Next Article in Journal
Effect of Partial Crystallization on the Structural and Luminescence Properties of Er3+-Doped Phosphate Glasses
Next Article in Special Issue
The Microstructural Characterization of Multiferroic LaFeO3-YMnO3 Multilayers Grown on (001)- and (111)-SrTiO3 Substrates by Transmission Electron Microscopy
Previous Article in Journal
Preparation, Characterization and Application of a Molecularly Imprinted Polymer for Selective Recognition of Sulpiride
 
 
Font Type:
Arial Georgia Verdana
Font Size:
Aa Aa Aa
Line Spacing:
Column Width:
Background:
Article

Enhanced Multiferroic Properties of YMnO3 Ceramics Fabricated by Spark Plasma Sintering Along with Low-Temperature Solid-State Reaction

1
Shenzhen Key Laboratory of Advanced Materials, Department of Materials Science and Engineering, Shenzhen Graduate School, Harbin Institute of Technology, Shenzhen 518055, China
2
Research Institute of Tsinghua University in Shenzhen, Shenzhen 518055, China
3
Tsinghua Innovation Center in Dongguan, Dongguan 523808, China
*
Authors to whom correspondence should be addressed.
These authors contributed equally to this work.
Materials 2017, 10(5), 474; https://doi.org/10.3390/ma10050474
Submission received: 19 March 2017 / Revised: 16 April 2017 / Accepted: 24 April 2017 / Published: 28 April 2017

Abstract

:
Based on precursor powders with a size of 200–300 nm prepared by the low-temperature solid-state reaction method, phase-pure YMnO3 ceramics are fabricated using spark plasma sintering (SPS). X-ray diffraction (XRD) and scanning electron microscopy (SEM) reveal that the high-purity YMnO3 ceramics can be prepared by SPS at 1000 °C for 5 minutes with annealing at 800 °C for 2 h. The relative density of the sample is as high as 97%, which is much higher than those of the samples sintered by other methods. The present dielectric and magnetic properties are much better than those of the samples fabricated by conventional methods and SPS with ball-milling precursors, and the ferroelectric loops at room temperature can be detected. These findings indicate that the YMnO3 ceramics prepared by the low temperature solid reaction method and SPS possess excellent dielectric lossy ferroelectric properties at room temperature, and magnetic properties at low temperature (10 K), making them suitable for potential multiferroic applications.

