Next Article in Journal
Project Management Maturity Analysis in the Serbian Energy Sector
Previous Article in Journal
Using a Cellular Automata-Markov Model to Reconstruct Spatial Land-Use Patterns in Zhenlai County, Northeast China
 
 
Font Type:
Arial Georgia Verdana
Font Size:
Aa Aa Aa
Line Spacing:
Column Width:
Background:
Article

Experimental Study on Dry Torrefaction of Beech Wood and Miscanthus

1
Department Energy Technology, University of Twente, 7500 AE Enschede, The Netherlands
2
Centre for Coal Technology, University of the Punjab, Lahore 54700, Pakistan
3
University of Engineering & Technology, Taxila 47080, Pakistan
*
Author to whom correspondence should be addressed.
Energies 2015, 8(5), 3903-3923; https://doi.org/10.3390/en8053903
Submission received: 4 March 2015 / Revised: 17 April 2015 / Accepted: 20 April 2015 / Published: 6 May 2015

Abstract

:
Torrefaction is a thermochemical pre-treatment process for upgrading the properties of biomass to resemble those of fossil fuels such as coal. Biomass properties of particular interest are chemical composition, physical property and combustion characteristics. In this work, torrefaction of beech wood and miscanthus (sinensis) was carried out to study the influence of torrefaction temperature (240–300 °C) and residence time (15–150 min) on the aforementioned properties of the biomass. Results of the study revealed that torrefaction temperature has a significant influence on mass and energy yields, whereas the influence of the residence time becomes more apparent for the higher torrefaction temperatures (>280 °C). Torrefied miscanthus resulted in higher energy densification compared to beech wood for a residence time of 30 min. A significant improvement in grindability of the torrefied beech wood was obtained even for lightly torrefied beech wood (at 280 °C and 15 min of residence time). Observation from the combustion study showed that the ignition temperature is slightly affected by the torrefaction temperature. As a whole, the torrefaction temperature determines the characteristics of the torrefied fuel compared to other process parameters like residence time. Furthermore, with optimal process conditions, torrefaction produces a solid fuel with combustion reactivity and porosity comparable to raw biomass, whereas grindability and heating value are comparable to low quality coal.

1. Introduction

Because of the environmental impacts of conventional energy sources, the world is moving to green energy options. Recently, the Dutch government set a goal to replace fossil fuels with renewable resources by 16% in 2020 and 100% in 2050. Among the renewable resources, biomass is a CO2 neutral fuel for large-scale electricity production. However, the wide utilization of biomass is restricted due to its high moisture content, low calorific value, hygroscopic nature, low energy density and low combustion efficiency as a result of its larger particle size coupled with its high volatile matter content [1]. Thermochemical pre-treatment of biomass via torrefaction is a method of modifying the properties of biomass to more closely resemble those of coal.
Torrefaction is a roasting of biomass in the absence of oxygen at a temperature of 220–300 °C. During the torrefaction process, the biomass partially decomposes with the release of some volatiles resulting in a uniform solid product [2,3]. This solid product has reduced moisture content and higher energy density compared to the originating biomass. The decomposition also destroys the fibrous structure of the biomass, which reduces the energy required for grinding. Furthermore, torrefied biomass has a more hydrophobic nature [4] thereby reducing the costs of logistics and storage of the product. All of the above-mentioned properties make the torrefied product more coal-like and suitable for residential heating, densified biomass pellets, gasification as well as for co-firing with coal in power plants.
Torrefied biomass can be effectively utilized to increase the co-firing ratio of biomass in coal fired boilers, along with domestic heating and other commercial applications. Therefore, much research and development is currently being carried out to gain more insight into the fundamentals, technology and economics of the torrefaction process. However, more comprehensive studies are required to understand the influence of the key process parameters on the quality of the torrefied solid product specially on large scale. These kinds of studies will help to optimize the process parameters and to improve the properties of biomass for co-firing applications in coal-fired power plants.
As reported by earlier studies, the torrefaction solid product composition is influenced by many parameters, such as the biomass cell wall composition, the process parameters and particle size. Prins et al. [5] studied the product distribution of larch, willow and straw in standard thermogravimetric analyzer (TGA) at different torrefaction temperatures and reaction times. They reported that the cell wall composition plays a vital role in the product distribution during torrefaction next to the torrefaction process parameters. Pimehuai et al. [1] studied the torrefaction of sawdust, peanut husks, bagasse and water hyacinth. They reported that the temperature is the key parameter for the torrefaction process. They also noted a significant increase in energy density and hydrophobicity of these torrefied biomasses with torrefaction temperature. With respect to the physical properties of the torrefied solid product, studies by Phanphanich et al. [6] and Ohliger et al. [7] showed that grindability properties significantly depends on degree of torrefaction.
Likewise, Tumuluru et al. [8] focused their study solely on the influence of torrefaction on chemical compositions of miscanthus (giganteus) and white oak saw dust and found that a considerable loss in hydrogen content and H/C ratio occurs above 270 °C. Saddawi et al. [9], on the other hand, studied the possibility of combining pretreatment techniques (leaching) and torrefaction to create an improved fuel from biomass. They selected four types of biomass for their study, miscanthus (giganteus), short-rotation coppiced willow, eucalyptus, and wheat straw. They reported that water washing prior to torrefaction significantly reduced the ash content of all of the fuels, particularly for the herbaceous biomass, miscanthus (giganteus) and wheat straw. According to Hodgson et al. [10], miscanthus genotypes other than the current commercially cultivated miscanthus (giganteus) also have great potential for use in energy conversion processes. So far, no study has been published on the torrefaction behavior of miscanthus (sinensis).
There are few studies available that have compared woody and grassy biomass torrefaction [2,5,11], but only mass/energy yields, elemental composition or individual property like grindability were discussed. In the present study, a wide range of experimental analysis techniques were used to be able to assess the quality of the torrefied beech wood and miscanthus (sinensis) for combustion applications. The influence of torrefaction temperature and residence time on the chemical composition, physical property (grindability) and combustion characteristics (ignition temperature) of beech wood and miscanthus are addressed.

