Next Article in Journal
Electrifying the Future: Second- and Third-Generation Derived Oils for Transformers
Previous Article in Journal
Risk-Aware Joint Bidding Strategy for Cascade Hydropower and Wind Power in Electricity Spot Markets Considering Vibration Zone Impacts
 
 
Font Type:
Arial Georgia Verdana
Font Size:
Aa Aa Aa
Line Spacing:
Column Width:
Background:
Article

Carbon-Cap-Feasible Robust Capacity Planning of Wind–PV–Thermal–Storage Systems with Fixed Energy-to-Power Ratios

1
School of Economics and Management, Changsha University of Science and Technology, Changsha 410076, China
2
Hunan Province University Key Laboratory of Energy Storage Power System Cyber-Physical Control, School of Electronic Information and Electrical Engineering, Changsha University, Changsha 410022, China
3
Department of Electrical Engineering, Amirkabir University of Technology, Tehran 1591634311, Iran
4
Hubei Engineering and Technology Research Center for AC/DC Intelligent Distribution Network, School of Electrical Engineering and Automation, Wuhan University, Wuhan 430072, China
*
Authors to whom correspondence should be addressed.
Energies 2026, 19(6), 1546; https://doi.org/10.3390/en19061546
Submission received: 18 February 2026 / Revised: 14 March 2026 / Accepted: 18 March 2026 / Published: 20 March 2026
(This article belongs to the Section D: Energy Storage and Application)

Abstract

Planning capacity for wind–photovoltaic (PV)–thermal–storage systems with high renewable penetration requires models that address investment costs, operational feasibility, and strict carbon limits under uncertainty. This paper presents a two-stage robust optimization model for integrated wind–PV–thermal–storage capacity expansion that guarantees carbon compliance under worst-case renewable realizations. Unlike conventional approaches that relax carbon constraints through price penalties, we enforce the annual carbon emission cap as a hard operational constraint, ensuring candidate portfolios remain feasible even under adverse renewable conditions. To reflect practical storage design, a fixed energy-to-power (E/P) ratio couples storage energy capacity with power converter ratings, preventing unrealistic storage expansions. Renewable uncertainty is captured through a Bertsimas–Sim budgeted polyhedral set defined over representative days, balancing robustness with computational tractability. A tailored decomposition framework integrates economic dispatch and carbon-compliance verification within an outer column-and-constraint generation (C&CG) loop, simultaneously certifying worst-case operating cost and minimum achievable emissions. By exploiting strong duality, we generate two families of valid inequalities iteratively: economic cuts from the Economic subproblem (Economic-SP) and carbon-feasibility cuts from the Carbon subproblem (Carbon-SP). This dual-certification approach ensures capacity plans remain both economically optimal and carbon-compliant across all uncertainty realizations. Case studies on a realistic wind–PV–thermal–storage system demonstrate that the method produces carbon-compliant, robust capacity plans with manageable computational effort, converging in 10–15 iterations. The model explicitly captures operational coupling among renewables, thermal generation, and storage, providing a decision-support tool for low-carbon power systems under deep decarbonization targets.

