Combination of Poly(lactic) Acid and Starch for Biodegradable Food Packaging
Abstract
1. Introduction
2. The Main Characteristics of PLA Materials
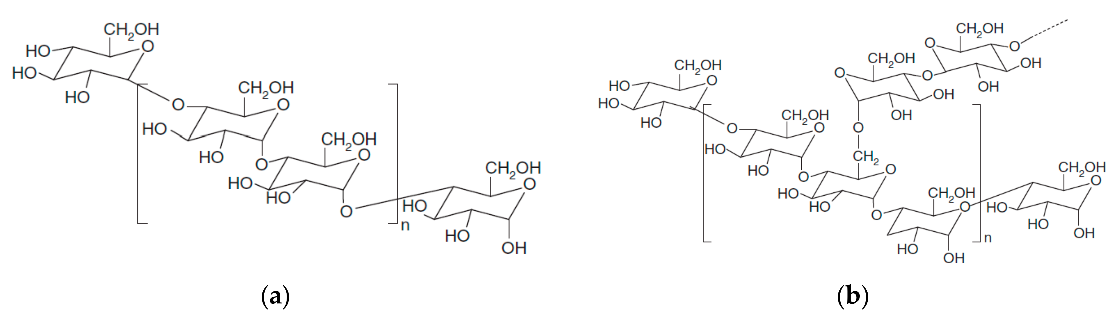
3. The Main Characteristics of Starch Materials
4. PLA-Starch Materials
4.1. Blend Films
4.2. Multilayer Films
5. Conclusions
Acknowledgments
Conflicts of Interest
References
- Plastic Europe—Association of Plastics Manufacturers, Plastic—The Facts 2016. An Analysis of European Plastics Production, Demand and Waste Data. Available online: http://www.plasticseurope.org/Document/plastics---the-facts-2016-15787.aspx?FolID=2 (accessed on 1 May 2017).
- Food Packaging Forum—Food Packaging Health, Food Packaging Materials. Available online: http://www.foodpackagingforum.org/food-packaging-health/food-packaging-materials (accessed on 1 May 2017).
- Geueke, B. Dossier—Bioplastics as Food Contact Materials. Food Packaging Forum, 2014. Available online: http://www.foodpackagingforum.org/fpf-2016/wp-content/uploads/2015/11/FPF_Dossier06_Bioplastics.pdf (accessed on 1 May 2017).
- Armentano, I.; Bitinis, N.; Fortunati, E.; Mattioli, S.; Rescignano, N.; Verdejo, R.; Kenny, J.M. Multifunctional nanostructured PLA materials for packaging and tissue engineering. Prog. Polym. Sci. 2013, 38, 1720–1747. [Google Scholar] [CrossRef]
- Xiao, L.; Wang, B.; Yang, G.; Gauthier, M. Poly(lactic acid)-Based Biomaterials: Synthesis, Modification and Applications; INTECH Open Access Publisher: Rijeka, Croatia, 2012; pp. 247–282. [Google Scholar]
- Auras, R.; Harte, B.; Selke, S. An overview of polylactides as packaging materials. Macromol. Biosci. 2004, 4, 835–864. [Google Scholar] [CrossRef] [PubMed]
- Mattioli, S.; Peltzer, M.; Fortunati, E.; Armentano, I.; Jiménez, A.; Kenny, J.M. Structure, gas-barrier properties and overall migration of Poly(lactic acid) films coated with hydrogenated amorphous carbon layers. Carbon 2013, 63, 274–282. [Google Scholar] [CrossRef]
- Rhim, J.W.; Hong, S.I.; Ha, C.S. Tensile, water vapor barrier and antimicrobial properties of PLA/nanoclay composite films. LWT Food Sci. Technol. 2009, 42, 612–617. [Google Scholar] [CrossRef]
- Fortunati, E.; Aluigi, A.; Armentano, I.; Morena, F.; Emiliani, C.; Martino, S.; Puglia, D. Keratins extracted from Merino wool and Brown Alpaca fibres: Thermal, mechanical and biological properties of PLLA based biocomposites. Mater. Sci. Eng. C 2015, 47, 394–406. [Google Scholar] [CrossRef] [PubMed]
- Gui, Z.; Xu, Y.; Gao, Y.; Lu, C.; Cheng, S. Novel polyethylene glycol-based polyester-toughened polylactide. Mater. Lett. 2012, 71, 63–65. [Google Scholar] [CrossRef]
- Rasal, R.M.; Janorkar, A.V.; Hirt, D.E. Poly(lactic acid) modifications. Prog. Polym. Sci. 2010, 35, 338–356. [Google Scholar] [CrossRef]
- Hiljanen-Vainio, M.; Varpomaa, P.; Seppälä, J.; Törmälä, P. Modification of Poly(L-lactides) by blending: Mechanical and hydrolytic behavior. Macromol. Chem. Phys. 1996, 197, 1503–1523. [Google Scholar] [CrossRef]
- Lim, L.T.; Auras, R.; Rubino, M. Processing technologies for Poly(lactic acid). Prog. Polym. Sci. 2008, 33, 820–852. [Google Scholar] [CrossRef]
- González, A.; Igarzabal, C.I.A. Soy protein–Poly(lactic acid) bilayer films as biodegradable material for active food packaging. Food Hydrocoll. 2013, 33, 289–296. [Google Scholar] [CrossRef]
- Jamshidian, M.; Tehrany, E.A.; Desobry, S. Antioxidants release from solvent-cast PLA film: Investigation of PLA antioxidant-active packaging. Food Bioprocess Technol. 2013, 6, 1450–1463. [Google Scholar] [CrossRef]
- Qin, Y.; Yang, J.; Xue, J. Characterization of antimicrobial Poly(lactic acid)/Poly(trimethylene carbonate) films with cinnamaldehyde. J. Mater. Sci. 2015, 50, 1150–1158. [Google Scholar] [CrossRef]
- Ahmed, J.; Hiremath, N.; Jacob, H. Antimicrobial, rheological, and thermal properties of plasticized polylactide films incorporated with essential oils to Inhibit Staphylococcus aureus and Campylobacter jejuni. J. Food Sci. 2016, 81, 419–429. [Google Scholar] [CrossRef] [PubMed]
- Hughes, J.; Thomas, R.; Byun, Y.; Whiteside, S. Improved flexibility of thermally stable poly-lactic acid (PLA). Carbohydr. Polym. 2012, 88, 165–172. [Google Scholar] [CrossRef]
- Erdohan, Z.Ö.; Çam, B.; Turhan, K.N. Characterization of antimicrobial polylactic acid based films. J. Food Eng. 2013, 119, 308–315. [Google Scholar] [CrossRef]
- Baiardo, M.; Frisoni, G.; Scandola, M.; Rimelen, M.; Lips, D.; Ruffieux, K.; Wintermantel, E. Thermal and mechanical properties of plasticized Poly(L-lactic acid). J. Appl. Polym. Sci. 2003, 90, 1731–1738. [Google Scholar] [CrossRef]
- Coltelli, M.B.; Maggiore, I.D.; Bertoldo, M.; Signori, F.; Bronco, S.; Ciardelli, F. Poly(lactic acid) properties as a consequence of Poly(butylene adipate-co-terephthalate) blending and acetyl tributyl citrate plasticization. J. Appl. Polym. Sci. 2008, 110, 1250–1262. [Google Scholar] [CrossRef]
