High Performance Complementary Circuits Based on p-SnO and n-IGZO Thin-Film Transistors
Abstract
:1. Introduction
2. Materials and Methods
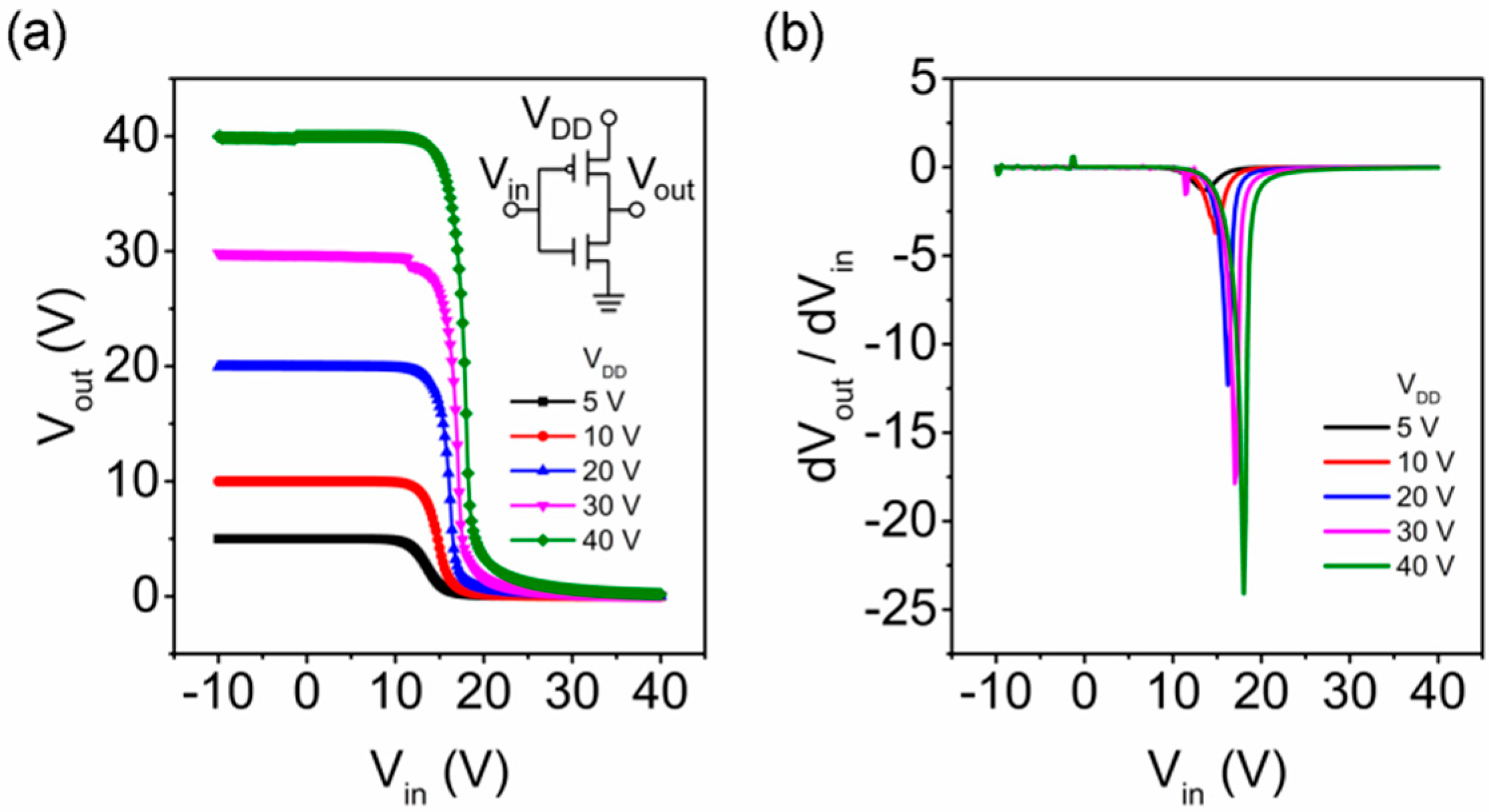
3. Results and Discussion
4. Conclusions
Supplementary Materials
Acknowledgments
Author Contributions
Conflicts of Interest
References
- Toshio, K.; Kenji, N.; Hideo, H. Present status of amorphous In–Ga–Zn–O thin-film transistors. Sci. Technol. Adv. Mater. 2010, 11, 044305. [Google Scholar]
- Fortunato, E.; Barquinha, P.; Martins, R. Oxide semiconductor thin-film transistors: A review of recent advances. Adv. Mater. 2012, 24, 2945–2986. [Google Scholar] [CrossRef] [PubMed]
- Park, J.-S.; Kim, H.; Kim, I.-D. Overview of electroceramic materials for oxide semiconductor thin film transistors. J. Electroceram. 2014, 32, 117–140. [Google Scholar] [CrossRef]
- Park, J.S.; Maeng, W.-J.; Kim, H.-S.; Park, J.-S. Review of recent developments in amorphous oxide semiconductor thin-film transistor devices. Thin Solid Films 2012, 520, 1679–1693. [Google Scholar] [CrossRef]
- Zhang, J.; Li, Y.; Zhang, B.; Wang, H.; Xin, Q.; Song, A. Flexible indium-gallium-zinc-oxide Schottky diode operating beyond 2.45 GHz. Nat. Commun. 2015, 6, 7561. [Google Scholar] [CrossRef] [PubMed]
- Zhang, J.; Wang, H.; Wilson, J.; Ma, X.; Jin, J.; Song, A. Room temperature processed ultrahigh-frequency indium-gallium–zinc-oxide Schottky diode. IEEE Electron Device Lett. 2016, 37, 389–392. [Google Scholar] [CrossRef]
- Su, L.-Y.; Huang, J. Demonstration of radio-frequency response of amorphous IGZO thin film transistors on the glass substrate. Solid-State Electron. 2015, 104, 122–125. [Google Scholar] [CrossRef]
- Togo, A.; Oba, F.; Tanaka, I.; Tatsumi, K. First-principles calculations of native defects in tin monoxide. Phys. Rev. B 2006, 74, 195128. [Google Scholar] [CrossRef]
- Ou, C.-W.; Dhananjay; Ho, Z.Y.; Chuang, Y.-C.; Cheng, S.-S.; Wu, M.-C.; Ho, K.-C.; Chu, C.-W. Anomalous p-channel amorphous oxide transistors based on tin oxide and their complementary circuits. Appl. Phys. Lett. 2008, 92, 122113. [Google Scholar] [CrossRef]
- Lee, H.-N.; Kim, H.-J.; Kim, C.-K. P-channel tin monoxide thin film transistor fabricated by vacuum thermal evaporation. Jpn. J. Appl. Phys. 2010, 49, 020202. [Google Scholar] [CrossRef]
