Advances in Thin-Film Si Solar Cells by Means of SiOx Alloys
Abstract
:1. Introduction
2. Results
2.1. a-SiOx:H as Wide Bandgap Absorber
2.2. Doped Mixed-Phase nc-SiOx:H for Improved Light Management
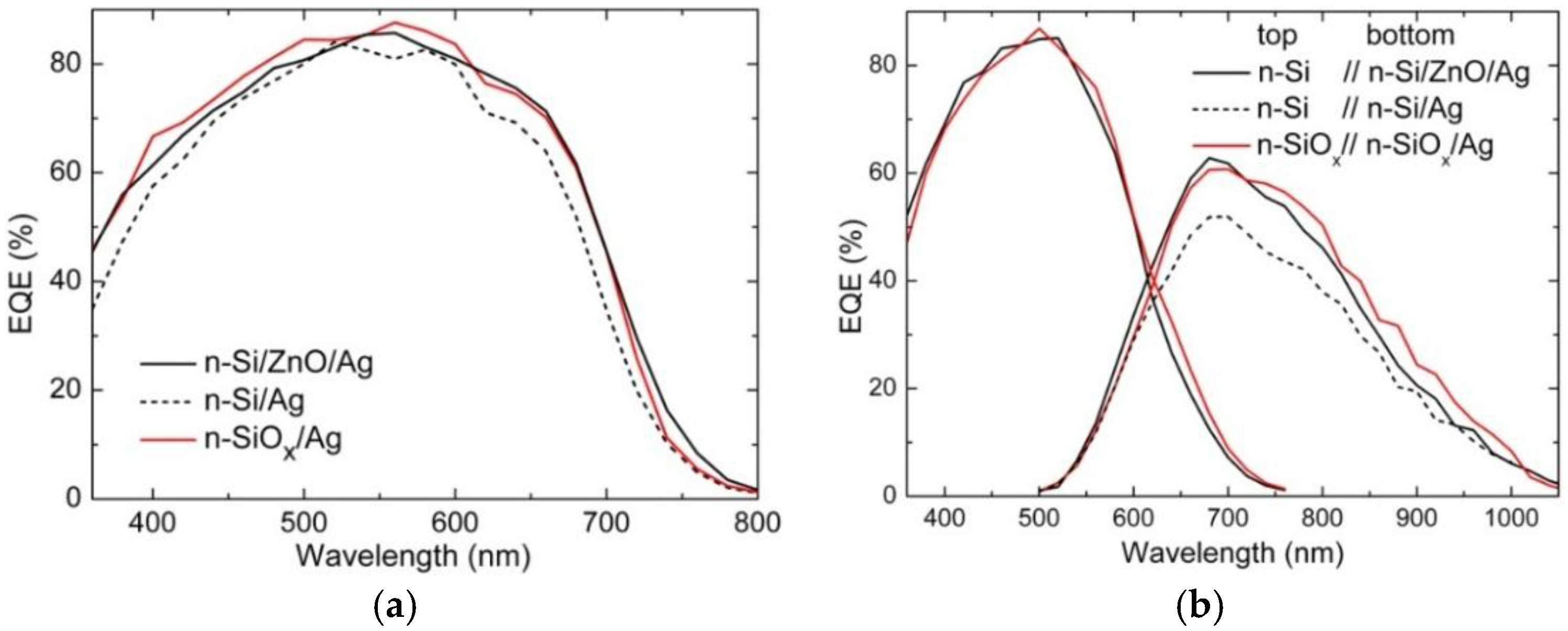
2.2.1. n-Type Material (n-SiOx)
2.2.2. p-Type Material (p-SiOx)
3. Discussion
4. Materials and Methods
4.1. Fabrication Details of Layers and Solar Cells
4.2. Characterization Techniques
5. Conclusions
Acknowledgments
Author Contributions
Conflicts of Interest
References
- Haug, F.-J.; Ballif, C. Light management in thin-film silicon solar cells. Energy Environ. Sci. 2015, 8, 824–837. [Google Scholar] [CrossRef]
- Cashmore, J.S.; Apolloni, M.; Braga, A.; Caglar, O.; Cervetto, V.; Fenner, Y.; Goldbach-Aschemann, S.; Goury, C.; Hötzel, J.E.; Iwahashi, T.; et al. Record 12.34% stabilized conversion efficiency in a large area thin-film silicon tandem (MICROMORPHTM) module. Prog. Photovolt. Res. Appl. 2015, 23, 1441–1447. [Google Scholar] [CrossRef]
- Yan, B.; Yue, G.; Sivec, L.; Yang, J.; Guha, S.; Jiang, C.-S. Innovative dual function nc-SiOx:H layer leading to a >16% efficient multi-junction thin-film silicon solar cell. Appl. Phys. Lett. 2011, 99. [Google Scholar] [CrossRef]
- Sai, H.; Matsui, T.; Koida, T.; Matsubara, K.; Kondo, M.; Sugiyama, S.; Katayama, H.; Takeuchi, Y.; Yoshida, I. Triple-junction thin-film silicon solar cell fabricated on periodically textured substrate with a stabilized efficiency of 13.6%. Appl. Phys. Lett. 2015, 106. [Google Scholar] [CrossRef]
- Yunaz, I.A.; Yamada, A.; Konagai, M. Theoretical Analysis of Amorphous Silicon Alloy Based Triple Junction Solar Cells. Jpn. J. Appl. Phys. 2007, 46. [Google Scholar] [CrossRef]
- Inthisang, S.; Sriprapha, K.; Miyajima, S.; Yamada, A.; Konagai, M. Hydrogenated Amorphous Silicon Oxide Solar Cells Fabricated near the Phase Transition between Amorphous and Microcrystalline Structures. Jpn. J. Appl. Phys. 2009, 48. [Google Scholar] [CrossRef]
- Kang, D.-W.; Sichanugrist, P.; Konagai, M. Novel application of MgF2 as a back reflector in a-SiOx:H thin-film solar cells. Appl. Phys. Express. 2014, 7. [Google Scholar] [CrossRef]
