Fiber-Optic Thermal Sensor for TiN Film Crack Monitoring
Abstract
:1. Introduction
2. Working Principle of TiN-Coated FBG Temperature Sensors
2.1. Fabrication of TiN-Coated FBG Temperature Sensors
2.2. Principle of TiN-Coated FBG Temperature Sensors
3. Experiment
3.1. Measurement of TiN-Coated FBG Sensor
3.2. Simulation of TiN-Coated FBG Sensor
3.2.1. Thermal-Structure Interaction of TiN-Coated FBG
3.2.2. Numerical Modeling of Spectral Amplitude Response in FBG
4. Results and Discussion
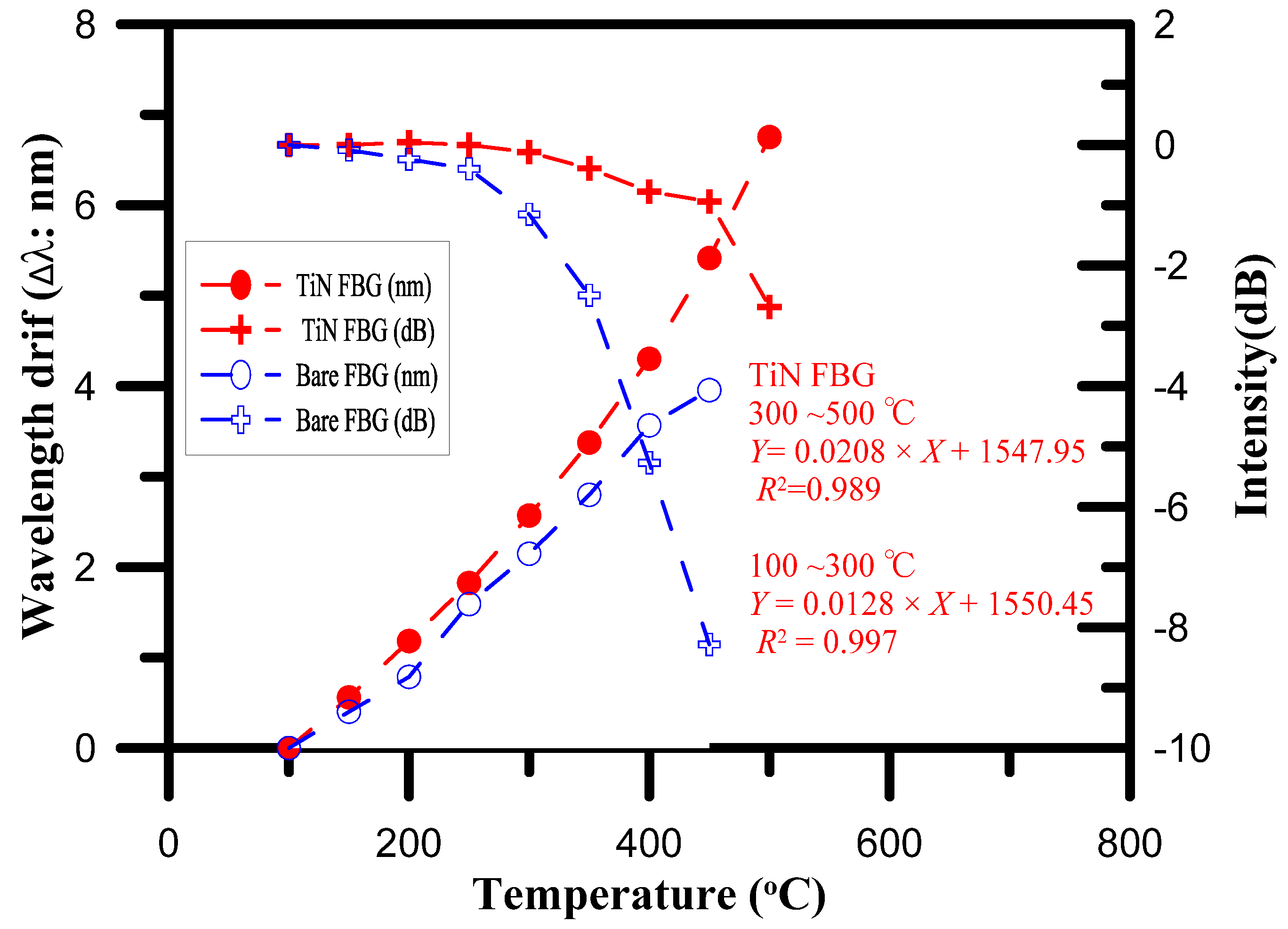
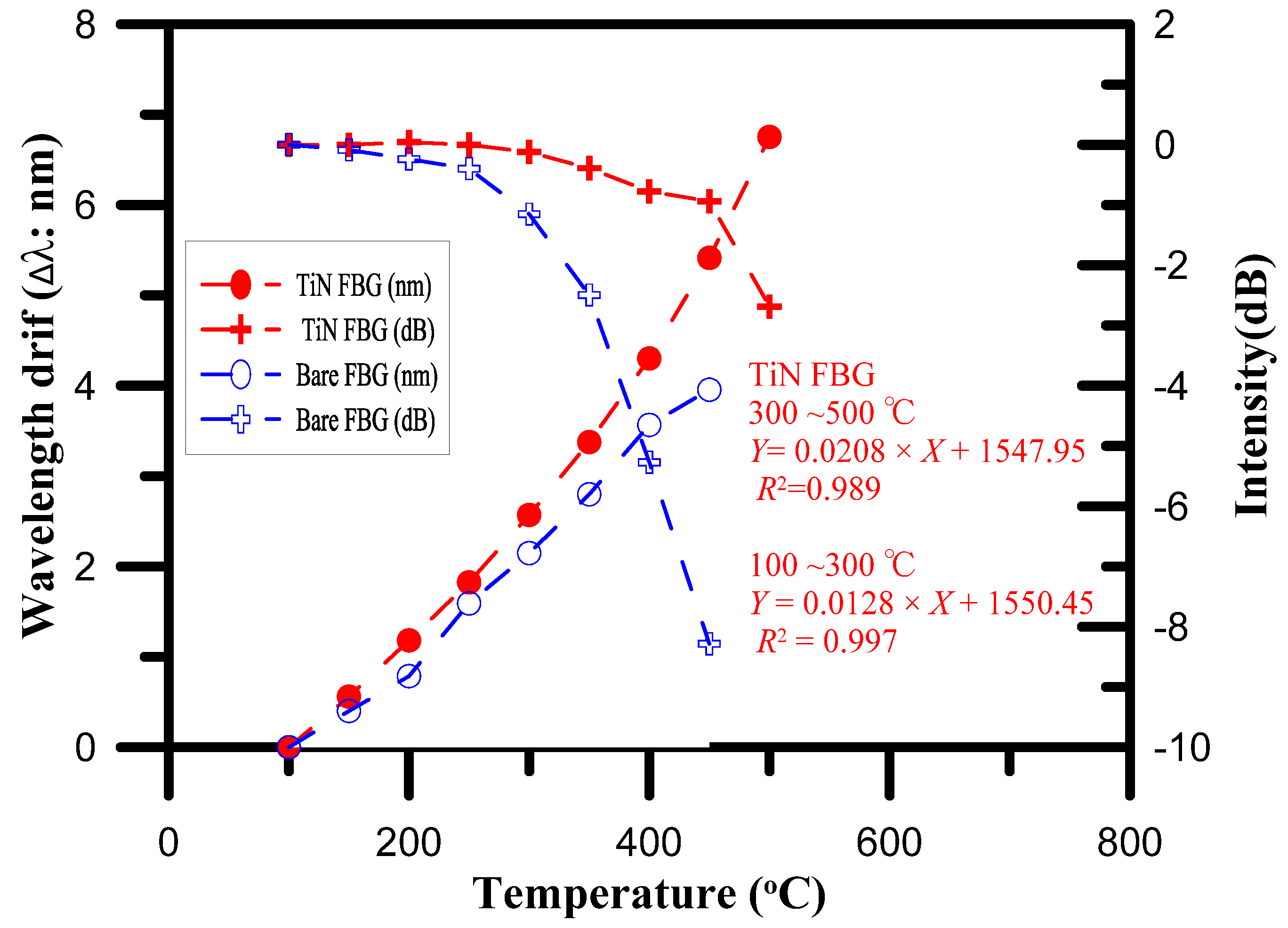
4.1. Temperature Test of the TiN-Coated FBG Sensor
4.2. Analysis Using the FEM
5. Conclusions
Acknowledgments
Author Contributions
Conflicts of Interest
References
- Sias, F.R. A resistance-temperature detector for nuclear reactor service. Trans. Am. Inst. Electr. Eng. Part I Commun. Electron. 1957, 76, 363–365. [Google Scholar] [CrossRef]
- Montalvo, C.; García-Berrocal, A. Improving the in situ measurement of RTD response times through discrete wavelet transform in NPP. Ann. Nucl. Energy 2015, 80, 114–122. [Google Scholar] [CrossRef]
- Nicholas, J.V.; White, D.R. Traceable Temperatures: An Introduction to Temperature Measurement and Calibration, 2nd ed.; John Wiley & Sons Ltd: West Sussex, England, 2001; p. 444. [Google Scholar]
- Bogdan, M.; Vinţan, M. Selecting the Right Sensor for Temperature Measurement; University of Lucian Blaga Press: Sibiu, Romania, 2003. [Google Scholar]