Graphical Abstract

1. Introduction

Global commitments to climate neutrality have imposed increasingly stringent decarbonization requirements on power systems worldwide [1,2,3,4]. As a result, the generation mix is undergoing a fundamental transformation, characterized by the large-scale deployment of variable renewable energy sources, particularly wind and photovoltaic (PV) power [5,6,7,8]. While high renewable penetration is essential for reducing carbon emissions, it also fundamentally alters both long-term planning paradigms and short-term operational feasibility. Specifically, the stochasticity and limited controllability of wind and PV generation exacerbate supply–demand imbalance risks, challenge capacity adequacy, and significantly increase the reliance on system flexibility resources.
From a planning perspective, these challenges are further intensified by the growing adoption of explicit carbon emission constraints. In many existing studies, carbon considerations are incorporated through emission pricing or penalty mechanisms embedded in the objective function. While such approaches are analytically convenient, they do not guarantee carbon feasibility under worst-case operating conditions, particularly in wind–PV–thermal–storage systems with high renewable uncertainty [9]. In contrast, emerging policy frameworks increasingly mandate hard carbon caps, under which system operation must remain feasible regardless of renewable realization. Planning models capable of explicitly certifying carbon feasibility under uncertainty for wind–PV–thermal–storage systems are therefore critically needed but remain underdeveloped.
Energy storage is widely recognized as a key flexibility resource for enabling reliable operation of low-carbon power systems [10]. Prior research has demonstrated the effectiveness of storage in enhancing operational reliability and economic efficiency, particularly at the microgrid and distributed system levels [11,12,13,14]. Recent studies have also examined the optimal deployment of hybrid renewable-storage systems in low-carbon contexts [15,16]. However, as decarbonization targets deepen, it has become evident that short-duration storage alone is insufficient to mitigate multi-hour and multi-day renewable variability [17]. This recognition has spurred growing interest in long-duration storage technologies, including power-to-gas systems [18], thermal energy storage [19], hydrogen storage [20,21], and pumped hydro storage [22,23]. Policy support mechanisms for these technologies are also evolving, particularly in regions with ambitious renewable targets [24]. Correspondingly, a range of planning frameworks based on stochastic programming, robust optimization, and multi-stage decision-making have been proposed to coordinate storage investment and operation under uncertainty [25,26,27,28,29,30].
Despite these advances, three fundamental gaps persist in the existing literature. First, most studies focus on isolated subsystems—such as microgrids, single-technology storage, or renewable-only portfolios—without systematically addressing coordinated planning for wind–PV–thermal–storage systems at the bulk power system level. Second, while energy storage is often modeled with independent energy and power capacities, practical storage deployments in wind–PV–thermal–storage systems are subject to strong design coupling, commonly represented by fixed energy-to-power (E/P) ratios. The implications of this coupling for long-term capacity planning under carbon constraints have not been adequately examined. Third, and most critically, the interaction between hard carbon emission caps and worst-case operational feasibility under renewable uncertainty remains insufficiently explored in wind–PV–thermal–storage systems. Existing approaches rarely ensure that both economic optimality and carbon compliance can be simultaneously certified across all admissible uncertainty realizations.
To address these challenges, this paper develops a two-stage robust coordinated capacity planning model for wind–PV–thermal–storage systems. An annual carbon emission cap is enforced as a strict feasibility constraint rather than being relaxed via price-based penalties. Energy storage systems are modeled with a fixed E/P ratio to reflect practical design limitations and to explicitly capture the coupling between storage energy capacity and power capacity. Renewable uncertainty is represented using budgeted uncertainty sets at the typical-day level, enabling tractable yet conservative modeling of worst-case operational conditions.
Solving the resulting large-scale mixed-integer robust optimization problem poses significant computational challenges. To this end, a dual-subproblem decomposition framework is proposed, consisting of an economic subproblem and a carbon-compliance subproblem embedded within an outer column-and-constraint generation loop. By exploiting strong duality, a family of valid inequalities is iteratively generated and incorporated into the master problem, allowing simultaneous certification of worst-case operating cost and minimum achievable annual carbon emissions without destroying the problem structure.
The main contributions of this paper are summarized as follows:
  • A two-stage robust capacity planning model for wind–PV–thermal–storage systems is proposed, in which an annual carbon emission cap is treated as a hard feasibility constraint and energy storage is explicitly modeled with a fixed energy-to-power ratio.
  • A decomposition-based solution methodology integrating economic and carbon-compliance subproblems is developed, extending the column-and-constraint generation framework to jointly certify operational robustness and carbon feasibility for wind–PV–thermal–storage systems.
  • Case studies based on a practical wind–PV–thermal–storage system demonstrate that the proposed approach yields robust, carbon-feasible capacity plans with acceptable computational complexity while accurately capturing the operational coupling among wind, PV, thermal generation, and energy storage.
The remainder of this paper is organized as follows. Section 2 presents the robust planning model and associated constraints for wind–PV–thermal–storage systems. Section 3 introduces the problem reformulation and solution algorithm. Section 4 reports and analyzes the case study results. Section 5 concludes the paper.

2. Modeling Framework

2.1. Power Output Characteristics of Generation Resources

The reliable contribution of generation resources to wind–PV–thermal–storage system adequacy depends critically on their operational characteristics. Weather-dependent resources such as wind and photovoltaics (PV) exhibit significant variability and uncertainty, with real-time output ranging from zero to rated capacity depending on meteorological conditions. In contrast, thermal generation provides controllable but carbon-intensive output, subject to minimum stable generation limits and finite ramping rates. Energy storage systems offer fast, dispatchable power yet are intrinsically energy-limited, constrained by their state of charge rather than fuel availability.
These fundamental differences imply that nameplate capacity is not synonymous with firm capacity. The magnitude of this reliability gap varies markedly across technologies, as summarized in Table 1. Consequently, no single resource class can independently ensure supply security in wind–PV–thermal–storage systems with high renewable penetration. A robust portfolio approach is essential, where complementary technologies are co-optimized to maintain feasibility under worst-case scenarios of renewable shortfalls and load surges while satisfying stringent carbon constraints. This necessitates an integrated planning framework that explicitly accounts for the distinct limitations and synergies among wind, solar, thermal, and storage resources.