- Grigale, Z.; Kalnins, M.; Dzene, A.; Tupureina, V. Biodegradable Plasticized Poly(lactic acid) Films. Mater. Sci. Appl. Chem. 2010, 21, 97–103. [Google Scholar]
- Ljungberg, N.; Wesslen, B. The effects of plasticizers on the dynamic mechanical and thermal properties of Poly(lactic acid). J. Appl. Polym. Sci. 2002, 86, 1227–1234. [Google Scholar] [CrossRef]
- Tee, Y.B.; Talib, R.A.; Abdan, K.; Chin, N.L.; Basha, R.K.; Yunos, K.F.M. Toughening Poly(lactic acid) and Aiding the Melt-compounding with Bio-sourced Plasticizers. Agric. Agric. Sci. Procedia 2014, 2, 289–295. [Google Scholar] [CrossRef]
- Chieng, B.W.; Ibrahim, N.A.; Yunus, W.M.Z.W.; Hussein, M.Z. Plasticized Poly(lactic acid) with low molecular weight Poly(ethylene glycol): Mechanical, thermal, and morphology properties. J. Appl. Polym. Sci. 2013, 130, 4576–4580. [Google Scholar] [CrossRef]
- Choi, K.M.; Choi, M.C.; Han, D.H.; Park, T.S.; Ha, C.S. Plasticization of Poly(lactic acid) (PLA) through chemical grafting of Poly(ethylene glycol) (PEG) via in situ reactive blending. Eur. Polym. J. 2013, 49, 2356–2364. [Google Scholar] [CrossRef]
- Pluta, M.; Paul, M.A.; Alexandre, M.; Dubois, P. Plasticized polylactide/clay nanocomposites. I. The role of filler content and its surface organo-modification on the physico-chemical properties. J. Polym. Sci. Part B Polym. Phys. 2006, 44, 299–311. [Google Scholar] [CrossRef]
- Martínez-Abad, A.; Lagarón, J.M.; Ocio, M.J. Antimicrobial beeswax coated polylactide films with silver control release capacity. Int. J. Food Microbiol. 2014, 174, 39–46. [Google Scholar] [CrossRef] [PubMed]
- Bonilla, J.; Fortunati, E.; Vargas, M.; Chiralt, A.; Kenny, J.M. Effects of chitosan on the physicochemical and antimicrobial properties of PLA films. J. Food Eng. 2013, 119, 236–243. [Google Scholar] [CrossRef]
- Muller, J.; Jiménez, A.; González-Martínez, C.; Chiralt, A. Influence of plasticizers on thermal properties and crystallization behaviour of Poly(lactic acid) films obtained by compression moulding. Polym. Int. 2016, 65, 970–978. [Google Scholar] [CrossRef]
- Rocca-Smith, J.R.; Karbowiak, T.; Marcuzzo, E.; Sensidoni, A.; Piasente, F.; Champion, D.; Debeaufort, F. Impact of corona treatment on PLA film properties. Polym. Degrad. Stab. 2016, 132, 109–116. [Google Scholar] [CrossRef]
- Arrieta, M.P.; Fortunati, E.; Dominici, F.; López, J.; Kenny, J.M. Bionanocomposite films based on plasticized PLA–PHB/cellulose nanocrystal blends. Carbohydr. Polym. 2015, 121, 265–275. [Google Scholar] [CrossRef] [PubMed]
- Pivsa-Art, W.; Pavasupree, S.; Narongchai, O.; Insuan, U.; Jailak, P.; Pivsa-Art, S. Preparation of Polymer Blends between Poly(L-lactic acid), Poly(butylene succinate-co-adipate) and Poly(butylene adipate-co-terephthalate) for Blow Film Industrial Application. Energy Procedia 2011, 9, 581–588. [Google Scholar] [CrossRef]
- Qin, Y.; Liu, D.; Wu, Y.; Yuan, M.; Li, L.; Yang, J. Effect of PLA/PCL/cinnamaldehyde antimicrobial packaging on physicochemical and microbial quality of button mushroom (Agaricus bisporus). Postharvest Biol. Technol. 2015, 99, 73–79. [Google Scholar] [CrossRef]
- Fortunati, E.; Puglia, D.; Iannoni, A.; Terenzi, A.; Kenny, J.M.; Torre, L. Processing Conditions, Thermal and Mechanical Responses of Stretchable Poly(Lactic Acid)/Poly(Butylene Succinate) Films. Materials 2017, 10, 809. [Google Scholar] [CrossRef] [PubMed]
- Acioli-Moura, R.; Sun, X.S. Thermal degradation and physical aging of Poly(lactic acid) and its blends with starch. Polym. Eng. Sci. 2008, 48, 829–836. [Google Scholar] [CrossRef]
- Ayana, B.; Suin, S.; Khatua, B.B. Highly exfoliated eco-friendly thermoplastic starch (TPS)/Poly(lactic acid) (PLA)/clay nanocomposites using unmodified nanoclay. Carbohydr. Polym. 2014, 110, 430–439. [Google Scholar]
- Bie, P.; Liu, P.; Yu, L.; Li, X.; Chen, L.; Xie, F. The properties of antimicrobial films derived from Poly(lactic acid)/starch/chitosan blended matrix. Carbohydr. Polym. 2013, 98, 959–966. [Google Scholar] [CrossRef] [PubMed]
- Huneault, M.A.; Li, H. Morphology and properties of compatibilized polylactide/thermoplastic starch blends. Polymer 2007, 48, 270–280. [Google Scholar] [CrossRef]
- Hwang, S.W.; Lee, S.B.; Lee, C.K.; Lee, J.Y.; Shim, J.K.; Selke, S.E.; Auras, R. Grafting of maleic anhydride on Poly(L-lactic acid). Effects on physical and mechanical properties. Polym. Test. 2012, 31, 333–344. [Google Scholar] [CrossRef]
- Jariyasakoolroj, P.; Chirachanchai, S. Silane modified starch for compatible reactive blend with Poly(lactic acid). Carbohydr. Polym. 2014, 106, 255–263. [Google Scholar] [CrossRef] [PubMed]
