Failure Mechanisms of the Coating/Metal Interface in Waterborne Coatings: The Effect of Bonding
Abstract
:1. Introduction
2. Results and Discussion
2.1. Characteristics of the Coating Structure
2.2. Adhesion Force between the Metal and the Two Coatings
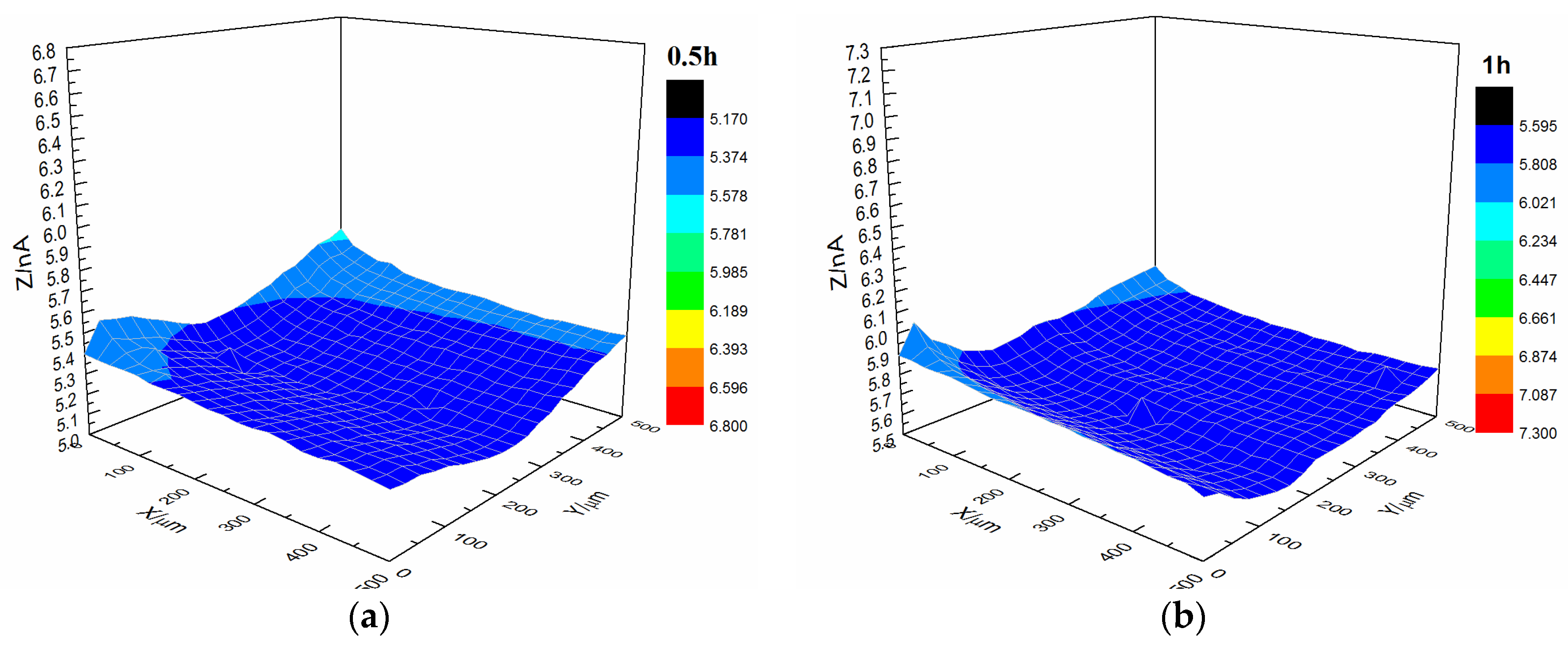
2.3. Microbubbling Process of the Coating Interface
2.4. Failure Mechanism of the Styrene-Acrylic and Terpolymer Coatings
3. Materials and Methods
3.1. Materials
3.2. Sample Preparation
3.3. Characterization of the Coating Properties
3.3.1. Morphology
3.3.2. Contact Angle
3.3.3. FTIR Analysis
3.3.4. SIMS
3.3.5. Adhesion Testing
3.3.6. SECM Measurements
4. Conclusions
Acknowledgments
Author Contributions
Conflicts of Interest
References
- Vakili, H.; Ramezanzadeh, B.; Amini, R. The corrosion performance and adhesion properties of the epoxy coating applied on the steel substrates treated by cerium-based conversion coatings. Corros. Sci. 2015, 94, 466–475. [Google Scholar] [CrossRef]
- Ghaffari, M.S.; Naderi, R.; Sayehbani, M. The effect of mixture of mercaptobenzimidazole and zinc phosphate on the corrosion protection of epoxy/polyamide coating. Prog. Org. Coat. 2015, 86, 117–124. [Google Scholar] [CrossRef]
- Montemor, M.F. Functional and smart coatings for corrosion protection: A review of recent advances. Surf. Coat. Technol. 2014, 258, 17–37. [Google Scholar] [CrossRef]
- Mohammadi, S.; Afshar Taromi, F.; Shariatpanahi, H.; Neshati, J.; Hemmati, M. Electrochemical and anticorrosion behavior of functionalized graphite nanoplatelets epoxy coating. J. Ind. Eng. Chem. 2014, 20, 4124–4139. [Google Scholar] [CrossRef]
- Wang, Y.; Zhu, Y.; Li, C.; Song, D.; Zhang, T.; Zheng, X.; Yan, Y.; Zhang, M.; Wang, J.; Shchukin, D.G. Smart epoxy coating containing Ce-MCM-22 zeolites for corrosion protection of Mg-Li alloy. Appl. Surf. Sci. 2016, 369, 384–389. [Google Scholar] [CrossRef]
- Yang, Z.; Wang, L.; Sun, W.; Li, S.; Zhu, T.; Liu, W.; Liu, G. Superhydrophobic epoxy coating modified by fluorographene used for anti-corrosion and self-cleaning. Appl. Surf. Sci. 2017, 401, 146–155. [Google Scholar] [CrossRef]
- Wang, G.; Yang, J. Influences of glass flakes on fire protection and water resistance of waterborne intumescent fire resistive coating for steel structure. Prog. Org. Coat. 2011, 70, 150–156. [Google Scholar] [CrossRef]
- Lu, X.; Zuo, Y.; Zhao, X.; Tang, Y. The influence of aluminum tri-polyphosphate on the protective behavior of Mg-rich epoxy coating on AZ91D magnesium alloy. Electrochim. Acta 2013, 93, 53–64. [Google Scholar] [CrossRef]
- Feliu, S.; Morcillo, M. Deterioration of cathodic protection action of zinc-rich paint coatings in atmospheric exposure. Corrosion 2001, 57, 591–597. [Google Scholar] [CrossRef]
- Sangaj, N.S.; Malshe, V.C. Permeability of polymers in protective organic coatings. Prog. Org. Coat. 2004, 50, 28–39. [Google Scholar] [CrossRef]
- Büchler, M.; Kerimo, J.; Guillaume, F.; Smyrl, W. Fluorescence and near-field scanning optical microscopy for investigating initiation of localized corrosion of Al 2024. J. Electrochem. Soc. 2000, 147, 3691–3699. [Google Scholar] [CrossRef]