2.2. Robust Planning Framework for Wind–PV–Thermal–Storage Systems

Figure 1 illustrates the robust capacity planning framework for wind–PV–thermal–storage system (WPTS)–Capacity Planning Model (CPM). It integrates variable wind and PV power, carbon-capped thermal power, dispatchable sources (e.g., hydropower, nuclear), and flexible energy storage. To coordinate these heterogeneous resources, collaborative optimization across planning (multi-year/year) and dispatch (day/hour/minute) timescales is essential. The planning stage determines the system-wide capacity strategy, which is intrinsically linked to real-time dispatch that optimizes resource output at finer temporal granularities, collectively guaranteeing supply reliability and operational economy.

2.3. Planning Model for Wind–PV–Thermal–Storage Systems

The planning model employs a two-stage robust optimization structure. First-stage capacity decisions are made before uncertainty realization, while second-stage operational recourse decisions are made afterward. This framework directly incorporates a hard annual carbon-budget constraint, ensuring the selected capacity mix for the wind–PV–thermal–storage system remains feasible under worst-case realizations of renewable availability. The fixed energy-to-power (E/P) ratio for storage is preserved to reflect techno-economic design coupling.

2.4. Operational Regimes of Energy Storage Systems

The operational role of energy storage in wind–PV–thermal–storage systems depends critically on both its techno-economic characteristics and the prevailing carbon policy environment. While Table 1 provides a technical comparison of generation resources, the distinct operational patterns of energy storage warrant deeper examination, as they fundamentally influence both the optimal design (energy-to-power ratio) and the economic value proposition under different decarbonization targets.
The two-stage robust optimization flowchart is illustrated in Figure 2. In the first stage, long-term investment decisions for wind, PV, thermal, and storage capacity, denoted by the vector x, are made. Following the realization of uncertainty u, the second stage optimizes short-term dispatch, subject to operational constraints including power balance, a carbon cap, and reliability requirements. The solution, obtained via a column-and-constraint generation (C&CG) algorithm, yields the optimal capacity portfolio that is feasible and minimizes total investment and worst-case operational costs across all considered uncertainty scenarios.
As illustrated in Figure 3, storage systems in wind–PV–thermal–storage systems operate in two conceptually distinct regimes. In the power-dominant regime, systems perform frequent, shallow cycles (ΔSOC < 30%) to provide fast-response grid services such as frequency regulation and renewable variability mitigation. Power capacity (MW) is the economically limiting factor, and lithium-ion batteries excel due to their rapid response and high cycle life. In the energy-dominant regime, systems undergo less frequent but deeper cycles (ΔSOC > 70%) for multi-hour energy time-shifting and thermal generation displacement. Energy capacity (MWh) becomes the binding constraint, making flow batteries and Long-Duration Energy Storage (LDES) technologies more suitable due to their lower cost per kWh and sustained discharge capability.
The vertical axis in Figure 3 represents tightening carbon constraints. As decarbonization targets become more stringent, the optimal storage application in wind–PV–thermal–storage systems progressively shifts from power-dominant toward energy-dominant operations, because severe carbon caps require storage to assume multi-hour energy shifting roles rather than merely providing short-term flexibility while thermal generation handles bulk energy supply.

