park, G.; et al. Exceptionally high thermal and electrical conductivity of three-dimensional graphene-foam-based polymer composites. RSC Adv. 2016, 6, 22364–22369. [Google Scholar] [CrossRef]
- Dolomanova, V.; Rauhe, J.C.M.; Jensen, L.R.; Pyrz, R.; Timmons, A.B. Mechanical properties and morphology of nano-reinforced rigid PU foam. J. Cell. Plast. 2011, 47, 81–93. [Google Scholar] [CrossRef]
- Zhang, S.; Li, Y.; Peng, L.; Li, Q.; Chen, S.; Hou, K. Synthesis and characterization of novel waterborne polyurethane nanocomposites with magnetic and electrical properties. Compos. Part A Appl. Sci. Manuf. 2013, 55, 94–101. [Google Scholar] [CrossRef]
- Chen, Y.; Li, Z.; Tan, J.; Zhang, Q.; Han, Y. Characteristics and Properties of TiO2/EP-PU Composite. J. Nanomater. 2015, 2015, 6. [Google Scholar]
- Mussatti, E.; Merlini, C.; Barra, G.M.; Güths, S.; de Oliveira, A.P.N.; Siligardi, C. Evaluation of the properties of iron oxide-filled castor oil polyurethane. Mater. Res. 2013, 16, 65–70. [Google Scholar] [CrossRef]
- Harikrishnan, G.; Singh, S.N.; Kiesel, E.; Macosko, C.W. Nanodispersions of carbon nanofiber for polyurethane foaming. Polymer 2010, 51, 3349–3353. [Google Scholar] [CrossRef]
- Bernal, M.M.; Lopez-Manchado, M.A.; Verdejo, R. In situ Foaming Evolution of Flexible Polyurethane Foam Nanocomposites. Macromol. Chem. Phys. 2011, 212, 971–979. [Google Scholar] [CrossRef]
- Akkoyun, M.; Suvaci, E. Effects of TiO2, ZnO, and Fe3O4 nanofillers on rheological behavior, microstructure, and reaction kinetics of rigid polyurethane foams. J. Appl. Polym. Sci. 2016, 133. [Google Scholar] [CrossRef]
- Pattanayak, A.; Jana, S.C. Thermoplastic polyurethane nanocomposites of reactive silicate clays: Effects of soft segments on properties. Polymer 2005, 46, 5183–5193. [Google Scholar] [CrossRef]
- Pattanayak, A.; Jana, S.C. Synthesis of thermoplastic polyurethane nanocomposites of reactive nanoclay by bulk polymerization methods. Polymer 2005, 46, 3275–3288. [Google Scholar] [CrossRef]
- Saha, M.C.; Kabir, M.E.; Jeelani, S. Enhancement in thermal and mechanical properties of polyurethane foam infused with nanoparticles. Mater. Sci. Eng. A 2008, 479, 213–222. [Google Scholar] [CrossRef]
- Li, Y.; Zou, J.; Zhou, S.; Chen, Y.; Zou, H.; Liang, M.; Luo, W. Effect of expandable graphite particle size on the flame retardant, mechanical, and thermal properties of water-blown semi-rigid polyurethane foam. J. Appl. Polym. Sci. 2014, 131. [Google Scholar] [CrossRef]
- Athanasopoulos, N.; Baltopoulos, A.; Matzakou, M.; Vavouliotis, A.; Kostopoulos, V. Electrical conductivity of polyurethane/MWCNT nanocomposite foams. Polym. Compos. 2012, 33, 1302–1312. [Google Scholar] [CrossRef]
- Clemitson, I.R. Castable Polyurethane Elastomers; CRC Press: New York, NY, USA, 2008; p. 272. [Google Scholar]
- Thermal Conductivity of Common Materials and Gases. Available online: https://www.engineeringtoolbox.com/thermal-conductivity-d_429.html (accessed on 14 September 2018).