- Zhu, D.; Ooij, W.J.V. Corrosion protection of AA 2024-T3 by bis-[3-(triethoxysilyl)propyl]tetrasulfide in neutral sodium chloride solution. Part 1: Corrosion of AA 2024-T3. Corros. Sci. 2003, 45, 2163–2175. [Google Scholar] [CrossRef]
- Vukmirovic, M.B.; Dimitrov, N.; Sieradzki, K. Dealloying and corrosion of Al alloy 2024-T3. J. Electrochem. Soc. J. Electrochem. Soc. 2002, 149, B428–B439. [Google Scholar] [CrossRef]
- Buchheit, R.G.; Montes, L.P. Evidence for Cu ion formation by dissolution and dealloying the Al2CuMg intermetallic compound in rotating ring-disk collection experiments. J. Electrochem. Soc. 2000, 147, 119–124. [Google Scholar] [CrossRef]
- Razin, A.A.; Yari, H.; Ramezanzadeh, B. Stone-chipping and adhesion deterioration of automotive coating systems caused by outdoor weathering of underneath layers. J. Ind. Eng. Chem. 2015, 31, 291–300. [Google Scholar] [CrossRef]
- Khun, N.W.; Troconis, B.C.R.; Frankel, G.S. Effects of carbon nanotube content on adhesion strength and wear and corrosion resistance of epoxy composite coatings on AA2024-T3. Prog. Org. Coat. 2014, 77, 72–80. [Google Scholar] [CrossRef]
- Leng, A.; Streckel, H.; Stratmann, M. The delamination of polymeric coatings from steel. Part 1: Calibration of the kelvinprobe and basic delamination mechanism. Corros. Sci. 1998, 41, 547–578. [Google Scholar] [CrossRef]
- Leng, A.; Streckel, H.; Stratmann, M. The delamination of polymeric coatings from steel. Part 2: First stage of delamination, effect of type and concentration of cations on delamination, chemical analysis of the interface. Corros. Sci. 1998, 41, 579–597. [Google Scholar] [CrossRef]
- Leng, A.; Streckel, H.; Hofmann, K.; Stratmann, M. The delamination of polymeric coatings from steel part 3: Effect of the oxygen partial pressure on the delamination reaction and current distribution at the metal/polymer interface. Corros. Sci. 1998, 41, 599–620. [Google Scholar] [CrossRef]
- Williams, G.; Mcmurray, H.N. Chromate inhibition of corrosion-driven organic coating delamination studied using a scanning kelvin probe technique. J. Electrochem. Soc. 2001, 148, 141–149. [Google Scholar] [CrossRef]
- Williams, G.; Gabriel, A.; Cook, A.; Mcmurray, H.N. Dopant effects in polyaniline inhibition of corrosion-driven organic coating cathodic delamination on iron. J. Electrochem. Soc. 2006, 153, B425–B433. [Google Scholar] [CrossRef]
- Williams, G.; Mcmurray, H.N.; Loveridge, M.J. Inhibition of corrosion-driven organic coating disbondment on galvanised steel by smart release group II and Zn(II)-exchanged bentonite pigments. Electrochim. Acta 2010, 55, 1740–1748. [Google Scholar] [CrossRef]
- Santana, J.J.; Pähler, M.; Souto, R.M.; Schuhmann, W. Direct evidence of early blister formation in polymer-coated metals from exposure to chloride-containing electrolytes by alternating-current scanning electrochemical microscopy (4D AC-SECM). Electrochim. Acta 2012, 77, 60–64. [Google Scholar] [CrossRef]