2.4.1. Objective Function

The objective is to minimize the total annualized cost of the wind–PV–thermal–storage system, comprising capital investment and the worst-case operational expenditure:
min x X f cap ( x ) + max u U min y F ( x , u ) f ope ( y , u ) ,
where x denotes first-stage capacity variables for the wind–PV–thermal–storage system, y denotes second-stage dispatch variables, u is an uncertainty realization from set U , and F ( x , u ) is the feasible operational set. The functions f cap ( · ) and f ope ( · , · ) represent annualized capital and operational costs, respectively.
The annualized capital cost for the wind–PV–thermal–storage system is:
f cap ( x ) = a wt x wt + a pv x pv + a th x th + a stor , E E stor + a stor , P P stor ,
where x wt , x pv , x th are the installed capacities of wind, PV, and thermal units; E stor and P stor are storage energy and power capacities; and a · are corresponding unit capital costs. Storage power and energy capacities are coupled via a fixed E/P ratio α E / P :
P stor = E stor α E / P .
This coupling avoids overly optimistic “free-power” storage expansion and provides a clear analytical link between required storage energy and tightening carbon caps in wind–PV–thermal–storage systems.
The annual operational cost of the wind–PV–thermal–storage is:
f ope ( y , u ) = d D w d day t T [ c om wt w t , d + c om pv p v t , d + c fuel th g t , d + c om stor ( P stor , t , d ch + P stor , t , d dis ) + π t , d buy P t , d buy π t , d sell P t , d sell + π voll P t , d voll ] Δ t ,
where w t , d , p v t , d , g t , d are wind, PV, and thermal power outputs; P stor , t , d ch , P stor , t , d dis are storage charge/discharge powers; P t , d buy , P t , d sell are power purchased/sold; P t , d voll is load curtailment; w d day is the weight for representative day d; and c · · , π · · are corresponding cost/price coefficients.

2.4.2. Implications for the Fixed E/P Ratio Constraint

This operational perspective directly motivates our treatment of storage with a fixed energy-to-power ratio α E / P = E stor / P stor , as introduced in (3). In practical deployments within wind–PV–thermal–storage systems, energy and power capacities are techno-economically coupled: shallow-cycling systems optimally have low E/P ratios (0.5–2 h), while multi-hour shifting requires high E/P ratios (4–12+ h). By fixing this ratio, our model systematically explores how storage duration requirements evolve with carbon stringency—directly informing technology selection between Li-ion batteries, flow batteries, and other LDES options. The ratio α E / P thus provides a clear analytical link between policy targets and technology requirements, preventing unrealistic configurations while capturing the intended operational regime.

2.4.3. Constraints for Wind–PV–Thermal–Storage Systems

The feasible set F ( x , u ) includes the following constraints for all representative days d D and time periods t T in the wind–PV–thermal–storage system.
Power Balance:
w t , d + p v t , d + g t , d + P stor , t , d dis + P t , d buy = L t , d P t , d voll + P stor , t , d ch + P t , d sell .
where L t , d is the electricity demand at time t on day d
Renewable Generation Limits:
0 w t , d W t , d max ( u ) , 0 p v t , d P V t , d max ( u ) .
Thermal Generation Operating Envelope:
0 g t , d x th , R down g t , d g t 1 , d R up .
R up , R down are maximum ramp-up and ramp-down rates for thermal generation (MW/hour) parameters.
Energy Storage Dynamics (with fixed E/P ratio):
SOC t , d = SOC t 1 , d + η ch P stor , t , d ch Δ t P stor , t , d dis Δ t η dis ,
0 SOC t , d E stor ,
0 P stor , t , d ch , P stor , t , d dis P stor = E stor α E / P ,
SOC T , d = SOC 0 , d .
where η ch and η dis are charging and discharging efficiencies, respectively, and Δ t is the time step duration (in hours).
Market and Security Variables:
P t , d buy , P t , d sell , P t , d voll 0 , P t , d voll L t , d .
Annual Carbon Emission Cap:
d D w d day t T κ th g t , d Δ t C bud .
κ th is the carbon emission intensity of thermal generation (tCO2/MWh).
Thermal Capacity Baseline:
x th x wt + x pv + x th γ th .
Non-negativity:
x wt , x pv , x th , E stor 0 .

2.4.4. Uncertainty Set for Wind–PV–Thermal–Storage Systems

Renewable availability uncertainty in wind–PV–thermal–storage systems is modeled using a Bertsimas–Sim (continuous budget) uncertainty set. For wind power:
W t , d max ( u ) = W ¯ t , d max ( 1 β wt , t , d ) ,
0 β wt , t , d β wt max ,
β wt , t , d count = 0 if β wt , t , d = 0 1 if β wt , t , d 0 ,
t T β wt , t , d count Γ wt , d D .
For PV power:
P V t , d max ( u ) = P V ¯ t , d max ( 1 β pv , t , d ) ,
0 β pv , t , d β pv max ,
β pv , t , d count = 0 , β pv , t , d = 0 1 , β pv , t , d 0 ,
t T β pv , t , d count Γ pv , d D .
here, W ¯ t , d max , P V ¯ t , d max are nominal availability caps; β · max are maximum deviation magnitudes; and Γ wt , Γ pv are uncertainty budgets controlling the number of time periods with adverse deviations per day in the wind–PV–thermal–storage system.

