A Novel Routing Algorithm for Power Line Communication over a Low-voltage Distribution Network in a Smart Grid
Abstract
:1. Introduction
2. Artificial Cobweb Routing Algorithm
2.1. Topology of Low-Voltage PLC

2.2. Artificial Cobweb Routing Algorithm

- All nodes in the networking process are responsible for recording the physical signal strength β of the received information;
- Any node within the network can communicate with at least one other node;
- Each node attempts to find the possible number of nodes in a maximum physical range;
- The logical ID of the BS is 0, and the nodes which have been assigned logical ID is no longer involved in the new logical ID allocation process;
- After completing the networking, the central node will not become a bad node (The nodes that cannot communicate with other nodes as a result of changes to the channel condition).
2.2.1. Artificial Cobweb Routing Initialization Algorithm

- When a networking broadcast is sent by the BS, in order to explain the process of algorithm conveniently, we assume that it can only be intercepted by nodes 1 to 9, which have a close physical distance to the BS. These nodes send responses to the BS in turn and are assigned logical IDs (1 to 9) by the BS. A broadcast from the BS is received by nodes 1 to 9, which indicates that the link in the physical range of these nodes is in good condition and that the 9 nodes can directly or indirectly communicate with each other. BS selects a node h1 from these 9 nodes as the central node.
- Node h1 sends a broadcast. The rest of the eight nodes receive the broadcast, record the logical ID of h1 (nodes without a logical ID do not respond to the broadcast), and send a response to h1. Central node h1 records the logical IDs of peripheral nodes to generate a routing table. The routing table is sent to the BS so that the artificial cobweb topology network of subnet (single-layer artificial cobweb structure) 1 is completed and records that the logical layer where the nine nodes are located, is layer 1.
- Node h1 sends a networking broadcast, assuming that the broadcast is received by nodes 10~24, with the logical layer containing these nodes recorded as layer 2. Repeating step 1), node h1 assigns a logical ID and selects central node h2, assuming that h2 is any one of nodes 10~16. h2 sends a broadcast and repeat step (2). Nodes 17~24, which are located in different branches, do not receive the broadcast from h2, or if they do receive a broadcast, the broadcast is weak in intensity as a result of signal attenuation. In this case, the composite index of signal strength β is introduced to make a further judgment.
- 4.
- h2 and h3 send a broadcast again, assuming that nodes 25~36 receive the broadcast from h2, repeat step 3, and select central nodes h4 and h5 to form new cobweb networks in different branches. When there are no nodes without a logical ID response to broadcast from h3 and an empty response is obtained, then stop networking.
- 5.
- h4 and h5 send a broadcast and repeat step (3). When there are no longer nodes without logical ID response to broadcast from h4 and h5 and an empty response is obtained, and then stop networking. Stipulate that layer 3 is the spider web logical layer that h4 and h5 locate. h4 and h5 send the route table to the BS by selecting h2 and h1 as relays. Finally, the initialization is completed.
2.2.2. Example of the Routing Algorithm

3. Routing Maintenance and Reconstruction Algorithm
3.1. Routing Maintenance Principle
- when bad nodes caused by routing interrupt the operation of the completed network, a process to reconstruct the local routing of the bad nodes begins (in Section 3.2).
- during the idle periods of the network, the BS initiates the routing detection instructions. If a bad node is found, principle (1) is implemented to establish new communication routes.


| Source node | Destination node | Relay nodes |
|---|---|---|
| 1 | 5 | 7, 20 |
| 1 | 9 | 37, 24 |
| 1 | 22 | 11, 15 |
3.2. Routing Reconstruction Algorithm
- Central node 13 sends a reconstruction broadcast to the nodes in its same subnet.
- Nodes that intercept the instructions for routing reconstruction forward the instructions in turns and add their own logical ID into the data packet.
- Node 11 records the physical strength of the reconstruction broadcast signals; calculates and selects the node with max β, the composite index of the signal strength, as a relay node (node 12 in this paper); and sends a response to node 12. Node 11 establishes a communication route to central node 13 with node 12 as relay.
- Node 12 sends information to node 13, and node 13 updates the routing table.
- Node 13 sends the information layer by layer up to the BS of the corresponding node to update the routing table. Then, the reconstruction process for routing a bad node is completed.
3.3. Algorithm Timing

