Gradient Revision Method for Demand Response Stimulus Parameters of the Integrated Energy System
Abstract
1. Introduction
- This paper establishes an IES optimization model based on the Stackelberg game. As the leader, the IEO sets the energy selling price and demand response incentive compensation price according to the estimated response of the LA from the IDR model to maximize profits. As a follower, LA optimizes energy consumption strategies by integrating demand response resources to minimize costs.
- This paper constructs a demand response model based on the principle of consumer psychology. It proposes the GD-DRPR by establishing an objective function based on the difference between expected demand response rates of the IEO and the LA. This approach improves the IEO’s decision-making within the IDR model and enables precise mobilization of LA resources. Furthermore, it reduces the number of interactions between the IEO and the LA, increases transaction efficiency, and lowers the barrier for user participation in IDR.
- A response adjustment mechanism is designed. After the Stackelberg game concludes, the IEO verifies and adjusts the IDR plan with the LA to ensure its practical feasibility.
2. Structure of IES and Stackelberg Game Framework
2.1. Structure of IES
2.2. Stackelberg Game Framework for IES Under GD-DRPR
3. IDR Model and Its Threshold Parameters Revision Method
3.1. A Demand Response Model Based on the Principle of Consumer Psychology
3.2. IDR Model
3.2.1. PBDR Model
3.2.2. SBDR Model
3.2.3. IBDR Model
3.3. Revision Method for IDR Stimulus Threshold Parameters
3.3.1. GD-DRPR Process
- 1.
- Set the initial parameters as n = 0, m = 0, and , where m is the count of interactions between the IEO and LA, and is the MAPE calculated following each interaction. The IEO performs its initial decision-making based on the initial IDR stimulus threshold.
- 2.
- Let m = m + 1. The LA executes a decision-making round according to the current price, subsequently providing the expected response rate to the IEO.
- 3.
- Let n = n + 1. The gradient of the current objective function is then calculated with the following formula:
- 4.
- The IDR stimulus threshold parameters are updated along the negative gradient using the following formula:where is the iterative step size.