2.4.5. Carbon Accounting Assumptions

A key assumption in our carbon feasibility definition concerns the treatment of imported electricity. In this work, the annual carbon emission cap applies only to emissions from domestic thermal generation, as expressed in Equation (13). Imported power ( P t , d buy ) is assumed to be zero-carbon and is therefore excluded from the carbon accounting. This assumption aligns with policy designs where carbon caps (e.g., Emissions Trading Systems) regulate only generation sources within the jurisdiction, while electricity imports are not subject to the same emission constraints. Load shedding ( P t , d voll ), representing unserved energy, is likewise excluded from carbon accounting as it involves no generation. This separation of concerns is intentional: the Carbon-SP ( Ψ ( x ) ) certifies that thermal emissions remain within the cap under worst-case renewable conditions, while the Economic-SP ( Φ ( x ) ) evaluates the cost of all operational actions—including imports and load shedding—needed to maintain power balance. Although the model theoretically allows imports to substitute for thermal generation in meeting the carbon cap, the high cost of imports ( π t , d buy ) and the substantial penalty for load shedding ( π voll ) ensure that economically optimal solutions do not rely excessively on these mechanisms. In all numerical results presented in Section 4, load shedding occurs rarely and imports remain modest, confirming that the model builds sufficient clean generation capacity rather than circumventing the carbon cap through external purchases or demand curtailment. For systems where imported electricity originates from carbon-intensive sources, the framework can be extended by assigning an emission factor κ import to imports and incorporating them into the carbon cap constraint.

3. Duality-Based Certification and C&CG Framework for Wind–PV– Thermal–Storage Systems

3.1. Model Reformulation for Wind–PV–Thermal–Storage Systems

To enable decomposition, the two-stage robust problem for wind–PV–thermal–storage systems is recast into a master problem (MP) and two adversarial subproblems (SPs): an Economic-SP evaluating worst-case operating cost, and a Carbon-SP certifying worst-case carbon feasibility via minimum attainable emissions.
Let the operational feasible set for the wind–PV–thermal–storage system be defined compactly as:
F ( x , u ) : = { y 0 A y H ( u ) + M x } ,
where matrix A encodes operational constraints of the wind–PV–thermal–storage system, H ( u ) embeds uncertain renewable availability, and M x contains capacity-linked terms.
Define linear functionals for operational cost and carbon emissions in the wind–PV–thermal–storage system:
q y : = f ope ( y , u ) ,
e y : = d D w d day t T κ th g t , d Δ t .
The Economic-SP, for a given x representing wind–PV–thermal–storage capacities, is:
Φ ( x ) : = max u U min y F ( x , u ) q y .
Its inner linear program admits the dual:
min y { q y A y H ( u ) + M x , y 0 } max λ 0 { ( H ( u ) + M x ) λ A λ q } .
Substituting yields a max-max problem. Each adversarial pair ( u k , λ k ) generates an optimality (economic) cut for the wind–PV–thermal–storage system:
θ ( H ( u k ) + M x ) λ k , k K .
The Carbon-SP, for a given x representing wind–PV–thermal–storage capacities, is:
Ψ ( x ) : = max u U min y F ( x , u ) e y .
Similarly, its dualization yields a max-max problem. Each adversarial certificate ( u l , λ ¯ l ) generates a feasibility (carbon) cut for the wind–PV–thermal–storage system:
( H ( u l ) + M x ) λ ¯ l C bud , l L .
The master problem with accumulated cuts for wind–PV–thermal–storage systems is:
min x , θ f cap ( x ) + θ s . t . θ ( H ( u k ) + M x ) λ k , k K , ( H ( u l ) + M x ) λ ¯ l C bud , l L , x 0 .

