Slit Wall and Heat Transfer Effect on the Taylor Vortex Flow
Abstract
:1. Introduction
2. Experimental Apparatus and Results
2.1. Experimental Apparatus


2.2. Experimental Results

3. Numerical Calculation Method
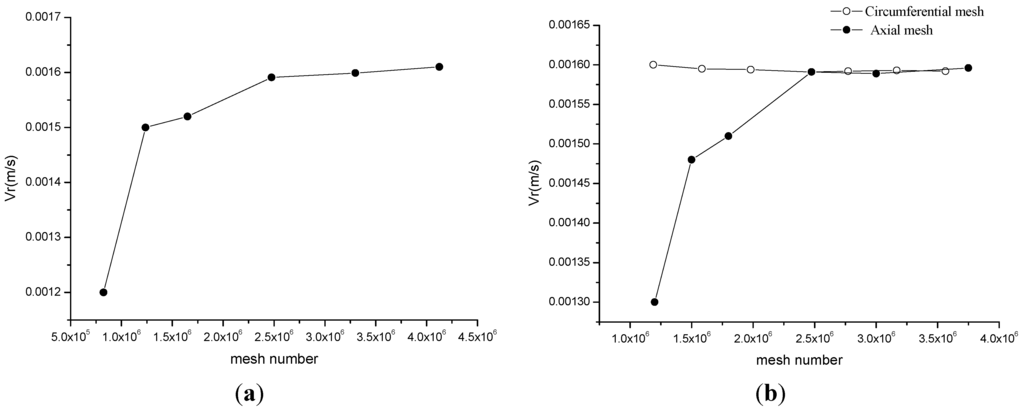
3.1. Calculation Model

3.2. Numerical Mode



4. Analysis of Simulation Results
4.1. Numerical Validity


4.2. Characteristic of Flow and Heat Transfer Process in Plain Model



4.3. Flow Field Distribution in Slit Models







5. Conclusions
Acknowledgments
Author Contributions
Conflicts of Interest
References
- Taylor, G.I. Stability of a viscous liquid contained between two rotating cylinders. Philos. Trans. R. Soc. A 1923, 223, 289–343. [Google Scholar] [CrossRef]
- Tzeng, S.C.; Ma, W.P.; Lin, C.W. Experimental investigation of lubrication and cooling effects of high-speed rotating machines. Int. J. Adv. Manuf. Technol. 2007, 35, 394–399. [Google Scholar] [CrossRef]
- Lepiller, V.; Goharzadeh, A.; Prigent, A.; Mutabazi, I. Weak temperature gradient effect on the stability of the circular Couette flow. Eur. Phys. J. B 2008, 61, 445–455. [Google Scholar] [CrossRef]
- Poncet, S.; Haddadi, S.; Viazzo, S. Numerical modeling of fluid flow and heat transfer in a narrow Taylor-Couette-Poiseuille system. Int. J. Heat Fluid Flow 2011, 1, 128–144. [Google Scholar] [CrossRef]
- Kang, C.W.; Yang, K.S.; Mutabazi, I. The effect of radial temperature gradient on the circular-Couette flow. Trans. KSCFE 2009, 14, 16–24. [Google Scholar]
- Hayase, T.; Humphrey, J.A.C.; Greif, R. Numerical calculation of convective heat transfer between rotating coaxial cylinders with periodically embedded cavities. J. Heat Transf. 1992, 114, 589–597. [Google Scholar] [CrossRef]
- Lee, Y.N.; Minkowycz, W.J. Heat transfer characteristics of the annulus of two-coaxial cylinders with one cylinder rotating. Int. J. Heat Mass Transf. 1989, 32, 711–722. [Google Scholar] [CrossRef]
- Liu, D.; Lee, S.H.; Kim, H.B. Effect of a constant radial temperature gradient on a Taylor-Couette with axial wall slits. Fluid Dyn. Res. 2010, 42, 065501. [Google Scholar] [CrossRef]
- Liu, D.; Kang, I.S.; Cha, J.E.; Kim, H.B. Experimental study on radial temperature gradient effect of a Taylor-Couette flow with axial wall slits. Exp. Therm. Fluid Sci. 2011, 35, 1282–1292. [Google Scholar] [CrossRef]
- Liu, D.; Zhu, J.; Wang, Y.Z. Numerical Simulation of the slit wall effect on flow stability in Taylor Vortex Flow Regime. J. Drain. Irrig. Mach. Eng. 2014, 3, 1–5. [Google Scholar] [CrossRef]
- Liu, D.; Wang, Y.Z.; Kim, H.B. Slit wall effect on the stability of wavy vortex flow. Adv. Mech. Eng. 2014, 853069. [Google Scholar] [CrossRef]
- Cole, J.A. Taylor-vortex instability and annulus-length effects. J. Fluid Mech. 1976, 75, 1–15. [Google Scholar] [CrossRef]
- Wereley, S.T.; Lueptow, R.M. Spatio-temporal character of non-wavy and wavy Taylor-Couetteflow. J. Fluid Mech. 1998, 364, 59–80. [Google Scholar] [CrossRef]
- Lee, S.H.; Chung, H.T.; Park, C.W.; Kim, H.B. Experimental investigation of the effect of axial wall slits on Taylor-Couette flow. Fluid Dyn. Res. 2009, 41, 045502. [Google Scholar] [CrossRef]
© 2015 by the authors; licensee MDPI, Basel, Switzerland. This article is an open access article distributed under the terms and conditions of the Creative Commons Attribution license (http://creativecommons.org/licenses/by/4.0/).
Share and Cite
Liu, D.; Wang, Y.-Z.; Shi, W.-D.; Kim, H.-B.; Tang, A.-K. Slit Wall and Heat Transfer Effect on the Taylor Vortex Flow. Energies 2015, 8, 1958-1974. https://doi.org/10.3390/en8031958
Liu D, Wang Y-Z, Shi W-D, Kim H-B, Tang A-K. Slit Wall and Heat Transfer Effect on the Taylor Vortex Flow. Energies. 2015; 8(3):1958-1974. https://doi.org/10.3390/en8031958
Chicago/Turabian StyleLiu, Dong, Ying-Ze Wang, Wei-Dong Shi, Hyoung-Bum Kim, and Ai-Kun Tang. 2015. "Slit Wall and Heat Transfer Effect on the Taylor Vortex Flow" Energies 8, no. 3: 1958-1974. https://doi.org/10.3390/en8031958
APA StyleLiu, D., Wang, Y.-Z., Shi, W.-D., Kim, H.-B., & Tang, A.-K. (2015). Slit Wall and Heat Transfer Effect on the Taylor Vortex Flow. Energies, 8(3), 1958-1974. https://doi.org/10.3390/en8031958