- Le Bolay, N.; Lamure, A.; Leis, N.G.; Subhani, A. How to combine a hydrophobic matrix and a hydrophilic filler without adding a compatibilizer—Co-grinding enhances use properties of Renewable PLA–starch composites. Chem. Eng. Process. Process Intensif. 2012, 56, 1–9. [Google Scholar] [CrossRef]
- Phetwarotai, W.; Potiyaraj, P.; Aht-Ong, D. Characteristics of Biodegradable Polylactide/Gelatinized Starch Films: Effects of Starch, Plasticizer, and Compatibilizer. J. Appl. Polym. Sci. 2012, 126, 162–172. [Google Scholar] [CrossRef]
- Sanyang, M.L.; Sapuan, S.M.; Jawaid, M.; Ishak, M.R.; Sahari, J. Development and characterization of sugar palm starch and Poly(lactic acid) bilayer films. Carbohydr. Polym. 2016, 146, 36–45. [Google Scholar] [CrossRef] [PubMed]
- Teixeira, E.D.M.; Curvelo, A.A.; Corrêa, A.C.; Marconcini, J.M.; Glenn, G.M.; Mattoso, L.H. Properties of thermoplastic starch from cassava bagasse and cassava starch and their blends with Poly(lactic acid). Ind. Crops Prod. 2012, 37, 61–68. [Google Scholar] [CrossRef]
- Wang, H.; Sun, X.; Seib, P. Mechanical properties of Poly(lactic acid) and wheat starch blends with methylenediphenyl diisocyanate. J. Appl. Polym. Sci. 2002, 84, 1257–1262. [Google Scholar] [CrossRef]
- Wang, N.; Yu, J.; Chang, P.R.; Ma, X. Influence of Citric Acid on the Properties of Glycerol-plasticized dry Starch (DTPS) and DTPS/Poly(lactic acid) Blends. Starch-Stärke 2007, 59, 409–417. [Google Scholar] [CrossRef]
- Wokadala, O.C.; Emmambux, N.M.; Ray, S.S. Inducing PLA/starch compatibility through butyl-etherification of waxy and high amylose starch. Carbohydr. Polym. 2014, 112, 216–224. [Google Scholar] [CrossRef] [PubMed]
- Xiong, Z.; Zhang, L.; Ma, S.; Yang, Y.; Zhang, C.; Tang, Z.; Zhu, J. Effect of castor oil enrichment layer produced by reaction on the properties of PLA/HDI-g-starch blends. Carbohydr. Polym. 2013, 94, 235–243. [Google Scholar] [CrossRef] [PubMed]
- Yokesahachart, C.; Yoksan, R. Effect of amphiphilic molecules on characteristics and tensile properties of thermoplastic starch and its blends with Poly(lactic acid). Carbohydr. Polym. 2011, 83, 22–31. [Google Scholar] [CrossRef]
- Wertz, J.L. L’amidon et le PLA: Deux Biopolymères sur le Marché, Note de Synthèse 18 Janvier 2011. Document ValBiom, Gembloux Agro-Bio Tech. Available online: http://www.valbiom.be/files/library/Docs/Biopolymeres/amidonpla20111297333283.pdf (accessed on 1 May 2017).
- Campos, C.A.; Gerschenson, L.N.; Flores, S.K. Development of edible films and coatings with antimicrobial activity. Food Bioprocess Technol. 2011, 4, 849–875. [Google Scholar] [CrossRef]
- Durrani, C.M.; Donald, A.M. Physical characterisation of amylopectin gels. Polym. Gels Netw. 1995, 3, 1–27. [Google Scholar] [CrossRef]
- Carvalho, A.J. Starch: Major Sources, Properties and Applications as Thermoplastic Materials; Elsevier: Amsterdam, The Netherlands, 2008; pp. 321–342. [Google Scholar]
- Ortega-Toro, R.; Jiménez, A.; Talens, P.; Chiralt, A. Effect of the incorporation of surfactants on the physical properties of corn starch films. Food Hydrocoll. 2014, 38, 66–75. [Google Scholar] [CrossRef]
- Acosta, S.; Jiménez, A.; Cháfer, M.; González-Martínez, C.; Chiralt, A. Physical properties and stability of starch-gelatin based films as affected by the addition of esters of fatty acids. Food Hydrocoll. 2015, 49, 135–143. [Google Scholar] [CrossRef]
- Souza, A.C.; Goto, G.E.O.; Mainardi, J.A.; Coelho, A.C.V.; Tadini, C.C. Cassava starch composite films incorporated with cinnamon essential oil: Antimicrobial activity, microstructure, mechanical and barrier properties. LWT Food Sci. Technol. 2013, 54, 346–352. [Google Scholar] [CrossRef]
- Nisperos-Carriedo, M.O. Edible coatings and films based on polysaccharides. In Edible Coatings and Films to Improve Food Quality; CRC Press: Boca Raton, FL, USA, 1994; Volume 1, pp. 322–323. [Google Scholar]
- Chakraborty, S.; Sahoo, B.; Teraoka, I.; Gross, R.A. Solution properties of starch nanoparticles in water and DMSO as studied by dynamic light scattering. Carbohydr. Polym. 2005, 60, 475–481. [Google Scholar] [CrossRef]
- Moreno, O.; Pastor, C.; Muller, J.; Atarés, L.; González, C.; Chiralt, A. Physical and bioactive properties of corn starch—Buttermilk edible films. J. Food Eng. 2014, 141, 27–36. [Google Scholar] [CrossRef]
- Shirai, M.A.; Grossmann, M.V.E.; Mali, S.; Yamashita, F.; García, P.S.; Müller, C.M.O. Development of biodegradable flexible films of starch and Poly(lactic acid) plasticized with adipate or citrate esters. Carbohydr. Polym. 2013, 92, 19–22. [Google Scholar] [CrossRef] [PubMed]
- Ortega-Toro, R.; Jiménez, A.; Talens, P.; Chiralt, A. Properties of starch–hydroxypropyl methylcellulose based films obtained by compression molding. Carbohydr. Polym. 2014, 109, 155–165. [Google Scholar] [CrossRef] [PubMed]