2. Experimental

2.1. Biomass Samples

The beech wood used here was obtained from Rettenmaier Benelux in a size range of 1–4 mm, while the miscanthus (sinensis) was provided by Wageningen University with a maximum length of 15 mm and a width of about 3–5 mm (the particles are more or less cylindrical). The main constituents of biomass includes hemicellulose, cellulose and lignin which cover 20–40, 40–60 and 10–25 wt%, respectively. The pyrolysis processes of biomass is extremely complex because of the simultaneous degradation of the three components. The decomposition temperature ranges of the above biomass constituents are 220–315, 315–400 and 150–900 °C, respectively [12]. For temperatures below 300 °C, the wood decomposition is mainly attributed to hemicellulose [13]. Therefore, the torrefaction process—which is a low temperature pyrolysis—mainly depends on the thermal decomposition of these three biomass constituents, particularly with hemicellouse decomposition.
The properties of beech wood and miscanthus samples are presented in Table 1. The biomass samples were dried overnight in a muffle furnace at 105 °C prior to the torrefaction experiment. After torrefaction, the materials were milled to a particle size under 200 µm for further analysis in a TGA, SEM and CHN elemental analyzer. As a reference, the raw beech wood, miscanthus and bituminous coal samples were also pulverized to <200 µm for the same analysis.
Table 1. Properties of beech wood and miscanthus.
Table 1. Properties of beech wood and miscanthus.
Beech WoodMiscanthusBituminous Coal
Proximate analysis
Moisture (wt%, wb)8.53.92.0
Volatile matter (wt%, db)77.977.230.1
Fixed carbon (wt%, db)21.421.757.9
Ash (wt%, db)0.51.212.0
Elemental analysis (wt%, db *)
C47.847.466.2
H6.35.74.7
N0.40.31.4
O (by difference)45.145.315.4
HHV (MJ/kg, db)19.018.826.5
Fiber analysis (wt%)
Hemicellulose37.1 a30.4 b-
Cellulose41.7 a46.6 b-
Lignin18.9 a10.4 b-
* Dry basis; a [14]; b [10].

2.2. Experimental Setup and Procedure

The schematic diagram of the experimental apparatus is shown in Figure 1. The reactor is a batch reactor heated by a fluidized sand bed which was heated by two external heaters (each one 1.5 kW). The reactor consists of a 25 mm i.d. steel tube with a height of 300 mm and a fine sieve plate at the bottom. The fineness of the mesh helps to hinder biomass-sand contact, which leads to error during the torrefied product analysis. The nitrogen flow, which helps to create anoxic conditions during the torrefaction of the biomass samples, was heated by the fluidized sand bed. Three k-type thermocouples were used, two of them to control the oven temperature and the third one to monitor the sample temperature inside the reactor.
In each experiment, two grams of biomass were placed on the sieve plate of the reactor and then the reactor was put manually in the hot sand bed. Next, the reactor was kept in the hot sand bed for the desired residence time at the specified temperature. It usually took 5 to 10 min to reach the desired torrefaction temperature, after which the residence time was measured. The torrefaction temperature was kept constant within a range of ± 3 °C during the whole process. Finally, the reactor was pulled out and cooled with a nitrogen purge to prevent further reaction with the surrounding air. The cooled samples were stored in moisture and airtight bottles for further analysis. The torrefied beech wood samples were produced from four different temperatures of 240, 260, 280 and 300 °C and four different residence times of 15, 30, 90 and 150 min, whereas the torrefied miscanthus samples were produced from four different temperatures of 240, 260, 280 and 300 °C but with a residence time of 30 min only. For miscanthus, a residence time of 30 min was selected based on our study of beech wood torrefaction.
Figure 1. Schematic diagram of the torrefaction setup, e.g., TC-1 (Thermocouple-1).
Figure 1. Schematic diagram of the torrefaction setup, e.g., TC-1 (Thermocouple-1).
Energies 08 03903 g001

2.3. Biomass Analysis and Procedures

2.3.1. Scanning Electron Microscope (SEM) Analysis

SEM analysis of beech wood and miscanthus were conducted to better understand the influence of the torrefaction process on the structures of the materials. SEM (NeoScope JCM-5000) was used with 5 and 10 kV acceleration volts and a magnifying factor of 800.

2.3.2. Proximate and Ultimate Analysis

Proximate and ultimate analyses were performed using a thermogravimetric analyzer (Mettler Toledo Model No. TGA/SDTA 851e) and Flash-2000 Inter Science (CHN analyzer), respectively. The volatile and fixed carbon proximate analyses were analyzed adopting the method from [15]. The moisture and ash were determined, in a muffle furnace, according to ASTM D3173 and ASTM D3174-12, respectively.

2.3.3. Higher Heating Value of Biomass

The higher heating value (HHV), which is an important parameter in determining the energy densification of the solid product during torrefaction, was determined from a correlation presented by [16] and later also implemented by [2] for different torrefied biomass samples. This correlation is based on the properties of 122 different types of biomass using an ordinary least-squares regression (OLS) method (Equation (1)). For validation, the HHV of a few torrefied samples were also analyzed in a bomb calorimeter C2000 and compared with the calculated results of Equation (1) and the deviation was found to be no more than 5%.
HHV   =   3.55 C 2     232 C     2230 H   +   51.2 C   ×   H   +   131 N   +   20 , 600
where C = carbon, H = hydrogen, and N = nitrogen content and HHV is expressed in kJ/kg on a dry basis (wt%).

