Application of Satellite-Based Spectrally-Resolved Solar Radiation Data to PV Performance Studies
Abstract
:1. Introduction
2. Satellite-Based Estimates of Spectrally-Resolved Solar Radiation Data
2.1. Retrieval of Spectrally-Resolved Solar Radiation Data from Satellite Images
2.2. Calculation of Inclined-Plane Radiation
3. Models and Data for PV Performance Studies
- Increased reflectivity at a shallow angle of incidence;
- The effect of the spectrum of the sunlight;
- The effects of module temperature and irradiance.
3.1. Influence of Angle of Incidence on the Transmitted Irradiance
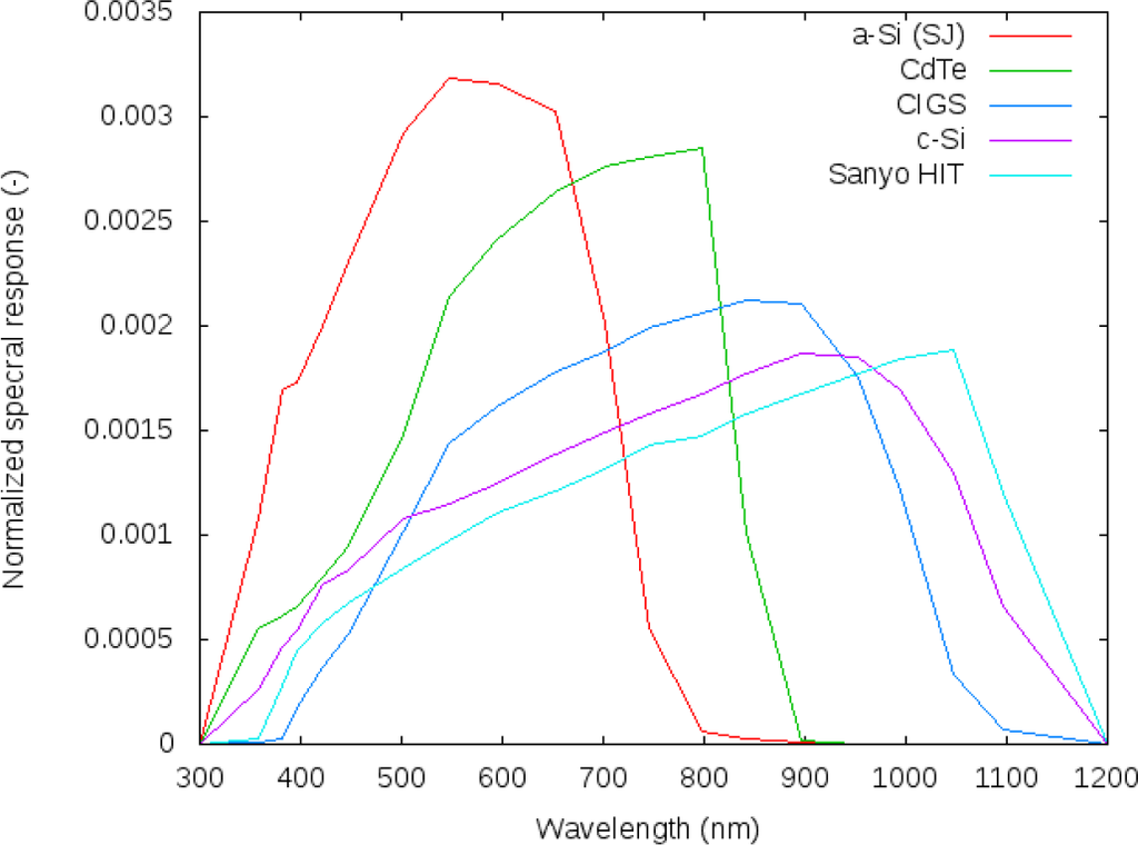
3.2. Effects of Changes in the Light Spectrum
3.3. Model for PV Performance
3.4. Sources of PV Module Data
4. Validation
- For every satellite retrieved time point, the closest measurement in time to the moment when the satellite image was taken is selected from the measurement time series. Due to the frequency of the measured data, a 5-min window centered at the moment of the satellite data was applied for the Cyprus database and a 20-min window was used for the Ispra database.