- Versino, F.; López, O.V.; García, M.A. Sustainable use of cassava (Manihot esculenta) roots as raw material for biocomposites development. Ind. Crops Prod. 2015, 65, 79–89. [Google Scholar] [CrossRef]
- López, O.; García, M.A.; Villar, M.A.; Gentili, A.; Rodriguez, M.S.; Albertengo, L. Thermo-compression of biodegradable thermoplastic corn starch films containing chitin and chitosan. LWT Food Sci. Technol. 2014, 57, 106–115. [Google Scholar] [CrossRef]
- Tai, N.L.; Adhikari, R.; Shanks, R.; Adhikari, B. Flexible starch-polyurethane films: Physiochemical characteristics and hydrophobicity. Carbohydr. Polym. 2017, 163, 236–246. [Google Scholar] [CrossRef] [PubMed]
- Jiménez, A.; Fabra, M.J.; Talens, P.; Chiralt, A. Edible and Biodegradable Starch Films: A Review. Food Bioprocess Technol. 2012, 5, 2058–2076. [Google Scholar] [CrossRef]
- Cano, A.; Cháfer, M.; Chiralt, A.; González-Martínez, C. Development and characterization of active films based on starch-PVA, containing silver nanoparticles. Food Packag. Shelf Life 2016, 10, 16–24. [Google Scholar] [CrossRef]
- Castillo, L.; López, O.; López, C.; Zaritzky, N.; García, M.A.; Barbosa, S.; Villar, M. Thermoplastic starch films reinforced with talc nanoparticles. Carbohydr. Polym. 2013, 95, 664–674. [Google Scholar] [CrossRef] [PubMed]
- García, L.; Cova, A.; Sandoval, A.J.; Müller, A.J.; Carrasquel, L.M. Glass transition temperatures of cassava starch–whey protein concentrate systems at low and intermediate water content. Carbohydr. Polym. 2012, 87, 1375–1382. [Google Scholar] [CrossRef]
- Ortega-Toro, R.; Morey, I.; Talens, P.; Chiralt, A. Active bilayer films of thermoplastic starch and polycaprolactone obtained by compression molding. Carbohydr. Polym. 2015, 127, 282–290. [Google Scholar] [CrossRef] [PubMed]
- Lafargue, D. Etude et Élaboration de Films à Base de Polysaccharides Pour la Fabrication de Gélules Pharmaceutiques. Ph.D. Thesis, Université de Nantes, Nantes, France, 2007. Available online: http://prodinra.inra.fr/ft?id={F9B4C551-2328-4C3B-8319-820262CA467D}} (accessed on 1 May 2017).
- Jarowenko, W. Handbook of Adhesives, Chapter 12—Starch Based Adhesives, 2nd ed.; Skeist, I., Ed.; Van Nostrand Reinhold Co.: New York, NY, USA, 1977; pp. 192–211. [Google Scholar]
- Daniel, J.; Whistler, R.L.; Voragen, A.C.J.; Pilnik, W. Ullmann’s Encyclopedia of Industrial Chemistry, Starch and Other Polysaccharides, 5th ed.; Elvers, B., Hawkins, S., Russey, W., Eds.; VCH Verlagsgesellschaft GmbH: Weinheim, Germany, 1994; Volume A25, pp. 1–62. [Google Scholar]
- Whistler, R.L.; Bemiller, J.N.; Paschall, E.F. Chemistry and Technology, Starch, 2nd ed.; Academic: New York, NY, USA, 1984. [Google Scholar]
- Thomas, D.J.; Atwell, W.A. Starches; Eagan Press Handbook Series: St. Paul, MN, USA, 1999. [Google Scholar]
- Kalichevsky, M.T.; Blanshard, J.M. The effect of fructose and water on the glass transition of amylopectin. Carbohydr. Polym. 1993, 20, 107–113. [Google Scholar] [CrossRef]
- Mathew, A.P.; Dufresne, A. Plasticized waxy maize starch: Effect of polyols and relative humidity on material properties. Biomacromolecules 2002, 3, 1101–1108. [Google Scholar] [CrossRef] [PubMed]
- Da Róz, A.L.; Carvalho, A.J.F.; Gandini, A.; Curvelo, A.A.S. The effect of plasticizers on thermoplastic starch compositions obtained by melt processing. Carbohydr. Polym. 2006, 63, 417–424. [Google Scholar] [CrossRef]
- Huang, M.; Yu, J.; Ma, X. Ethanolamine as a novel plasticiser for thermoplastic starch. Polym. Degrad. Stab. 2005, 90, 501–507. [Google Scholar] [CrossRef]
- Ma, X.; Yu, J. Formamide as the plasticizer for thermoplastic starch. J. Appl. Polym. Sci. 2004, 93, 1769–1773. [Google Scholar] [CrossRef]
- Perry, P.A.; Donald, A.M. The role of plasticization in starch granule assembly. Biomacromolecules 2000, 1, 424–432. [Google Scholar] [CrossRef] [PubMed]
- Bastos, D.C.; Santos, A.E.; da Silva, M.L.; Simão, R.A. Hydrophobic corn starch thermoplastic films produced by plasma treatment. Ultramicroscopy 2009, 109, 1089–1093. [Google Scholar] [CrossRef] [PubMed]
- Turalija, M.; Bischof, S.; Budimir, A.; Gaan, S. Antimicrobial PLA films from environment friendly additives. Composites B 2016, 102, 94–99. [Google Scholar] [CrossRef]
- Commission Communication on the Results of the Risk Evaluation and the Risk Reduction Strategies for the Substances: Piperazine; Cyclohexane; Methylenediphenyl Diisocyanate; But-2yne-1,4-diol; Methyloxirane; Aniline; 2-Ethylhexylacrylate; 1,4-Dichlorobenzene; 3,5-dinitro-2,6-dimethyl-4-tert- butylacetophenone; Di-(2-ethylhexyl)phthalate; Phenol; 5-tert-butyl-2,4,6-trinitro-m-xylene. Available online: http://eur-lex.europa.eu/legal-content/EN/TXT/?uri=CELEX:52008XC0207(02) (accessed on 15 August 2017).