- 5.
- The IEO determines its pricing strategies based on the current IDR stimulus threshold parameters.
- 6.
- Calculate for iteration n. If , let , , and . Otherwise, return to Step 3 to continue the inner loop.
- 7.
- If , the algorithm concludes. Otherwise, pass the current pricing strategy to LA and return to Step 2 to begin a new outer loop.
3.3.2. Proof of Convergence for GD-DRPR
4. IES Stackelberg Game Model
4.1. IEO Pricing Decision Model
4.1.1. Objective Function
4.1.2. Constraints
4.2. LA Energy Consumption Decision Model
4.2.1. Objective Function
4.2.2. Constraints
4.3. Rescheduling Model for IEO Under a Response Adjustment Mechanism
4.4. Model Solution
5. Case Study
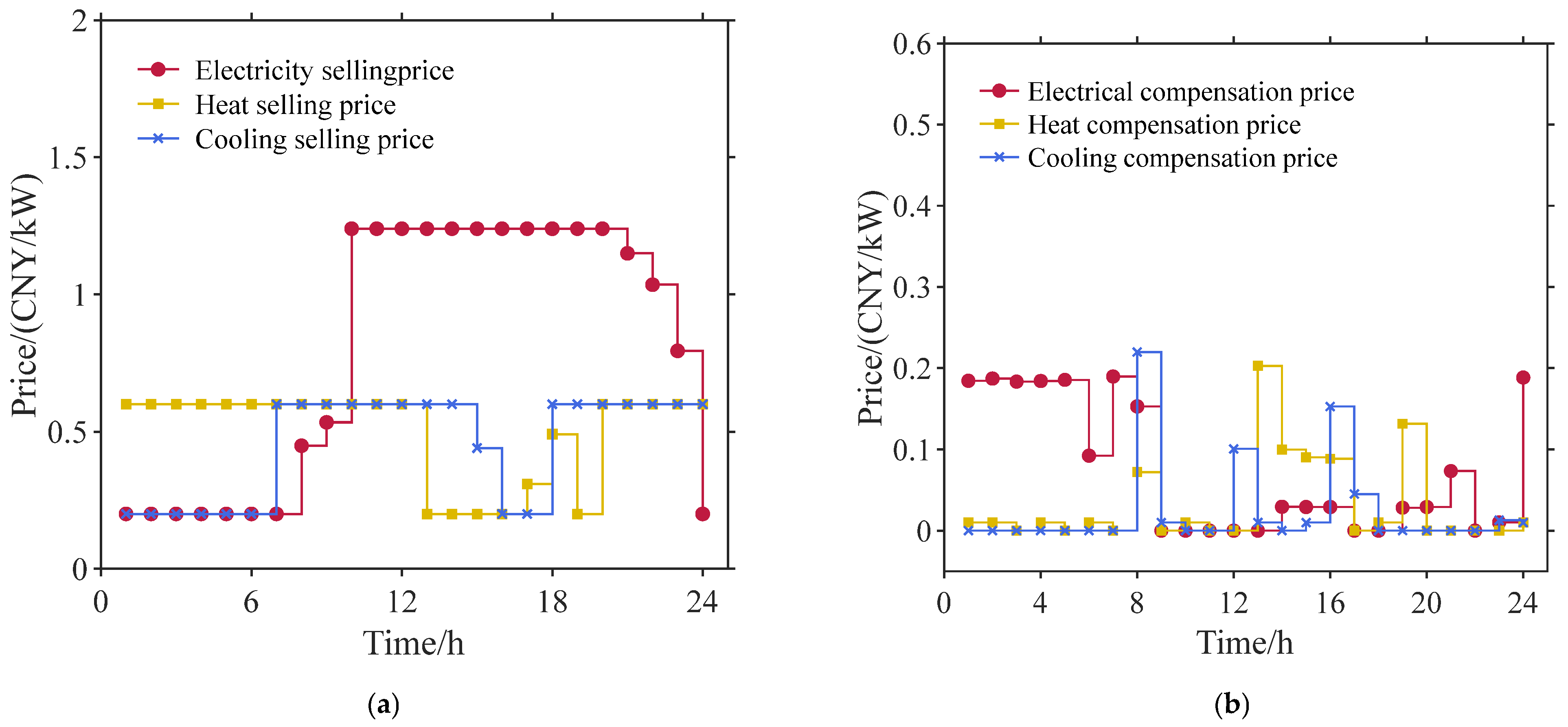
5.1. Basic Data
5.2. Analysis of IDR and IES Optimization Results
5.3. Analysis of GD-DRPR and Response Adjustment Mechanism
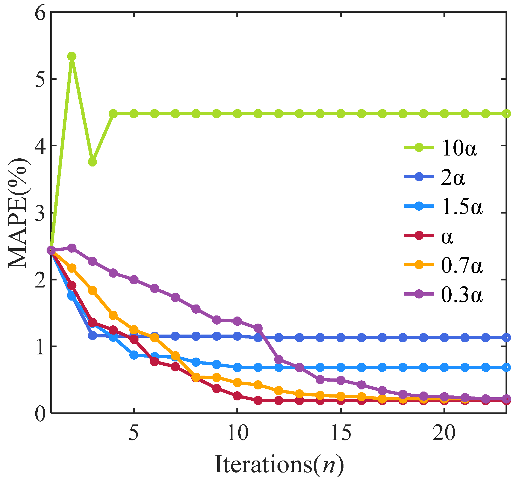
5.4. The Effect of the Satisfaction Loss Parameters on GD-DRPR
5.5. Convergence Analysis of GD-DRPRs
5.6. Comparative Analysis of GD-DRPR and Other Methods
6. Conclusions
- The proposed GD-DRPR reduces the MAPE of planned IDR loads by 92.45% and the RMSE by 92.73%, enabling rapid revision of stimulus threshold parameters in the dead zone and saturation zone of the IDR model.
- The IES Stackelberg game model proposed in this paper, the IEO employs the IDR model to support decision-making. Compared to scenarios without GD-DRPR, carbon emissions were reduced by 13.29%, while the IEO’s total revenue increased by 8.83%, achieving synergistic improvements in both the economic efficiency and low-carbon performance of IES operations.
- Compared to traditional Stackelberg game methods, GD-DRPR reduces the interaction frequency between IEO and LA, thereby improving transaction efficiency. This reduction in interactions also alleviates the decision-making burden on the LA, effectively lowering the market entry barriers for both users and LAs. The improved transaction efficiency facilitates the IEO’s participation in more complex and large-scale market environments.
- The initial stimulus threshold parameters and the upper limits of users’ demand response are merely set within a reasonable range based on previous studies. The adaptability of GD-DRPR in complex real-world environments remains to be verified.