4. Delay Analysis
4.1. Delay Analysis without Bad Nodes
- (a)
- The BS sends a data acquisition command to the central node h1 of subnet 1.
- (b)
- A peripheral node in subnet 1 sends its data to h1.
- (c)
- After the data processing time tproc, node h1 sends the data of a peripheral node to the BS.
- (a)
- The central node h1 sends a data acquisition command to the central node h3 of subnet 3, and a peripheral node in subnet 3 sends its data to h3.
- (b)
- After the data processing time tproc, node h3 sends the data of a peripheral node to h1.
- (c)
- After the data processing time tproc, node h1 sends the data to the BS.

- (a)
- BS sends the data acquisition command to the central node h1 of subnet 1.
- (b)
- The p1 − 1 peripheral nodes send data to h1 in turns.
- (c)
- After the data processing time tproc, node h1 sends all the data of p1 nodes (include the data of node h1 itself) to the BS.
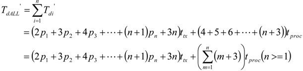
4.2. Delay Analysis with Bad Nodes


5. Simulation and Experiment
5.1. Simulation Environment and Parameter

5.2. Simulation Results and Analysis



5.3. Experiment and Analysis



6. Conclusions
- The novel routing algorithm solves the problem in which some nodes cannot access the PLC system as a result of limited data connectivity and improves the reliability of communication. Using the algorithm, the process of route maintenance after networking is simple and efficient. A routing reconstruction algorithm reroutes bad nodes at the local network level, avoiding the need to reroute all the nodes in the system and thus improving the efficiency of the communication system and enhancing the anti-destroying ability of the PLC system.
- QoS in PLC is guaranteed by the communication delay and data throughput of the artificial cobweb networking structure in terms of the data processing capacity of nodes. This routing algorithm has the characteristics of practicability and manoeuvrability.
- Each node sends data according to a strict time series, which reduces the channel collision rate considerably and improves the channel utilisation. Therefore, the algorithm improves the communication reliability of the system. The results of this study prove that the cobweb structure is an effective routing method for improving the reliability of LVPLC and guaranteeing QoS in PLC. This routing algorithm may also provide a novel routing method for other networks, such as wireless sensor networks and ad hoc networks.
Acknowledgments
References
- Mingyue, Z. Transmission characteristics of low-voltage distribution networks in china under the smart grids environment. IEEE Trans. Power Deliv. 2011, 26, 173–180. [Google Scholar]
- Theofilos, A.P.; Grigoris, K.P.; Petros, S.D. Low-voltage distribution line performance evaluation for PLC signal transmission. IEEE Trans. Power Deliv. 2008, 23, 1903–1910. [Google Scholar] [CrossRef]
- Okazima, N.; Baba, Y.; Nagaoka, N.; Ametani, A.; Temma, K.; Shimomura, T. Propagation characteristics of power line communication signals along a power cable having semiconducting layers. IEEE Trans. Electromagn. Compat. 2010, 52, 756–759. [Google Scholar] [CrossRef]
- Manfred, Z.; Klaus, D. Analysis and modeling of impulsive noise in broad-band powerline communication. IEEE Trans. Electromagn. Compat. 2002, 44, 249–258. [Google Scholar] [CrossRef]
- Justinian, A.; Nelson, T.; Rajeev, T. Channel characterization for indoor power-line networks. IEEE Trans. Power Deliv. 2009, 24, 1883–1888. [Google Scholar] [CrossRef]