- Liang, L.Y.; Cao, H.T.; Chen, X.B.; Liu, Z.M.; Zhuge, F.; Luo, H.; Li, J.; Lu, Y.C.; Lu, W. Ambipolar inverters using SnO thin-film transistors with balanced electron and hole mobilities. Appl. Phys. Lett. 2012, 100, 263502. [Google Scholar] [CrossRef]
- Nomura, K.; Kamiya, T.; Hosono, H. Ambipolar oxide thin-film transistor. Adv. Mater. 2011, 23, 3431–3434. [Google Scholar] [CrossRef] [PubMed]
- Ogo, Y.; Hiramatsu, H.; Nomura, K.; Yanagi, H.; Kamiya, T.; Kimura, M.; Hirano, M.; Hosono, H. Tin monoxide as an s-orbital-based p-type oxide semiconductor: Electronic structures and TFT application. Phys. Status Solidi A 2009, 206, 2187–2191. [Google Scholar] [CrossRef]
- Hsu, P.-C.; Chen, W.-C.; Tsai, Y.-T.; Kung, Y.-C.; Chang, C.-H.; Hsu, C.-J.; Wu, C.-C.; Hsieh, H,-H. Fabrication of p-type SnO thin-film transistors by sputtering with practical metal electrodes. Jpn. J. Appl. Phys. 2013, 52, 05DC07. [Google Scholar] [CrossRef]
- Caraveo-Frescas, J.A.; Nayak, P.K.; Al-Jawhari, H.A.; Granato, D.B.; Schwingenschlögl, U.; Alshareef, H.N. Record mobility in transparent p-type tin monoxide films and devices by phase engineering. ACS Nano 2013, 7, 5160–5167. [Google Scholar] [CrossRef] [PubMed]
- Hsu, P.-C.; Chen, W.-C.; Tsai, Y.-T.; Kung, Y.-C.; Chang, C.-H.; Wu, C.-C.; Hsieh, H.-H. Sputtering deposition of p-type SnO films using robust Sn/SnO2 mixed target. Thin Solid Films 2014, 555, 57–61. [Google Scholar] [CrossRef]
- Kamiya, T.; Hosono, H. Material characteristics and applications of transparent amorphous oxide semiconductors. NPG Asia Mater. 2010, 2, 15–22. [Google Scholar] [CrossRef]
- Martins, R.; Nathan, A.; Barros, R.; Pereira, L.; Barquinha, P.; Correia, N.; Costa, R.; Ahnood, A.; Ferreira, I.; Fortunato, E. Complementary metal oxide semiconductor technology with and on paper. Adv. Mater. 2011, 23, 4491–4496. [Google Scholar] [CrossRef] [PubMed]
- Sunamura, H.; Kaneko, K.; Furutake, N.; Saito, S.; Narihiro, M.; Hane, M.; Hayashi, Y. High-voltage complementary BEOL-FETs on Cu interconnects using n-type IGZO and p-type SnO dual oxide semiconductor channels. In Proceedings of the 2013 Symposium on VLSI Technology (VLSIT), Kyoto, Japan, 11–13 June 2013; pp. T250–T251.