- Abdillahi, H.; Chabrat, E.; Rouilly, A.; Rigal, L. Influence of citric acid on thermoplastic wheat flour/Poly(lactic acid) blends. II. Barrier properties and water vapor sorption isotherms. Ind. Crops Prod. 2013, 50, 104–111. [Google Scholar] [CrossRef]
- Bocz, K.; Szolnoki, B.; Marosi, A.; Tábi, T.; Wladyka-Przybylak, M.; Marosi, G. Flax fibre reinforced PLA/TPS biocomposites flame retarded with multifunctional additive system. Polym. Degrad. Stab. 2014, 106, 63–73. [Google Scholar] [CrossRef]
- Cai, J.; Liu, M.; Wang, L.; Yao, K.; Li, S.; Xiong, H. Isothermal crystallization kinetics of thermoplastic starch/Poly(lactic acid) composites. Carbohydr. Polym. 2011, 86, 941–947. [Google Scholar] [CrossRef]
- Orozco, V.H.; Brostow, W.; Chonkaew, W.; López, B.L. Preparation and characterization of Poly(lactic acid)-g-maleic anhydride+starch blends. Macromol. Symp. 2009, 277, 69–80. [Google Scholar] [CrossRef]
- Ren, J.; Fu, H.; Ren, T.; Yuan, W. Preparation, characterization and properties of binary and ternary blends with thermoplastic starch, Poly(lactic acid) and Poly(butylene adipate-co-terephthalate). Carbohydr. Polym. 2009, 77, 576–582. [Google Scholar] [CrossRef]
- Soares, F.C.; Yamashita, F.; Müller, C.M.; Pires, A.T. Thermoplastic starch/Poly(lactic acid) sheets coated with cross-linked chitosan. Polym. Test. 2013, 32, 94–98. [Google Scholar] [CrossRef]
- Wang, N.; Yu, J.; Chang, P.R.; Ma, X. Influence of formamide and water on the properties of thermoplastic starch/Poly(lactic acid) blends. Carbohydr. Polym. 2008, 71, 109–118. [Google Scholar] [CrossRef]
- Xiong, Z.; Yang, Y.; Feng, J.; Zhang, X.; Zhang, C.; Tang, Z.; Zhu, J. Preparation and characterization of Poly(lactic acid)/starch composites toughened with epoxidized soybean oil. Carbohydr. Polym. 2013, 92, 810–816. [Google Scholar] [CrossRef] [PubMed]
- Xiong, Z.; Li, C.; Ma, S.; Feng, J.; Yang, Y.; Zhang, R.; Zhu, J. The properties of Poly(lactic acid)/starch blends with a functionalized plant oil: Tung oil anhydride. Carbohydr. Polym. 2013, 95, 77–84. [Google Scholar] [CrossRef] [PubMed]
- Xiong, Z.; Ma, S.; Fan, L.; Tang, Z.; Zhang, R.; Na, H.; Zhu, J. Surface hydrophobic modification of starch with bio-based epoxy resins to fabricate high-performance polylactide composite materials. Compos. Sci. Technol. 2014, 94, 16–22. [Google Scholar] [CrossRef]
- Zuo, Y.; Gu, J.; Yang, L.; Qiao, Z.; Tan, H.; Zhang, Y. Preparation and characterization of dry method esterified starch/polylactic acid composite materials. Int. J. Biol. Macromol. 2014, 64, 174–180. [Google Scholar] [CrossRef] [PubMed]
- Muller, J.; González, C.; Chiralt, A. Poly(lactic) acid (PLA) and starch bilayer films, containing cinnamaldehyde, obtained by compression moulding. Eur. Polym. J. 2017, 95, 56–70. [Google Scholar] [CrossRef]
- Svagan, A.J.; Åkesson, A.; Cárdenas, M.; Bulut, S.; Knudsen, J.C.; Risbo, J.; Plackett, D. Transparent films based on PLA and montmorillonite with tunable oxygen barrier properties. Biomacromolecules 2012, 13, 397–405. [Google Scholar] [CrossRef] [PubMed]
- Wang, X.; Du, Y.; Luo, J. Biopolymer/montmorillonite nanocomposite: Preparation, drug-controlled release property and cytotoxicity. Nanotechnology 2008, 19, 065707. [Google Scholar] [CrossRef] [PubMed]
- Requena, R.; Jiménez, A.; Vargas, M.; Chiralt, A. Poly(3-hydroxybutyrate)-co-(3-hydroxyvalerate) active bilayer films obtained by compression moulding and applying essential oils at the interface. Polym. Int. 2016, 65, 883–891. [Google Scholar] [CrossRef]
- Rhim, J.W.; Lee, J.H.; Ng, P.K. Mechanical and barrier properties of biodegradable soy protein isolate-based films coated with polylactic acid. LWT Food Sci. Technol. 2007, 40, 232–238. [Google Scholar] [CrossRef]
- Martucci, J.F.; Ruseckaite, R.A. Three-layer sheets based on gelatin and Poly(lactic acid), part 1: Preparation and properties. J. Appl. Polym. Sci. 2010, 118, 3102–3110. [Google Scholar] [CrossRef]
- Bonifacio, M.A.; Cometa, S.; Dicarlo, M.; Baruzzi, F.; de Candia, S.; Gloria, A.; De Giglio, E. Gallium-modified chitosan/Poly(acrylic acid) bilayer coatings for improved titanium implant performances. Carbohydr. Polym. 2017, 166, 348–357. [Google Scholar] [CrossRef] [PubMed]
- Debeaufort, F.; Quezada-Gallo, J.A.; Delporte, B.; Voilley, A. Lipid hydrophobicity and physical state effects on the properties of bilayer edible films. J. Membr. Sci. 2000, 180, 47–55. [Google Scholar] [CrossRef]
- Ferreira, A.R.; Torres, C.A.; Freitas, F.; Sevrin, C.; Grandfils, C.; Reis, M.A.; Coelhoso, I.M. Development and characterization of bilayer films of FucoPol and chitosan. Carbohydr. Polym. 2016, 147, 8–15. [Google Scholar] [CrossRef] [PubMed]
