Magnetization Reversal Modes in Short Nanotubes with Chiral Vortex Domain Walls
Abstract
1. Introduction
2. Methods
3. Results of Simulations
3.1. Zero External Fields
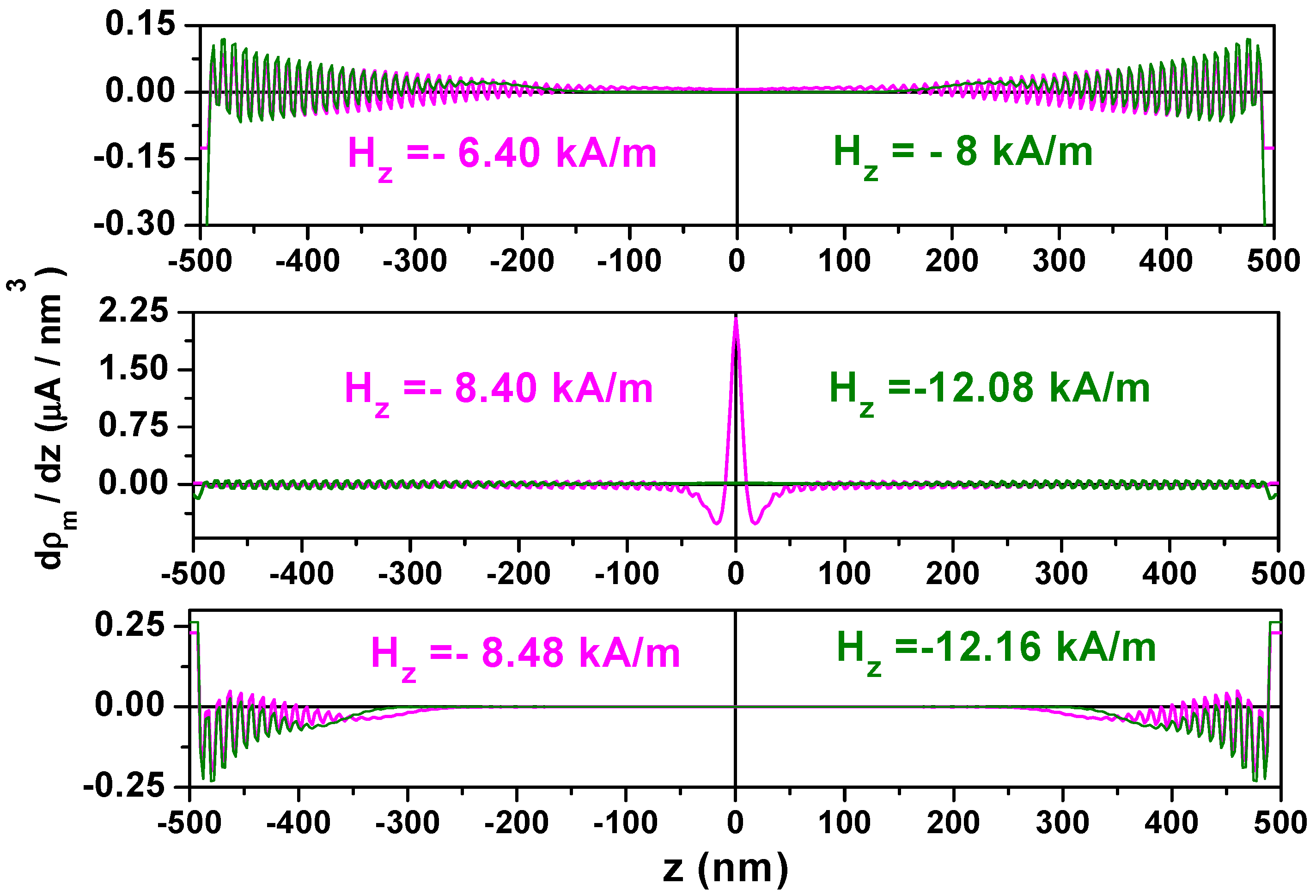
3.2. Magnetization Reversal Process
4. Summary
Acknowledgments
Author Contributions
Conflicts of Interest
References
- Klaüi, M.; Vaz, C.A.F. Magnetization Configurations and Reversal in Small Magnetic Elements. In Handbook of Magnetism and Advanced Magnetic Materials; Kronmueller, H., Parkin, S., Eds.; Wiley-Interscience: New York, NY, USA, 2007; Volume 2, pp. 1–36. [Google Scholar]
- Parkin, S.S.P.; Hayashi, M.; Thomas, L. Magnetic Domain-Wall Racetrack Memory. Science 2008, 320, 190–194. [Google Scholar] [CrossRef] [PubMed]
- Allwood, D.A.; Xiong, G.; Faulkner, C.C.; Atkinson, D.; Petit, D.; Cowburn, R.P. Magnetic domain-wall logic. Science 2005, 309, 1688–1693. [Google Scholar] [CrossRef] [PubMed]
- Klaüi, M. Topical Review “Domain wall based devices”. J. Phys. D Appl. Phys. 2014, 47, 333001. [Google Scholar]
- Thiaville, A.; Nakatani, Y. Domain-Wall Dynamics in Nanowires and Nanostrips. In Spin Dynamics in Confined Magnetic Structures III. Topics in Applied Physics; Hillebrands, B., Thiaville, A., Eds.; Springer: Berlin/Heidelberg, Germany, 2006; Volume 101, pp. 161–205. [Google Scholar]
- Guslienko, K.Y.; Lee, J.-Y.; Kim, S.-K. Dynamics of Domain Walls in Soft Magnetic Nanostripes: Topological Soliton Approach. IEEE Trans. Magn. 2008, 44, 3079–3082. [Google Scholar] [CrossRef]
- Ye, Y.; Geng, B. Magnetic Nanotubes: Synthesis, Properties, and Applications. Crit. Rev. Solid State Mater. Sci. 2012, 37, 75–93. [Google Scholar] [CrossRef]
- Proenca, M.P.; Sousa, C.T.; Ventura, J.; Araujo, J.P. Electrochemical synthesis and magnetism of magnetic nanotubes. In Magnetic Nano- and Microwires: Design, Synthesis, Properties and Applications; Vazquez, M., Ed.; Woodhead Publishing: Cambridge, UK; Elsevier: Cambridge, UK, 2015; pp. 727–781. [Google Scholar]
- Buchter, A.; Nagel, J.; Rüffer, D.; Xue, F.; Weber, D.P.; Kieler, O.F.; Weimann, T.; Kohlmann, J.; Zorin, A.B.; Russo-Averchi, E.; et al. Reversal mechanism of an individual Ni nanotube simultaneously studied by torque and SQUID magnetometry. Phys. Rev. Lett. 2013, 111, 067202. [Google Scholar] [CrossRef] [PubMed]