- This study only considers a deterministic model. The actual performance of GD-DRPR under uncertain conditions needs to be validated.
Author Contributions
Funding
Data Availability Statement
Conflicts of Interest
Nomenclature
| Abbreviations Explanation | |
| IES | Integrated energy system |
| IEO | Integrated energy operator |
| LA | Load aggregator |
| IDR | Integrated demand response |
| GD-DRPR | Gradient descent-based integrated response stimulus threshold parameters revision method |
| PV | Photovoltaic |
| WT | Wind turbine |
| CHP | Combined heat and power |
| GB | Gas boiler |
| EB | Electric boiler |
| AC | Absorption chiller |
| EC | Electric chiller |
| ESS | Electrical storage system |
| HSS | Heat storage system |
| PBDR | Price-based demand response |
| SBDR | Substitution-based demand response |
| IBDR | Incentive-based demand response |
| Variables | |
| The energy selling price for the y class energy at time t | |
| The incentive compensation price for the y class energy at time t | |
| The mean absolute percentage error between the expected post-response load from the IEO and the LA in the inner iteration n | |
| The mean absolute percentage error between the expected post-response load from the IEO and the LA in outer iteration m | |
| The baseline electric load at time t | |
| The baseline heat load at time t | |
| The baseline cooling load at time t | |
| The shiftable electric load at time t | |
| The substitutable load of y class energy at time t | |
| The curtailable load of y class energy at time t | |
| The expected post-response load of y class energy at time t for IEO | |
| The expected post-response load of y class energy at time t for LA | |
| The electricity purchased by IEO at time t | |
| The gas purchased by IEO at time t | |
| The electric energy output of the CHP at time t | |
| The electric power inputs to EB at time t | |
| The electric power inputs to EC at time t | |
| The output powers of PV at time t | |
| The output powers of WT at time t | |
| The electric energy curtailed at time t | |
| The charging electric energy of the B-class storage equipment at time t | |
| The discharging electric energy of the B-class storage equipment at time t | |
| The heat energy output from CHP at time t | |
| The heat energy output of GB at time t | |
| The heat energy output of EB at time t | |
| The heat energy input to AC at time t | |
| The cooling energy output of AC at time t | |
| The cooling energy output of EC at time t | |
| The response stimulus level of class x load with class y energy at time t | |
| The dead zone thresholds for the response stimulus level of class x load with class y energy at time t | |
| The saturation zone thresholds for the response stimulus level of class x load with class y energy at time t | |
| The demand response rate of class x load with class y energy at time t | |
| The maximum demand response rate of class x load with class y energy at time t | |
| The IEO’s expected demand response rate of class x load with class y energy at time t in iteration n | |
| The LA’s expected demand response rate of class x load with class y energy at time t in iteration n | |
| Superscript | |
| x | The type of responsive load, where with TL, SL, and CL represent transferable load, substitutable load, and curtailable load, respectively |
| y | The energy type of load, where with e, h, and c represent electrical, heat, and cooling loads, respectively |
| B | The type of energy storage equipment, where |
| Subscript | |
| t | The time values |
| n | The iteration step count for the inner iteration within GD-DRPR |
References