- Diamant, R.M.E. Thermal and Acoustic Insulation; Elsevier: Amsterdam, The Netherlands, 1986. [Google Scholar]
- Cunningham, A.; Hilyard, N.C. Physical Behaviour of Polymeric Foams—An Overview; Springer: Dordrecht, The Netherlands, 1994; pp. 1–21. [Google Scholar]
- Jang, W.-Y.; Kraynik, A.M.; Kyriakides, S. On the microstructure of open-cell foams and its effect on elastic properties. Int. J. Solids Struct. 2008, 45, 1845–1875. [Google Scholar] [CrossRef]
- Boetes, R. Heat Transfer Reduction in Closed Cell Polyurethane Foams. Ph.D. Thesis, Delft University, Delft, The Netherlands, 1984. [Google Scholar]
- Lide, D.R.; Frederikse, H.P.R. CRC Handbook of Chemistry and Physics: A Ready-Reference Book of Chemical and Physical Data; CRC Press: New York, NY, USA, 1993; ISBN 0849305950. [Google Scholar]
- Demharter, A. Polyurethane rigid foam, a proven thermal insulating material for applications between +130 °C and −196 °C. Cryogenics 1998, 38, 113–117. [Google Scholar] [CrossRef]
- Jelle, B.P. Traditional, state-of-the-art and future thermal building insulation materials and solutions—Properties, requirements and possibilities. Energy Build. 2011, 43, 2549–2563. [Google Scholar] [CrossRef]
- Carriço, C.; Fraga, T.; Carvalho, V.; Pasa, V. Polyurethane foams for thermal insulation uses produced from castor oil and crude glycerol biopolyols. Molecules 2017, 22, 1091. [Google Scholar] [CrossRef] [PubMed]
- Choi, S.W.; Jung, J.M.; Yoo, H.M.; Kim, S.H.; Lee, W.I. Analysis of thermal properties and heat transfer mechanisms for polyurethane foams blown with water. J. Therm. Anal. Calorim. 2018, 132, 1253–1262. [Google Scholar] [CrossRef]
- Kirpluks, M.; Kalnbunde, D.; Benes, H.; Cabulis, U. Natural oil based highly functional polyols as feedstock for rigid polyurethane foam thermal insulation. Ind. Crops Prod. 2018, 122, 627–636. [Google Scholar] [CrossRef]
- Alkan, C.; Günther, E.; Hiebler, S.; Ensari, Ö.F.; Kahraman, D. Polyurethanes as solid–solid phase change materials for thermal energy storage. Sol. Energy 2012, 86, 1761–1769. [Google Scholar] [CrossRef]
- Sarier, N.; Onder, E. Thermal characteristics of polyurethane foams incorporated with phase change materials. Thermochim. Acta 2007, 454, 90–98. [Google Scholar] [CrossRef]
- Sarier, N.; Onder, E. Thermal insulation capability of PEG-containing polyurethane foams. Thermochim. Acta 2008, 475, 15–21. [Google Scholar] [CrossRef]
- Rostamizadeh, M.; Khanlarkhani, M.; Mojtaba Sadrameli, S. Simulation of energy storage system with phase change material (PCM). Energy Build. 2012, 49, 419–422. [Google Scholar] [CrossRef]
- Yang, C.; Fischer, L.; Maranda, S.; Worlitschek, J. Rigid polyurethane foams incorporated with phase change materials: A state-of-the-art review and future research pathways. Energy Build. 2015, 87, 25–36. [Google Scholar] [CrossRef]
- You, M.; Zhang, X.X.; Li, W.; Wang, X.C. Effects of MicroPCMs on the fabrication of MicroPCMs/polyurethane composite foams. Thermochim. Acta 2008, 472, 20–24. [Google Scholar] [CrossRef]
- Tinti, A.; Tarzia, A.; Passaro, A.; Angiuli, R. Thermographic analysis of polyurethane foams integrated with phase change materials designed for dynamic thermal insulation in refrigerated transport. Appl. Therm. Eng. 2014, 70, 201–210. [Google Scholar] [CrossRef]
- Amaral, C.; Vicente, R.; Marques, P.A.A.P.; Barros-Timmons, A. Phase change materials and carbon nanostructures for thermal energy storage: A literature review. Renew. Sustain. Energy Rev. 2017, 79, 1212–1228. [Google Scholar] [CrossRef]
- Abujas, C.R.; Jové, A.; Prieto, C.; Gallas, M.; Cabeza, L.F. Performance comparison of a group of thermal conductivity enhancement methodology in phase change material for thermal storage application. Renew. Energy 2016, 97, 434–443. [Google Scholar] [CrossRef]