- Kim, D.Y.; Guijt, E.; Van Swaaij, R.A.C.M.M.; Zeman, M. Development of a-SiOx:H solar cells with very high Voc × FF product. Prog. Photovolt. Res. Appl. 2015, 23, 671–684. [Google Scholar] [CrossRef]
- Veneri, P.D.; Mercaldo, L.V.; Usatii, I. Silicon oxide based n-doped layer for improved performance of thin-film silicon solar cells. Appl. Phys. Lett. 2010, 97. [Google Scholar] [CrossRef]
- Cuony, P.; Marending, M.; Alexander, D.T.L.; Boccard, M.; Bugnon, G.; Despeisse, M.; Ballif, C. Mixed-phase p-type silicon oxide containing silicon nanocrystals and its role in thin-film silicon solar cells. Appl. Phys. Lett. 2010, 97. [Google Scholar] [CrossRef]
- Lambertz, A.; Grundler, T.; Finger, F. Hydrogenated amorphous silicon oxide containing a microcrystalline silicon phase and usage as an intermediate reflector in thin-film silicon solar cells. J. Appl. Phys. 2011, 109. [Google Scholar] [CrossRef]
- Cuony, P.; Alexander, D.T.L.; Perez-Wurfl, I.; Despeisse, M.; Bugnon, G.; Boccard, M.; Söderström, T.; Hessler-Wyser, A.; Hébert, C.; Ballif, C. Silicon Filaments in Silicon Oxide for Next-Generation Photovoltaics. Adv. Mater. 2012, 24, 1182–1186. [Google Scholar] [CrossRef] [PubMed]
- Veneri, P.D.; Mercaldo, L.V.; Usatii, I. Improved micromorph solar cells by means of mixed-phase n-doped silicon oxide layers. Prog. Photovolt. Res. Appl. 2013, 21, 148–155. [Google Scholar] [CrossRef]
- Mercaldo, L.V.; Veneri, P.D.; Usatii, I.; Polichetti, T. Broadband near-field effects for improved thin-film Si solar cells on randomly textured substrates. Sol. Energy Mater. Sol. Cells 2013, 112, 163–167. [Google Scholar] [CrossRef]
- Shah, A. Thin-Film Silicon Solar Cells; EPFL Press: Lausanne, Switzerland, 2010. [Google Scholar]
- Stuckelberger, M.; Despeisse, M.; Bugnon, G.; Schüttauf, J.-W.; Haug, F.-J.; Ballif, C. Comparison of amorphous silicon absorber materials: Light-induced degradation and solar cell efficiency. J. Appl. Phys. 2013, 114. [Google Scholar] [CrossRef]
- Cuony, P.; Alexander, D.T.L.; Löfgren, L.; Krumrey, M.; Marending, M.; Despeisse, M.; Ballif, C. Mixed phase silicon oxide layers for thin-film silicon solar cells. MRS Proc. 2011, 1321, 349–354. [Google Scholar] [CrossRef]