2.3.4. Mass and Energy Yield

Energy yield per kg of dry originating biomass is defined as the amount of energy conserved in the solid part after the torrefaction process. It is an important parameter for the evaluation of the process and it is calculated from the mass yield of the solid torrefied product. The energy yield of the torrefied biomass is less compared to higher heating value of the original biomass, as some of the volatile matter which contributes to the energy content leaves the solid torrefied product. On industrial scale, the torrefaction gaseous by-product is combusted and the generated heat is reused in the process itself. In this way, the overall energy balance of the process can be enhanced. According to Bergman et al. [4], the mass and energy yield of the torrefied biomass are defined by Equations (2) and (3), respectively.
Mass yield (%) = Mass of torrefied solid product Mass of originating biomass    [ kg kg ]
Energy yield (%) = Mass yield  × HHV of torrefied solid product HHV of originating biomass    [ k J k g  Product k J k g  Feed ]
Another important parameter is the energy density of the torrefied biomass. Energy density is calculated using the relation given by Equation (4). Higher energy density results in low transportation costs for the same amount of heating value.
Energy density  = Energy yield (%)  Mass Yield (wt%)    

2.3.5. Particle Size Distribution after Grinding

The grindability behaviour of raw, torrefied beech wood and bituminous coal was studied in the laboratory “pulverisette 5” brand planetary mill to see the comparative size reduction of the three material rather than the severity of the torrefaction parameters. Prior to the analysis, bituminous coal was reduced to sizes of 1–4 mm to match the initial size of raw and torrefied beech wood for fair comparison. For this analysis, beech wood torrefied at 280 °C in 15 min of residence time was selected because these conditions seems quite suitable to proceed on the large scale (low ash contents at these values. The grinding test was carried out at 180 rpm for 30 min with 20 g sample each. The material was then collected and sieved in eight different sieve size fractions. Finally, the various size sieve fractions were weighted to determine the influence of torrefaction on the particle size distributions.

2.3.6. Ignition Temperature of the Torrefied Biomass in a TGA

The ignition of biomass particles is an important initial step in the combustion process due to its influence on the flame stability of the process and fire safety protocols during co-milling with coal. To date, a number of experimental techniques have been employed to study the ignition behaviour of solid fuels, such as the pulse ignition technique [17], continuous flow ignition [18] and thermogravimetric ignition [19]. In this study, a thermogravimetric ignition technique was adopted for the ignition temperature measurement, as it is being widely used by many researchers.
The thermogravimetric experiments were performed using a TGA instrument (Mettler Toledo) and the mass loss rate with temperature was recorded under argon and air atmosphere. In both cases, the gas flow rate was maintained at 50 mL/min. and a typical sample mass of 5–7 mg was used with a heating rate of 10 °C/min. First, the samples were heated from room temperature to 105 °C and kept for 10 min. to remove the moisture contained in the samples, and then they were heated up again with the same heating rate to a temperature of 900 °C. The TGA experiments were performed at least twice to validate repeatability of the mass-temperature loss curves results, which was found to be quite satisfactory with (max. ±1%) standard deviation.
As shown in Figure 2, the ignition temperature of torrefied beech wood and miscanthus was calculated from the mass-temperature loss curves for both argon and an air atmosphere [19,20]. The ignition temperature is assumed to be the temperature where both curves deviate from each other.
Figure 2. Derivative mass loss curve for TM300 (torrefied miscanthus at Tt = 300 °C and residence time of 30 min). The combustion test was conducted in air (21% O2) and inert atmosphere, IT–ignition temperature.
Figure 2. Derivative mass loss curve for TM300 (torrefied miscanthus at Tt = 300 °C and residence time of 30 min). The combustion test was conducted in air (21% O2) and inert atmosphere, IT–ignition temperature.
Energies 08 03903 g002

3. Results and Discussion

From the outset it has been made clear that the aim of the present study is to assess the influence of torrefaction process parameters on chemical, physical and combustion characteristics of torrefied biomass. Beech wood and miscanthus were studied and the results are presented and discussed in subsequent sections. For miscanthus, a residence time of 30 min was selected based on our study of beech wood torrefaction. Initially the series of beech wood torrefaction experiment was carried out for all ranges of torrefaction temperature and residence times. From the torrefied beech wood mass yield graph we observe that for 15 min residence time, the change in mass yield from temp. range 240 °C to 300 °C remained in a rather narrow range. On the other hand, for residence time of 90 min, quite significant mass loss was observed. Based on this observation, we found that 30 min can be considered the optimum residence time for miscanthus torrefaction.
Figure 3. Photograph of beech wood and miscanthus particles and their torrefied products at different torrefaction temperatures and residence times.
Figure 3. Photograph of beech wood and miscanthus particles and their torrefied products at different torrefaction temperatures and residence times.
Energies 08 03903 g003

3.1. Visual Observation and SEM Pictures

3.1.1. Visual Observation

The physical appearance of raw biomass and their torrefied products can be seen in Figure 3. The first three columns show the raw and torrefied beech wood at four different torrefaction temperatures and residence times of 15 min, 30 min and 150 min. The photos for a residence time of 90 min are not shown as they are almost the same as the ones for 150 min. The last column presents the colour variation of raw and torrefied miscanthus at four torrefaction temperatures and a residence time of 30 min. It is evident that, irrespective of the biomass type, the colour of the torrefied product changes from light brown to dark brown and to black as the temperature and residence time increases. In the case of beech wood, it is observed that the colour change with increasing temperature is more prominent than with residence time, because of the exothermic nature of the reaction above 280 °C. For torrefaction temperature >280 °C, an exothermal reaction takes place results in hemicellouse decomposition of the biomass [11]. As the process becomes exothermic, released heat increases the volatile releasing rate which includes carbon dioxide, carbon monoxide, large amount of acetic acid and other heavier products of organic molecules. The increased amount of volatiles release facilitated the removal of oxygenated and hydrogenated compounds leaving the solid torrefied product more concentrated in fixed carbon. In general, fuels with high fixed carbon tend to be more black in colour. Specifically, under severe torrefaction conditions (300 °C), the beech wood looks like charcoal. On the other hand, miscanthus shows a mild colour change with temperature, although the mass loss is higher compared to beech wood.