- Buchter, A.; Woelbing, R.; Wyss, M.; Kieler, O.F.; Weimann, T.; Kohlmann, J.; Zorin, A.B.; Rüffer, D.; Matteini, F.; Tütüncüoglu, G.; et al. Magnetization reversal of an individual exchange biased permalloy nanotube. Phys. Rev. B 2015, 92, 214432. [Google Scholar] [CrossRef]
- Wang, Z.K.; Lim, H.S.; Liu, H.Y.; Ng, S.C.; Kuok, M.H.; Tay, L.L.; Lockwood, D.J.; Cottam, M.G.; Hobbs, K.L.; Larson, P.R.; et al. Spin Waves in Nickel Nanorings of Large Aspect Ratio. Phys. Rev. Lett. 2005, 94, 137208. [Google Scholar] [CrossRef] [PubMed]
- Daub, M.; Knez, M.; Goesele, U.; Nielsch, K. Ferromagnetic nanotubes by atomic layer deposition in anodic alumina membranes. J. Appl. Phys. 2007, 101, 09J111. [Google Scholar] [CrossRef]
- Bachmann, J.; Jing, J.; Knez, M.; Barth, S.; Shen, H.; Mathur, S.; Gösele, U.; Nielsch, K. Ordered Iron Oxide Nanotube Arrays of Controlled Geometry and Tunable Magnetism by Atomic Layer Deposition. J. Am. Chem. Soc. 2007, 129, 9554–9555. [Google Scholar] [CrossRef] [PubMed]
- Landeros, P.; Allende, S.; Escrig, J.; Salcedo, E.; Altbir, D.; Vogel, E.E. Reversal modes in magnetic nanotubes. Appl. Phys. Lett. 2007, 90, 102501. [Google Scholar] [CrossRef]
- Lee, J.; Suess, D.; Schrefl, T.; Oh, K.H.; Fidler, J. Magnetic characteristics of ferromagnetic nanotube. J. Magn. Magn. Mater. 2007, 310, 2445–2447. [Google Scholar] [CrossRef]
- Usov, N.A.; Zhukov, A.; González, J. Domain walls and magnetization reversal process in soft magnetic nanowires and nanotubes. J. Magn. Magn. Mater. 2007, 316, 255–261. [Google Scholar] [CrossRef]
- Chen, A.P.; Usov, N.A.; Blanco, J.M.; Gonzalez, J. Equilibrium magnetization states in magnetic nanotubes and their evolution in external magnetic field. J. Magn. Magn. Mater. 2007, 316, e317–e319. [Google Scholar] [CrossRef]
- Usov, N.A.; Chen, A.P.; Zhukov, A.; González, J. Nucleation field of a soft magnetic nanotube with uniaxial anisotropy. J. Appl. Phys. 2008, 104, 083902. [Google Scholar] [CrossRef]
