Investigations on the Role of N2:(N2 + CH4) Ratio on the Growth of Hydrophobic Nanostructured Hydrogenated Carbon Nitride Thin Films by Plasma Enhanced Chemical Vapor Deposition at Low Temperature
Abstract
:1. Introduction
2. Experimental Methods
3. Results and Discussion
3.1. Field Emission Scanning Electron Microscopy
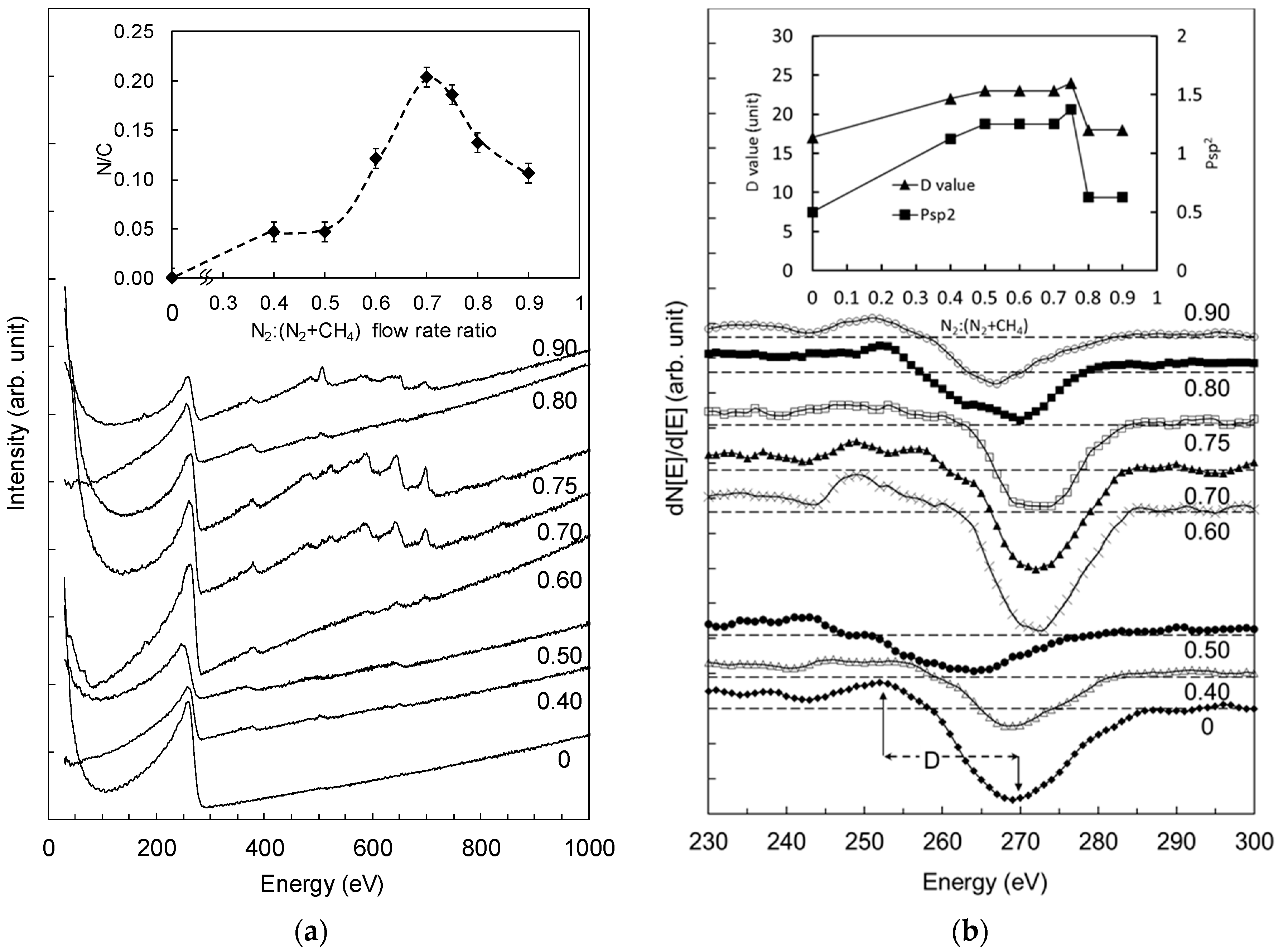
3.2. Auger Electron Spectroscopy
3.3. Raman Spectroscopy
3.4. Fourier Transform Infrared Spectroscopy
3.5. Contact Angle Measurement
4. Conclusions
Acknowledgments
Author Contributions
Conflicts of Interest
References
- Hu, J.; Yang, P.; Lieber, C.M. Nitrogen driven structural transformation in carbon nitride materials. Appl. Surf. Sci. 1998, 127, 569–573. [Google Scholar] [CrossRef]
- Wei, J.; Hing, P. Electrical properties of reactively sputtered carbon nitride films. Thin Solid Films 2002, 410, 21–27. [Google Scholar] [CrossRef]
- Lee, S.; Choi, S.; Park, K.H.; Chae, K.W.; Cho, J.B.; Ahn, Y.; Park, J.-Y.; Koh, K.H. Hot-filament CVD synthesis and application of carbon nanostructures. Thin Solid Films 2008, 516, 700–705. [Google Scholar] [CrossRef]
- Zhang, L.; Chen, X.; Guan, J.; Jiang, Y.; Hou, T.; Mu, X. Facile synthesis of phosphorus doped graphitic carbon nitride polymers with enhanced visible-light photocatalytic activity. Mater. Res. Bull. 2013, 48, 3485–3491. [Google Scholar] [CrossRef]
- Marty, L.; Iaia, A.; Faucher, M.; Bouchiat, V.; Naud, C.; Chaumont, M.; Fournier, T.; Bonnot, A.M. Self-assembled single wall carbon nanotube field effect transistors and AFM tips prepared by hot filament assisted CVD. Thin Solid Films 2006, 501, 299–302. [Google Scholar] [CrossRef]
- Suryavanshi, U.B.; Bhosale, C.H. Bimetallic and trimetallic catalyzed carbon nanotubes for aqueous H2, Cl2 fuel cell electrodes. J. Alloys Compd. 2009, 476, 697–704. [Google Scholar] [CrossRef]
- Liu, S.; Shen, Q.; Cao, Y.; Gan, L.; Wang, Z.; Steigerwald, M.L.; Guo, X. Chemical functionalization of single-walled carbon nanotube field-effect transistors as switches and sensors. Coord. Chem. Rev. 2010, 254, 1101–1116. [Google Scholar] [CrossRef]
- Bondavalli, P.; Legagneux, P.; Pribat, D. Carbon nanotubes based transistors as gas sensors: State of the art and critical review. Sens. Actuator B Chem. 2009, 140, 304–318. [Google Scholar] [CrossRef]
- Jiang, T.; Jiang, G.; Huang, Q.; Zhou, H. High-sensitive detection of dopamine using graphitic carbon nitride by electrochemical method. Mater. Res. Bull. 2016, 74, 271–277. [Google Scholar] [CrossRef]
