Pitting Corrosion Behaviour of New Corrosion-Resistant Reinforcement Bars in Chloride-Containing Concrete Pore Solution
Abstract
1. Introduction
2. Experiment
2.1. Raw Materials
2.2. Measurement Methods
2.2.1. Electrochemical Measurements
Linear Polarisation Resistance Method
Electrochemical Impedance Spectroscopy
2.2.2. Micro-Measurements
Reflective Digital Holographic Microscopy
Scanning Electron Microscopy (SEM)
3. Experiments and Discussion
3.1. Electrochemical Test
3.1.1. Linear Polarisation Curve
3.1.2. Electrochemical Impedance Spectroscopy
3.2. Micro Measurements and Analyses
3.2.1. Digital Holographic Microscopy Analysis
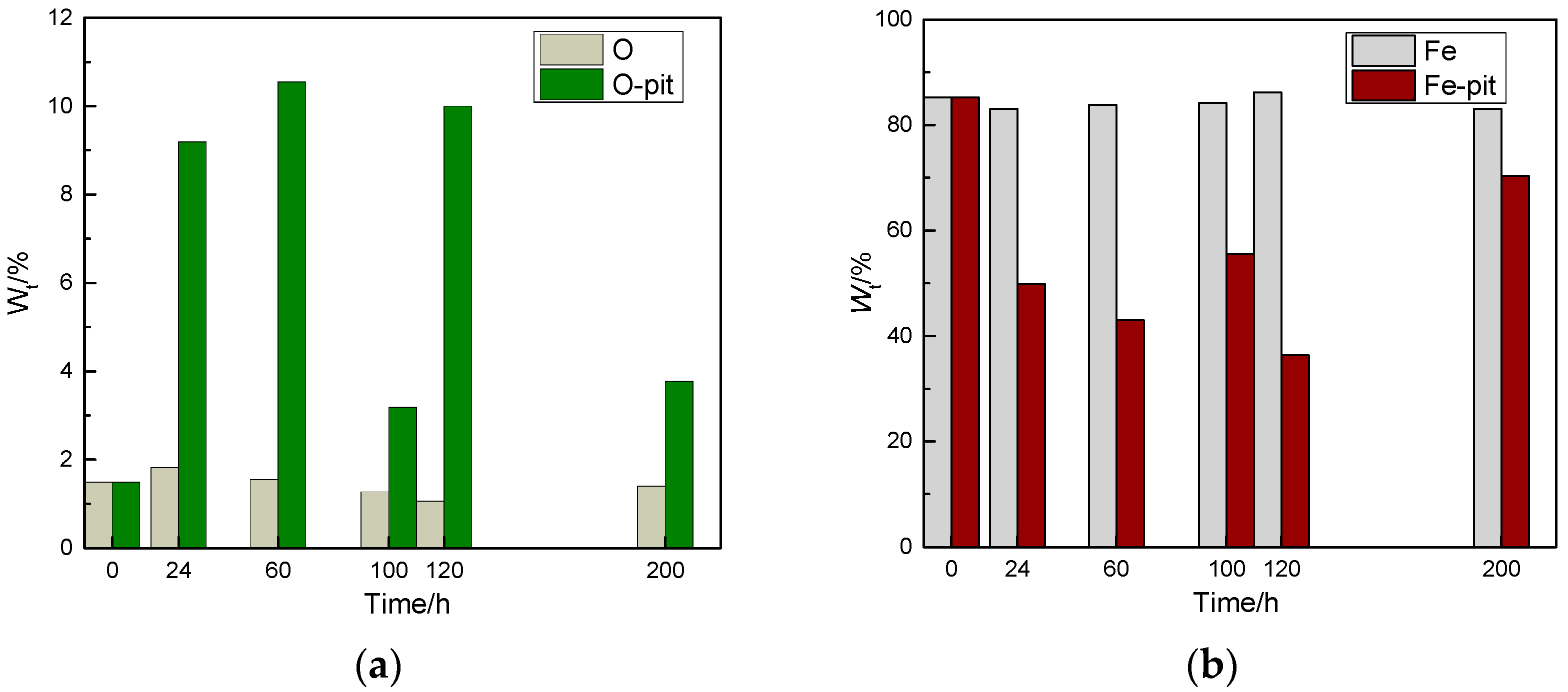
3.2.2. Scanning Electron Microscopy Analysis
3.2.3. Analysis of the Pitting Corrosion Process in Corrosion-Resistant Alloy Steel Bars
4. Conclusions
- (1)
- CR steel has a high passivation capability. Compared with the polished LC samples that are immersed into the corrosive solution, a passivation film is formed on the surfaces of the CR bars. This film hinders the initiation of pitting. In LC steel, however, pitting corrosion occurs immediately, resulting in steady-state pitting corrosion.
