Remineralization Property of an Orthodontic Primer Containing a Bioactive Glass with Silver and Zinc
Abstract
:1. Introduction
2. Results
2.1. Characteristic of BAG
2.2. Mechanical Properties
2.2.1. Microhardness
2.2.2. Shear Bond Strength
2.2.3. Adhesive Remnant Index (ARI) Score
2.3. Biological Properties
2.3.1. Cell Viability Test
2.3.2. Antibacterial Properties
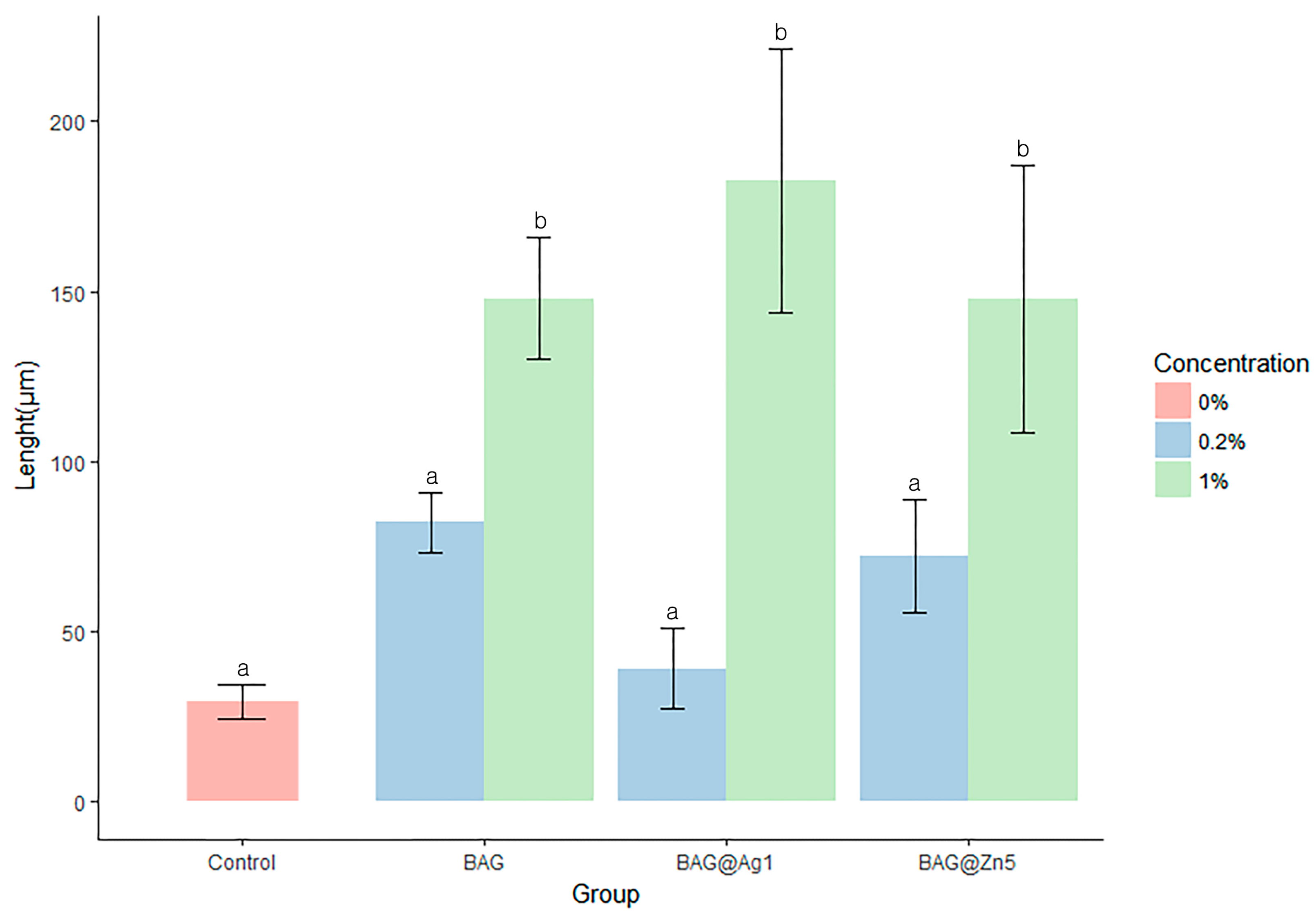
2.4. Remineralization Test
3. Discussion
4. Materials and Methods
4.1. Synthesis of Ag- and Zn-Doped BAGs
4.2. Characterization of the Nano-BAGs
4.3. Mechanical Properties
4.3.1. Disk Preparation for Mechanical Properties
4.3.2. Microhardness
4.3.3. Shear Bond Strength
4.4. Biological Properties
4.4.1. Cell Viability Assay
4.4.2. Antibacterial Test
4.5. Remineralization Test
4.6. Statistical Analysis
5. Conclusions
Acknowledgments
Author Contributions
Conflicts of Interest
References
- Bishara, S.E.; Ostby, A.W. White Spot Lesions: Formation, Prevention, and Treatment. Semin. Orthod. 2008, 14, 174–182. [Google Scholar] [CrossRef]
- Willmot, D. White Spot Lesions after Orthodontic Treatment. Semin. Orthod. 2008, 14, 209–219. [Google Scholar] [CrossRef]
- Khalaf, K. Factors Affecting the Formation, Severity and Location of White Spot Lesions during Orthodontic Treatment with Fixed Appliances. J. Oral Maxillofac. Res. 2014, 5, e4. [Google Scholar] [CrossRef] [PubMed]
- Knösel, M.; Bojes, M.; Jung, K.; Ziebolz, D.; Renger, S. Increased susceptibility for white spot lesions by surplus orthodontic etching exceeding bracket base area. Am. J. Orthod. Dentofac. Orthop. 2012, 141, 574–582. [Google Scholar] [CrossRef] [PubMed]
- Sundararaj, D.; Venkatachalapathy, S.; Tandon, A.; Pereira, A. Critical evaluation of incidence and prevalence of white spot lesions during fixed orthodontic appliance treatment: A meta-analysis. J. Int. Soc. Prev. Community Dent. 2015, 5, 433–439. [Google Scholar] [PubMed]
- Zhang, D.; Leppäranta, O.; Munukka, E.; Ylänen, H.; Viljanen, M.K.; Eerola, E.; Hupa, M.; Hupa, L. Antibacterial effects and dissolution behavior of six bioactive glasses. J. Biomed. Mater. Res. A 2010, 93, 475–483. [Google Scholar] [CrossRef] [PubMed]
- Abbasi, Z.; Bahrololoom, M.E.; Shariat, M.H.; Bagheri, R. Bioactive Glasses in Dentistry: A Review. J. Dent. Biomater. 2015, 2, 1–9. [Google Scholar]
- Fernando, D.; Attik, N.; Pradelle-Plasse, N.; Jackson, P.; Grosgogeat, B.; Colon, P. Bioactive glass for dentin remineralization: A systematic review. Mater. Sci. Eng. C Mater. Biol. Appl. 2017, 7, 1369–1377. [Google Scholar] [CrossRef] [PubMed]