- The measured spectral irradiance values are integrated into bands according to the limits of the Kato bands available in the estimated database. However, due to the wavelength range of the equipment used to measure the spectral irradiance, not all of the 30 bands available in the estimated database can be considered.
- It was decided to remove all of the moments when the Sun’s elevation angle is below 5°.
- spectral irradiance in every band calculated by dividing the irradiance values in each Kato band by the width of the band in nm, Rλ (W/m2/nm);
- normalized spectral irradiance Rn (1/nm), obtained by dividing the irradiance value in every Kato band by the sum of the irradiance values of all the Kato bands considered. In this way, the broadband irradiance, after the normalization, is equal to 1 W/m2 for both the measurements and the estimates. These relative irradiance values per Kato band make it possible to see if some parts of the estimated spectrum have an excess or deficit relative to the measured averaged spectrum.
4.1. Global Horizontal Radiation
4.2. Direct Normal Radiation
4.3. Average Photon Energy Calculation
- global horizontal spectral irradiance measured every 2 nm (meas);
- global horizontal spectral irradiance measured every 2 nm, but integrated into Kato bands (measKB);
- satellite-derived global horizontal spectral irradiance, which is already integrated into Kato bands (satKB).
4.4. Validation of the Model for PV Performance under Varying Spectrum
5. Geospatial Mapping of PV Performance Variations due to Solar Spectrum Variations
5.1. Comparison with Results from the Literature
5.2. Mapping the Influence of the Spectrum on PV Performance
- From the global horizontal and direct horizontal irradiance, calculate the inclined-plane direct and diffuse irradiance in each spectral band (Section 2.2).
- Correct the in-plane of array irradiance for AOI effects (Section 3.1).
- From the corrected direct and diffuse irradiance, use Equation (3) to calculate the effective irradiance.
- Calculate the module temperature from the AOI-corrected irradiance, ambient temperature and wind speed using Equation (8).
- Use Equations (5)–(7) to calculate the instantaneous module power.
5.3. Spectral Effect Dependence on Inclination Angle
5.4. Mapping Average Photon Energy
6. Conclusions
Appendix
| Kato Band | Lower Limit (nm) | Upper Limit (nm) |
|---|---|---|
| 1 | 240.1 | 272.5 |
| 2 | 272.5 | 283.4 |
| 3 | 283.4 | 306.8 |
| 4 | 306.8 | 327.8 |
| 5 | 327.8 | 362.5 |
| 6 | 362.5 | 407.5 |
| 7 | 407.5 | 452.0 |
| 8 | 452.0 | 517.7 |
| 9 | 517.7 | 540.0 |
| 10 | 540.0 | 549.5 |
| 11 | 549.5 | 566.6 |
| 12 | 566.6 | 605.0 |
| 13 | 605.0 | 625.0 |
| 14 | 625.0 | 666.7 |
| 15 | 666.7 | 684.2 |
| 16 | 684.2 | 704.4 |
| 17 | 704.4 | 742.6 |
| 18 | 742.6 | 791.5 |
| 19 | 791.5 | 844.5 |
| 20 | 844.5 | 889.0 |
| 21 | 889.0 | 974.9 |
| 22 | 974.9 | 1,045.7 |
| 23 | 1,045.7 | 1,194.2 |
| 24 | 1,194.2 | 1,515.9 |
| 25 | 1,515.9 | 1,613.5 |
| 26 | 1,613.5 | 1,964.8 |
| 27 | 1,964.8 | 2,153.5 |
| 28 | 2,153.5 | 2,275.2 |
| 29 | 2,275.2 | 3,001.9 |
| 30 | 3,001.9 | 3,635.4 |
| 31 | 3,635.4 | 3,991.0 |
| 32 | 3,991.0 | 4,605.7 |
Acknowledgments
Author Contributions
Conflicts of Interest
References