- Meng, Q.; Hu, J. A poly(ethylene glycol)-based smart phase change material. Sol. Energy Mater. Sol. Cells 2008, 92, 1260–1268. [Google Scholar] [CrossRef]
- Li, W.; Zhang, D.; Zhang, T.; Wang, T.; Ruan, D.; Xing, D.; Li, H. Study of solid–solid phase change of (n-CnH2n+1NH3)2MCl4 for thermal energy storage. Thermochim. Acta 1999, 326, 183–186. [Google Scholar] [CrossRef]
- You, M.; Zhang, X.; Wang, X.; Zhang, L.; Wen, W. Effects of type and contents of microencapsuled n-alkanes on properties of soft polyurethane foams. Thermochim. Acta 2010, 500, 69–75. [Google Scholar] [CrossRef]
- Sarier, N.; Onder, E. Organic phase change materials and their textile applications: An overview. Thermochim. Acta 2012, 540, 7–60. [Google Scholar] [CrossRef]
- Xi, P.; Xia, L.; Fei, P.; Zhang, D.; Cheng, B. Preparation and performance of a novel thermoplastics polyurethane solid–solid phase change materials for energy storage. Sol. Energy Mater. Sol. Cells 2012, 102, 36–43. [Google Scholar] [CrossRef]
- Sarı, A.; Alkan, C.; Karaipekli, A.; Uzun, O. Microencapsulated n-octacosane as phase change material for thermal energy storage. Sol. Energy 2009, 83, 1757–1763. [Google Scholar] [CrossRef]
- Ke, G.Z.; Xie, H.F.; Ruan, R.P.; Yu, W.D. Preparation and performance of porous phase change polyethylene glycol/polyurethane membrane. Energy Convers. Manag. 2010, 51, 2294–2298. [Google Scholar] [CrossRef]
- Cao, Q.; Liu, P. Hyperbranched polyurethane as novel solid–solid phase change material for thermal energy storage. Eur. Polym. J. 2006, 42, 2931–2939. [Google Scholar] [CrossRef]
- Xi, P.; Duan, Y.; Fei, P.; Xia, L.; Liu, R.; Cheng, B. Synthesis and thermal energy storage properties of the polyurethane solid–solid phase change materials with a novel tetrahydroxy compound. Eur. Polym. J. 2012, 48, 1295–1303. [Google Scholar] [CrossRef]
- Farid, M.M.; Khudhair, A.M.; Razack, S.A.K.; Al-Hallaj, S. A review on phase change energy storage: Materials and applications. Energy Convers. Manag. 2004, 45, 1597–1615. [Google Scholar] [CrossRef]
- El Hasnaoui, M.; Triki, A.; Graça, M.P.F.; Achour, M.E.; Costa, L.C.; Arous, M. Electrical conductivity studies on carbon black loaded ethylene butylacrylate polymer composites. J. Non-Cryst. Solids 2012, 358, 2810–2815. [Google Scholar] [CrossRef]
- Lorenzetti, A.; Dittrich, B.; Schartel, B.; Roso, M.; Modesti, M. Expandable graphite in polyurethane foams: The effect of expansion volume and intercalants on flame retardancy. J. Appl. Polym. Sci. 2017, 134, 45173. [Google Scholar] [CrossRef]
- Chattopadhyay, D.K.; Webster, D.C. Thermal stability and flame retardancy of polyurethanes. Prog. Polym. Sci. 2009, 34, 1068–1133. [Google Scholar] [CrossRef]
- Zhou, Y.; Gong, J.; Jiang, L.; Chen, C. Orientation effect on upward flame propagation over rigid polyurethane foam. Int. J. Therm. Sci. 2018, 132, 86–95. [Google Scholar] [CrossRef]
- Chung, Y.; Kim, Y.; Kim, S. Flame retardant properties of polyurethane produced by the addition of phosphorous containing polyurethane oligomers (II). J. Ind. Eng. Chem. 2009, 15, 888–893. [Google Scholar] [CrossRef]
- Qian, L.; Feng, F.; Tang, S. Bi-phase flame-retardant effect of hexa-phenoxy-cyclotriphosphazene on rigid polyurethane foams containing expandable graphite. Polymer 2014, 55, 95–101. [Google Scholar] [CrossRef]
- Modesti, M.; Lorenzetti, A.; Simioni, F.; Checchin, M. Influence of different flame retardants on fire behaviour of modified PIR/PUR polymers. Polym. Degrad. Stab. 2001, 74, 475–479. [Google Scholar] [CrossRef]
- Rao, W.-H.; Xu, H.-X.; Xu, Y.-J.; Qi, M.; Liao, W.; Xu, S.; Wang, Y.-Z. Persistently flame-retardant flexible polyurethane foams by a novel phosphorus-containing polyol. Chem. Eng. J. 2018, 343, 198–206. [Google Scholar] [CrossRef]