- Hsieh, T.-S.; Chiang, C.-C.; Lin, C.-H. A composite material leaf spring with fiber Bragg Grating as a sensor system for dynamic vehicle loading. Sens. Mater. 2014, 26, 333–338. [Google Scholar]
- Chiang, C.-C.; Chang, H.-J.; Kuo, J.-S. Novel fabrication method of corrugated long-period fiber gratings by thick SU-8 photoresist and wet-etching technique. J. Micro/Nanolithogr. MEMS MOEMs 2010, 9, 033007. [Google Scholar] [CrossRef]
- Mihailov, S.J. Fiber Bragg Grating sensors for harsh environments. Sensors 2012, 12, 1898–1918. [Google Scholar] [CrossRef] [PubMed]
- Rajini-Kumar, R.; Suesser, M.K.; Narayankhedkar, G.; Krieg, G.; Atrey, M.D. Performance evaluation of metal-coated fiber Bragg Grating sensors for sensing cryogenic temperature. Cryogenics 2008, 48, 142–147. [Google Scholar] [CrossRef]
- Hsiao, T.-C.; Hsieh, T.-S.; Chen, Y.-C.; Huang, S.-C.; Chiang, C.-C. Metal-coated fiber Bragg Grating for dynamic temperature sensor. Optik 2016, 127, 10740–10745. [Google Scholar] [CrossRef]
- Zhang, B.; Kahrizi, M. High-temperature Bragg Grating waveguide sensor. In Proceedings of the International Conference on MEMS, NANO and Smart Systems, Banff, AB, Canada, 20–23 July 2003; IEEE: Banff, AB, Canada, 2003; pp. 400–404. [Google Scholar]
- Zhang, B.; Kahrizi, M. High-temperature resistance fiber Bragg Grating temperature sensor fabrication. IEEE Sens. J. 2007, 7, 586–591. [Google Scholar] [CrossRef]