- Gottschalg, R.; Infield, D.G.; Kearny, M.J. Experimental study of variations of the solar spectrum of relevance to thin film solar cells. Solar Energy Mater. Solar Cells 2003, 79, 527–537. [Google Scholar]
- Gottschalg, R.; Betts, T.R.; Williams, S.R.; Sauter, D.; Infield, D.G.; Kearny, M.J. A critical appraisal of the factors affecting energy production from amorphous silicon photovoltaic arrays in a maritime climate. Solar Energy 2004, 77, 909–916. [Google Scholar]
- Minemoto, T.; Nagae, S.; Takakura, H. Impact of spectral irradiance distribution and temperature on the outdoor performance of amorphous Si photovoltaic modules. Solar Energy Mater. Solar Cells 2007, 91, 919–923. [Google Scholar]
- Nikolaeva-Dimitrova, M.; Kenny, R.; Dunlop, E.; Pravettoni, M. Seasonal variations on energy yield of a-Si, hybrid, and crystalline Si PV modules. Prog. Photovolt. Res. Appl. 2010, 18, 311–320. [Google Scholar]
- Gottschalg, R.; Betts, T.R.; Eeles, A.; Williams, R.R.; Zhu, J. Influences on the energy delivery of thin film photovoltaic modules. Solar Energy Mater. Solar Cells 2013, 119, 169–180. [Google Scholar]
- Alonso-Abella, M.; Chenlo, F.; Nofuentes, G.; Torres-Ramirez, M. Analysis of spectral effects on the energy yield of different PV (photovoltaic) technologies: The case of four specific sites. Energy 2014, 67, 435–443. [Google Scholar]
- Nofuentes, G.; Garcia-Domingo, B.; Munoz, J.V.; Chenlo, F. Analysis of the dependence of the spectral factor of some PV technologies on the solar spectrum distribution. Appl. Energy 2014, 113, 302–309. [Google Scholar]
- Dirnberger, D.; Blackburn, G.; Müller, B.; Reise, C. On the impact of solar spectral irradiance on the yield of different PV technologies. Solar Energy Mater. Solar Cells 2015, 132, 431–442. [Google Scholar]
- Jardine, C.; Betts, T.; Gottschlg, R.; Infield, D.G.; Lane, K. Influence of spectral effects on the performance of multijunction amorphous silicon cells, Proceedings of the 17th European Photovoltaic and Solar Energy Conference, Munich, Germany, 22–26 October 2001; 44.
- Belluardo, G.; Wagner, J.; Tetzlaff, A.; Moser, D. Evaluation of spectral effect on module performance using modeled average wavelength, Proceedings of the 28th European Photovoltaic Solar Energy Conference and Exhibition, Paris, France, 30 September 2013.
- Peharz, G.; Siefer, G.; Bett, A.W. A simple method for quantifying spectral impacts on multi-junction solar cells. Solar Energy 2009, 83, 1588–1598. [Google Scholar]
- Minemoto, T.; Nakada, Y.; Takahashi, H.; Takakura, H. Uniqueness verification of solar spectrum index of average photon energy for evaluating outdoor performance of photovoltaic modules. Solar Energy 2009, 83, 1294–1299. [Google Scholar]
- Müller, R.; Behrendt, T.; Hammer, A.; Kemper, A. A new algorithm for the satellite-based retrieval of solar surface irradiance in spectral bands. Remote Sens. 2012, 4, 622–647. [Google Scholar]
- Behrendt, T.; Kuehnert, J.; Hammer, A.; Lorenz, E.; Betcke, J.; Heinemann, D. Solar spectral irradiance derived from satellite data: A tool to improe thin film PV performance estimations? Solar Energy 2013, 98, 100–110. [Google Scholar]
- Mueller, R.; Trentmann, J.; Träger-Chatterjee, C.; Posselt, R.; Stöckli, R. The role of the effective cloud Albedo for climate monitoring and analysis. Remote Sens. 2011, 3, 2305–2320. [Google Scholar]