- Xu, W.; Wang, G.; Zheng, X. Research on highly flame-retardant rigid PU foams by combination of nanostructured additives and phosphorus flame retardants. Polym. Degrad. Stab. 2015, 111, 142–150. [Google Scholar] [CrossRef]
- Lubczak, R.; Szczęch, D.; Broda, D.; Szymańska, A.; Wojnarowska-Nowak, R.; Kus-Liśkiewicz, M.; Lubczak, J. Preparation and characterization of boron-containing polyurethane foams with carbazole. Polym. Test. 2018, 70, 403–412. [Google Scholar] [CrossRef]
- Salmeia, K.A.; Gaan, S. An overview of some recent advances in DOPO-derivatives: Chemistry and flame retardant applications. Polym. Degrad. Stab. 2015, 113, 119–134. [Google Scholar] [CrossRef]
- Huang, J.; Tang, Q.; Liao, W.; Wang, G.; Wei, W.; Li, C. Green preparation of expandable graphite and its application in flame-resistance polymer elastomer. Ind. Eng. Chem. Res. 2017, 56, 5253–5261. [Google Scholar] [CrossRef]
- Modesti, M.; Lorenzetti, A. Halogen-free flame retardants for polymeric foams. Polym. Degrad. Stab. 2002, 78, 167–173. [Google Scholar] [CrossRef]
- Jarosinski, J.; Veyssiere, B. Combustion Phenomena: Selected Mechanisms of Flame Formation, Propagation, and Extinction; CRC Press: New York, NY, USA 2009. [Google Scholar]
- Modesti, M.; Lorenzetti, A. Improvement on fire behaviour of water blown PIR–PUR foams: Use of an halogen-free flame retardant. Eur. Polym. J. 2003, 39, 263–268. [Google Scholar] [CrossRef]
- Kleiner, M.; Tichy, J. Acoustics of Small Rooms; CRC Press: New York, NY, USA, 2014; ISBN 9780415779302. [Google Scholar]
- Jahani, D.; Ameli, A.; Jung, P.U.; Barzegari, M.R.; Park, C.B.; Naguib, H. Open-cell cavity-integrated injection-molded acoustic polypropylene foams. Mater. Des. 2014, 53, 20–28. [Google Scholar] [CrossRef]
- Zhang, C.; Li, J.; Hu, Z.; Zhu, F.; Huang, Y. Correlation between the acoustic and porous cell morphology of polyurethane foam: Effect of interconnected porosity. Mater. Des. 2012, 41, 319–325. [Google Scholar] [CrossRef]
- Del Rey, R.; Alba, J.; Arenas, J.P.; Sanchis, V.J. An empirical modelling of porous sound absorbing materials made of recycled foam. Appl. Acoust. 2012, 73, 604–609. [Google Scholar]
- Najib, N.N.; Ariff, Z.M.; Bakar, A.A.; Sipaut, C.S. Correlation between the acoustic and dynamic mechanical properties of natural rubber foam: Effect of foaming temperature. Mater. Des. 2011, 32, 505–511. [Google Scholar] [CrossRef]
- Ballou, G. Handbook for Sound Engineers, 4th ed.; Focal Press: Amsterdam, The Netherlands, 2008; ISBN 9780240809694. [Google Scholar]
- Benkreira, H.; Khan, A.; Horoshenkov, K.V. Sustainable acoustic and thermal insulation materials from elastomeric waste residues. Chem. Eng. Sci. 2011, 66, 4157–4171. [Google Scholar] [CrossRef]
- Li, Z.; Crocker, M.J. Effects of thickness and delamination on the damping in honeycomb–foam sandwich beams. J. Sound Vib. 2006, 294, 473–485. [Google Scholar] [CrossRef]
- Ayoub, M.; Abdullah, A.Z. Critical review on the current scenario and significance of crude glycerol resulting from biodiesel industry towards more sustainable renewable energy industry. Renew. Sustain. Energy Rev. 2012, 16, 2671–2686. [Google Scholar] [CrossRef]
- Bohnke, L.; Beaujean, J.; Albach, R.; Li, J.; Ling, S. Rigid Polyurethane Foams with High Acoustic Absorption. U.S. Patent 9777104 B2, 3 October 2017. [Google Scholar]
- Tiuc, A.E.; Vermeşan, H.; Gabor, T.; Vasile, O. Improved sound absorption properties of polyurethane foam mixed with textile waste. Energy Procedia 2016, 85, 559–565. [Google Scholar] [CrossRef]
- Celebi, S.; Kucuk, H. Acoustic properties of tea-leaf fiber mixed polyurethane composites. Cell. Polym. 2012, 31, 241–255. [Google Scholar] [CrossRef]