1. Introduction

Multiferroic material, which possesses ferroelasticity, ferroelectricity, and ferromagnetism, has become one of the most important research interests in functional ceramics. In particular, it possesses the magnetoelectric effect, and is deemed as the next generation of electronic and magnetic devices [1,2]. Among these, YMnO3 is one of the most advanced multiferroic materials; it belongs to the P63cm space group with a relatively high Curie temperature (TC ~ 900 K) and a low Neel temperature (TN ~ 70 K). Moreover, it is proved that YMnO3 can couple both ferroelectric and antiferromagnetic properties [3,4,5,6,7], with potential applications in telecommunication and data storage.
However, fabrication methods restrain the preparation of high-quality YMnO3. Most studies adopted the conventional solid-state method to fabricate YMnO3. The main drawbacks of this method are: (1) the preparation process includes complex procedures, such as preheating, ball-milling, calcination, sintering, and heat treatment; (2) high sintering temperature and long sintering time are necessary. Usually, a high temperature of 1300–1400 °C and a sintering time of more than 10 h are required to prepare high-density YMnO3 ceramics; and (3) some secondary phases are prone to be generated during the fabrication process. In the range of 800–1200 °C, the secondary phases, such as Y2O3, MnO, and Y2Mn5O12 always form during the sintering process. The bottlenecks of the traditional solid-state sintering method limit the potential application of YMnO3 ceramics.
Another common precursor fabrication method is the sol-gel method. In this method, the homogeneity of the reagents can be acquired at a molecular or atomic level, and the reaction temperature can be lowered. The fabricated particles can reach nano scale and the surface activation energy is high, so sintering temperature can be decreased and the grain size of ceramics can be reduced. Han et al. [8], Ahmad et al. [9], and Zhang et al. [7] successfully prepared YMnO3 powders by this method. The main drawbacks of this method are: (1) the processing time is still long, which can last several hours or even days; (2) when the precursor powders prepared by this method are used to fabricate ceramics, more defects are generated during the process of gas generation and expelling, resulting in a material with a relatively low density; (3) the as-synthesized compounds are easily decompose during the sintering period; and (4) the preparation cost is high and the pollution is severe [3,10,11]. So a simple and high efficiency method should be used for YMnO3 precursor fabrication.
Recently, spark plasma sintering (SPS) has been extensively adopted as an advanced route for material fabrication. SPS is now referred to as pulsed electric current sintering (PECS). The principle of this technique is that micro-sized electric charges are generated between particles under uniaxial pressure, so a densified structure can be obtained with uniaxial pressure to consolidate powders. This technology was used to get cleaner grain boundaries in sintered ceramic materials [12,13], higher permittivity in ferroelectrics [14], excellent magnetic properties [15], higher thermoelectric properties [16], and reduced impurity segregation at grain boundaries [12]. As for multiferroic ceramics fabrication, SPS can allow a low sintering temperature (200–300 K lower than that of the conventional method) and short sintering time [17,18,19,20]. Up to now, only Ma has studied YMnO3 ceramics sintered by SPS [10].
In view of this situation, a method for precursor fabrication, namely the low-temperature solid state reaction method, has the priority of low processing temperature, pure phase production, low cost, easy fabrication procedure, and ultrafine particle size. It only needs grinding in an agate mortar to fabricate precursors, so the procedure is greatly simplified. This method was successfully adopted to obtain YMnO3 precursors [21]. However, low-temperature solid-state reaction methods combined with SPS was not adopted to fabricate YMnO3 pallets. In this work, an SPS technique combined with the low-temperature solid-state reaction precursor was applied to prepare YMnO3 ceramics. The microstructures of the YMnO3 precursor and ceramics were studied extensively. The dielectric, ferroelectric, and magnetic properties were also investigated.

2. Experimental Procedures

YMnO3 powders were synthesized via the low-temperature solid reaction method; the raw reagents include Mn(CH3COO)2∙4H2O, Y(NO3)3∙6H2O, and citric acid. Initially, Mn(CH3COO)2∙4H2O, Y(NO3)3∙6H2O, and citric acid under a mole ratio of 1:1:2 were weighed and ground in an agate mortar for half an hour, respectively. Then the respective powders were mixed and ground again in an agate mortar for half an hour. A light brown viscous substance was formed during the grinding process. The viscous substance was heated at 120 °C for 2 h and a powdery material was harvested as the precursor material. The powders were ground and subsequently calcined for 1 h in air at 800 °C to provide what shall be referred to as the pure phase YMnO3 powders, serving as raw precursors for the subsequent SPS process. In the SPS process, the YMnO3 powders were placed in a graphite die and heated at a rate of 100 °C/min from room temperature to 1000 °C, followed by sintering for 5 min under an atmospheric pressure of 10−2 Pa. During the entire SPS process, a uniaxial pressure of 50 MPa was constantly maintained on the sample [22]. After completing the sintering process, pellet-shaped samples were formed. The samples were then polished to a size of 2 mm thick and 10 mm diameter, followed by annealing at 800 °C for 2 h in air in order to recover the oxygen stoichiometric ratio, release strain, and remove carbon contamination.
The crystal structures of the resulting samples were characterized by X-ray diffraction (XRD) using a Rigaku diffractometer with Cu-K radiation (D/max-RB, Rigaku, Tokyo, Japan). The densities of the samples were determined by the Archimedes method using distilled water as the immersion liquid. Both the microstructure of the powders and the fracture surface of the pellets were examined using field emission scanning electron microscopy (S-4700, Hitachi, Tokyo, Japan). For dielectric measurements, all the samples were polished and coated with silver paint. To improve the paint conductivity and make the contact between the paint and sample better, the paint was cured for 2 h at 120 °C. The dielectric properties of the samples were measured using a computer-controlled impedance analyzer (PSM1735, Newton 4th Ltd., Newton, UK). The ferroelectric properties of the samples were measured using a ferroelectric analyzer (Premier-II, Radiant Technologies, Inc., Albuquerque, NM, USA). Magnetic properties of the samples were obtained using a physical property measurement system (DynaCool-9T, Quantum Design, Leatherhead, Surrey, UK) at low temperature (10 K).