3.1.2. Scanning Electron Microscope (SEM) Pictures

Images of beech wood, miscanthus and their corresponding torrefied products at various temperatures, but at one residence time (30 min), were considered to understand the effects of torrefaction temperature.
As shown in Figure 4, for torrefaction temperature 240 °C, the deformation of both biomass samples surfaces starts to become visible, especially for beechwood with the formation of tiny holes on the surface. On the other hand, for higher torrefaction temperatures 260 °C and 280 °C, the surface for both miscanthus and beech wood is characterized by high porosity and tubular-shape structure. The tubular-shape structure could be formed due to the decomposition of lignin material also reported by [20,21]. Lignin works as cementing material and considered as a ‘glue’ to bind adjacent plant cells [22]. This might be the reason why, after torrefaction, the biomass becomes less fibrous and easily grindable with less energy consumption. Moreover, it can also be noted that, at 300 °C, the cellulose material starts to decompose and so the deformation of the cell structure can be clearly observed for both beech wood and miscanthus.
Figure 4. SEM images of raw and torrefied beech wood (first column), raw and torrefied miscanthus (second column) at various temperatures and a residence time of 30 min.
Figure 4. SEM images of raw and torrefied beech wood (first column), raw and torrefied miscanthus (second column) at various temperatures and a residence time of 30 min.
Energies 08 03903 g004

3.2. Proximate and Ultimate Analysis

3.2.1. Effect of Torrefaction Parameters on Proximate Analysis

Figure 5a illustrates the influence of the temperature and residence time on the volatile matter content of the torrefied solid product. Increasing the residence time from 15 min to 150 min resulted in a significant reduction in volatile content of the torrefied solid product. However, the influence of the residence time on the volatile matter of the solid product becomes more apparent for a higher torrefaction temperature (Tt > 280 °C). At around 300 °C cellulose started to decompose which resulted in significant volatile matter loss of the torrefied solid product. Moreover, for (Tt > 280 °C) and longer residence times, some slow reactive constituents of hemicellulose could get enough time to decompose, resulting in further volatile matter loss.
Figure 5. (a) Volatile matter profile of torrefied beech wood with torrefaction temperature at various residence times VM—raw beech wood (77.9 wt%, db); (b) ash profile of torrefied beech wood with torrefaction temperature at various residence times, Ash—raw beech wood (0.7 wt%, db).
Figure 5. (a) Volatile matter profile of torrefied beech wood with torrefaction temperature at various residence times VM—raw beech wood (77.9 wt%, db); (b) ash profile of torrefied beech wood with torrefaction temperature at various residence times, Ash—raw beech wood (0.7 wt%, db).
Energies 08 03903 g005
At a lower torrefaction temperature, increasing the residence time from 15 to 150 min reduces the volatile matter content by only 7 (wt%, dry), whereas at a higher torrefaction temperature the volatile matter content decreases by 27 (wt%, dry) for a corresponding residence time increase. Moreover, the effects of torrefaction on the ash content are presented in Figure 5b. An increase in ash content is observed and this is due to the fact that as the temperature and residence time increase, the rate at which volatiles leave the product increases, which results in more concentrated ash in the solid product. The same trend has been seen for the fixed carbon content of the torrefied product.

3.2.2. Effect of Biomass Type on Proximate Analysis

The influence of torrefaction temperature on the volatile matter of beech wood and miscanthus is shown in Figure 6a. In general, within the studied ranges of process conditions, increasing torrefaction temperature has a noticeable influence to intensify the volatile matter loss. Particularly, at torrefaction temperature of 300 °C, the volatile matter present in both samples showed noticeable reduction compared to 240 °C and 260 °C. Similar observations were also made in the study of other biomass species [6,21]. Besides that beech wood has 37.1% hemicellulose compared to 30.4% for miscanthus, both biomass samples show the same decreasing trend in volatile matter with small differences at torrefaction temperature of 300 °C. This may be due to the same amount of volatile matter in both the biomass samples.
Figure 6. (a) Volatile Matter (VM) profile of torrefied beech wood and miscanthus with torrefaction temperature for 30 min residence time, VM—raw beech wood (77.9 wt%, db), raw miscanthus (77.2 wt%, db); (b) Ash profile of torrefied beech wood and miscanthus with torrefaction temperature for 30 min residence time, Ash—raw beech wood (0.7 wt%, db), raw miscanthus (1.2 wt%, db).
Figure 6. (a) Volatile Matter (VM) profile of torrefied beech wood and miscanthus with torrefaction temperature for 30 min residence time, VM—raw beech wood (77.9 wt%, db), raw miscanthus (77.2 wt%, db); (b) Ash profile of torrefied beech wood and miscanthus with torrefaction temperature for 30 min residence time, Ash—raw beech wood (0.7 wt%, db), raw miscanthus (1.2 wt%, db).
Energies 08 03903 g006
The effect of torrefaction temperature on the ash content of the torrefied miscanthus and beech wood for 30 min residence time is presented in Figure 6b. Both biomass samples showed an increase in relative ash content with torrefaction temperature, though original miscanthus has a higher ash content compared to beech wood.