- Lee, C.; Baik, S. Vertically-aligned carbon nano-tube membrane filters with superhydrophobicity and superoleophilicity. Carbon 2010, 48, 2192–2197. [Google Scholar] [CrossRef]
- Modabber, A.A.; Kameli, P.; Ranjbar, M.; Salamati, H.; Jannesari, M. Correlations between microstructure and hydrophobicity properties of pulsed laser deposited diamond-like carbon films. Superlattices Microstruct. 2015, 81, 64–79. [Google Scholar] [CrossRef]
- Wei, D.; Liu, Y.; Wang, Y.; Zhang, H.; Huang, L.; Yu, G. Synthesis of N-doped graphene by chemical vapor deposition and its electrical properties. Nano Lett. 2009, 9, 1752–1758. [Google Scholar] [CrossRef] [PubMed]
- Chen, Y.; Zhang, Y.; Shi, L.; Jing, L.; Xin, Y.; Yang, T.; Guo, Z. Transparent superhydrophobic/superhydrophilic coatings for self-cleaning and anti-fogging. Appl. Phys. Lett. 2012, 101, 033701. [Google Scholar] [CrossRef]
- Banerjee, I.; Kumari, N.; Singh, A.K.; Kumar, M.; Laha, P.; Panda, A.; Mahapatra, S. Influence of RF power on the electrical and mechanical properties of nano-structured carbon nitride thin films deposited by RF magnetron sputtering. Thin Solid Films 2010, 518, 7240–7244. [Google Scholar] [CrossRef]
- Glerup, M.; Steinmetz, J.; Samaille, D.; Stéphan, O.; Enouz, S.; Loiseau, A.; Bernier, P. Synthesis of N-doped SWNT using the arc-discharge procedure. Chem. Phys. Lett. 2004, 387, 193–197. [Google Scholar] [CrossRef]
- Yang, L.; May, P.W.; Yin, L.; Brown, R.; Scott, T.B. Direct growth of highly organized crystalline carbon nitride from liquid-phase pulsed laser ablation. Chem. Mater. 2006, 18, 5058–5064. [Google Scholar] [CrossRef]
- Dang, C.; Wang, B. Study on structures and photoluminescence of nitrogenated carbon nanotip arrays synthesized by plasma assisted hot filament chemical vapor deposition. Appl. Surf. Sci. 2012, 258, 6692–6698. [Google Scholar] [CrossRef]
- Lai, S.H.; Chen, Y.L.; Chan, L.H.; Pan, Y.M.; Liu, X.W.; Shih, H.C. The crystalline properties of carbon nitride nanotubes synthesized by electron cyclotron resonance plasma. Thin Solid Films 2003, 444, 38–43. [Google Scholar] [CrossRef]
- Céspedes, J.; Corbella, C.; Bertran, E.; Viera, G.; Galaán, M. Characteristics of Carbon and Carbon-Nitride Nanostructures Produced by Plasma Deposition from Ammonia and Methane or Acetylene. Fuller. Nanotub. Carbon Nanostruct. 2005, 13, 447–455. [Google Scholar] [CrossRef]