3. Results and Discussion

Figure 1a shows the XRD pattern of the precursor powders synthesized by the low-temperature solid-state reaction method. All the diffraction peaks are well indexed with the YMnO3 phase and possess a hexagonal structure. No impure phases (such as Y2O3, Mn2O3, or MnO) were revealed in the powders within the limits of the XRD machine capability. Figure 1b shows the SEM micrograph of the YMnO3 precursor powders. Although some agglomeration was present, the particle size was homogeneous and about 200–300 nm. Therefore, submicron-size precursor powders were obtained.
XRD patterns of the SPS-prepared and annealed sample are shown in Figure 2a,b, respectively. According to the XRD index, the major phase is the hexagonal YMnO3, and there is a minor amount of secondary phase of MnO (see Figure 2a). It is common because YMnO3→Y2O3 + Mn2O3 can always occur in the range of 800–1200 °C, and Mn2O3 is easy to transform to MnO with the environment of oxygen deprivation under the vacuum atmosphere of SPS [6,7,8,10,23]. Therefore, to obtain pure YMnO3, a higher or a lower annealing temperature must be selected. As shown in Figure 2b, YMnO3 ceramics without any impurities are synthesized after annealing at 800 °C for 2 h in air. Compared with the traditional methods, the present method requires a much lower sintering and annealing temperature to obtain a pure phase, so the preparation procedure is greatly simplified, and it is an efficient way to save energy.
A SEM micrograph of the fracture surface of the sample is represented in Figure 3. The sample exhibits a highly dense structure with smooth facets, proving that the ceramics are completely sintered. After the SPS and annealing process, the grain size of the sintered ceramics reaches ~1–2 μm and few defects and cracks can be observed. Compared with YMnO3 ceramics with a grain size of 3–5 μm prepared by SPS with ball-milling precursors [10], the ceramics in the present study possess more refined grains.
The density of the YMnO3 pellets was also studied. Before annealing, the density of the sample reaches a reasonably high value of 4.910 g/cm3, which is 95.7% of the theoretical value (theoretical density = 5.126 g/cm3). After annealing for 2 h in air, the sample exhibits a slightly higher density (4.972 cm3, 97.9% of the theoretical value) than that before annealing. This is because the remaining minor impurities can continue to transform to YMnO3, and the carbon contamination is diminished during the annealing treatment. The present density is higher than that of YMnO3 ceramics fabricated by the traditional solid-state sintering [24] and that of YMnO3 ceramics prepared by SPS with ball-milling precursors [10].
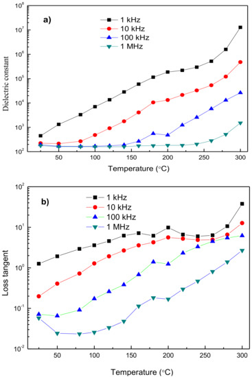
Figure 4 shows the temperature dependences of the dielectric constant and loss at the frequencies of 1 kHz, 10 kHz, 100 kHz, and 1 MHz; it shows that both the parameters increase with increasing temperature. At the same temperature, both parameters decrease with the increase of frequency. In addition, the dielectric constant remains almost constant until 160 °C and starts to increase sharply with further increasing temperature. An obvious dielectric relaxation effect can be observed in the range of test temperature, and it is postponed to higher temperatures as the frequency increases. In addition, a small peak of dielectric loss can be viewed around 160–200 °C. This peak is ascribed to hopping charge, which is also reported by Ma et al. [10] and Zhang et al. [7]. Usually, the hopping process is related to the valance variation of Mn ions and oxygen vacancies, thereby resulting in the dielectric relaxation phenomenon. But compared with other reports, the dielectric constant is obviously higher, and the dielectric loss is lower in the present study, proving that the YMnO3 ceramics with high density, few defects, and low impurities were prepared in this study. Generally, the dielectric constant of the present study was much higher than those of YMnO3 ceramics prepared by SPS with ball-milling precursors [10]. The reasons for the higher dielectric constant in our study could be: (1) the densities are much higher; and (2) few defects, especially pores, emerge [7,25].
In order to prove the quality of the SPS-prepared samples with annealing, complex impedance plots at several temperatures are represented in Figure 5. Obviously, with increasing temperature, the spectra can exhibit a single and almost ideal semicircular arc whose high-value intercept on the real axis determines the resistance of the sample. Based on the resistance obtained from the complex impedance plots, the resistivity ( ρ ) is calculated. ln (resistivity) (ln ( ρ )) is plotted as a function of reciprocal temperature (1/T) in Figure 6. Clearly, there is a linear relationship between ln ( ρ ) and 1/T, meaning that the temperature dependence of resistance follows an Arrhenius equation. The equation for the sample is given by
ln ρ = 4.96 + 7703 / T
where T is the absolute temperature. With the assumption that the obtained Arrhenius equation is valid at room temperature (298 K), the resistivity is 1.1 × 109 Ω cm. This is much higher than those of other reports. The high resistivity can guarantee better dielectric and ferroelectric properties.
The ferroelectric hysteresis loop of the sample at room temperature is shown in Figure 7. The loop has in an ellipse shape, revealing that the sample shows ferroelectricity with a relatively high leakage current. As [26], this kind of loop can only be named a lossy hysteresis loop rather than a saturated ferroelectric hysteresis loop. Normally, a fully saturated ferroelectric hysteresis loop is not able to be viewed for YMnO3 at room temperature because of a high leakage current induced by defects and secondary phases [10]. The desired resistivity is 1010 to 1011 Ω cm and the value in the present study is about 109 Ω cm, so the hysteresis loop is not fully saturated. Up until now, no saturated ferroelectric hysteresis loops at room temperature for the YMnO3 samples prepared by conventional and SPS methods were reported. The loops in this study are comparable with ones described in the literature which were tested at around 150–200 K [4,10]. The comparably better ferroelectric properties of the samples in the present study are owing to the low concentration of defects and impurities, and the high density. If a better and saturated ferroelectric loop is obtained, doping will be a good choice.
The magnetic hysteresis loop of the YMnO3 ceramic at low temperature (10 K) is shown in Figure 8. It is well known that ionic structure determines the antiferromagnetic properties of YMnO3. In this structure, one Mn3+ ion is surrounded by O2+, forming a bipyramid. The Y3+ ions are surrounded by eight O2+ (only two apical oxygen atoms). The bipyramids are not exactly parallel to the c-axis, thus, the two Y-O apical bond lengths are not the same because of this tilt [27]. The Mn3+ magnetic moment is not parallel to the moments of the nearest Mn3+ neighboring moments, thus, they form a small angle. This leads to the generation of weak ferromagnetic characteristics in antiferromagnetic YMnO3 ceramics [23]. The maximum magnetization (Mm), remnant magnetization (Mr), and coercive field (Hc) are about 4.19 emu/g, 0.77 emu/g, and 1000 Oe, respectively. Compared with the results of other literature (see Table 1), the values of Mr and Mm are much higher and Hc is the same order of magnitude because of the smaller grain size and fewer impurities.