- Morcrette, J.; Boucher, O.; Jones, L.; Salmond, D.; Bechtold, P.; Beljaars, A.; Benedetti, A.; Bonet, A.; Kaiser, J.; Razinger, M.; et al. Aerosol analysis and forecast in the European Centre for Medium-Range Weather Forecasts Integrated Forecast System: Forward modeling. J. Geophys. Res. 2009, 114. [Google Scholar] [CrossRef]
- Benedetti, A.; Morcrette, J.; Boucher, O.; Dethof, A.; Engelen, R.; Fisher, M.; Flentje, H.; Huneeus, N.; Jones, L.; Kaiser, J.; et al. Aerosol analysis and forecast in the European Centre for Medium-Range Weather Forecasts Integrated Forecast System: 2. Data assimilation. J. Geophys. Res. 2009, 114. [Google Scholar] [CrossRef]
- Dee, D.; Uppala, S. Variational bias correction of satellite radiance data in the ERA-interim reanalyis. Q. J. R. Meteorol. Soc. 2009, 135, 1830–1841. [Google Scholar]
- Betts, A.; Ball, J.; Bosilovich, M.; Viterbo, P.; Zhang, Y.; Rossow, W. Intercomparison of water and energy budgets for five Mississippi subbasins between ECMWF re-analysis (ERA-40) and NASA Data Assimilation Office fvGCM for 1990–1999. J. Geophys. Res. 2003, 108. [Google Scholar] [CrossRef]
- Mayer, B.; Kylling, A. Technical note: The libRadtran software package for radiative transfer calculations-Description and examples of use. Atmos. Chem. Phys. 2005, 135, 1855–1877. [Google Scholar]
- Gracia Amillo, A.; Huld, T.; Müller, R. A New Database of Global and Direct Solar Radiation Using the Eastern Meteosat Satellite, Models and Validation. Remote Sens. 2014, 6, 8165–8189. [Google Scholar]
- Kato, S.; Ackerman, T.; Mather, J.; E.E.C. The k-distribution method and correlated-k approximation for a shortwave radiative transfer model. J. Quant. Spectrosc. Radiat. Transf. 1999, 62, 109–121. [Google Scholar]
- Gueymard, C. Prediction and validation of cloudless shortwave solar spectra incident on horizontal, tilted, or tracking surfaces. Solar Energy 2008, 82, 260–271. [Google Scholar]
- Šúri, M.; Hofierka, J. A New GIS-based Solar Radiation Model and Its Application to Photovoltaic Assessments. Trans. GIS 2004, 8, 175–190. [Google Scholar]
- Muneer, T. Solar radiation model for Europe. Build. Serv. Eng. Res. Technol. 1990, 4, 153–163. [Google Scholar]
- Perez, R.; Seals, R.; Ineichen, P.; Stewart, R.; Menicucci, D. A new simplified version of the Perez diffuse irradiance model for tilted surfaces. Solar Energy 1987, 39, 221–231. [Google Scholar]
- Martin, N.; Ruiz, J. Calculation of the PV modules angular losses under field conditions by means of an analytical model. Solar Energy Mater. Solar Cells 2001, 70, 25–38. [Google Scholar]
- Bahrs, U.; Zaaiman, W.; Mertens, M.; Ossenbrink, H. Automatic large area spectral response facility, Proceedings of the 14th European Photovoltaic SolarEnergy Conference, Barcelona, Spain, 30 June–4 July 1997; pp. 2296–2298.
- King, D.; Boyson, W.; Kratochvil, J. Photovoltaic Array Performance Model; Technical Report SAND2004-3535; Sandia National Laboratories: Albuquerque, NM, USA, 2004. [Google Scholar]
- Friesen, G.; Chianese, D.; Pola, I.; Realini, A.; A., B. Energy rating measurements and predictions at ISAAC, Proceedings of the 22nd European Photovoltaic SolarEnergy Conference, Milan, Italy, 3–7 September 2007; pp. 2754–2757.