- Haug, F.-J.; Söderström, T.; Cubero, O.; Terrazzoni-Daudrix, V.; Ballif, C. Plasmonic absorption in textured silver back reflectors of thin-film solar cells. J. Appl. Phys. 2008, 104. [Google Scholar] [CrossRef]
- Lambertz, A.; Finger, F.; Holländer, B.; Rath, J.K.; Schropp, R.E.I. Boron-doped hydrogenated microcrystalline silicon oxide (μc-SiOx:H) for application in thin-film silicon solar cells. J. Non-Cryst. Solids 2012, 358, 1962–1965. [Google Scholar] [CrossRef]
- Veneri, P.D.; Mercaldo, L.V.; Privato, C. Deposition pressure effects on material structure and performance of micromorph tandem solar cells. Renew. Energy 2008, 33, 42–47. [Google Scholar] [CrossRef]
- Keita, A.-S.; Naciri, A.E.; Delachat, F.; Carrada, M.; Ferblantier, G.; Slaoui, A. Spectroscopic ellipsometry investigation of the optical properties of nanostructured Si/SiNx films. J. Appl. Phys. 2010, 107. [Google Scholar] [CrossRef]
- Jellison, G.E.; Chisholm, M.F.; Gorbatkin, S.M. Optical functions of chemical vapor deposited thin-film silicon determined by spectroscopic ellipsometry. Appl. Phys. Lett. 1993, 62, 3348–3350. [Google Scholar] [CrossRef]
- Palik, E.D. (Ed.) Handbook of Optical Constants of Solids; Academic Press: Boston, MA, USA, 1985.










© 2016 by the authors; licensee MDPI, Basel, Switzerland. This article is an open access article distributed under the terms and conditions of the Creative Commons by Attribution (CC-BY) license (http://creativecommons.org/licenses/by/4.0/).
Share and Cite
Mercaldo, L.V.; Usatii, I.; Delli Veneri, P. Advances in Thin-Film Si Solar Cells by Means of SiOx Alloys. Energies 2016, 9, 218. https://doi.org/10.3390/en9030218
Mercaldo LV, Usatii I, Delli Veneri P. Advances in Thin-Film Si Solar Cells by Means of SiOx Alloys. Energies. 2016; 9(3):218. https://doi.org/10.3390/en9030218
Chicago/Turabian StyleMercaldo, Lucia V., Iurie Usatii, and Paola Delli Veneri. 2016. "Advances in Thin-Film Si Solar Cells by Means of SiOx Alloys" Energies 9, no. 3: 218. https://doi.org/10.3390/en9030218
APA StyleMercaldo, L. V., Usatii, I., & Delli Veneri, P. (2016). Advances in Thin-Film Si Solar Cells by Means of SiOx Alloys. Energies, 9(3), 218. https://doi.org/10.3390/en9030218