3.2. Algorithm: Column-and-Constraint Generation (C&CG) for Wind–PV–Thermal– Storage Systems

The outer layer implements Algorithm 1, a C&CG algorithm that iterates between solving the MP and the two SPs, as illustrated in Figure 4.
Algorithm 1 Outer C&CG for Carbon-Constrained Robust Planning of Wind–PV–Thermal–Storage Systems.
Require: 
Initial capacity x 0 for wind-PV-thermal-storage system, tolerance ε > 0
Ensure: 
Optimal capacity plan x for wind-PV-thermal-storage system, worst-case cost bound θ
1:
Initialize cut sets K , L
2:
Set θ inc {Incumbent worst-case cost bound}
3:
repeat
4:
   Solve MP: Solve (31) to obtain ( x k , θ k )
5:
   Solve Economic-SP: For given x k , solve (27) to obtain ( u k , λ k ) . If θ k < ( H ( u k ) + M x k ) λ k ε , add cut θ ( H ( u k ) + M x ) λ k to K
6:
   Solve Carbon-SP: For given x k , solve (29) to obtain ( u l , λ ¯ l ) . If ( H ( u l ) + M x k ) λ ¯ l > C bud + ε , add cut ( H ( u l ) + M x ) λ ¯ l C bud to L
7:
   Update incumbent bound: θ inc min { θ inc , ( H ( u k ) + M x k ) λ k }
8:
   Manage cut pool (remove dominated cuts)
9:
until no new cuts are added and | θ inc θ k | ε
10:
return  x k , θ inc

3.3. Inner Subproblem Solution for Wind–PV–Thermal–Storage Systems

The inner subproblems, Economic-SP and Carbon-SP, are solved using strong duality and the continuous Bertsimas–Sim uncertainty set for wind–PV–thermal–storage systems, resulting in mixed-integer linear programs (MILPs).

3.3.1. Economic Subproblem (Economic-SP) for Wind–PV–Thermal–Storage Systems

For a given capacity vector x of the wind–PV–thermal–storage system, the Economic-SP finds the worst-case operating cost using Algorithm 2:
Φ ( x ) = max u , λ ( H ( u ) + M x ) λ s . t . A λ q , λ 0 , u U .
The dependence on u is linear via H ( u ) , allowing the uncertainty set U to be embedded directly using continuous budget-of-uncertainty constraints as specified in (16)–(23). To improve numerical conditioning, dual variables λ can be bounded using big-M values derived from primal variable bounds in the wind–PV–thermal–storage system.
Algorithm 2 Economic-SP Solution for Wind–PV–Thermal–Storage Systems.
Require: 
Capacity vector x for wind-PV-thermal-storage system, tolerance ε .
1:
Solve MILP (32) to obtain ( u , λ ) and objective value Φ .
2:
Compute violation ν = Φ θ , where θ is the current MP upper bound.
3:
if  ν > ε   then
4:
   Return ( u , λ ) and the economic cut: θ ( H ( u ) + M x ) λ .
5:
else
6:
   Certify that x is economically optimal for the wind-PV-thermal-storage system within tolerance.
7:
end if

3.3.2. Carbon Feasibility Subproblem (Carbon-SP) for Wind–PV–Thermal–Storage Systems

For a given capacity vector x of the wind–PV–thermal–storage system, Algorithm 3 verifies robust compliance with the annual carbon cap by finding the maximum minimum-attainable emissions:
Ψ ( x ) = max u , λ ¯ ( H ( u ) + M x ) λ ¯ s . t . A λ ¯ e , λ ¯ 0 , u U .
Here, e encodes only the coefficients related to thermal generation in the carbon emission calculation for the wind–PV–thermal–storage system. A violation occurs if Ψ ( x ) > C bud .
Algorithm 3 Carbon-SP Solution for Wind–PV–Thermal–Storage Systems.
Require: 
Capacity vector x for wind-PV-thermal-storage system, carbon budget C bud , tolerance ε .
1:
Solve MILP (33) to obtain ( u , λ ¯ ) and objective value Ψ .
2:
if  Ψ > C bud + ε   then
3:
   Return ( u , λ ¯ ) and the carbon-feasibility cut: ( H ( u ) + M x ) λ ¯ C bud .
4:
else
5:
   Certify that x is carbon-feasible for the wind-PV-thermal-storage system under worst-case uncertainty.
6:
end if