- Marco, R.; Mauro, T. Power-line communications channel estimation and tracking by a competitive neural network. IEEE Trans. Consum. Electron. 2006, 52, 1213–1220. [Google Scholar]
- Dubravko, S.; Alen, B.; Roman, M. Signal propagation modeling in power-line communication networks. IEEE Trans. Power Deliv. 2005, 20, 2429–2436. [Google Scholar] [CrossRef]
- Yocheol, K.; Jung, N.B.; Jin, Y.K. Performance of power line communication systems with noise reduction scheme for smart grid applications. IEEE Trans. Consum. Electron. 2011, 57, 46–52. [Google Scholar] [CrossRef]
- Julian, M. Noise analysis of power-line communications using spread-spectrum modulation. IEEE Trans. Power Deliv. 2007, 22, 1470–1476. [Google Scholar] [CrossRef]
- Ma, Y.H.; So, P.L.; Gunawan, E. Performance analysis of OFDM systems for broadband power line communications under impulsive noise and multipath effects. IEEE Trans. Power Deliv. 2005, 20, 674–683. [Google Scholar] [CrossRef]
- Jongman, H.; Kamrok, L.; Hyoung, K.K.; Dong-Sung, K.; Wook, H.K. Adaptive channel state routing for home network systems. IEEE Trans. Consum. Electron. 2007, 53, 1410–1418. [Google Scholar] [CrossRef]
- Gao, Q.; Yu, J.Y.; Chong, P.H.J.; So, P.L.; Gunawan, E. Solutions for the “silent node” problem in an automatic meter reading system using power-line communications. IEEE Trans. Power Deliv. 2008, 23, 150–156. [Google Scholar] [CrossRef]
- Xiaosheng, L.; Liang, Z.; Yan, Z.; Dianguo, X. Performance Analysis of Power Line Communication Network Model Based on Spider Web. In Proceedings of the IEEE 8th International Conference on Power Electronics (ECCE Asia), Jeju, Korea, 30 May–3 June 2011; pp. 953–959.
- Sivaneasan, B.; Gunawan, E.; So, P.L. Modeling and performance analysis of automatic meter-reading systems using plc under impulsive noise interference. IEEE Trans. Power Deliv. 2010, 25, 1465–1475. [Google Scholar] [CrossRef]
- Charles, J.K.; Mohamed, F.C. Attenuation characteristics of high rate home-networking PLC signals. IEEE Trans. Power Deliv. 2002, 17, 945–950. [Google Scholar] [CrossRef]
- Qi, J.-J.; Liu, X.-S.; Xu, D.-G.; Li, Y.; Mou, Y.-F. Simulation study on cluster-based routing algorithm and reconstruction method of power line communication over lower-voltage distribution. Proc. CSEE 2008, 28, 65–71. [Google Scholar]
- Liu, X.-S.; Zhou, Y.; Qi, J.-J. Method study of automatic routing for power line communication. Proc. CSEE 2006, 26, 76–81. [Google Scholar]
- Konnex (KNX) standard. KNX Association: Brussels, Belgium, 2002.
© 2013 by the authors; licensee MDPI, Basel, Switzerland. This article is an open access article distributed under the terms and conditions of the Creative Commons Attribution license (http://creativecommons.org/licenses/by/3.0/).
Share and Cite
Zhang, L.; Liu, X.; Zhou, Y.; Xu, D. A Novel Routing Algorithm for Power Line Communication over a Low-voltage Distribution Network in a Smart Grid. Energies 2013, 6, 1421-1438. https://doi.org/10.3390/en6031421
Zhang L, Liu X, Zhou Y, Xu D. A Novel Routing Algorithm for Power Line Communication over a Low-voltage Distribution Network in a Smart Grid. Energies. 2013; 6(3):1421-1438. https://doi.org/10.3390/en6031421
Chicago/Turabian StyleZhang, Liang, Xiaosheng Liu, Yan Zhou, and Dianguo Xu. 2013. "A Novel Routing Algorithm for Power Line Communication over a Low-voltage Distribution Network in a Smart Grid" Energies 6, no. 3: 1421-1438. https://doi.org/10.3390/en6031421
APA StyleZhang, L., Liu, X., Zhou, Y., & Xu, D. (2013). A Novel Routing Algorithm for Power Line Communication over a Low-voltage Distribution Network in a Smart Grid. Energies, 6(3), 1421-1438. https://doi.org/10.3390/en6031421