- Souto, R.M.; González-García, Y.; González, S. Characterization of coating systems by scanning electrochemical microscopy: Surface topology and blistering. Prog. Org. Coat. 2009, 65, 435–439. [Google Scholar] [CrossRef]
- Souto, R.M.; González-García, Y.; Izquierdo, J.; González, S. Examination of organic coatings on metallic substrates by scanning electrochemical microscopy in feedback mode: Revealing the early stages of coating breakdown in corrosive environments. Corros. Sci. 2010, 52, 748–753. [Google Scholar] [CrossRef]
- Souto, R.M.; González-García, Y.; González, S. Evaluation of the corrosion performance of coil-coated steel sheet as studied by scanning electrochemical microscopy. Corros. Sci. 2008, 50, 1637–1643. [Google Scholar] [CrossRef]
- Nazir, M.H.; Khan, Z.A.; Stokes, K. Optimisation of interface roughness and coating thickness to maximise coating—Substrate adhesion—A failure prediction and reliability assessment modelling. J. Adhes. Sci. Technol. 2015, 29, 1415–1445. [Google Scholar] [CrossRef]
- Lee, H.; Qu, J. Microstructure, adhesion strength and failure path at a polymer/roughened metal interface. J. Adhes. Sci. Technol. 2003, 17, 195–215. [Google Scholar] [CrossRef]
- Lee, H.Y.; Kim, Y.H.; Chang, Y.K. Fracture behaviors of nanowire-coated metal/polymer systems under mode-i loading condition. Acta Mater. 2004, 52, 5815–5828. [Google Scholar] [CrossRef]
- Zhu, W.; Li, W.; Mu, S.; Yang, Y.; Zuo, X. The adhesion performance of epoxy coating on AA6063 treated in Ti/Zr/V based solution. Appl. Surf. Sci. 2016, 384, 333–340. [Google Scholar] [CrossRef]
- Friedrich, J.; Kühn, G.; Mix, R.; Fritz, A.; Schönhals, A. Polymer surface modification with monofunctional groups of variable types and densities. J. Adhes. Sci. Technol. 2003, 17, 1591–1617. [Google Scholar] [CrossRef]
- Golabadi, M.; Aliofkhazraei, M.; Toorani, M.; Sabour Rouhaghdam, A. Corrosion and cathodic disbondment resistance of epoxy coating on zinc phosphate conversion coating containing Ni2+ and Co2+. J. Ind. Eng. Chem. 2017, 47, 154–168. [Google Scholar] [CrossRef]
- Rau, S.R.; Vengadaesvaran, B.; Ramesh, K.; Arof, A.K. Studies on the adhesion and corrosion performance of an acrylic-epoxy hybrid coating. J. Adhes. 2012, 88, 282–293. [Google Scholar] [CrossRef]
- Mahdavian, M.; Naderi, R.; Peighambari, M.; Hamdipour, M.; Haddadi, S.A. Evaluation of cathodic disbondment of epoxy coating containing azole compounds. J. Ind. Eng. Chem. 2015, 21, 1167–1173. [Google Scholar] [CrossRef]
- Li, J.; Ecco, L.; Delmas, G.; Whitehouse, N.; Collins, P.; Deflorian, F.; Pan, J. In-Situ afm and eis study of waterborne acrylic latex coatings for corrosion protection of carbon steel. J. Electrochem. Soc. 2015, 162, C55–C63. [Google Scholar] [CrossRef]
- Winnik, M.A. Interdiffusion and crosslinking in thermoset latex films. J. Coat. Technol. 2002, 74, 49–63. [Google Scholar] [CrossRef]
- Taylor, J.W.; Winnik, M.A. Functional latex and thermoset latex films. J. Coat. Technol. Res. 2004, 1, 163–190. [Google Scholar] [CrossRef]