- Escrig, J.; Bachmann, J.; Jing, J.; Daub, M.; Altbir, D.; Nielsch, K. Crossover between two different magnetization reversal modes in arrays of iron oxide nanotubes. Phys. Rev. B 2008, 77, 214421. [Google Scholar] [CrossRef]
- Landeros, P.; Suarez, O.J.; Cuchillo, A.; Vargas, P. Equilibrium states and vortex domain wall nucleation in ferromagnetic nanotubes. Phys. Rev. B 2009, 79, 024404. [Google Scholar] [CrossRef]
- Han, X.F.; Shamaila, S.; Sharif, R.; Chen, J.Y.; Liu, H.R.; Liu, D.P. Structural and Magnetic Properties of Various Ferromagnetic Nanotubes. Adv. Mater. 2009, 21, 4619–4624. [Google Scholar] [CrossRef]
- Chen, A.P.; Guslienko, K.Y.; González, J. Magnetization configurations and reversal of thin magnetic nanotubes with uniaxial anisotropy. J. Appl. Phys. 2010, 108, 083920. [Google Scholar] [CrossRef]
- Chen, A.-P.; González, J.M.; Guslienko, K.Y. Magnetization configurations and reversal of magnetic nanotubes with opposite chiralities of the end domains. J. Appl. Phys. 2011, 109, 073923. [Google Scholar] [CrossRef]
- Yan, Y.; Andreas, C.; Kákay, A.; Garcia-Sanchez, F.; Hertel, R. Fast domain wall dynamics in magnetic nanotubes. Appl. Phys. Lett. 2011, 99, 122505. [Google Scholar] [CrossRef]
- Yan, Y.; Andreas, C.; Kákay, A.; Garcia-Sanchez, F.; Hertel, R. Chiral symmetry breaking and pair creation mediated Walker breakdown in magnetic nanotubes. Appl. Phys. Lett. 2012, 100, 252401. [Google Scholar] [CrossRef]
- Chen, A.P.; González, J.; Guslienko, K.Y. Domain walls confined in magnetic nanotubes with uniaxial anisotropy. J. Magn. Magn. Mater. 2012, 324, 3912–3917. [Google Scholar] [CrossRef]
- Rüffer, D.; Huber, R.; Berberich, P.; Albert, S.; Russo-Averchi, E.; Heiss, M.; Arbiol, J.; Fontcuberta i Morral, A.; Grundler, D. Magnetic states of an individual Ni nanotube probed by anisotropic magnetoresistance. Nanoscale 2012, 4, 4989–4995. [Google Scholar] [CrossRef] [PubMed]
- Proenca, M.P.; Sousa, C.T.; Escrig, J.; Ventura, J.; Vazquez, M.; Araujo, J.P. Magnetic interactions and reversal mechanisms in Co nanowire and nanotube arrays. J. Appl. Phys. 2013, 113, 093907. [Google Scholar] [CrossRef]