- Ritikos, R.; Rahman, S.A.; Gani, S.M.A.; Muhamad, M.R.; Yap, Y.K. Catalyst-free Formation of Vertically-alinged Carbon Nanorods Induced by Nitrogen Incorporation. Carbon 2011, 49, 1842–1848. [Google Scholar] [CrossRef]
- Turgeon, S.; Paynter, R.W. On the determination of carbon sp2/sp3 ratios in polystyrene–polyethylene copolymers by photoelectron spectroscopy. Thin Solid Films 2001, 394, 43–47. [Google Scholar] [CrossRef]
- Popov, C.; Plass, M.F.; Zambov, L.; Bulir, J.; Delplancke-Ogletree, M.-P.; Kulisch, W. Physical properties of carbon nitride films synthesized using atomic transport reactions. Surf. Coat. Technol. 2000, 125, 278–283. [Google Scholar] [CrossRef]
- Lin, H.-C.; Shiue, S.-T.; Cheng, Y.-H.; Yang, T.-J.; Wu, T.-C.; Lin, H.-Y. Characteristics of carbon coatings on optical fibers prepared by plasma enhanced chemical vapor deposition using different argon/methane ratios. Carbon 2007, 45, 2004–2010. [Google Scholar] [CrossRef]
- Cheng, Y.H.; Tay, B.K.; Lau, S.P.; Shi, X.; Qiao, X.L.; Chen, J.G.; Wu, Y.P.; Xie, C.S. Raman spectroscopy of carbon nitride films deposited using the filtered cathodic vacuum-arc technique combined with a radio-frequency nitrogen-ion beam. Appl. Phys. A 2001, 73, 341–345. [Google Scholar] [CrossRef]
- Ferrari, A.C.; Robertson, J. Resonant Raman spectroscopy of disordered, amorphous, and diamond like carbon. Phys. Rev. B 2001, 64, 075414. [Google Scholar] [CrossRef]
- Ferrari, A.C.; Rodil, S.E.; Robertson, J. Resonant Raman spectra of amorphous carbon nitrides: The G peak dispersion. Diam. Relat. Mater. 2003, 12, 905–910. [Google Scholar] [CrossRef]
- Kovács, G.J.; Veres, M.; Koós, M.; Radnóczi, G. Raman spectroscopic study of magnetron sputtered carbon–nickel and carbon nitride–nickel composite films: The effect of nickel on the atomic structure of the C/CNx matrix. Thin Solid Films 2008, 516, 7910–7915. [Google Scholar] [CrossRef]
- Motta, E.F.; Pereyra, I. Amorphous hydrogenated carbon-nitride films prepared by RF-PECVD in methane–nitrogen atmospheres. J. Non-Cryst. Solids 2004, 338–340, 525–529. [Google Scholar] [CrossRef]
- Mutsukura, N.; Akita, K. Photoluminescence and infra-red absorption of hydrogenated amorphous CNx films. Diam. Relat. Mater. 2000, 9, 761–764. [Google Scholar] [CrossRef]