- Keddie, J.; Routh, A.F. Fundamentals of Latex Film Formation: Processes and Properties; Springer Science & Business Media: Dordrecht, The Netherlands, 2010. [Google Scholar]
- Yamabe, H. Stabilization of the polymer-metal interface. Prog. Org. Coat. 1996, 28, 9–15. [Google Scholar] [CrossRef]
- Weijde, D.H.V.D.; Westing, E.P.M.V.; Wit, J.H.W.D. Eis measurements on artificial blisters in organic coatings. Electrochim. Acta 1996, 41, 1103–1107. [Google Scholar] [CrossRef]
- Sørensen, P.A.; Dam-Johansen, K.; Weinell, C.E.; Kiil, S. Cathodic delamination of seawater-immersed anticorrosive coatings: Mapping of parameters affecting the rate. Prog. Org. Coat. 2010, 68, 283–292. [Google Scholar] [CrossRef]
- Ooij, W.J.V.; Sabata, A.; Loison, D.; Jossic, T.; Charbonnier, J.-C. Paint delamination from electrocoated automotive steels during atmospheric corrosion. Part I. Hot-dip galvanized and electrogalvanized steel. J. Adhes. Sci. Technol. 1989, 3, 1–27. [Google Scholar] [CrossRef]
- Spengler, E.; Margarit, I.C.P.; Mattos, O.R. On the relation between adherence of a paint film and corrosion protection. Electrochim. Acta 1993, 38, 1999–2003. [Google Scholar] [CrossRef]
- González, I.; Mestach, D.; Leiza, J.R.; Asua, J.M. Adhesion enhancement in waterborne acrylic latex binders synthesized with phosphate methacrylate monomers. Prog. Org. Coat. 2008, 61, 38–44. [Google Scholar] [CrossRef]
- Bierwagen, G.P. Reflections on corrosion control by organic coatings. Prog. Org. Coat. 1996, 28, 43–48. [Google Scholar] [CrossRef]















| Number | Coating Species | Coating Thickness (μm) | Surface Roughness |
|---|---|---|---|
| s-1 | styrene-acrylic | 10 | 240# (Ra0.673) |
| s-2 | styrene-acrylic | 10 | 2000# (Ra0.088) |
| s-3 | styrene-acrylic | 20 | 240# (Ra0.673) |
| t-1 | terpolymer | 10 | 240# (Ra0.673) |
| t-2 | terpolymer | 10 | 2000# (Ra0.088) |
| t-3 | terpolymer | 20 | 240# (Ra0.673) |
© 2017 by the authors. Licensee MDPI, Basel, Switzerland. This article is an open access article distributed under the terms and conditions of the Creative Commons Attribution (CC BY) license (http://creativecommons.org/licenses/by/4.0/).
Share and Cite
Wan, H.; Song, D.; Li, X.; Zhang, D.; Gao, J.; Du, C. Failure Mechanisms of the Coating/Metal Interface in Waterborne Coatings: The Effect of Bonding. Materials 2017, 10, 397. https://doi.org/10.3390/ma10040397
Wan H, Song D, Li X, Zhang D, Gao J, Du C. Failure Mechanisms of the Coating/Metal Interface in Waterborne Coatings: The Effect of Bonding. Materials. 2017; 10(4):397. https://doi.org/10.3390/ma10040397
Chicago/Turabian StyleWan, Hongxia, Dongdong Song, Xiaogang Li, Dawei Zhang, Jin Gao, and Cuiwei Du. 2017. "Failure Mechanisms of the Coating/Metal Interface in Waterborne Coatings: The Effect of Bonding" Materials 10, no. 4: 397. https://doi.org/10.3390/ma10040397
APA StyleWan, H., Song, D., Li, X., Zhang, D., Gao, J., & Du, C. (2017). Failure Mechanisms of the Coating/Metal Interface in Waterborne Coatings: The Effect of Bonding. Materials, 10(4), 397. https://doi.org/10.3390/ma10040397