- Sharif, R.; Shamaila, S.; Shaheen, F.; Naseem, S.; Chen, J.Y.; Khaleeq-ur-Rahman, M.; Hussain, K.; Han, X.F. Nanotube wall thickness dependent magnetization reversal properties of NiFe nanotubes. J. Appl. Phys. 2013, 113, 024315. [Google Scholar] [CrossRef]
- Otálora, J.A.; López-López, J.A.; Landeros, P.; Vargas, P.; Núñez, A.S. Breaking of chiral symmetry in vortex domain wall propagation in ferromagnetic nanotubes. J. Magn. Magn. Mater. 2013, 341, 86–92. [Google Scholar] [CrossRef]
- Chen, A.P.; González, J.; Guslienko, K.Y. Axially symmetric domain walls confined in ferromagnetic nanotubes. Mater. Res. Express 2015, 2, 126103. [Google Scholar] [CrossRef]
- Baumgaertl, K.; Heimbach, F.; Maendl, S.; Rueffer, D.; Fontcuberta i Morral, A.; Grundler, D. Magnetization reversal in individual Py and CoFeB nanotubes locally probed via anisotropic magnetoresistance and anomalous Nernst effect. Appl. Phys. Lett. 2016, 108, 132408. [Google Scholar] [CrossRef]
- Goussev, A.; Robbins, J.M.; Slastikov, V.; Tretiakov, O.A. Dzyaloshinskii-Moriya domain walls in magnetic nanotubes. Phys. Rev. B 2016, 93, 054418. [Google Scholar] [CrossRef]
- Website Embarcadero. Available online: https://www.embarcadero.com/products/delphi (accessed on 20 May 2016).







© 2018 by the authors. Licensee MDPI, Basel, Switzerland. This article is an open access article distributed under the terms and conditions of the Creative Commons Attribution (CC BY) license (http://creativecommons.org/licenses/by/4.0/).
Share and Cite
Chen, A.P.; Gonzalez, J.; Guslienko, K. Magnetization Reversal Modes in Short Nanotubes with Chiral Vortex Domain Walls. Materials 2018, 11, 101. https://doi.org/10.3390/ma11010101
Chen AP, Gonzalez J, Guslienko K. Magnetization Reversal Modes in Short Nanotubes with Chiral Vortex Domain Walls. Materials. 2018; 11(1):101. https://doi.org/10.3390/ma11010101
Chicago/Turabian StyleChen, Ai Ping, Julian Gonzalez, and Konstantin Guslienko. 2018. "Magnetization Reversal Modes in Short Nanotubes with Chiral Vortex Domain Walls" Materials 11, no. 1: 101. https://doi.org/10.3390/ma11010101
APA StyleChen, A. P., Gonzalez, J., & Guslienko, K. (2018). Magnetization Reversal Modes in Short Nanotubes with Chiral Vortex Domain Walls. Materials, 11(1), 101. https://doi.org/10.3390/ma11010101