4. Conclusions

Multiferroic YMnO3 ceramics are successfully fabricated by a combination of SPS and a low-temperature solid state reaction precursor. Compared with the conventional solid state method and SPS combined with the ball milling precursor method, the synthesis process is greatly simplified, and high-density YMnO3 ceramics with fine grains are obtained within a short time and at low temperature. The prepared YMnO3 ceramic possesses a high dielectric constant and low dielectric loss, and the resistivity is about 109 Ω cm. The ferroelectric hysteresis loop at room temperature is lossy. The maximum and remnant magnetization at 10 K are about 4.19 emu/g and 0.77 emu/g. All the properties are comparable with results from other literature. The present YMnO3 ceramics indicate good dielectric, ferroelectric, and ferromagnetic characteristics, making them suitable for potential multiferroic applications.

Acknowledgments

This work was supported by the International S&T Cooperation Program of China (2014DFA53020), Guangdong Innovative and Entrepreneurial Research Team Program (No. 2013C099), Science and Technology Foundation of Shenzhen under Grant No. JCYJ20140417172417172.

Author Contributions

Meng Wang, Ting Wang, Shenhua Song, and Muchakayala Ravi conceived and designed the experiments; Meng Wang performed the experiments; Meng Wang and Ting Wang analyzed the data; Renchen Liu and Shishan Ji contributed analysis tools; Meng Wang wrote the paper.

Conflicts of Interest

The authors declare no conflict of interest.