- Li, Y.-S.; He, J.-C.; Hsu, S.-M.; Lee, C.-C.; Su, D.-Y.; Tsai, F.-Y.; Cheng, I.C. Flexible complementary oxide-semiconductor-based circuits employing n-channel ZnO and p-channel SnO thin-film transistors. IEEE Electron Device Lett. 2016, 37, 46–49. [Google Scholar] [CrossRef]
- Chiu, I.C.; Yun-Shiuan, L.; Min-Sheng, T.; Cheng, I.C. Complementary oxide-semiconductor-based circuits with n-channel ZnO and p-channel SnO thin-film transistors. IEEE Electron Device Lett. 2014, 35, 1263–1265. [Google Scholar] [CrossRef]
- Wang, Z.; Al-Jawhari, H.A.; Nayak, P.K.; Caraveo-Frescas, J.A.; Wei, N.; Hedhili, M.N.; Alshareef, H.N. Low temperature processed complementary metal oxide semiconductor (CMOS) device by oxidation effect from capping layer. Sci. Rep. 2015, 5, 9617. [Google Scholar] [CrossRef] [PubMed]
- Xu, Y.; Schoonen, M.A.A. The absolute energy positions of conduction and valence bands of selected semiconducting minerals. Am. Mineral. 2000, 85, 543–556. [Google Scholar] [CrossRef]
- Sivaramasubramaniam, R.; Muhamad, M.R.; Radhakrishna, S. Optical properties of annealed tin(ii) oxide in different ambients. Phys. Status Solidi A 1993, 136, 215–222. [Google Scholar] [CrossRef]
- Lee, D.H.; Nomura, K.; Kamiya, T.; Hosono, H. Diffusion-limited a-IGZO/Pt Schottky junction fabricated at 200 °C on a flexible substrate. IEEE Electron Device Lett. 2011, 32, 1695–1697. [Google Scholar] [CrossRef]
- Zhang, B.; Li, H.; Zhang, X.; Luo, Y.; Wang, Q.; Song, A. Performance regeneration of InGaZnO transistors with ultra-thin channels. Appl. Phys. Lett. 2015, 106, 093506. [Google Scholar] [CrossRef]
- Li, Y.; Xin, Q.; Du, L.; Qu, Y.; Li, H.; Kong, X.; Wang, Q.; Song, A. Extremely sensitive dependence of SnOx film properties on sputtering power. Sci. Rep. 2016, 6, 36183. [Google Scholar] [CrossRef] [PubMed]
- Zhang, J.; Kong, X.; Yang, J.; Li, Y.; Wilson, J.; Liu, J.; Xin, Q.; Wang, Q.; Song, A. Analysis of carrier transport and band tail states in p-type tin monoxide thin-film transistors by temperature dependent characteristics. Appl. Phys. Lett. 2016, 108, 263503. [Google Scholar] [CrossRef]