- Irissin-Mangata, J.; Boutevin, B.; Bauduin, G. Bilayer films composed of wheat gluten and functionalized polyethylene: Permeability and other physical properties. Polym. Bull. 1999, 43, 441–448. [Google Scholar] [CrossRef]
- Rešček, A.; Kratofil Krehula, L.; Katančić, Z.; Hrnjak-Murgić, Z. Active bilayer PE/PCL films for food packaging modified with zinc oxide and casein. Croat. Chem. Acta 2015, 88, 461–473. [Google Scholar] [CrossRef]






| PLA | Processing | TS (MPa) | E (%) | Ref. |
|---|---|---|---|---|
| 120 kDa | Extrusion Compression moulding | 55.1 | 3.8 | [36] |
| 1.1–1.7% D-content | Melt blending Compression moulding | 16.4 | 2.1 | [37] |
| 99 kDa | Extrusion | 34.1 | 2.5 | [38] |
| 2002D® 4% D-content 235 kDa | Extrusion Injection moulding | 60.0 | 2.0 | [39] |
| 4042D® 6% D-content 130 kDa | Melt blending Compression moulding | 56.3 | 3.6 | [40] |
| 2002D® 4% D-content 235 kDa | Extrusion Blown moulding | 34.6 | 2.1 | [41] |
| 12% D-content 68 kDa | Compression moulding | 14.0 | 8.0 | [42] |
| 4042D® 6% D-content 130 kDa | Melt blending Compression moulding | 70.2 | 7.4 | [43] |
| 2000D® | Casting (Chloroform) | 24.8 | 7.9 | [44] |
| 125 kDa | Extrusion Compression moulding | 55.4 | 2.6 | [45] |
| 120 kDa | Compression moulding | 62.7 | 6.1 | [46] |
| 12% D-content 160–220 kDa | Extrusion Compression moulding | 36.0 | 2.1 | [47] |
| 2002D® 4% D-content 235 kDa | Melt-blending Compression moulding | 55.0 | 4.5 | [48] |
| 4032D® | Extrusion Injection moulding | 65.0 | 5.0 | [49] |
| 4042D® 6% D-content 130 kDa | Extrusion Injection moulding | 38.0 | 1.0 | [50] |
| Starch | Amylose (%) | Amylopectin (%) |
|---|---|---|
| Wheat | 30 | 70 |
| Corn | 28 | 72 |
| Potatoe | 20 | 80 |
| Rice | 20–30 | 80–70 |
| Cassava | 16 | 84 |
| Starch | Glycerol Content (% w/w) | Process | TS (MPa) | E (%) | Ref. |
|---|---|---|---|---|---|
| Potato | from 20 to 40 | Melt blending Compression moulding | 1.8 | 3.6 | [37] |
| Cassava | from 23 to 54 | Melt blending Compression moulding | 2.0 | 47.0 | [43] |
| Corn | 1.5 | 39.0 | |||
| Sugar Palm | 30 | Casting (Water) | 7.7 | 46.7 | [44] |
| Cassava | 30 | Extrusion Compression moulding | 0.4 | 33.1 | [45] |
| Corn | 40 | Extrusion Compression moulding | 38.0 | 1.2 | [46] |
| Cassava | 33 | Extrusion Injection moulding | 25.0 | 1.0 | [50] |
| Cassava | 25 | Casting (Water) | 4.1 | 4.5 | [56] |
| Cassava | from 15 to 30 | Casting (Water) | 3.8 | 129.0 | [57] |
| Corn | 30 | Compression moulding | 10.7 | 2.4 | [64] |
| Corn | 30 | Casting (Water) | 31.0 | 2.8 | [60] |
| Corn | 25 | Casting (Water) | 24.3 | 2.5 | [55] |
| Corn | 30 | Compression moulding | 10.0 | 28.0 | [62] |
| Corn | 25 | Casting (Water) | 17.9 | 17.1 | [65] |
| Cassava | 30 | Compression moulding | 1.7 | 11.0 | [63] |
| PLA | Starch | Glycerol (% w/w S) | PLA-S Ratio | Compatibilizer | Compatibilizer Content | Processing | Ref. |
|---|---|---|---|---|---|---|---|
| Natureworks® | Wheat flour (65% starch) | 20 | 25–75 | Citric acid (CA) | from 0 to 20 wt % | Extrusion Injection moulding | [85] |
| 120 kDa | Wheat | - | 55–45 | Methylene diphenyl diisocyanate (MDI) | 0.05 wt % | Extrusion Compression moulding | [36] |
| 1.1–1.7% D-content | Potato | from 20 to 40 | 40–60 | Sodium montmorillonite (NaMMT) | 0.5–1.0 phr (/dry S) | Melt blending Compression moulding | [37] |
| 99 kDa | Maize | 42 | 70–30 60–40 50–50 | - | - | Extrusion | [38] |
| 3052D® | Corn | 33 | 80–20 | Stearic acid (SA) | 0.1 wt % | Melt blending Compression moulding | [86] |
| 14 kDa | Corn | 30 | 83–17 71–29 62–38 56–44 | - | - | Melt blending Compression moulding | [87] |
| 2002D® 4% D-content 235 kDa | Wheat/Pea/Rice | from 30 to 39 | 83–27 57–43 40–60 | a) Maleic anhydride (MA) b) 2,5-dimethyl-2,5-di-(tert-butylperoxy)-hexane | a) 2 wt % b) 0.1–0.25–0.5 wt % | Extrusion Injection moulding | [39] |
| 4042D® 6% D-content 130 kDa | Corn | - | 90–10 80–20 70–30 | a) Dicumyl peroxide (DCP) b) MA | a) 0.1 phr b) 2 phr | Melt blending Compression moulding | [40] |
| 2002D® 4% D-content 235 kDa | Cassava | - | 90–10 70–30 50–50 | Trimethoxy silane coupling agents: - 3-glycidoxypropyl trimethoxy silane (GP) - 3-aminopropyl trimethoxy silane (AP) - 3-chloropropyl trimethoxy silane (CP) | from 1 to 100% (w/w S) | Extrusion Blown moulding | [41] |
| 12% D-content 68 kDa | Waxy maize (99% amylopectin) | - | 80–20 | - | - | Co-grinding Compression moulding | [42] |
| n.r. | Potato | 85–15 75–25 65–35 50–50 40–60 | MA | n.r. | Melt blending Compression moulding | [88] | |
| 4042D® 6% D-content 130 kDa | Cassava/Corn | from 23 to 54 | 90–10 80–20 70–30 60–40 | MDI PLA plasticizers: a) Propylene glycol (PG) b) Polyethylene glycol (PEG) 400 g·mol−1 | MDI: 1.25% (w/w S) a) b) from 5 to 20 wt % | Melt blending Compression moulding | [43] |