- Ziemba, P.; Zair, A. Temporal Analysis of Energy Transformation in EU Countries. Energies 2023, 16, 7703. [Google Scholar] [CrossRef]
- Gao, C.; Lu, H.; Chen, M.; Chang, X.; Zheng, C. A low-carbon optimization of integrated energy system dispatch under multi-system coupling of electricity-heat-gas-hydrogen based on stepwise carbon trading. Int. J. Hydrogen Energy 2025, 97, 362–376. [Google Scholar] [CrossRef]
- Zeng, B.; Yang, X.; Hu, P.; Wang, Y.; Dong, H.; Gong, D.; Ye, X. Towards a digitally enabled intelligent coal mine integrated energy system: Evolution, conceptualization, and implementation. Sustain. Energy Technol. Assess. 2025, 73, 104128. [Google Scholar] [CrossRef]
- Hua, H.; Du, C.; Chen, X.; Kong, H.; Li, K.; Liu, Z.; Naidoo, P.; Lv, M.; Hu, N.; Fu, M.; et al. Optimal dispatch of multiple interconnected-integrated energy systems considering multi-energy interaction and aggregated demand response for multiple stakeholders. Appl. Energy 2024, 376, 124256. [Google Scholar] [CrossRef]
- Wang, H.; Zhang, J.; Wang, P.; Zhang, N. The role of demand-side flexibilities on low-carbon transition in power system: A case study of West Inner Mongolia, China. Renew. Energy 2025, 242, 122478. [Google Scholar] [CrossRef]
- Huang, L.; Liu, H.; Liu, B.; Ma, S.; Wang, N.; Xie, H.; He, Z. Demand response with incomplete information: A systematic review. Electr. Power Syst. Res. 2025, 246, 111720. [Google Scholar] [CrossRef]
- Wang, Y.; Jin, Z.; Liang, J.; Li, Z.; Dinavahi, V.; Liang, J. Low-carbon optimal scheduling of park-integrated energy system based on bidirectional Stackelberg-Nash game theory. Energy 2024, 305, 132342. [Google Scholar] [CrossRef]
- Huang, Y.; Wang, Y.; Liu, N. A two-stage energy management for heat-electricity integrated energy system considering dynamic pricing of Stackelberg game and operation strategy optimization. Energy 2022, 244, 122576. [Google Scholar] [CrossRef]
- Ali, A.O.; Elmarghany, M.R.; Abdelsalam, M.M.; Sabry, M.N.; Hamed, A.M. Closed-loop home energy management system with renewable energy sources in a smart grid: A comprehensive review. J. Energy Storage 2022, 50, 104609. [Google Scholar] [CrossRef]
- Li, X.; Wu, N.; Lei, L. Nash-Stackelberg-Nash three-layer mixed game optimal control strategy for multi-integrated energy systems considering multiple uncertainties. Energy 2025, 320, 135418. [Google Scholar] [CrossRef]
- Gao, D.; Wei, G.; Zhi, Y.; Yang, X. Optimal energy trading in rural micro-grids with variable ownership of photovoltaics and power stations: A Stackelberg game approach. Energy Build. 2025, 330, 115338. [Google Scholar] [CrossRef]
- Zhao, W.; Ma, K.; Yang, J.; Qu, Z.; Guo, S.; Qi, F.; Sun, W. A two-stage scheduling strategy integrated with Stackelberg game approach to coordinate seaport logistics operation and energy management. Electr. Power Syst. Res. 2025, 244, 111527. [Google Scholar] [CrossRef]
- Yang, P.; Jiang, H.; Liu, C.; Kang, L.; Wang, C. Coordinated optimization scheduling operation of integrated energy system considering demand response and carbon trading mechanism. Int. J. Electr. Power Energy Syst. 2023, 147, 108902. [Google Scholar] [CrossRef]
- Shi, S.; Ji, Y.; Zhu, L.; Liu, J.; Gao, X.; Chen, H.; Gao, Q. Interactive optimization of electric vehicles and park integrated energy system driven by low carbon: An incentive mechanism based on Stackelberg game. Energy 2025, 318, 134799. [Google Scholar] [CrossRef]
- Zhang, M.; Yang, J.; Yu, P.; Tinajero, G.D.A.; Guan, Y.; Yan, Q.; Zhang, X.; Guo, H. Dual-Stackelberg game-based trading in community integrated energy system considering uncertain demand response and carbon trading. Sustain. Cities Soc. 2024, 101, 105088. [Google Scholar] [CrossRef]