- Kohda, N.; Iijima, M.; Kawaguchi, K.; Toshima, H.; Muguruma, T.; Endo, K.; Mizoguchi, I. Inhibition of enamel demineralization and bond-strength properties of bioactive glass containing 4-META/MMA-TBB-based resin adhesive. Eur. J. Oral Sci. 2015, 123, 202–207. [Google Scholar] [CrossRef] [PubMed]
- Ahn, S.J.; Lee, S.J.; Kook, J.K.; Lim, B.S. Experimental antimicrobial orthodontic adhesives using nanofillers and silver nanoparticles. Dent. Mater. 2009, 25, 206–213. [Google Scholar] [CrossRef] [PubMed]
- Gargiulo, N.; Cusano, A.M.; Causa, F.; Caputo, D.; Netti, P.A. Silver-containing mesoporous bioactive glass with improved antibacterial properties. J. Mater. Sci. Mater. Med. 2013, 24, 2129–2135. [Google Scholar] [CrossRef] [PubMed]
- Toledano, M.; Aguilera, F.S.; Osorio, E.; Cabello, I.; Toledano-Osorio, M.; Osorio, R. Bond Strength and Bioactivity of Zn-Doped Dental Adhesives Promoted by Load Cycling. Microsc. Microanal. 2015, 21, 214–230. [Google Scholar] [CrossRef] [PubMed]
- Fatima, T.; Rahim, Z.B.H.A.; Lin, C.W.; Qamar, Z. Zinc: A precious trace element for oral health care? J. Pak. Med. Assoc. 2016, 66, 1019–1023. [Google Scholar] [PubMed]
- Palza, H.; Escobar, B.; Bejarano, J.; Bravo, D.; Diaz-Dosque, M.; Perez, J. Designing antimicrobial bioactive glass materials with embedded metal ions synthesized by the sol–gel method. Mater. Sci. Eng. C 2013, 33, 3795–3801. [Google Scholar] [CrossRef] [PubMed]
- Feng, Q.L.; Wu, J.; Chen, G.Q.; Cui, F.Z.; Kim, T.N.; Kim, J.O. A mechanistic study of the antibacterial effect of silver ions on Escherichia coli and Staphylococcus aureus. J. Biomed. Mater. Res. 2000, 15, 662–668. [Google Scholar] [CrossRef]
- Degrazia, F.W.; Leitune, V.C.; Garcia, I.M.; Arthur, R.A.; Samuel, S.M.; Collares, F.M. Effect of silver nanoparticles on the physicochemical and antimicrobial properties of an orthodontic adhesive. J. Appl. Oral Sci. 2016, 24, 404–410. [Google Scholar] [CrossRef] [PubMed]
- Cheng, L.; Zhang, K.; Weir, M.D.; Liu, H.; Zhou, X.; Xu, H.H. Effects of antibacterial primers with quaternary ammonium and nano-silver on Streptococcus mutans impregnated in human dentin blocks. Dent. Mater. 2013, 29, 462–472. [Google Scholar] [CrossRef] [PubMed]
- Blöcher, S.; Frankenberger, R.; Hellak, A.; Schauseil, M.; Roggendorf, M.J.; Korbmacher-Steiner, H.M. Effect on enamel shear bond strength of adding microsilver and nanosilver particles to the primer of an orthodontic adhesive. BMC Oral Health 2015, 15, 42744. [Google Scholar] [CrossRef] [PubMed]
- Eliades, T.; Voutsa, D.; Sifakakis, I.; Makou, M.; Katsaros, C. Release of bisphenol-A from a light-cured adhesive bonded to lingual fixed retainers. Am. J. Orthod. Dentofac. Orthop. 2011, 139, 192–195. [Google Scholar] [CrossRef] [PubMed]