3.2.3. Ultimate Analysis and Higher Heating Value

In Table 2, the ultimate analysis and the higher heating value of the torrefied samples are presented. Bridgeman et al. [2] reported an increase in carbon content and a decrease in hydrogen and oxygen after torrefaction. However, under the torrefaction conditions studied here, the hydrogen content and the nitrogen content of the sample remains nearly unchanged. The oxygen content of the torrefied sample is significantly lower compared to the originating biomass. For example, the oxygen content of the torrefied beech wood and miscanthus sample obtained under torrefaction conditions of 300 °C and 30 min residence time is 22% and 18% less than their respective originating biomass.
Another important property of biomass fuel, the higher heating value (HHV (MJ/kg, daf) is also reported in Table 2 for all torrefied samples. From this data, it is evident that HHV of torrefied biomass has increased 2.5%, 7.6% and 15.7% against 15, 30 and 90 min for 280 °C. This increase is quite significant especially on the commercial scale. At a higher torrefaction temperature of 300 °C and a residence time of 150 min, the HHV of the torrefied beech wood, for instance, increased to 26.8 MJ/kg, daf, which is comparable to low quality coal (for example, brown coal has HHV of 27 MJ/kg, daf). In the case of miscanthus, at a higher torrefaction temperature of 300 °C and a residence time of 30 min, the heating value increased to 22.5 MJ/kg, which was comparable to beech wood under the same torrefaction conditions.
Table 2. Heating value and ultimate analysis of torrefied beech wood and miscanthus at various temperatures and residence times.
Table 2. Heating value and ultimate analysis of torrefied beech wood and miscanthus at various temperatures and residence times.
SamplesUltimate Analysis (wt%, db)HHV (MJ/kg, db)Energy Density (-)
CHNO a
Raw Beech wood47.756.290.3845.0719.021.00
TBW240_15 b48.385.880.1544.8719.161.01
TBW260_1548.395.740.1344.8919.121.00
TBW280_1549.954.910.1744.0919.501.06
TBW300_1550.125.740.1543.1119.841.07
TBW240_3048.225.550.1445.3019.011.00
TBW260_3049.595.620.1543.6919.581.03
TBW280_3052.484.900.2341.4120.471.07
TBW300_3051.705.510.1641.5020.411.14
TBW240_9051.075.620.1542.2420.191.02
TBW260_9051.815.450.1741.5520.431.07
TBW280_9055.865.170.1937.6922.001.15
TBW300_9055.705.350.1637.2522.041.34
TBW240_15051.445.520.1441.5120.311.04
TBW260_15055.804.840.2437.6521.771.08
TBW280_15065.354.550.2527.3625.711.16
TBW300_15065.954.610.3025.1026.061.39
Raw Miscanthus47.45.70.345.318.701.00
TM240_30 c48.015.750.3444.3819.001.02
TM260_3049.505.590.3242.7419.561.05
TM280_3050.345.420.3541.2919.841.08
TM300_3054.855.340.4036.5721.701.18
Bituminous coal66.254.751.3615.426.51-
a Oxygen is by difference; b TBW240_15: Beech wood torrefied at torrefaction temperature of 240 °C and residence time of 15 min; c TM240_30: Miscanthus torrefied at torrefaction temperature of 240 °C and residence time of 30 min.
The elemental composition of the torrefied biomass is presented using the Van Krevelen diagram as shown in Figure 7. This diagram clearly shows the influence that the torrefaction parameters (temperature and residence time) have on the final elemental compositions of the torrefied biomass. Due to removal of water and carbon dioxide, as one moves from the top right-hand region (lower temperature, shorter residence time) to the bottom left-hand region (higher torrefaction temperature, longer residence time) both H/C and O/C ratios decrease [5,22]. Similar to the findings by [2,22] the torrefied solid product composition is far away from charcoal or coal. However, with high torrefaction temperature and longer residence times the torrefied solid product close to the elemental composition of low quality coal can be produced. For instance, beech wood torrefied at 300 °C for a residence time of 90 min. has a comparable H/C ratio to that of bituminous coal, and its O/C ratio is slightly inferior. However, both H/C and O/C ratios are superior to that of lignite. It can also be observed that the trends are consistent for beech wood, miscanthus, wheat straw and willow [2,11,22].
Figure 7. Van-Krevelen diagram for coals, charcoal, raw and various torrefied biomasses, torrefaction temperature (Tt) and residence time (tr).
Figure 7. Van-Krevelen diagram for coals, charcoal, raw and various torrefied biomasses, torrefaction temperature (Tt) and residence time (tr).
Energies 08 03903 g007

3.3. Mass and Energy Yields

3.3.1. Effect of Process Parameters on the Mass and Energy Yield

The mass and energy yield will be considered to evaluate the torrefaction process of biomass. The heating rate to the final temperature has an influence on the final mass yield. However, the influence is only noticeable for short residence time and temperatures above 280 °C. For torrefaction temperatures above 280 °C, the exothermic chemical reaction commences. As the process becomes exothermic, released heat increases the volatile releasing rate in turn the mass loss.
The effect is checked by removing the torrefied sample as soon as it reaches the desired temperature. As it is shown in Table 3, it was found that the maximum mass loss during the heating time was only 30% of the total mass loss (for severe torrefaction condition, T = 300 °C and 15 min of residence time).
Table 3. Influence of heating time on the mass yield (wt%) for different torrefaction temperature.
Table 3. Influence of heating time on the mass yield (wt%) for different torrefaction temperature.
Residence Time (min)Torrefaction Temperature (°C)
240260280300
01001009590
1594877867
Figure 8 shows the influence of the two process parameters (temperature and residence time) on the mass yield of the torrefied product. As expected, an increase in temperature and residence time decreases the mass yield of the solid product. The decrease in mass yield is more significant for a higher torrefaction temperature (>280 °C) and residence time of 90 and 150 min. At higher temperatures cellulosic constituent of the biomass started to decompose along with the pre-decomposing constituent hemicellulose, which results in the sharp decrease of mass yield specifically at higher residence time.
Figure 8. Mass yield of beech wood with temperature at four different torrefaction and residence times.
Figure 8. Mass yield of beech wood with temperature at four different torrefaction and residence times.
Energies 08 03903 g008
At higher torrefaction temperatures (>280 °C) and longer residence times (>30 min), decomposition of reactive components like hemicellulose causes a large increase in mass loss. Similar results are also reported in [3,10]. This shows that the torrefaction residence time plays a major role in the thermal decomposition of biomass at higher temperatures (>280 °C). However, between the torrefaction process conditions, the temperature turns out be more dominant than the residence time with respect to mass reduction.
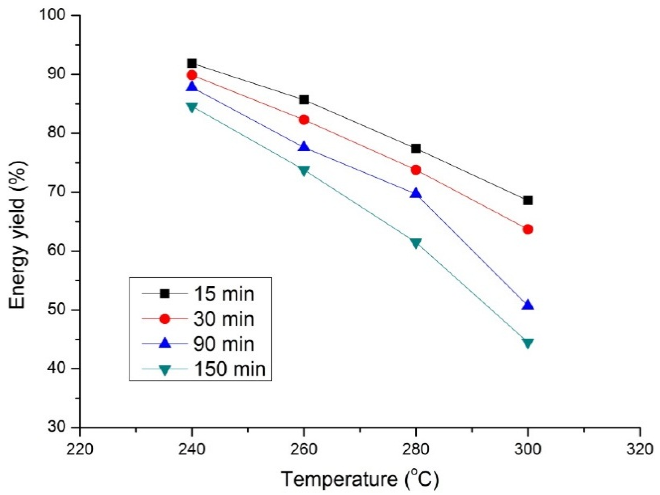
As shown in Figure 9, the energy yield decreases with increasing temperature and residence time. Similar trends were also observed for the mass yield. Again, for a torrefaction temperature above 280 °C, the change in energy yield is more significant for residence times above 90 min. In all the cases studied, the mass reduction is greater than the energy reduction because of the loss of water and carbon dioxide, which do not contribute to the final energy content of the torrefied product.
Figure 9. Energy yield of beech wood with temperature at four different torrefaction and residence times.
Figure 9. Energy yield of beech wood with temperature at four different torrefaction and residence times.
Energies 08 03903 g009
As presented in Table 2, for a high temperature and long residence time of torrefied beech wood, the energy density increases by 40% but comes with the expense of high mass loss >60% during torrefaction. The influence of torrefaction temperature on the energy density of torrefied miscanthus and beech wood is presented in Figure 10. Torrefaction at 300 °C and 30 min. residence time resulted in an increase in energy density of 14% for beech wood and 18% for miscanthus.
Figure 10. Effect of torrefaction temperature on the energy density of beech wood and miscanthus for residence time of 30 min.
Figure 10. Effect of torrefaction temperature on the energy density of beech wood and miscanthus for residence time of 30 min.
Energies 08 03903 g010