- (2)
- The corrosion pits in CR bars are mostly individually developed shallow pits of circular shape. The corrosion pits in the LC samples, however, are large, irregular pits, created by the connection of adjacent pits. The corrosion pits in CR bars are regularly shaped micro-nanometre-scale pits. The pits are primarily caused by Cl− absorption that compromises the passivation film. Compared to the rapid development of corrosion pits and the large pit size in LC steel samples, the corrosion pits in the CR bars develop slowly. Hence, the CR bars have great advantages over LC bars in controlling hazards caused by perforation corrosion, which is the result of uncontrolled pitting corrosion development.
- (3)
- The formation of metastable pitting corrosion greatly alleviates the pitting growth rate in CR bars. Pitting corrosion develops immediately into steady-state pitting after pitting nucleation in LC bars; however, the CR bars have a significant metastable pitting stage that occurs periodically. This is because the corrosion pits in the CR bars are shallow and the corrosion current density is small. Hence, closed pits are easily formed. For all of these reasons, the pitting corrosion at the metastable pitting stage is passivated and then disappears.
Author Contributions
Conflicts of Interest
References
- Burstein, G.T.; Soouto, R.M.; Liu, C.; Vines, S.P. New processes for passive metal surfaces. In Proceedings of the Joint Conference of the Australasian Corrosion Association, Melbourne, Australia, January 2003. [Google Scholar]
- Tan, Y.T.; Wijesinghe, S.L.; Blackwood, D.J. The inhibitive effect of bicarbonate and carbonate ions on carbon steel in simulated concrete pore solution. Corros. Sci. 2014, 88, 152–160. [Google Scholar] [CrossRef]
- Wang, Y.; Cheng, G.; Wu, W.; Qiao, Q.; Li, Y.; Li, X.F. Effect of pH and chloride on the micro-mechanism of pitting corrosion for high strength pipeline steel in aerated NaCl solutions. Appl. Surf. Sci. 2015, 349, 746–756. [Google Scholar] [CrossRef]
- Bautista, A.; Alvarez, S.M.; Paredes, E.C.; Velasco, F.; Guzman, S. Corrugated stainless steels embedded in carbonated mortars with and without chlorides: 9-Year corrosion results. Constr. Build. Mater. 2015, 95, 186–196. [Google Scholar] [CrossRef]
- Shi, J.; Sun, W.; Jiang, J.; Zhang, Y. Influence of chloride concentration and pre-passivation on the pitting corrosion resistance of low-alloy reinforcing steel in simulated concrete pore solution. Constr. Build. Mater. 2016, 111, 805–813. [Google Scholar] [CrossRef]
- Williams, D.E.; Mohiuddin, T.F.; Zhu, Y.Y. Elucidation of a trigger mechanism for pitting corrosion of stainless steels using submicron resolution scanning electrochemical and photoelectrochemical microscopy. Electrochem. Soc. 1998, 145, 2664–2672. [Google Scholar] [CrossRef]
- Vuillemin, B.; Philippe, X.; Oltra, R.; Vignal, V.; Coudreuse, L.; Dufour, L.C.; Finot, E. SVET, AFM and AES study of pitting corrosion initiated on MnS inclusions by microinjection. Corros. Sci. 2003, 45, 1143–1159. [Google Scholar] [CrossRef]