References

  1. Chu, Y.H.; Martin, L.W.; Holcomb, M.B.; Gajek, M.; Han, S.J.; He, Q.; Balke, N.; Yang, C.H.; Lee, D.; Hu, W. Electric-field control of local ferromagnetism using a magnetoelectric multiferroic. Nat. Mater. 2008, 7, 478–482. [Google Scholar] [CrossRef] [PubMed]
  2. Ramesh, R.; Spaldin, N.A. Multiferroics: Progress and prospects in thin films. Nat. Mater. 2007, 6, 21–29. [Google Scholar] [CrossRef] [PubMed]
  3. Eibschütz, M.; Shtrikman, S.; Treves, D. Mössbauer studies of Fe57 in orthoferrites. Phys. Rev. 1967, 156, 562–577. [Google Scholar] [CrossRef]
  4. Choi, T.; Kim, S.W.; Yoon, K.S.; Kim, Y.S.; Lee, J. Low-temperature process of ferroelectric (Y0.95,Bi0.05)MnO3 thin films and their structural and electrical properties. Integr. Ferroelectr. 2003, 52, 163–170. [Google Scholar] [CrossRef]
  5. Lee, S.; Pirogov, A.; Han, J.H.; Park, J.G.; Hoshikawa, A.; Kamiyama, T. Direct observation of a coupling between spin, lattice and electric dipole moment in multiferroic YMnO3. Phys. Rev. B 2005, 71, 180413. [Google Scholar] [CrossRef]
  6. Muñoz, A.; Alonso, J.A.; Martínez-Lope, M.J.; Casáis, M.T.; Martínez, J.L.; Fernández-Díaz, M.T. Magnetic structure of hexagonal RMnO3 (R = Y, Sc): Thermal evolution from neutron powder diffraction data. Phys. Rev. B 2000, 62, 9498–9510. [Google Scholar] [CrossRef]
  7. Zhang, C.; Su, J.; Wang, X.; Huang, F.; Zhang, J.; Liu, Y.; Zhang, L.; Min, K.; Wang, Z.; Lu, X.; et al. Study on magnetic and dielectric properties of YMnO3 ceramics. J. Alloys Compd. 2011, 509, 7738–7741. [Google Scholar] [CrossRef]
  8. Han, A.; Zhao, M.; Ye, M.; Liao, J.; Zhang, Z.; Li, N. Crystal structure and optical properties of YMnO3 compound with high near-infrared reflectance. Sol. Energy 2013, 91, 32–36. [Google Scholar] [CrossRef]
  9. Ahmad, T.; Lone, I.H.; Ubaidullah, M. Structural characterization and multiferroic properties of hexagonal nano-sized YMnO3developed by a low temperature precursor route. RSC Adv. 2015, 5, 58065–58071. [Google Scholar] [CrossRef]
  10. Ma, Y.; Wu, Y.J.; Chen, X.M.; Cheng, J.P.; Lin, Y.Q. In situ synthesis of multiferroic YMnO3 ceramics by SPS and their characterization. Ceram. Int. 2009, 35, 3051–3055. [Google Scholar] [CrossRef]
  11. Rearick, T.M. Combined magnetic-dipole and electric-quadrupole hyperfine interactions in rare-earth orthoferrite ceramics. Phys. Rev. B Condens. Matter 1993, 48, 224–238. [Google Scholar] [CrossRef] [PubMed]
  12. Chen, X.J.; Khor, K.A.; Chan, S.H.; Yu, L.G. Overcoming the effect of contaminant in solid oxide fuel cell (SOFC) electrolyte: Spark plasma sintering (SPS) of 0.5 wt % silica-doped yttria-stabilized zirconia (YSZ). Mater. Sci. Eng. A 2004, 374, 64–71. [Google Scholar] [CrossRef]
  13. Risbud, S.H.; Groza, J.R.; Kim, M.J. Clean grain boundaries in aluminium nitride ceramics densified without additives by a plasma-activated sintering process. Philos. Mag. B Phys. Condens. Matter 1994, 69, 525–533. [Google Scholar] [CrossRef]
  14. Takeuchi, T.; Bétourné, E.; Tabuchi, M.; Kageyama, H.; Kobayashi, Y.; Coats, A.; Morrison, F.; Sinclair, D.C.; West, A.R. Dielectric properties of spark-plasma-sintered BaTiO3. J. Mater. Sci. 1999, 34, 917–924. [Google Scholar] [CrossRef]
  15. Yue, M.; Zhang, J.; Xiao, Y.; Wang, G.; Li, T. A new kind of NdFeB magnet prepared by spark plasma sintering. IEEE Trans. Magn. 2003, 39, 3551–3553. [Google Scholar]
  16. Wang, M.; Wang, T.; Song, S.; Ma, Q.; Liu, R. Effect of sintering temperature on structural, dielectric, and magnetic properties of multiferroic yfeo3 ceramics fabricated by spark plasma sintering. Materials 2017, 10, 267. [Google Scholar] [CrossRef]
  17. Isobe, T.; Daimon, K.; Sato, T.; Matsubara, T.; Hikichi, Y.; Ota, T. Spark plasma sintering technique for reaction sintering of Al2O3/Ni nanocomposite and its mechanical properties. Ceram. Int. 2008, 34, 213–217. [Google Scholar] [CrossRef]