- Brown, M.L.; Davis, H.B.; Tufekci, E.; Crowe, J.J.; Covell, D.A.; Mitchell, J.C. Ion release from a novel orthodontic resin bonding agent for the reduction and/or prevention of white spot lesions. An in vitro study. Angle Orthod. 2011, 81, 1014–1020. [Google Scholar] [CrossRef] [PubMed]
- Rosenbloom, R.G.; Tinanoff, N. Salivary Streptococcus mutans levels in patients before, during, and after orthodontic treatment. Am. J. Orthod. Dentofac. Orthop. 1991, 100, 35–37. [Google Scholar] [CrossRef]
- Hojati, S.T.; Alaghemand, H.; Hamze, F.; Babaki, F.A.; Rajab-Nia, R.; Rezvani, M.B.; Kaviani, M.; Atai, M. Antibacterial, physical and mechanical properties of flowable resin composites containing zincoxide nanoparticles. Dent. Mater. 2013, 29, 395–505. [Google Scholar]
- Manfred, L.; Covell, D.A.; Crowe, J.J.; Tufekci, E.; Mitchell, J.C. A novel biomimetic orthodontic bonding agent helps prevent white spot lesions adjacent to brackets. Angle Orthod. 2013, 83, 97–103. [Google Scholar] [CrossRef] [PubMed]
- Mohammed, N.R.; Mneimne, M.; Hill, R.G.; Al-Jawad, M.; Lynch, R.J.; Anderson, P. Physical chemical effects of zinc on in vitro enamel demineralization. J. Dent. 2014, 42, 1096–1104. [Google Scholar] [CrossRef] [PubMed]
- Lynch, R.J. Zinc in the mouth, its interactions with dental enamel and possible effects on caries; a review of the literature. Int. Dent. J. 2011, 61, 46–54. [Google Scholar] [CrossRef] [PubMed]
- Osorio, R.; Osorio, E.; Cabello, I.; Toledano, M. Zinc induces apatite and scholzite formation during dentin remineralization. Caries Res. 2014, 48, 276–290. [Google Scholar] [CrossRef] [PubMed]
- Wei, X.; Jiang, C. Chang Preparation and characterization of nano-bioactive-glasses (NBG) by a quick alkali-mediated sol–gel method. Mater. Lett. 2007, 61, 3251–3253. [Google Scholar]
- Toda, S.; Featherstone, J.D. Effects of fluoride dentifrices on enamel lesion formation. J. Dent. Res. 2008, 87, 224–247. [Google Scholar] [CrossRef] [PubMed]
- Paschos, E.; Kleinschrodt, T.; Clementino-Luedemann, T.; Huth, K.C.; Hickel, R.; Kunzelmann, K.H.; Rudzki-Janson, I. Effect of different bonding agents on prevention of enamel demineralization around orthodontic brackets. Am. J. Orthod. Dentofac. Orthop. 2009, 135, 603–612. [Google Scholar] [CrossRef] [PubMed]









| ARI (%) | Control | BAG | BAG@Ag1 | BAG@Zn5 | Significant | |||
|---|---|---|---|---|---|---|---|---|
| 0.2% | 0.5% | 0.2% | 0.5% | 0.2% | 0.5% | |||
| 1 | 0 | 0 | 0 | 0 | 0 | 0 | 0 | Not significant |
| 2 | 3 | 2 | 2 | 0 | 2 | 0 | 2 | |
| 3 | 1 | 2 | 2 | 5 | 3 | 5 | 3 | |
| 4 | 1 | 1 | 1 | 0 | 0 | 0 | 0 | |
| 5 | 0 | 0 | 0 | 0 | 0 | 0 | 0 | |
| Group | 24 h | 48 h | Significance | |||||||
|---|---|---|---|---|---|---|---|---|---|---|
| Optical Density (Absorbance at 650 nm) | Optical Density (Absorbance at 650 nm) | |||||||||