- Sharma, R.; Rohilla, R.; Sharma, M.; Manjunath, D.T.C. Design & simulation of optical fiber Bragg Grating pressure sensor for minimum attenuation criteria. JATIT 2005, 15, 515–530. [Google Scholar]
- Agarwal, S.; Mishra, V. Characterization of fiber Bragg Grating for maximum reflectivity based on modulation depth of refractive index. Optik 2014, 125, 5192–5195. [Google Scholar] [CrossRef]
- Mishra, V.; Lohar, M.; Amphawan, A. Improvement in temperature sensitivity of FBG by coating of different materials. Optik 2016, 127, 825–828. [Google Scholar] [CrossRef]
- Hsieh, T.-S.; Chen, Y.-C.; Chiang, C.-C. Analysis and optimization of thermodiffusion of an FBG sensor in the gas nitriding process. Micromachines 2016, 7, 227. [Google Scholar] [CrossRef]
- Bai, W.; Yang, M.; Hu, C.; Dai, J.; Zhong, X.; Huang, S.; Wang, G. Ultra-weak fiber Bragg Grating sensing network coated with sensitive material for multi-parameter measurements. Sensors 2017, 17, 1509. [Google Scholar] [CrossRef] [PubMed]
- Mayrhofer, P.H.; Mitterer, C.; Hultman, L.; Clemens, H. Microstructural design of hard coatings. Prog. Mater. Sci. 2006, 51, 1032–1114. [Google Scholar] [CrossRef]
- Kashyap, R. Principles of Optical Fiber Grating Sensors, 2nd ed.; Academic Press: Boston, MA, USA, 2010; pp. 441–502. [Google Scholar]
- Chen, H.-Y.; Lu, F.-H. Oxidation behavior of titanium nitride films. J. Vac. Sci. Technol. A 2005, 23, 1006–1009. [Google Scholar] [CrossRef]










| Material | Elastic | Poisson’s | Coefficient of Thermal Expansion |
|---|---|---|---|