  18. Shimojo, Y.; Wang, R.; Shan, Y.J.; Izui, H.; Taya, M. Dielectric characters of 0.7Pb(Mg1/3Nb2/3)O3-0.3PbTiO3 ceramics fabricated at ultra-low temperature by the spark-plasma-sintering method. Ceram. Int. 2008, 34, 1449–1452. [Google Scholar] [CrossRef]
  19. Wang, X.; Padture, N.P.; Tanaka, H. Contact-damage-resistant ceramic/single-wall carbon nanotubes and ceramic/graphite composites. Nat. Mater. 2004, 3, 539–544. [Google Scholar] [CrossRef] [PubMed]
  20. Zhang, Y.; Zhang, J.; Lu, Q. Synthesis of highly textured Ca3Co4O9 ceramics by spark plasma sintering. Ceram. Int. 2007, 33, 1305–1308. [Google Scholar] [CrossRef]
  21. Yang, C.Y.; Wang, X.T.; Yan, M.A.; Wang, Z.F.; Hao, L.; Qin, M.L. Preparation of YMnO3 nanocrystal powders by low-temperature solid state method. J. Synth. Cryst. 2013, 42, 2309–2314. [Google Scholar]
  22. Mudinepalli, V.R.; Song, S.; Li, J.; Murty, B.S. Effect of grain size on the electrical properties of high dense BPT nanocrystalline ferroelectric ceramics. Ceram. Int. 2014, 40, 1781–1788. [Google Scholar] [CrossRef]
  23. Ren, P.; Fan, H.; Wang, X. Bulk conduction and nonlinear behaviour in multiferroic YMnO3. Appl. Phys. Lett. 2013, 103, 152905. [Google Scholar] [CrossRef]
  24. Dho, J.; Blamire, M. Competing functionality in multiferroic YMnO3. Appl. Phys. Lett. 2005, 87, 2504. [Google Scholar] [CrossRef]
  25. Penn, S.J.; Alford, N.M.; Templeton, A.; Wang, X.; Xu, M.; Reece, M.; Schrapel, K. Effect of Porosity and Grain Size on the Microwave Dielectric Properties of Sintered Alumina. J. Am. Ceram. Soc. 1997, 80, 1885–1888. [Google Scholar] [CrossRef]
  26. Scott, J.F. Ferroelectrics go bananas. J. Phys. Condens. Matter 2008, 20, 021001. [Google Scholar] [CrossRef]
  27. Raneesh, B.; Saha, A.; Kalarikkal, N. Effect of gamma radiation on the structural, dielectric and magnetoelectric properties of nanostructured hexagonal YMnO3. Radiat. Phys. Chem. 2013, 89, 28–32. [Google Scholar] [CrossRef]
  28. Kumar, N.; Gaur, A.; Varma, G.D. Enhanced magnetization and magnetoelectric coupling in hydrogen treated hexagonal YMnO3. J. Alloys Compd. 2011, 509, 1060–1064. [Google Scholar] [CrossRef]
Figure 1. (a) XRD pattern and (b) SEM micrograph for YMnO3 powders.
Figure 1. (a) XRD pattern and (b) SEM micrograph for YMnO3 powders.
Materials 10 00474 g001aMaterials 10 00474 g001b
Figure 2. XRD patterns for YMnO3 samples (a) as SPS and (b) after annealing.
Figure 2. XRD patterns for YMnO3 samples (a) as SPS and (b) after annealing.
Materials 10 00474 g002
Figure 3. SEM micrograph of fracture surface of the YMnO3 ceramics.
Figure 3. SEM micrograph of fracture surface of the YMnO3 ceramics.
Materials 10 00474 g003
Figure 4. Temperature dependence of (a) dielectric constant and (b) dielectric loss under frequencies of 1, 10, 100, and 1000 kHz for the YMnO3 ceramics.
Figure 4. Temperature dependence of (a) dielectric constant and (b) dielectric loss under frequencies of 1, 10, 100, and 1000 kHz for the YMnO3 ceramics.
Materials 10 00474 g004
Figure 5. Complex impedance plots at different temperatures.
Figure 5. Complex impedance plots at different temperatures.
Materials 10 00474 g005
Figure 6. Temperature dependence of resistivity for YMnO3 ceramics.
Figure 6. Temperature dependence of resistivity for YMnO3 ceramics.
Materials 10 00474 g006
Figure 7. Ferroelectric hysteresis loop of the YMnO3 ceramic at room temperature.
Figure 7. Ferroelectric hysteresis loop of the YMnO3 ceramic at room temperature.
Materials 10 00474 g007
Figure 8. Magnetic hysteresis loop of the YMnO3 ceramic at 10 K.
Figure 8. Magnetic hysteresis loop of the YMnO3 ceramic at 10 K.
Materials 10 00474 g008
Table 1. Comparison of the relevant magnetic parameters for YMnO3.
Table 1. Comparison of the relevant magnetic parameters for YMnO3.
No.Mm (emu/g)Mr (emu/g)Hc (kOe)Test ConditionReference
12.5@7T0.054.110K[28]
20.75@3T0.040.985K[7]
31.01@2T0.301.8310K[10]
44.19@6T0.77110KPresent work