- Skoplaki, E.; Palyvos, J. On the temperature dependence of photovoltaic module electrical performance: A review of efficiency/power correlations. Solar Energy 2009, 83, 614–624. [Google Scholar]
- Huld, T.A.; Friesen, G.; Skoczek, A.; Kenny, R.A.; Sample, T.; Field, M.; Dunlop, E.D. A power-rating model for crystalline silicon PV modules. Solar Energy Mater. Solar Cells 2011, 95, 3359–3369. [Google Scholar]
- Faiman, D. Assessing the outdoor operating temperature of photovoltaic modules. Prog. Photovolt. Res. Appl. 2008, 16, 307–315. [Google Scholar]
- Koehl, M.; Heck, M.; Wiesmeier, S.; Wirth, J. Modeling of the nominal operating cell temperature based on outdoor weathering. Solar Energy Mater. Solar Cells 2011, 95, 1638–1646. [Google Scholar]
- Norton, M.; Gracia Amillo, A.; Galleano, R. Comparison of Solar Spectral Irradiance Measurements using the Average Photon Energy Parameter. Available online: http://re.jrc.ec.europa.eu/pvgis/spectralpaper/comparison-solar-spectral.pdf accessed on 17 April 2015.
- Norton, M.; Paraskeva, V.; Galleano, R.; Makrides, G.; Kenny, R.; Georghiou, G. High quality measurements of the solar spectrum for simulation of multi-junction photovoltaic cell yields, Proceedings of the 29th European Photovoltaic Solar Energy Conference and Exhibition, Amsterdam, The Netherlands, 22–26 September 2014; pp. 2002–2007.
- Supplementary material to the present paper. Available online: http://re.jrc.ec.europa.eu/pvgis/spectralpaper/supplementary.docx accessed on 17 April 2015.
- Kenny, R.; Dunlop, E.; Ossenbrink, H.; Müllejans, H. A practical method for the energy rating of c-Si photovoltaic modules based on standard tests. Prog. Photovolt. Res. Appl. 2006, 14, 155–166. [Google Scholar]
- Dee, D.P.; Uppala, S.M.; Simmons, A.J.; Berrisford, P.; Poli, P.; Kobayashi, S.; Andrae, U.; Balmaseda, M.A.; Balsamo, G.; Bauer, P.; et al. The ERA-Interim reanalysis: Configuration and performance of the data assimilation system. Q. J. R. Meteorol. Soc. 2011, 137, 553–597. [Google Scholar]















| Module Type | u0 (W/(°C.m2)) | u1 (W.s/(°C.m3)) |
|---|---|---|
| c-Si | 26.9 | 6.20 |
| CdTe | 23.4 | 5.44 |
| a-Si | 25.7 | 6.29 |
| Location | Ispra (Italy) (45.81° N, 8.62° E) | Nicosia (Cyprus) (35.15° N, 33.42° E) |
|---|---|---|
| Variable (W/m2/nm) | Spectral GHI | Spectral DNI |
| Period of time analyzed | 2009: January–December 2010: January–June | 2013: August–September |
| Wavelength range (nm) | 400–2,500 | 300–1,700 |
| Wavelength step (nm) | 2 | 2 |