- Shi, R.; Jiao, Z. Individual household demand response potential evaluation and identification based on machine learning algorithms. Energy 2023, 266, 126505. [Google Scholar] [CrossRef]
- Liu, D.; Sun, Y.; Qu, Y.; Li, B.; Xu, Y. Analysis and Accurate Prediction of User’s Response Behavior in Incentive-Based Demand Response. IEEE Access 2019, 7, 3170–3180. [Google Scholar] [CrossRef]
- Lu, R.; Hong, S.H. Incentive-based demand response for smart grid with reinforcement learning and deep neural network. Appl. Energy 2019, 236, 937–949. [Google Scholar] [CrossRef]
- Zhou, Y.; Su, Y.; Yao, R.; Xu, Q.; Qin, D.; Zhang, N.; Wang, Y. Key Technologies and Research Prospects of Smart Meter Data Sharing. Proc. CSEE 2026, 46, 1364–1383. [Google Scholar]
- Li, P.; Wang, H.; Zhang, B. A Distributed Online Pricing Strategy for Demand Response Programs. IEEE Trans. Smart Grid 2019, 10, 350–360. [Google Scholar] [CrossRef]
- Khezeli, K.; Bitar, E. Risk-Sensitive Learning and Pricing for Demand Response. IEEE Trans. Smart Grid 2018, 9, 6000–6007. [Google Scholar] [CrossRef]
- Zheng, S.; Qi, Q.; Sun, Y.; Ai, X. Integrated demand response considering substitute effect and time-varying response characteristics under incomplete information. Appl. Energy 2023, 333, 120594. [Google Scholar] [CrossRef]
- Yan, H.; Hou, H.; Deng, M.; Si, L.; Wang, X.; Hu, E.; Zhou, R. Stackelberg game theory based model to guide users’ energy use behavior, with the consideration of flexible resources and consumer psychology, for an integrated energy system. Energy 2024, 288, 129806. [Google Scholar] [CrossRef]
- Li, L.; Fan, S.; Xiao, J.; Zhou, H.; Shen, Y.; He, G. Fair trading strategy in multi-energy systems considering design optimization and demand response based on consumer psychology. Energy 2024, 306, 132393. [Google Scholar] [CrossRef]
- Li, X.; Deng, J.; Liu, J. Energy–carbon–green certificates management strategy for integrated energy system using carbon–green certificates double-direction interaction. Renew. Energy 2025, 238, 121937. [Google Scholar] [CrossRef]
- Zhao, Y.; Wei, Y.; Tang, Y.; Guo, Y.; Sun, H. Multi-objective robust dynamic pricing and operation strategy optimization for integrated energy system based on stackelberg game. Int. J. Hydrogen Energy 2024, 83, 826–841. [Google Scholar] [CrossRef]
- Yan, M.; Li, H.; Wang, J.; He, Y. Optimal operation model of a park integrated energy system considering uncertainty of integrated demand response. Power Syst. Prot. Control 2022, 50, 163–175. [Google Scholar] [CrossRef]
- Hao, H.; Wu, H.; Chen, X.; Wu, X.; Yu, K. Double-layer Optimization of Integrated Energy Systems Considering Flexible Collaboration Between Energy Economy and User Satisfaction. Power Syst. Technol. 2024, 48, 4174–4188. [Google Scholar] [CrossRef]
- Nan, B.; Jiang, C.; Dong, S.; Xu, C. Day-ahead and Intra-day Coordinated Optimal Scheduling of Integrated Energy System Considering Uncertainties in Source and Load. Power Syst. Technol. 2023, 47, 3669–3683. [Google Scholar] [CrossRef]
- Cui, Y.; Wang, C.; Niu, Y.; Wang, K.; Yao, W.; Liu, C. Two-stage stochastic optimization decision of integrated energy system considering the uncertainty of integrated demand response. Power Syst. Technol. 2025, 49, 2232–2242. [Google Scholar] [CrossRef]











| Refs. | Solution Algorithm | Parameter Estimation | Parameter Revision During Optimization | |||
|---|---|---|---|---|---|---|
| Centralized | Decentralized | Data-Driven | Traditional Statistical | Yes | No | |
| [7,8,12,13,14] | √ | |||||
| [10,11] | √ | |||||
| [16,17,18] | √ | |||||
| [20,21,22] | √ | √ | ||||
| This paper | √ | √ | √ | |||