3.3.2. Effect of Biomass Type on the Mass and Energy Yield

Figure 11 displays the mass yield of beech wood, miscanthus, and willow torrefied at different torrefaction temperatures. Clearly, the mass yield of the torrefied solid products decreases with torrefaction temperature. The observed mass yield of beech wood from this study was comparable to beech wood by [5] and willow [2], though small differences were observed for higher torrefaction temperatures. This could be due to the difference in hemicellouse fraction of the biomass samples willow (14.1, wt%) and beech wood (37.1, wt%) or different heating rates of the experimental setup used. On the other hand, the mass yield of miscanthus from this study was higher compared to the study by [11], which could be due to the difference in torrefaction residence time.
Figure 11. Mass yield profile versus torrefaction temperature for a residence time of 30 min for different biomass types. * For miscanthus torrefaction by Zanzi [11] the residence time (60 min).
Figure 11. Mass yield profile versus torrefaction temperature for a residence time of 30 min for different biomass types. * For miscanthus torrefaction by Zanzi [11] the residence time (60 min).
Energies 08 03903 g011
At 300 °C, the mass yield of torrefied beech wood is 5% less than that of torrefied miscanthus. This could be due to the slightly higher hemicellouse content of beech wood (48%) compared to miscanthus (40%).
The effect of temperature on the energy yield of beech wood and miscanthus at a residence time of 30 min is presented in Figure 12. It is clear from the figure that the energy yield of miscanthus is decreasing with the increasing temperature in the same way as beech wood. For all the torrefaction temperatures studied, miscanthus resulted in a higher energy yield than beech wood, although the difference is only 3% at the lower temperature and 8% at the higher temperature.
Figure 12. Energy yield profile of torrefied beech wood and miscanthus vs. temperature for a residence time of 30 min.
Figure 12. Energy yield profile of torrefied beech wood and miscanthus vs. temperature for a residence time of 30 min.
Energies 08 03903 g012

3.4. Influence of Torrefaction on the Grindability of Torrefied Beech Wood

Grindability tests were carried out in a lab scale planetary type ball-mill. Both raw and torrefied beech wood were ground and compared against bituminous coal with a hard grove index (HGI) of 52. The grindability of miscanthus was not investigated as it was not possible to grind it with the same ball-mill. In the grindability test the sieve size (dp,50), where 50% of the mass was retained, is considered the evaluating parameter for the fuel grindability. Thus fuels with a small dp,50 are easy to grind or take less energy for grinding. As known, coal by nature is a brittle fuel with good grindability property, whereas woody materials have a low grindability property due to their fibrous nature. Therefore, torrefaction could enhance the grindability property of the beech wood by reducing its fibrous nature through thermal pretreatment.
The grindability tests are summarized in Figure 13. As can be seen from the figure, 50% of the raw beech wood passes through the 1300 µm sieve size, whereas 50% of the torrefied beech wood passes through 180 µm sieve, which is significantly less than 1300 µm while 50% of bituminous coal passes through a size of 30 µm.
These results clearly show that torrefaction of beech wood at 280 °C and a residence time of 15 min results in a solid product that is much easier to grind than the originating wood. The grinding properties of torrefied beech wood are significantly enhanced, even under the light torrefaction condition as considered here (25% weight loss during torrefaction). This might promote the increase of biomass co-firing ratio in coal-fired power plants because torrefied biomass can easily be co-milled with coal to a smaller particle size range as its fibrous nature is being reduced during the torrefaction process. Moreover the severity of the torrefaction conditions can be increased to meet the specific grinding requirements. Subsequently, the biomass char burnout could be largely enhanced.
Figure 13. Cumulative distribution of mass retained in each sieve size for untreated and torrefied beech wood, Raw beech wood: (●), Beech wood torrefied at Tt = 280 °C and tr = 15 min: (■) and Bituminous coal with HGI = 52: (▲).
Figure 13. Cumulative distribution of mass retained in each sieve size for untreated and torrefied beech wood, Raw beech wood: (●), Beech wood torrefied at Tt = 280 °C and tr = 15 min: (■) and Bituminous coal with HGI = 52: (▲).
Energies 08 03903 g013