| Temporal resolution (minutes) | 30 | 5 |
| Initial number of measurements | 10,411 | 7,091 |
| Kato Band
| Spectral Irradiance, Rλ | Normalized Irradiance, Rn | |||||
|---|---|---|---|---|---|---|---|
| Lower Limit (nm) | Upper Limit (nm) | Average Meas (W/m2/nm) | MBD (W/m2/nm) 10−2 | rMBD (%) | MBD (1/nm) 10−5 | rMBD (%) | |
| 7 | 407.5 | 452.0 | 0.42 | 4.5 | 10.9 | 6.6 | 4.5 |
| 8 | 452.0 | 517.7 | 0.50 | 4.1 | 8.1 | 3.3 | 1.9 |
| 9 | 517.7 | 540.0 | 0.49 | 3.8 | 7.7 | 2.6 | 1.5 |
| 10 | 540.0 | 549.5 | 0.49 | 4.0 | 8.2 | 3.3 | 1.9 |
| 11 | 549.5 | 566.6 | 0.48 | 4.1 | 8.6 | 3.9 | 2.3 |
| 12 | 566.6 | 605.0 | 0.46 | 5.0 | 10.8 | 7.0 | 4.4 |
| 13 | 605.0 | 625.0 | 0.45 | 4.5 | 10.1 | 5.8 | 3.7 |
| 14 | 625.0 | 666.7 | 0.43 | 3.8 | 8.6 | 3.6 | 2.4 |
| 15 | 666.7 | 684.2 | 0.44 | 2.6 | 5.9 | −0.3 | −0.2 |
| 16 | 684.2 | 704.4 | 0.39 | 1.8 | 4.6 | −1.9 | −1.4 |
| 17 | 704.4 | 742.6 | 0.37 | 1.9 | 5.2 | −1.1 | −0.9 |
| 18 | 742.6 | 791.5 | 0.34 | 1.8 | 5.2 | −1.1 | −0.9 |
| 19 | 791.5 | 844.5 | 0.31 | 1.5 | 4.9 | −1.2 | −1.2 |
| 20 | 844.5 | 889.0 | 0.30 | 1.4 | 4.8 | −1.3 | −1.3 |
| 21 | 889.0 | 974.9 | 0.17 | 1.3 | 7.9 | 1.0 | 1.7 |
| 22 | 974.9 | 1,045.7 | 0.22 | 1.1 | 4.8 | −0.9 | −1.2 |
| 23 | 1,045.7 | 1,194.2 | 0.13 | 0.4 | 2.7 | −1.4 | −3.2 |
| 24 | 1,194.2 | 1,515.9 | 0.064 | 0.2 | 3.2 | −0.6 | −2.7 |
| 25 | 1,515.9 | 1,613.5 | 0.074 | 0.5 | 6.9 | 0.2 | 0.8 |
| 26 | 1,613.5 | 1,964.8 | 0.029 | −0.2 | −7.3 | −1.3 | −12.7 |
| 27 | 1,964.8 | 2,153.5 | 0.020 | −0.03 | −1.7 | −0.5 | −7.3 |
| Kato Band
| Spectral Irradiance, RDNI,λ | Normalized Irradiance, RDNI,n | |||||
|---|---|---|---|---|---|---|---|
| Lower Limit (nm) | Upper Limit (nm) | Average Meas (W/m2/nm) | MBD (W/m2/nm) 10−2 | rMBD (%) | MBD (1/nm) 10−5 | rMBD (%) | |
| 4 | 306.8 | 327.8 | 0.06 | 1.9 | 32.7 | 2.7 | 24.6 |
| 5 | 327.8 | 362.5 | 0.17 | 1.7 | 10.4 | 1.1 | 3.6 |
| 6 | 362.5 | 407.5 | 0.34 | −1.4 | −4.1 | −6.3 | −9.9 |
| 7 | 407.5 | 452.0 | 0.66 | −3.7 | −5.7 | −14.0 | −11.4 |
| 8 | 452.0 | 517.7 | 0.88 | −4.2 | −4.8 | −17.5 | −10.6 |
| 9 | 517.7 | 540.0 | 0.93 | −4.2 | −4.5 | −18.0 | −10.3 |
| 10 | 540.0 | 549.5 | 0.93 | −2.2 | −2.4 | −14.5 | −8.3 |
| 11 | 549.5 | 566.6 | 0.94 | −1.9 | −2.1 | −14.1 | −8.0 |
| 12 | 566.6 | 605.0 | 0.91 | 0.3 | 0.4 | −9.9 | −5.8 |
| 13 | 605.0 | 625.0 | 0.92 | 0.2 | 0.2 | −10.0 | −5.9 |
| 14 | 625.0 | 666.7 | 0.87 | 1.7 | 2.0 | −6.9 | −4.2 |
| 15 | 666.7 | 684.2 | 0.85 | 4.3 | 5.0 | −2.2 | −1.4 |
| 16 | 684.2 | 704.4 | 0.76 | 3.0 | 4.0 | −3.3 | −2.3 |