| Negative control † (sterile saline) | 0.28 | ± | 0.02 | a | 0.78 | ± | 0.07 | a | p < 0.001 ‡ | |
| BAG | 0.2% | 0.01 | ± | 0.00 | b | 0.01 | ± | 0.00 | b | |
| 1% | 0.01 | ± | 0.00 | b | 0.01 | ± | 0.00 | b | ||
| BAG@Ag1 | 0.2% | 0.01 | ± | 0.00 | b | 0.02 | ± | 0.01 | b | |
| 1% | 0.01 | ± | 0.00 | b | 0.04 | ± | 0.02 | b | ||
| BAG@Zn5 | 0.2% | 0.01 | ± | 0.01 | b | 0.02 | ± | 0.01 | b | |
| 1% | 0.01 | ± | 0.00 | b | 0.01 | ± | 0.00 | b | ||
| Group | Composition (wt %) | ||||
|---|---|---|---|---|---|
| SiO2 | CaO | P2O5 | Ag2O | ZnO | |
| BAG | 58 | 33 | 9 | 0 | 0 |
| BAG@Ag1 | 58 | 32 | 9 | 1 | 0 |
| BAG@Zn5 | 58 | 28 | 9 | 0 | 5 |
| Group | Composition (wt %) in Orthodontic Bonding Primer | |||
|---|---|---|---|---|
| BAG | Silver | Zinc | ||
| Control | 0 | 0 | 0 | |
| BAG | 0.2% | 0.200 | 0 | 0 |
| 1.0% | 1.000 | 0 | 0 | |
| BAG@Ag1 | 0.2% | 0.198 | 0.002 | 0 |
| 1.0% | 0.990 | 0.010 | 0 | |
| BAG@Zn5 | 0.2% | 0.190 | 0 | 0.010 |
| 1.0% | 0.950 | 0 | 0.500 | |
| Solution | Composition | |
|---|---|---|
| Demineralizing solution (pH 4.4) | Calcium 2.0 mmol/L | Ca(NO3)2·4H2O |
| Phosphate 2.0 mmol/L | KH2PO4 | |
| Acetic acid 75.0 mmol/L | CH3COOH | |
| Remineralizing solution (pH 7.0) | Calcium 1.5 mmol/L | Ca(NO3)2·4H2O |
| Phosphate 0.9 mmol/L | KH2PO4 | |
| KCl 130.0 mmol/L | KCl | |
| Sodium cacodylate 20.2 mmol/L | NaC2H6AsO2·3H2O | |
© 2017 by the authors. Licensee MDPI, Basel, Switzerland. This article is an open access article distributed under the terms and conditions of the Creative Commons Attribution (CC BY) license (http://creativecommons.org/licenses/by/4.0/).
Share and Cite
Lee, S.-M.; Kim, I.-R.; Park, B.-S.; Lee, D.J.; Ko, C.-C.; Son, W.-S.; Kim, Y.-I. Remineralization Property of an Orthodontic Primer Containing a Bioactive Glass with Silver and Zinc. Materials 2017, 10, 1253. https://doi.org/10.3390/ma10111253
Lee S-M, Kim I-R, Park B-S, Lee DJ, Ko C-C, Son W-S, Kim Y-I. Remineralization Property of an Orthodontic Primer Containing a Bioactive Glass with Silver and Zinc. Materials. 2017; 10(11):1253. https://doi.org/10.3390/ma10111253
Chicago/Turabian StyleLee, Seung-Min, In-Ryoung Kim, Bong-Soo Park, Dong Joon Lee, Ching-Chang Ko, Woo-Sung Son, and Yong-Il Kim. 2017. "Remineralization Property of an Orthodontic Primer Containing a Bioactive Glass with Silver and Zinc" Materials 10, no. 11: 1253. https://doi.org/10.3390/ma10111253
APA StyleLee, S.-M., Kim, I.-R., Park, B.-S., Lee, D. J., Ko, C.-C., Son, W.-S., & Kim, Y.-I. (2017). Remineralization Property of an Orthodontic Primer Containing a Bioactive Glass with Silver and Zinc. Materials, 10(11), 1253. https://doi.org/10.3390/ma10111253