- Ameri, M.A.; Yi, Y.; Cho, P.; Al Saadi, S.; Jang, C.; Beeley, P. Critical conditions for pit initiation and growth of austenitic stainless steels. Corros. Sci. 2015, 92, 209–216. [Google Scholar] [CrossRef]
- Kocijan, A.; Črtomir, D.; Jenko, M. Electrochemical and XPS studies of the passive film formed on stainless steels in borate buffer and chloride solutions. Corros. Sci. 2007, 49, 2083–2098. [Google Scholar] [CrossRef]
- Natishan, P.M.; O’Grady, W.E.; Martin, F.J.; Rayne, R.J.; Kahn, H.; Heuer, A.H. The Effect of Chloride on Passive Oxide Film Breakdown on Stainless Steels and Aluminum. ECS Trans. 2012, 41, 49–57. [Google Scholar]
- Ernst, P.; Newman, R.C. Pit growth studies in stainless steel foils. I. Introduction and pit growth kinetics. Corros. Sci. 2002, 44, 927–941. [Google Scholar]
- Laycock, N.J.; Noh, J.S.; White, S.P.; Krouse, D.P. Computer simulation of pitting potential measurements. Corros. Sci. 2005, 47, 3140–3177. [Google Scholar] [CrossRef]
- Vignal, V.; Krawiec, H.; Heintz, O.; Oltra, R. The use of local electrochemical probes and surface analysis methods to study the electrochemical behaviour and pitting corrosion of stainless steels. Electrochim. Acta 2007, 52, 4994–5001. [Google Scholar] [CrossRef]
- Saremi, M.; Mahallati, E. A study on chloride-induced depassivation of mild steel in simulated concrete pore solution. Cem. Concr. Res. 2002, 32, 1915–1921. [Google Scholar] [CrossRef]
- Ghods, P.; Isgor, B.; Mcrae, A. Electrochemical investigation of chloride -induced depassivation of black steel rebar under simulated service condition. Corros. Sci. 2010, 52, 1649–1659. [Google Scholar] [CrossRef]
- Rocchini, G. Experimental verification of the validity of the linear polarization method. Corros. Sci. 1997, 39, 877–891. [Google Scholar] [CrossRef]
- Law, D.W.; Cairns, J.; Millard, S.G.; Bungey, J.H. Measurement of loss of steel from reinforcing bars in concrete using linear polarisation resistance measurements. NDT E Int. 2004, 5, 381–388. [Google Scholar] [CrossRef]
- Stern, M.; Geary, A.L. Electrochemical polarization: I. A theoretical analysis of the shape of polarization curves. J. Electrochem. Soc. 1957, 104, 56–63. [Google Scholar] [CrossRef]
- Li, L.; Sagüés, A.A. Chloride Corrosion Threshold of Reinforcing Steel in Alkaline Solutions Open-Circuit Immersion Tests. Corrosion 2001, 57, 19–28. [Google Scholar] [CrossRef]
- Gunay, H.B.; Isgor, O.B.; Ghods, P. Kinetics of Passivation and Chloride-Induced Depassivation of Iron in Simulated Concrete Pore Solutions Using Electrochemical Quartz Crystal Nanobalance. Corrosion 2015, 71, 615–627. [Google Scholar] [CrossRef]
- Angst, U.; Elsener, B.; Larsen, C.K.; Vennesland, O. Critical chloride content in reinforced concrete—A review. Cem. Concr. Res. 2009, 39, 1122–1138. [Google Scholar] [CrossRef]
- Wang, D.; Sun, W.; Shi, J. The Passive Film of A New Alloyed Corrosion-Resisitant Steel in Simulated Concerete Pore Solutions. In Proceedings of the 14th International Congress on the Chemistry of Cement, Beijing, China, October 2015. [Google Scholar]
- Kelly, R.G.; Kruger, J. Symposium on Critical Factors in Localized Corrosion. In Proceedings of the Symposium on Critical Factors in Localized Corrosion III: A Symposium in Honor of the 70th Birthday of Jerome Kruger, Boston, MA, USA, November 1999. [Google Scholar]