- Davim, J.P. The Design and Manufacture of Medical Devices; Woodhead Publishing Ltd.: Cambridge, UK, 2012; p. 386. ISBN 9781908818188. [Google Scholar]
- Netti, P.A. Biomedical Foams for Tissue Engineering Applications; Woodhead Publishing: Cambridge, UK, 2014; pp. 413–426. ISBN 9780857096968. [Google Scholar]
- Segen, J.C. Concise Dictionary of Modern Medicine; McGraw-Hill: New York, NY, USA, 2006; p. 765. ISBN 0838515355. [Google Scholar]
- Lee, S.-H.; Kim, S.-R.; Kim, J.S.; Bae, H.-R.; Lee, C.-H.; Kim, D.-D. In-vitro and in-vivo antibacterial activity evaluation of a polyurethane matrix. J. Pharm. Pharmacol. 2003, 55, 559–566. [Google Scholar] [CrossRef] [PubMed]
- Alves, P.; Coelho, J.F.J.; Haack, J.; Rota, A.; Bruinink, A.; Gil, M.H. Surface modification and characterization of thermoplastic polyurethane. Eur. Polym. J. 2009, 45, 1412–1419. [Google Scholar] [CrossRef]
- Singhal, P.; Small, W.; Cosgriff-Hernandez, E.; Maitland, D.J.; Wilson, T.S. Low density biodegradable shape memory polyurethane foams for embolic biomedical applications. Acta Biomater. 2014, 10, 67–76. [Google Scholar] [CrossRef] [PubMed]
- Sivak, W.N.; Zhang, J.; Petoud, S.; Beckman, E.J. Simultaneous drug release at different rates from biodegradable polyurethane foams. Acta Biomater. 2009, 5, 2398–2408. [Google Scholar] [CrossRef] [PubMed]
- Mittal, V. Polymer Nanocomposite Foams; CRC Press: London, UK; New York, NY, USA, 2014; ISBN 9781466558120. [Google Scholar]
- Ahmed, W.; Kooij, S.; Van Silfhout, A. Synthesis and optical properties of polyurethane foam modified with silver nanoparticles Controlling the morphology of multi- branched gold nanoparticles. Adv. Nat. Sci. Nanosci. Nanotechnol. 2012, 3, 015001. [Google Scholar]
- Margin, M.; Karady, G.G. Characterization of polyurethane foam dielectric strength. IEEE Trans. Dielectr. Electr. Insul. 2008, 15, 350–356. [Google Scholar] [CrossRef]
- Khatoon, H.; Ahmad, S. A review on conducting polymer reinforced polyurethane composites. J. Ind. Eng. Chem. 2017, 53, 1–22. [Google Scholar] [CrossRef]
- Xinzhao, X.; Guoming, L.; Dongyan, L.; Guoxin, S.; Rui, Y. Electrically conductive graphene-coated polyurethane foam and its epoxy composites. Compos. Commun. 2018, 7, 1–6. [Google Scholar] [CrossRef]
- Sawai, P.; Chattopadhaya, P.P.; Banerjee, S. Synthesized reduce Graphene Oxide (rGO) filled Polyetherimide based nanocomposites for EMI Shielding applications. Mater. Today Proc. 2018, 5, 9989–9999. [Google Scholar] [CrossRef]
- Santiago-Calvo, M.; Blasco, V.; Ruiz, C.; París, R.; Villafañe, F.; Rodríguez-Pérez, M.Á. Synthesis, characterization and physical properties of rigid polyurethane foams prepared with poly(propylene oxide) polyols containing graphene oxide. Eur. Polym. J. 2017, 97, 230–240. [Google Scholar] [CrossRef]













© 2018 by the authors. Licensee MDPI, Basel, Switzerland. This article is an open access article distributed under the terms and conditions of the Creative Commons Attribution (CC BY) license (http://creativecommons.org/licenses/by/4.0/).
Share and Cite
Gama, N.V.; Ferreira, A.; Barros-Timmons, A. Polyurethane Foams: Past, Present, and Future. Materials 2018, 11, 1841. https://doi.org/10.3390/ma11101841
Gama NV, Ferreira A, Barros-Timmons A. Polyurethane Foams: Past, Present, and Future. Materials. 2018; 11(10):1841. https://doi.org/10.3390/ma11101841
Chicago/Turabian StyleGama, Nuno V., Artur Ferreira, and Ana Barros-Timmons. 2018. "Polyurethane Foams: Past, Present, and Future" Materials 11, no. 10: 1841. https://doi.org/10.3390/ma11101841
APA StyleGama, N. V., Ferreira, A., & Barros-Timmons, A. (2018). Polyurethane Foams: Past, Present, and Future. Materials, 11(10), 1841. https://doi.org/10.3390/ma11101841