| 17 | 704.4 | 742.6 | 0.69 | 3.1 | 4.5 | −2.4 | −1.9 |
| 18 | 742.6 | 791.5 | 0.65 | 6.3 | 9.8 | 3.7 | 3.1 |
| 19 | 791.5 | 844.5 | 0.58 | 5.0 | 8.5 | 2.0 | 1.9 |
| 20 | 844.5 | 889.0 | 0.56 | 8.9 | 15.9 | 9.2 | 8.8 |
| 21 | 889.0 | 974.9 | 0.27 | 6.2 | 22.5 | 7.8 | 15.1 |
| 22 | 974.9 | 1,045.7 | 0.42 | 7.9 | 19.0 | 9.2 | 11.8 |
| 23 | 1,045.7 | 1,194.2 | 0.23 | 3.9 | 16.5 | 4.2 | 9.4 |
| 24 | 1,194.2 | 1,515.9 | 0.13 | 2.0 | 15.8 | 2.1 | 8.8 |
| 25 | 1,515.9 | 1,613.5 | 0.16 | 3.9 | 25.1 | 5.1 | 17.5 |
| Dataset | APE Value |
|---|---|
| Meas | 1.8468 |
| MeasK B | 1.8409 |
| SatK B | 1.8477 |
| Mismatch Factor | Value (%) |
|---|---|
| Predicted CdTe mismatch 〈MMCdTe_sat〉 | 1.00 |
| Predicted Si mismatch 〈MMSi_sat〉 | 0.61 |
| Predicted mismatch between CdTe and Si sensor 〈MMpred_sat〉 | 0.39 |
| Measured mismatch between CdTe and Si sensor 〈MMmeas_Isc〉 | 0.30 |
| Location | This Work | Recent Studies [6,8] | ||||
|---|---|---|---|---|---|---|
| c-Si | CdTe | a-Si | c-Si | CdTe | a-Si | |
| Freiburg | +1.3 | +1.1 | +2.0 | +1.4 | +2.4 | +3.4 |
| Stuttgart | +1.3 | +1.1 | +1.8 | −0.6 | −0.5 | −0.4 |
| Madrid | +0.6 | +0.4 | +1.3 | +0.6 | −1.2 | −0.5 |
| Jaen | +0.5 | +0.6 | +2.8 | −0.2 | −0.4 | 0.4 |
| Tamanrasset | −0.2 | −0.1 | +1.7 | −0.8 | +0.1 | +2.2 |
© 2015 by the authors; licensee MDPI, Basel, Switzerland This article is an open access article distributed under the terms and conditions of the Creative Commons Attribution license (http://creativecommons.org/licenses/by/4.0/).
Share and Cite
Amillo, A.M.G.; Huld, T.; Vourlioti, P.; Müller, R.; Norton, M. Application of Satellite-Based Spectrally-Resolved Solar Radiation Data to PV Performance Studies. Energies 2015, 8, 3455-3488. https://doi.org/10.3390/en8053455
Amillo AMG, Huld T, Vourlioti P, Müller R, Norton M. Application of Satellite-Based Spectrally-Resolved Solar Radiation Data to PV Performance Studies. Energies. 2015; 8(5):3455-3488. https://doi.org/10.3390/en8053455
Chicago/Turabian StyleAmillo, Ana Maria Gracia, Thomas Huld, Paraskevi Vourlioti, Richard Müller, and Matthew Norton. 2015. "Application of Satellite-Based Spectrally-Resolved Solar Radiation Data to PV Performance Studies" Energies 8, no. 5: 3455-3488. https://doi.org/10.3390/en8053455
APA StyleAmillo, A. M. G., Huld, T., Vourlioti, P., Müller, R., & Norton, M. (2015). Application of Satellite-Based Spectrally-Resolved Solar Radiation Data to PV Performance Studies. Energies, 8(5), 3455-3488. https://doi.org/10.3390/en8053455