- Pistorius, P.C.; Burstein, G.T. Metastable Pitting Corrosion of Stainless Steel and the Transition to Stability. Philos. Trans. R. Soc. Math. Phys. Eng. Sci. 1992, 341, 531–559. [Google Scholar] [CrossRef]
- Feng, X.; Lu, X.; Zuo, Y.; Zhuang, N.; Chen, D. The effect of deformation on metastable pitting of 304 stainless steel in chloride contaminated concrete pore solution. Corros. Sci. 2016, 103, 223–229. [Google Scholar] [CrossRef]
- Figueira, R.B.; Sadovski, A.; Melo, A.P.; Pereira, E.V. Chloride threshold value to initiate reinforcement corrosion in simulated concrete pore solutions: The influence of surface finishing and pH. Constr. Build. Mater. 2017, 141, 183–200. [Google Scholar] [CrossRef]
- Stewart, J.; Williams, D.E. ChemInform Abstract: The Initiation of Pitting Corrosion on Austenitic Stainless Steel: On the Role and Importance of Sulfide Inclusions. Corros. Sci. 1992, 23, 457–463. [Google Scholar] [CrossRef]
- Liu, M.; Cheng, X.; Li, X.; Pan, Y.; Li, J. Effect of Cr on the passive film formation mechanism of steel rebar in saturated calcium hydroxide solution. Appl. Surf. Sci. 2016, 389, 1182–1191. [Google Scholar] [CrossRef]
- Ha, H.Y.; Park, C.J.; Kwon, H.S. Effects of non-metallic inclusions on the initiation of pitting corrosion in 11% Cr ferritic stainless steel examined by micro-droplet cell. Corros. Sci. 2007, 49, 1266–1275. [Google Scholar] [CrossRef]

















| Chemical Composition | C | Si | Mn | Cr | Cu | Ni | Al | Mo |
|---|---|---|---|---|---|---|---|---|
| LC | 0.22 | 0.53 | 1.44 | - | - | - | - | - |
| CR | 0.01 | 0.487 | 1.49 | 10.36 | - | - | - | 1.162 |
| Corrosive Solution | KOH | NaOH | Ca(OH)2 | NaCl |
|---|---|---|---|---|
| Concentration (mol/L) | 0.6 | 0.2 | 0.03 | 5 |
© 2017 by the authors. Licensee MDPI, Basel, Switzerland. This article is an open access article distributed under the terms and conditions of the Creative Commons Attribution (CC BY) license (http://creativecommons.org/licenses/by/4.0/).
Share and Cite
Jiang, J.-y.; Liu, Y.; Chu, H.-y.; Wang, D.; Ma, H.; Sun, W. Pitting Corrosion Behaviour of New Corrosion-Resistant Reinforcement Bars in Chloride-Containing Concrete Pore Solution. Materials 2017, 10, 903. https://doi.org/10.3390/ma10080903
Jiang J-y, Liu Y, Chu H-y, Wang D, Ma H, Sun W. Pitting Corrosion Behaviour of New Corrosion-Resistant Reinforcement Bars in Chloride-Containing Concrete Pore Solution. Materials. 2017; 10(8):903. https://doi.org/10.3390/ma10080903
Chicago/Turabian StyleJiang, Jin-yang, Yao Liu, Hong-yan Chu, Danqian Wang, Han Ma, and Wei Sun. 2017. "Pitting Corrosion Behaviour of New Corrosion-Resistant Reinforcement Bars in Chloride-Containing Concrete Pore Solution" Materials 10, no. 8: 903. https://doi.org/10.3390/ma10080903
APA StyleJiang, J.-y., Liu, Y., Chu, H.-y., Wang, D., Ma, H., & Sun, W. (2017). Pitting Corrosion Behaviour of New Corrosion-Resistant Reinforcement Bars in Chloride-Containing Concrete Pore Solution. Materials, 10(8), 903. https://doi.org/10.3390/ma10080903