| Energy Type | Time | Price (CNY/kWh) |
|---|---|---|
| Electricity | 13:00–16:00, 19:00–22:00 | 1.1398 |
| 08:00–13:00, 16:00–19:00, 22:00–24:00 | 0.7112 | |
| 24:00–08:00 | 0.3815 | |
| Natural gas | Full day | 0.35 |
| Energy Type | Price Floor (CNY/kWh) | Price Cap (CNY/kWh) | Average Price Cap (CNY/kWh) |
|---|---|---|---|
| Electricity | 0.2 | 1.24 | 0.8 |
| Heat | 0.2 | 0.6 | 0.5 |
| Cooling | 0.2 | 0.6 | 0.46 |
| Parameters | Numerical Value | Parameters | Numerical Value |
|---|---|---|---|
| /(kWh) | 800 | 3 | |
| /(kWh) | 1000 | , /(kW) | 50, 50 |
| 0.0025 | , /(kW) | 50, 50 | |
| 0.0017 | /(kW) | 80, 800 | |
| , | 0.1, 0.9 | /(kW/h) | 25 |
| , | 0.1, 0.9 | /(kW) | 80, 800 |
| , /(kW) | 0.95, 0.95 | /(kW/h) | 33.3 |
| , /(kW) | 0.9, 0.9 | /(kW) | 450 |
| 0.33 | /(kW/h) | 100 | |
| 0.51 | /(kW) | 150 | |
| 0.9 | /(kW/h) | 33.3 | |
| 0.95 | /(kW) | 250 | |
| 0.8 | /(kW/h) | 100 |
| Scenario | IDR | Stackelberg Game | Response Adjustment Mechanism | Objective | Solution Method | |||
|---|---|---|---|---|---|---|---|---|
| IEO Revenue | IEO Cost | GD-DRPR | KKT-Based | AGA | ||||
| 1 | √ | |||||||
| 2 | √ | √ | ||||||
| 3 | √ | √ | √ | |||||
| 4 | √ | √ | ||||||
| 5 | √ | √ | √ | |||||
| 6 | √ | √ | √ | √ | ||||
| 7 | √ | √ | √ | √ | √ | |||
| 8 | √ | √ | √ | √ | ||||
| 9 | √ | √ | √ | √ | ||||
| Scenario | Carbon Emissions/kg | /CNY | /CNY | /CNY |
|---|---|---|---|---|
| 1 | 5538 | 34,491 | 8659 | 34,247 |
| 2 | 5388 | 36,877 | 12,308 | 37,730 |
| 3 | 4899 | 37,898 | 13,459 | 38,890 |
| Scenario | Carbon Emissions/kg | IEO Cost/CNY | MAPE | RSME |
|---|---|---|---|---|
| 4 | 4788 | 23,805 | 2.43% | 32.18 |
| 5 | 4859 | 24,597 | 0% | 0 |
| 6 | 4689 | 24,505 | 0.18% | 2.34 |
| 7 | 4691 | 24,513 | 0% | 0 |
| Renewable Energy Penetration | Scenario | Interaction Count | Runtime/s | Carbon Emissions/kg | Curtailment Rate | /CNY |
|---|---|---|---|---|---|---|
| 40% | 3 | 4 | 488 | 4134 | 0% | 19,929 |
| 8 | 1 | 56 | 4206 | 0% | 20,112 | |
| 9 | 43 | 774 | 4460 | 0% | 19,905 | |
| 50% | 3 | 4 | 501 | 2532 | 1.91% | 23,537 |
| 8 | 1 | 57 | 2590 | 2.28% | 23,626 | |
| 9 | 44 | 793 | 2671 | 2.40% | 23,105 | |
| 60% | 3 | 4 | 497 | 1901 | 4.72% | 25,748 |
| 8 | 1 | 56 | 1938 | 5.16% | 25,914 | |
| 9 | 47 | 830 | 2030 | 5.37% | 25,589 |
Disclaimer/Publisher’s Note: The statements, opinions and data contained in all publications are solely those of the individual author(s) and contributor(s) and not of MDPI and/or the editor(s). MDPI and/or the editor(s) disclaim responsibility for any injury to people or property resulting from any ideas, methods, instructions or products referred to in the content. |
© 2026 by the authors. Licensee MDPI, Basel, Switzerland. This article is an open access article distributed under the terms and conditions of the Creative Commons Attribution (CC BY) license.
Share and Cite
Zhou, K.; Xie, L.; Bian, Y. Gradient Revision Method for Demand Response Stimulus Parameters of the Integrated Energy System. Energies 2026, 19, 1742. https://doi.org/10.3390/en19071742
Zhou K, Xie L, Bian Y. Gradient Revision Method for Demand Response Stimulus Parameters of the Integrated Energy System. Energies. 2026; 19(7):1742. https://doi.org/10.3390/en19071742
Chicago/Turabian StyleZhou, Kaiyu, Lirong Xie, and Yifan Bian. 2026. "Gradient Revision Method for Demand Response Stimulus Parameters of the Integrated Energy System" Energies 19, no. 7: 1742. https://doi.org/10.3390/en19071742
APA StyleZhou, K., Xie, L., & Bian, Y. (2026). Gradient Revision Method for Demand Response Stimulus Parameters of the Integrated Energy System. Energies, 19(7), 1742. https://doi.org/10.3390/en19071742