3.5. Ignition Temperature of Torrefied Beech Wood and Miscanthus (TGA)

The ignition temperatures of torrefied miscanthus and beech wood are presented in Figure 14. The ignition temperatures of raw miscanthus, beech wood and bituminous coal were determined (not shown here) to be 233 °C, 237 °C and 329 °C respectively. A fairly close ignition temperature of 235 °C was reported by [20] for raw poplar wood at a heating rate of 5 °C/min and a sample mass of 5 mg.
Figure 14. Ignition temperature of torrefied beech wood and miscanthus at a residence time of 30 min, IT (ignition temperature) and VM (volatile matter).
Figure 14. Ignition temperature of torrefied beech wood and miscanthus at a residence time of 30 min, IT (ignition temperature) and VM (volatile matter).
Energies 08 03903 g014
The ignition temperature of the torrefied products increases at maximum by 20 °C compared to their original biomass as shown in Figure 14, but it is still 75 °C lower than bituminous coal. Chen et al. [23] discovered that the ignition temperature of coal determined by a different experimental technique decreases with an increase in volatile matter content of the fuel. Grotkjaer et al. [20] has also found that the same trend can be applied to biomass as well.
As the torrefaction temperature increases, the volatile content of the solid torrefied product decreases (also discussed in preceding sections) and the structure becomes more porous (highly reactive), due to the depolymerization of lignin that binds the material, as discussed in Section 3.1. The lower the contents of volatile matter retained in the torrefied product, the higher the ignition temperature will be, while increased porosity of the torrefied product can lower the ignition temperature due to increased diffusion rates of oxygen etc. These two properties of the torrefied product might compete with each other in determining the final fuel ignition temperature.
Overall a slight increase in the ignition temperature of the torrefied biomass was observed as the torrefaction temperature increases. However, the ignition temperatures of the torrefied products are still far from bituminous coal.

4. Conclusions

In this study, the torrefaction of beech wood and miscanthus has been studied with a batch reactor for temperatures between 240–300 °C and residence times of 15–150 min. Various properties of torrefied biomass, which are of paramount importance for co-fired power plants and fuel handling systems, have been investigated and the results have been presented. The mass/energy yield of beech wood and miscanthus was found to decrease steadily with the increase of torrefaction temperature and residence time, whereas the type of experimental setup employed was found to have little or no effect on the mass yield of the torrefaction process. Furthermore, observation of the mass and energy yield curve also revealed that the torrefaction temperature is the most vital process parameter in influencing the mass/energy yield for the whole range of torrefaction study. On the other hand, the residence time becomes important only for torrefaction temperatures >280 °C. Based on the ultimate analyses, the torrefaction process intensifies the carbon and reduces the oxygen content of the torrefied sample as the process conditions get more severe (high temperature and longer residence time). Of the two biomass samples studied, miscanthus has shown higher energy densification together with higher energy yield as compared to beech wood at a residence time of 30 min. These differences could be attributed to the difference in the initial particle size used for analysis and the composition of the biomass. Grindability of beech wood is improved notably by the process of torrefaction. Even for lightly torrefied beech wood (280 °C and 15 min of residence time) with (~25, wt%) mass loss, a remarkable improvement in grindability has been found. This was demonstrated by the reduction of the (dp,50) parameter from 1300 µm for raw beech wood to 180 µm for torrefied beech wood, which is fairly close to 30 µm for bituminous coal. The results of the combustion study showed that the overall ignition temperature change for both beech wood and miscanthus due to torrefaction is insignificant (237–255 °C) compared to bituminous coal with 329 °C. As a whole, torrefaction temperature determines the characteristics of the torrefied fuel compared to other parameters like residence time and geometry of the reactor.

Acknowledgments

This work was funded by the Dutch Technology Foundation STW and carried out at the University of Twente (project BiOxyfuel No. 10416) together with the Higher Education Commission, Pakistan. The authors are grateful for the financial support from STW.

Author Contributions

Eyerusalem M. Gucho, Eddy Bramer and Gerrit Brem, conceived and designed the experimental runs. Eyerusalem M. Gucho and Khurram Shahzad have done the experiments, analysis of the data and writing parts. Niaz Ahmed Akhtar, Eddy Bramer and Gerrit Brem revised the paper and adjusted the data presentation. All authors read and polish the manuscript.

Abbreviations

daf
dry ash free basis (wt%)
db
dry basis (wt%)
SEM
Scanning Electro Microscopy
dp,50
Particle size @ (50% of the mass retained)
STP
Standard Temperature and Pressure
HHV
Higher Heating Value (MJ/Kg)
tr
Residence time (min)
Tt
Torrefaction temperature (°C)
IT
Ignition Temperature (°C)
OLS
Ordinary least square regression

Conflicts of Interest

The authors declare no conflict of interest.