Share and Cite

MDPI and ACS Style

Wang, M.; Wang, T.; Song, S.; Ravi, M.; Liu, R.; Ji, S. Enhanced Multiferroic Properties of YMnO3 Ceramics Fabricated by Spark Plasma Sintering Along with Low-Temperature Solid-State Reaction. Materials 2017, 10, 474. https://doi.org/10.3390/ma10050474

AMA Style

Wang M, Wang T, Song S, Ravi M, Liu R, Ji S. Enhanced Multiferroic Properties of YMnO3 Ceramics Fabricated by Spark Plasma Sintering Along with Low-Temperature Solid-State Reaction. Materials. 2017; 10(5):474. https://doi.org/10.3390/ma10050474

Chicago/Turabian Style

Wang, Meng, Ting Wang, Shenhua Song, Muchakayala Ravi, Renchen Liu, and Shishan Ji. 2017. "Enhanced Multiferroic Properties of YMnO3 Ceramics Fabricated by Spark Plasma Sintering Along with Low-Temperature Solid-State Reaction" Materials 10, no. 5: 474. https://doi.org/10.3390/ma10050474

APA Style

Wang, M., Wang, T., Song, S., Ravi, M., Liu, R., & Ji, S. (2017). Enhanced Multiferroic Properties of YMnO3 Ceramics Fabricated by Spark Plasma Sintering Along with Low-Temperature Solid-State Reaction. Materials, 10(5), 474. https://doi.org/10.3390/ma10050474

Note that from the first issue of 2016, this journal uses article numbers instead of page numbers. See further details here.

Article Metrics

Back to TopTop