- Dhananjay; Chu, C.-W.; Ou, C.-W.; Wu, M.-C.; Ho, Z.-Y.; Ho, K.-C.; Lee, S.-W. Complementary inverter circuits based on p-SnO2 and n-In2O3 thin film transistors. Appl. Phys. Lett. 2008, 92, 232103. [Google Scholar]
- Brown, A.R.; Pomp, A.; Hart, C.M.; de Leeuw, D.M. Logic gates made from polymer transistors and their use in ring oscillators. Science 1995, 270, 972–974. [Google Scholar] [CrossRef]
- Yin, H.; Kim, S.; Kim, C.J.; Park, J.C.; Song, I.; Kim, S.-W.; Lee, S.-H.; Park, Y. Bootstrapped ring oscillator with propagation delay time below 1.0 nsec/stage by standard 0.5 um bottom-gate amorphous Ga2O3-In2O3-ZnO TFT technology. In Proceedings of the 2008 IEEE International Electron Devices Meeting (IEDM), San Francisco, CA, USA, 15–17 December 2008; pp. 1–4.




| IGZO TFT at VD = 1 V | SnO TFT at VD = −1 V | |
|---|---|---|
| µ (cm2·V−1 s−1) | 11.92 | 0.51 |
| VTH (V) | 12.21 | 20.11 |
| SS (V/dec) | 1.84 | 28.70 |
| Nt (cm−2 eV−1) | 6.41 × 1012 | 1.03 × 1013 |
| On/off ratio | 107 | 102 |
| VDD | Peak-Peak Amplitude | Measured Frequency |
|---|---|---|
| 20 V | 8.9 V | 0.97 kHz |
| 30 V | 23.0 V | 1.83 kHz |
| 40 V | 36.1 V | 2.63 kHz |
© 2017 by the authors. Licensee MDPI, Basel, Switzerland. This article is an open access article distributed under the terms and conditions of the Creative Commons Attribution (CC BY) license ( http://creativecommons.org/licenses/by/4.0/).
Share and Cite
Zhang, J.; Yang, J.; Li, Y.; Wilson, J.; Ma, X.; Xin, Q.; Song, A. High Performance Complementary Circuits Based on p-SnO and n-IGZO Thin-Film Transistors. Materials 2017, 10, 319. https://doi.org/10.3390/ma10030319
Zhang J, Yang J, Li Y, Wilson J, Ma X, Xin Q, Song A. High Performance Complementary Circuits Based on p-SnO and n-IGZO Thin-Film Transistors. Materials. 2017; 10(3):319. https://doi.org/10.3390/ma10030319
Chicago/Turabian StyleZhang, Jiawei, Jia Yang, Yunpeng Li, Joshua Wilson, Xiaochen Ma, Qian Xin, and Aimin Song. 2017. "High Performance Complementary Circuits Based on p-SnO and n-IGZO Thin-Film Transistors" Materials 10, no. 3: 319. https://doi.org/10.3390/ma10030319
APA StyleZhang, J., Yang, J., Li, Y., Wilson, J., Ma, X., Xin, Q., & Song, A. (2017). High Performance Complementary Circuits Based on p-SnO and n-IGZO Thin-Film Transistors. Materials, 10(3), 319. https://doi.org/10.3390/ma10030319