References

  1. Pimchuai, A.; Dutta, A.; Basu, P. Torrefaction of agriculture residue to enhance combustible properties. Energy Fuels 2010, 24, 4638–4645. [Google Scholar] [CrossRef]
  2. Bridgeman, T.G.; Jones, J.M.; Shield, I.; Williams, P.T. Torrefaction of reed canary grass, wheat straw and willow to enhance solid fuel qualities and combustion properties. Fuel 2008, 87, 844–856. [Google Scholar] [CrossRef]
  3. Arias, B.; Pevida, C.; Fermoso, J.; Plaza, M.G.; Rubiera, F.; Pis, J.J. Influence of torrefaction on the grindability and reactivity of woody biomass. Fuel Process. Technol. 2008, 89, 169–175. [Google Scholar] [CrossRef]
  4. Bergman, P.C.A.; Boersma, A.R.; Kiel, J.H.A.; Prins, M.J.; Ptasinski, K.J.; Janssen, F.J.J.G. Torrefaction for Entrained-Flow Gasification of Biomass; ECN: Petten, The Netherlands, 2005. [Google Scholar]
  5. Prins, M.J.; Ptasinski, K.J.; Janssen, F.J.J.G. Torrefaction of wood: Part 2. Analysis of products. J. Anal. Appl. Pyrolysis 2006, 77, 35–40. [Google Scholar] [CrossRef]
  6. Phanphanich, M.; Mani, S. Impact of torrefaction on the grindability and fuel characteristics of forest biomass. Bioresour. Technol. 2011, 102, 1246–1253. [Google Scholar] [CrossRef] [PubMed]
  7. Ohliger, A.; Förster, M.; Kneer, R. Torrefaction of beechwood: A parametric study including heat of reaction and grindability. Fuel 2013, 104, 607–613. [Google Scholar] [CrossRef]
  8. Tumuluru, J.S.; Boardman, R.; Wright, C.; Heintzelman, J. Changes in moisture, carbon, nitrogen, sulphur, volatiles, and calorific value of miscanthus during torrefaction. Energies 2001, 5, 3928–3947. [Google Scholar] [CrossRef]
  9. Saddawi, A.; Jones, J.M.; Williams, A.; le Coeur, C. Commodity fuels from biomass through pretreatment and torrefaction: Effects of mineral content on torrefied fuel characteristics and quality. Energy Fuels 2011, 26, 6466–6474. [Google Scholar]
  10. Hodgson, E.M.; Nowakowski, D.J.; Shield, I.; Riche, A.; Bridgwater, A.V.; Clifton-Brown, J.C.; Donnison, I.S. Variation in miscanthus chemical composition and implications for conversion by pyrolysis and thermo-chemical bio-refining for fuels and chemicals. Bioresour. Technol. 2011, 102, 3411–3418. [Google Scholar] [CrossRef] [PubMed]
  11. Zanzi, R.; Ferro, D.T.; Torres, A.; Soler, P.B.; Bjornbom, E. Biomass Torrefaction. In Proceedings of the 6th Asia-Pacific International Symposium on Combustion and Energy Utilization, Kuala Lumpur, Malaysia, 20–22 May 2002.
  12. Yang, H.; Yan, R.; Chen, H.; Lee, D.H.; Zheng, C. Characteristics of hemicellulose, cellulose and lignin pyrolysis. Fuel 2007, 86, 1781–1788. [Google Scholar] [CrossRef]
  13. Van Blijderveen, M.; Gucho, E.M.; Bramer, E.A.; Brem, G. Spontaneous ignition of wood, char and rdf in a lab scale packed bed. Fuel 2010, 89, 2393–2404. [Google Scholar] [CrossRef]
  14. Munir, S.; Daood, S.S.; Nimmo, W.; Cunliffe, A.M.; Gibbs, B.M. Thermal analysis and devolatilization kinetics of cotton stalk, sugar cane bagasse and shea meal under nitrogen and air atmospheres. Bioresour. Technol. 2009, 100, 1413–1418. [Google Scholar] [CrossRef] [PubMed]
  15. Nik-Azar, M.; Hajaligol, M.R.; Sohrabi, M.; Dabir, B. Mineral matter effects in rapid pyrolysis of beech wood. Fuel Process. Technol. 1997, 51, 7–17. [Google Scholar] [CrossRef]
  16. Friedl, A.; Padouvas, E.; Rotter, H.; Varmuza, K. Prediction of heating values of biomass fuel from elemental composition. Anal. Chim. Acta 2005, 544, 191–198. [Google Scholar] [CrossRef]
  17. Zhang, D.-K.; Wall, T.F.; Harris, D.J.; Smith, I.W.; Chen, J.; Stanmore, B.R. Experimental studies of ignition behaviour and combustion reactivity of pulverized fuel particles. Fuel 1992, 71, 1239–1246. [Google Scholar] [CrossRef]
  18. Wall, T.F.; Phong-Anant, D.; Gururajan, V.S.; Wibberley, L.J.; Tate, A.; Lucas, J. Indicators of ignition for clouds of pulverized coal. Combust. Flame 1988, 72, 111–118. [Google Scholar] [CrossRef]
  19. Tognotti, L.; Malotti, A.; Petarca, L.; Zanelli, S. Measurement of ignition temperature of coal particles using a thermogravimetric technique. Combust. Sci. Technol. 1985, 44, 15–28. [Google Scholar] [CrossRef]
  20. Grotkjær, T.; Dam-Johansen, K.; Jensen, A.D.; Glarborg, P. An experimental study of biomass ignition. Fuel 2003, 82, 825–833. [Google Scholar] [CrossRef]
  21. Felfli, F.F.; Luengo, C.A.; Suárez, J.A.; Beatón, P.A. Wood briquette torrefaction. Energy Sustain. Dev. 2005, 9, 19–22. [Google Scholar] [CrossRef]
  22. Prins, M.J. Thermodynamic Analysis of Biomass Gasification and Torrefaction; Technische Universiteit Eindhoven: Eindhoven, The Netherlands, 2005. [Google Scholar]
  23. Chen, Y.; Mori, S.; Pan, W.-P. Estimating the combustibility of various coals by tg-dta. Energy Fuels 1995, 9, 71–74. [Google Scholar] [CrossRef]

Share and Cite

MDPI and ACS Style

Gucho, E.M.; Shahzad, K.; Bramer, E.A.; Akhtar, N.A.; Brem, G. Experimental Study on Dry Torrefaction of Beech Wood and Miscanthus. Energies 2015, 8, 3903-3923. https://doi.org/10.3390/en8053903

AMA Style

Gucho EM, Shahzad K, Bramer EA, Akhtar NA, Brem G. Experimental Study on Dry Torrefaction of Beech Wood and Miscanthus. Energies. 2015; 8(5):3903-3923. https://doi.org/10.3390/en8053903

Chicago/Turabian Style

Gucho, Eyerusalem M., Khurram Shahzad, Eddy A. Bramer, Niaz A. Akhtar, and Gerrit Brem. 2015. "Experimental Study on Dry Torrefaction of Beech Wood and Miscanthus" Energies 8, no. 5: 3903-3923. https://doi.org/10.3390/en8053903

APA Style

Gucho, E. M., Shahzad, K., Bramer, E. A., Akhtar, N. A., & Brem, G. (2015). Experimental Study on Dry Torrefaction of Beech Wood and Miscanthus. Energies, 8(5), 3903-3923. https://doi.org/10.3390/en8053903

Article Metrics

Back to TopTop