- Khanis, N.H.; Ritikos, R.; Othman, M.; Rashid, N.M.A.; Gani, S.M.A.; Rahman, S.A. Catalyst free carbon nitride nanostructures prepared by rf-PECVD technique on hydrogenated amorphous carbon template. Mater. Chem. Phys. 2013, 138, 514–518. [Google Scholar] [CrossRef]
- Mutsukura, N.; Akita, K. Deposition of hydrogenated amorphous CNx film in CH4/N2 RF discharge. Diamond Relat. Mater. 1999, 8, 1720–1723. [Google Scholar] [CrossRef]
- Kundoo, S.; Chattopadhyay, K.K.; Banerjee, A.N.; Nandy, S.K. Synthesis and optical characterization of amorphous carbon nitride thin films by hot filament assisted RF plasma CVD. Vacuum 2003, 69, 495–500. [Google Scholar] [CrossRef]
- Kamal, S.A.A.; Ritikos, R.; Rahman, S.A. Wetting behaviour of carbon nitride nanostructures grown by plasma enhanced chemical vapor deposition technique. Appl. Surf. Sci. 2015, 328, 146–153. [Google Scholar] [CrossRef]









© 2017 by the authors. Licensee MDPI, Basel, Switzerland. This article is an open access article distributed under the terms and conditions of the Creative Commons Attribution (CC BY) license ( http://creativecommons.org/licenses/by/4.0/).
Share and Cite
Khanis, N.H.; Ritikos, R.; Ahmad Kamal, S.A.; Abdul Rahman, S. Investigations on the Role of N2:(N2 + CH4) Ratio on the Growth of Hydrophobic Nanostructured Hydrogenated Carbon Nitride Thin Films by Plasma Enhanced Chemical Vapor Deposition at Low Temperature. Materials 2017, 10, 102. https://doi.org/10.3390/ma10020102
Khanis NH, Ritikos R, Ahmad Kamal SA, Abdul Rahman S. Investigations on the Role of N2:(N2 + CH4) Ratio on the Growth of Hydrophobic Nanostructured Hydrogenated Carbon Nitride Thin Films by Plasma Enhanced Chemical Vapor Deposition at Low Temperature. Materials. 2017; 10(2):102. https://doi.org/10.3390/ma10020102
Chicago/Turabian StyleKhanis, Noor Hamizah, Richard Ritikos, Shafarina Azlinda Ahmad Kamal, and Saadah Abdul Rahman. 2017. "Investigations on the Role of N2:(N2 + CH4) Ratio on the Growth of Hydrophobic Nanostructured Hydrogenated Carbon Nitride Thin Films by Plasma Enhanced Chemical Vapor Deposition at Low Temperature" Materials 10, no. 2: 102. https://doi.org/10.3390/ma10020102
APA StyleKhanis, N. H., Ritikos, R., Ahmad Kamal, S. A., & Abdul Rahman, S. (2017). Investigations on the Role of N2:(N2 + CH4) Ratio on the Growth of Hydrophobic Nanostructured Hydrogenated Carbon Nitride Thin Films by Plasma Enhanced Chemical Vapor Deposition at Low Temperature. Materials, 10(2), 102. https://doi.org/10.3390/ma10020102