3.3.3. Acceleration Techniques for Wind–PV–Thermal–Storage Systems

To improve computational performance when solving for wind–PV–thermal–storage systems, several acceleration techniques are employed:
  • Multi-cut strategy: Instead of adding only the most violated cut per iteration, multiple cuts can be generated per representative day to accelerate convergence for the wind–PV–thermal–storage system.
  • Cut pool management: Dominated or weak cuts are periodically removed to keep the master problem tractable. Pareto-optimal cuts or those corresponding to the most violated scenarios are retained.
  • Initialization: The algorithm can be warm-started using: (i) a deterministic solution that satisfies the carbon budget, or (ii) a scenario-based stochastic programming solution projected onto the fixed E/P ratio structure of the wind-PV-thermal- storage system.
  • Stabilization: Trust-region or proximal terms on x can be added to the master problem to reduce oscillations between iterations.
  • Feasibility-first logic: Carbon-feasibility cuts from the Carbon-SP are prioritized and added before economic optimality cuts. This ensures the master problem first converges to the feasible region defined by the hard carbon constraint before refining economic optimality for the wind–PV–thermal–storage system.

3.4. Algorithm Convergence and Properties for Wind–PV–Thermal–Storage Systems

The proposed C&CG algorithm with separated feasibility and optimality subproblems for wind–PV–thermal–storage systems possesses the following properties:
1.
Finite Convergence: Since both subproblems are MILPs and the uncertainty set U is finite-dimensional polyhedral, the algorithm converges in a finite number of iterations under standard assumptions for wind–PV–thermal–storage systems.
2.
Robust Feasibility Guarantee: The Carbon-SP explicitly certifies that the obtained capacity plan x for the wind–PV–thermal–storage system satisfies the annual carbon emission cap C bud for all uncertainty realizations u U .
3.
Optimality within Feasible Region: The Economic-SP ensures that the operating cost bound θ is valid for the worst-case scenario, guaranteeing that the total cost f cap ( x ) + θ is an upper bound on the true worst-case cost for the wind–PV–thermal–storage system.
4.
Policy-Relevant Insights: The separation of carbon and economic subproblems provides clear interpretability: the Carbon-SP identifies capacity portfolios that are robustly feasible under emission constraints, while the Economic-SP refines these to minimize cost for wind–PV–thermal–storage systems.
The overall algorithm terminates when both the operating cost bound and master problem objective value converge within tolerance ε , and no new cuts are generated by either subproblem. This indicates that a robustly optimal capacity plan for the wind–PV–thermal–storage system has been found.