| 4% D-content 180 kDa | Corn | 25 | 50–50 | Anhydride functionalized polyester | 1 wt % | Extrusion Injection moulding | [89] |
| 3251D® | Cassava | 33 | 6.3–93.7 6.0–94.0 | Adipate or citrate esters | 0.7–1 wt % | Blown extrusion | [61] |
| 3251D® | Cassava | 25–30 | 30–70 | - | - | Extrusion Compression moulding | [90] |
| 125 kDa | Cassava | 30 | 80–20 | CA SA | 2% (w/w S) | Extrusion Compression moulding | [45] |
| 120 kDa | Wheat | - | 80–20 70–30 55–45 50–50 40–60 | MDI | 0.5 wt % | Compression moulding | [46] |
| 12% D-content 160–220 kDa | Corn | 40 | 50–50 | CA | from 1 to 4% (w/w S) | Extrusion Compression moulding | [47] |
| 12% D-content 160–220 kDa | Corn | from 10 to 40 | 50–50 | Formamide | from 10 to 30% (w/w S) | Extrusion Compression moulding | [91] |
| 2002D® 4% D-content 235 kDa | Waxy maize (100% amylopectin)/High amylose maize (70% amylose) | - | 40–60 30–70 20–80 10–90 | - | - | Butyl-etherification of waxy and high amylose starch Melt-blending Compression moulding | [48] |
| 4032D® | Corn | - | 70–30 65–35 | a) Hexamethylenediisocyanate (HDI) b) Castor oil | a) 5–8–11% (w/w S) b) 5 wt % | Extrusion Injection moulding | [49] |
| 4032D® | Corn | - | 90–10 80–20 70–30 | a) MA b) Epoxidized soybean oil (ESO) | a) 4,3–9–13,3% (w/w S) b) 10 wt % | Extrusion Injection moulding | [92] |
| 4032D® | Corn | - | 70–30 | Tung oil anhydride (TOA) | 5–7–10–12 wt % | Extrusion Injection moulding | [93] |
| 4032D® | Corn | - | 70–30 | a) Epoxidized itaconic acid (EIA) b) Bio-based ether epoxidized cardanol | 20% (w/w S) | Extrusion Injection moulding | [94] |
| 4042D® 6% D-content 130 kDa | Cassava | 33 | 70–30 50–50 30–70 | Tween 60 Linoleic acid (LA) Zein | 1.55% (w/w S) | Extrusion Injection moulding | [50] |
| Granular | Corn | 50 | 60–40 | MA | 1% (w/w S) | Extrusion moulding | [95] |
| PLA-S Ratio | Compatibilizer | Compatibilizer Content | Other Varying Factor (%) | TS (MPa) | E (%) | Ref. | ||
|---|---|---|---|---|---|---|---|---|
| Without | With | Without | With | |||||
| 0–70 | - | - | - | 6.7 | - | 52.0 | - | [96] |
| 50–50 | - | - | - | 13.7 | - | 15.5 | - | [44] |
| 40–60 | 12.1 | 21.0 | ||||||
| 30–70 | 11.6 | 23.0 | ||||||
| 20–80 | 10.7 | 26.4 | ||||||
| 55–45 | MDI | 0.05 wt % | - | 31.5 | 54.3 | 2.7 | 4.2 | [36] |
| 40–60 | NaMMT | 0.5 phr | - | 5.6 | 7.3 | 4.3 | 6.7 | [37] |
| 70–30 | - | - | - | 14.5 | - | 4.5 | - | [38] |
| 60–40 | 13.3 | 7.3 | ||||||
| 90–10 | a) CP b) MA | a) 0.1 phr b) 2 phr | - | 48.6 | 53.4 | 3.2 | 3.4 | [40] |
| 80–20 | 48.0 | 51.7 | 2.9 | 3.3 | ||||
| 70–30 | 35.9 | 41.9 | 2.1 | 2.6 | ||||
| 90–10 | GP | - | - | 23.9 | 19.6 | 2.0 | 1.4 | [41] |
| AP | 21.6 | 1.3 | ||||||
| CP | 39.4 | 2.5 | ||||||
| 80–20 | - | - | - | 19.0 | - | 12.0 | - | [42] |
| 90–10 | MDI | 1.25% w/w S | Cassava starch (25% Glycerol) | - | 17.0 | - | 1.5 | [43] |
| 80–20 | 14.0 | 1.9 | ||||||
| 70–30 | 13.0 | 1.8 | ||||||
| 60–40 | 12.5 | 2.5 | ||||||
| 90–10 | Corn starch (25% Glycerol) | 18.5 | 2.4 | |||||
| 80–20 | 16.0 | 2.3 | ||||||
| 70–30 | 14.5 | 1.5 | ||||||
| 60–40 | 15.0 | 3.2 | ||||||
| 50–50 | Anhydride functionalized polyester | 1 wt % | - | 18.0 | 28.0 | 1.5 | 2.0 | [89] |
| 93.7–6.3 | Diethyl adipate | 0.7 wt % | - | - | 0.9 | - | 126.0 | [61] |
| 94–6 | 1 wt % | 0.8 | 146.0 | |||||
| 93.7–6.3 | Diisodecyl adipate | 0.7 wt % | 0.6 | 148.0 | ||||
| 94–6 | 1 wt % | 0.7 | 120.0 | |||||
| 93.7–6.3 | Acethyl triethyl citrate | 0.7 wt % | 1.2 | 109.0 | ||||
| 94–6 | 1 wt % | 1.1 | 98.0 | |||||
| 93.7–6.3 | Acethyl tributyl citrate | 0.7 wt % | 1.3 | 92.0 | ||||
| 94–6 | 1 wt % | 1.1 | 86.0 | |||||
| 93.7–6.3 | Tributyl citrate | 0.7 wt % | 0.9 | 72.0 | ||||
| 94–6 | 1 wt % | 1.1 | 103.0 | |||||
| 30–70 | - | - | 25% Glycerol | 1.7 | - | 19.2 | - | [90] |
| 30% Glycerol | 1.0 | 17.2 | ||||||
| 80–20 | CA | 2% w/w S | - | - | 16.5 | - | 14.5 | [45] |
| SA | ||||||||
| 80–20 | MDI | 0.5 wt % | - | - | 58.3 | - | 5.6 | [46] |
| 70–30 | 62.5 | 6.1 | ||||||
| 55–45 | 68.1 | 5.1 | ||||||
| 50–50 | 63.7 | 5.2 | ||||||
| 40–60 | 60.6 | 4.9 | ||||||
| 50–50 | CA | 2% w/w S | - | 21.0 | 41.0 | 2.1 | 4.6 | [47] |
| 4% w/w S | 35.0 | 5.7 | ||||||
| Formamide | 30% w/w S | 20.0 | 21.0 | 3.2 | 6.6 | [91] | ||
| 10–90 | - | - | Waxy Starch | 26.0 | - | 2.0 | - | [48] |
| 20–80 | 24.0 | 1.8 | ||||||
| 30–70 | 20.0 | 1.4 | ||||||
| 40–60 | 20.0 | 1.1 | ||||||
| 10–90 | Butyl-etherified Waxy Starch | 54.0 | 4.0 | |||||
| 20–80 | 45.0 | 4.2 | ||||||
| 30–70 | 38.0 | 5.5 | ||||||
| 40–60 | 24.0 | 5.8 | ||||||
| 10–90 | High Amylose Starch | 38.0 | 2.7 | |||||
| 20–80 | 31.0 | 2.5 | ||||||
| 30–70 | 30.0 | 1.7 | ||||||
| 40–60 | 28.0 | 1.8 | ||||||