| TiN films | 390 GPa | 0.25 | 5.85 × 10−6 |
| FBG | 73 GPa | 0.165 | 0.55 × 10−6 |
| Simulation Tool | GratingMOD | Simulation Tool | GratingMOD |
|---|---|---|---|
| Grating type | Volume index | Width | 9.6 µm |
| Structure type | Fiber | ModDelta | 0.0003 |
| Index profile | Step index | Delta | 0.008 |
| Length | 5000 µm | Dn/dt () | 7.18 × 10−6 |
| Height | 9.6 µm | DΛ/dt (α) | 2.31 × 10−6 |
© 2017 by the authors. Licensee MDPI, Basel, Switzerland. This article is an open access article distributed under the terms and conditions of the Creative Commons Attribution (CC BY) license (http://creativecommons.org/licenses/by/4.0/).
Share and Cite
Hsu, H.-C.; Hsieh, T.-S.; Chen, Y.-C.; Chen, H.-E.; Tsai, L.; Chiang, C.-C. Fiber-Optic Thermal Sensor for TiN Film Crack Monitoring. Materials 2017, 10, 1297. https://doi.org/10.3390/ma10111297
Hsu H-C, Hsieh T-S, Chen Y-C, Chen H-E, Tsai L, Chiang C-C. Fiber-Optic Thermal Sensor for TiN Film Crack Monitoring. Materials. 2017; 10(11):1297. https://doi.org/10.3390/ma10111297
Chicago/Turabian StyleHsu, Hsiang-Chang, Tso-Sheng Hsieh, Yi-Chian Chen, Hung-En Chen, Liren Tsai, and Chia-Chin Chiang. 2017. "Fiber-Optic Thermal Sensor for TiN Film Crack Monitoring" Materials 10, no. 11: 1297. https://doi.org/10.3390/ma10111297
APA StyleHsu, H.-C., Hsieh, T.-S., Chen, Y.-C., Chen, H.-E., Tsai, L., & Chiang, C.-C. (2017). Fiber-Optic Thermal Sensor for TiN Film Crack Monitoring. Materials, 10(11), 1297. https://doi.org/10.3390/ma10111297