| 10–90 | Butyl-etherified High Amylose Starch | 55.0 | 4.1 | |||||
| 20–80 | 38.0 | 3.7 | ||||||
| 30–70 | 30.0 | 3.8 | ||||||
| 40–60 | 21.0 | 2.6 | ||||||
| 70–30 | HDI | 5% w/w S | - | 50.0 | 42.0 | 6.0 | 2.5 | [49] |
| 65–35 | Castor Oil | 5 wt% | 40.0 | 7.0 | ||||
| HDI | 5% w/w S | 28.0 | 45.0 | |||||
| 8% w/w S | 31.0 | 50.0 | ||||||
| 11% w/w S | 33.0 | 68.0 | ||||||
| 90–10 | ESO | 10 wt % | - | 62.0 | 38.0 | 6.0 | 64.0 | [92] |
| 80–20 | MA | 4.3% w/w S | 36.0 | 78.0 | ||||
| 9% w/w S | 41.0 | 112.0 | ||||||
| 13.3% w/w S | 43.0 | 140.0 | ||||||
| 70–30 | 35.0 | 96.0 | ||||||
| 70–30 | TOA | 5 wt % | - | 40.0 | 30.0 | 7.0 | 17.0 | [93] |
| 7 wt % | 28.0 | 31.0 | ||||||
| 10 wt % | 27.0 | 20.0 | ||||||
| 12 wt % | 22.0 | 15.0 | ||||||
| 70–30 | EIA | 20% w/w S | - | 34.0 | 48.0 | 1.2 | 2.2 | [94] |
| Epicard | 50.0 | 1.8 | ||||||
| 30–70 | Tween 60 | 1.55% w/w S | - | - | 10.0 | - | 17.0 | [50] |
| 50–50 | 20.0 | 9.0 | ||||||
| 70–30 | 38.0 | 34.0 | 1.0 | 15.0 | ||||
| 30–70 | LA | - | 9.0 | - | 17.0 | |||
| 50–50 | 19.0 | 15.0 | ||||||
| 70–30 | 38.0 | 32.0 | 1.0 | 15.0 | ||||
| 30–70 | Zein | - | 15.0 | - | 5.0 | |||
| 50–50 | 24.0 | 8.0 | ||||||
| 70–30 | 38.0 | 30.0 | 1.0 | 4.0 | ||||
| 60–40 | MA | 1% w/w S | - | 20.0 | 30.0 | 9.0 | 14.0 | [95] |
| Polymers | Other Compounds (Content) | Polymer Ratio | Processing | Solvent for Casting (Polymer Content) | Ref. |
|---|---|---|---|---|---|
| 1. PLA | 1. PLA: Cinnamaldehyde (25%) | PLA-S | 1. Casting 2. Compression moulding 1 + 2: Compression moulding | PLA: Ethyl acetate (10 wt %) | [96] |
| 2. Cassava starch (S) | 2. S: Glycerol (30%) | 30–70 | |||
| 1. Sugar palm starch (SPS) | SPS: Glycerol (30%) | SPS-PLA 50–50 60–40 70–30 80–20 | Casting/Coating | 1. SPS: Distilled water (8% w/w) | [44] |
| 2. PLA | 2. PLA: Chloroform (10% w/w) | ||||
| 1. Corn starch | S: Glycerol (30%) | S-PCL Or S (5% PCL)-PCL | Melt blending Compression moulding | - | [70] |
| 2. Polycaprolactone (PCL) | |||||
| 1. Soy protein (SPI) | SPI: Glycerol (50%) | SPI-PLA 60–40a 50–50b | Casting/Coating | 1. SPI: Deionized water (0.75% w/w) | [15] |
| 2. PLA | 2. PLA: Chloroform (0.8a Or 1.2b % w/w) | ||||
| 1. PLA | CH: Montmorillonite (MMT) (0.2 wt %) | - | 1. PLA: Melt extrusion | CH solution: 0.235% (v/v) Acetic acid | [97] |
| 2. Chitosan (CH) | 2. Dipping of PLA film in CH/MMT solution | (0.2 wt %) with MMT | |||
| 1. CH | PAA: Ammonium peroxydisulfate ((NH4)2S2O8) & Gallium nitrate (Ga5NO3)3) | - | Electrosynthesis | - | [102] |
| 2. Poly(acrylic) acid (PAA) | |||||
| 1. Methylcellulose (MC) 2. Lipids: Paraffin oil/wax Or Hydrogenated Palm Oil (HPO) & Triolein | 1. MC: PEG 400 (25%) 2. Lipids: Glycerol monostearate (GMS) (10%) | - | Layer chromatography spreading | MC: Water-ethyl alcohol (3:1 v/v) | [103] |
| 1. FucoPol Polysaccharide | 1. Fucopol: Citric acid (CA) (50%) | - | Casting/Coating | 1. FucoPol: Distilled water (1.5% w/w) | [104] |
| 2. CH | 2. CH: Glycerol (50%) & CA (50%) | 2. CH: 1 % w/w Acetic acid (1.5% w/w) | |||
| 1. Wheat gluten | 1. Wheat gluten: Glycerol (20%) 2. PE: Ethylene/acrylic ester/maleic anhydride terpolymer Or ethylene/glycidyl methacrylate copolymer | - | 1. Wheat gluten: Casting 2. Bilayer films: Thermocompression | Wheat gluten: Absolute ethanol (varying contents), acetic acid & water | [105] |
| 2. Polyethylene (PE) | |||||
| 1. PE (commercial) | PCL: Casein | - | PCL coating on PE film | PCL: Tetrahydrofuran (10%) | [106] |
| 2. PCL | Or casein/ZnO nanoparticles (40%) | ||||
| Pol (3-hydroxybutyrate)-co-(3-hydroxyvalerate)] (PHBV) | Oregano EO Or Carvacrol Or Clove EO Or Eugenol (15% w/w) | 50–50 | Melt blending Compression moulding | - | [99] |
© 2017 by the authors. Licensee MDPI, Basel, Switzerland. This article is an open access article distributed under the terms and conditions of the Creative Commons Attribution (CC BY) license (http://creativecommons.org/licenses/by/4.0/).
Share and Cite
Muller, J.; González-Martínez, C.; Chiralt, A. Combination of Poly(lactic) Acid and Starch for Biodegradable Food Packaging. Materials 2017, 10, 952. https://doi.org/10.3390/ma10080952
Muller J, González-Martínez C, Chiralt A. Combination of Poly(lactic) Acid and Starch for Biodegradable Food Packaging. Materials. 2017; 10(8):952. https://doi.org/10.3390/ma10080952
Chicago/Turabian StyleMuller, Justine, Chelo González-Martínez, and Amparo Chiralt. 2017. "Combination of Poly(lactic) Acid and Starch for Biodegradable Food Packaging" Materials 10, no. 8: 952. https://doi.org/10.3390/ma10080952
APA StyleMuller, J., González-Martínez, C., & Chiralt, A. (2017). Combination of Poly(lactic) Acid and Starch for Biodegradable Food Packaging. Materials, 10(8), 952. https://doi.org/10.3390/ma10080952