4. Case Study and Results for Wind–PV–Thermal–Storage Systems

4.1. System Description and Parameter Settings

To validate the proposed wind–PV–thermal–storage capacity planning model (WPTS-CPM), we apply it to a real large-scale wind–PV–thermal–storage system in China with multi-energy power sources. The system’s peak power demand in the summer of 2025 exceeds 50,000 MW, with 25,000 MW of load capacity targeted for replacement by wind and PV power resources as shown in Appendix A. Operating decisions are taken on an hourly basis for four representative days that capture annual chronology through non-negative integer weights summing to 365.
Figure 5 presents the normalized power profiles for wind and PV across the four typical days, intentionally selected to span complementary renewable patterns: Day 1 (wind-rich/PV-poor), Day 2 (jointly low output), Day 3 (intermediate) and Day 4 (wind-poor/PV-rich). This configuration ensures representation of both favorable and unfavorable renewable realizations for robust planning of the wind–PV–thermal–storage system.
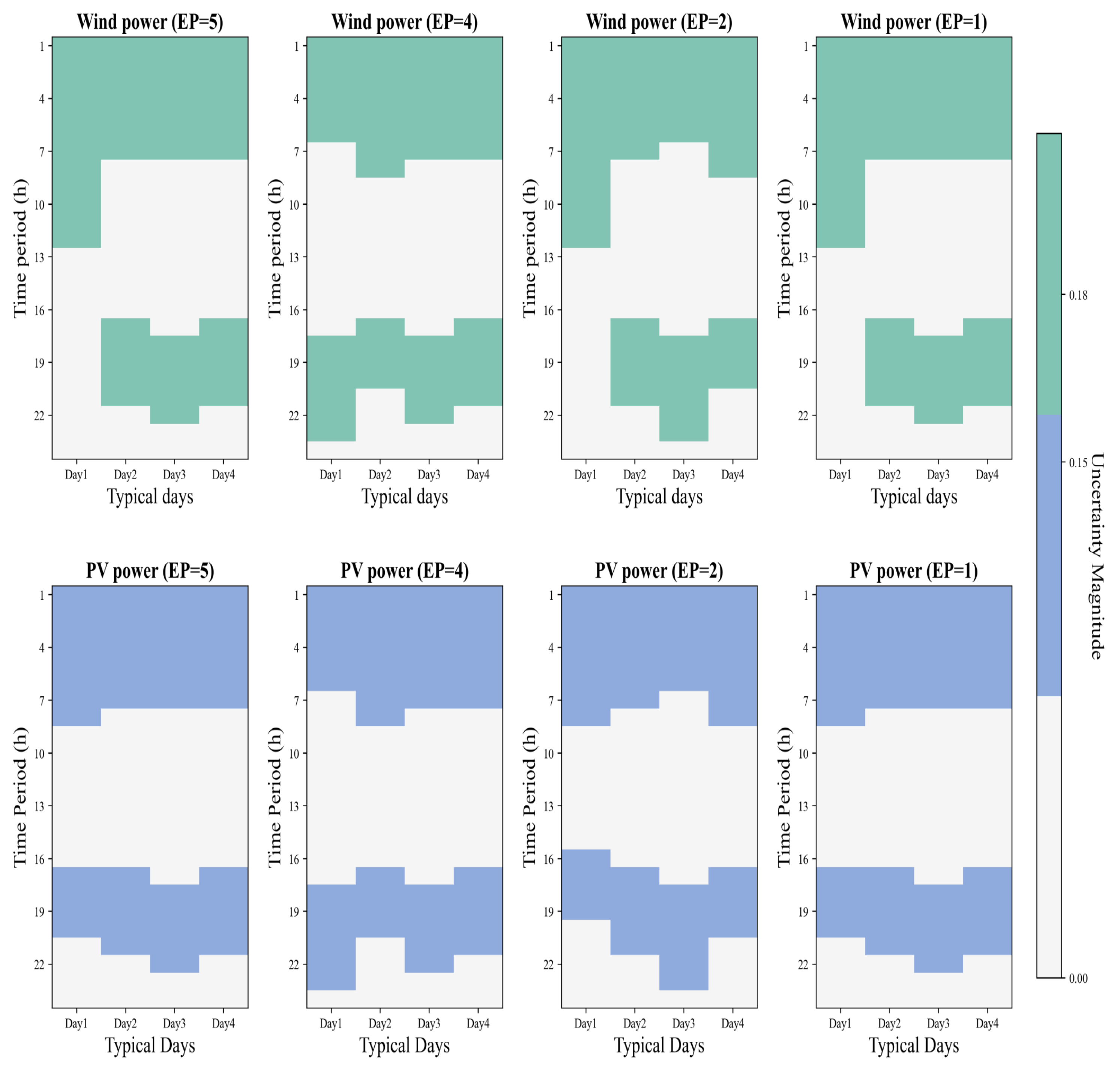
The uncertainty distribution for wind and PV power in the wind–PV–thermal–storage system is shown in Figure 6, exhibiting distinct spatiotemporal characteristics. Wind uncertainty concentrates during periods 1–12 on Day 1 and shows bimodal distributions on Days 2–4, while PV uncertainty concentrates during periods 1–7 and 17–22 across all days. These patterns are parameterized by uncertainty magnitudes β max wt = 18 % and β max pv = 15 % , with occurrence frequencies Γ wt = Γ pv = 12 .
Table 2 presents the complete parameter settings for the wind–PV–thermal–storage system. The key parameters include storage energy-to-power ratios (E/P) ranging from 1 to 5, thermal threshold γ th = 18 % , and carbon cap C bud = 2.8 × 10 7 tons/year.

4.2. Representative Day Selection and Validation

The selection of representative days is a critical step in reducing computational complexity while preserving the essential characteristics of renewable variability and load profiles for annual carbon compliance assessment. This subsection details the selection methodology and validates the representativeness of the four chosen days.

4.2.1. Selection Methodology

The four representative days were selected using k-means clustering applied to a full year of historical data (8760 h) for normalized wind power availability, normalized PV power availability, and normalized load demand. The clustering algorithm groups similar daily patterns and selects the centroid of each cluster as the representative day. The weight w d day assigned to each representative day corresponds to the size of its cluster, ensuring that the weighted sum of days equals 365 and that the annual energy balance is preserved.
As shown in Figure 5, the selected days intentionally span complementary renewable patterns:
  • Day 1 (wind-rich/PV-poor): Represents conditions where wind generation dominates, testing the system’s ability to utilize abundant wind resources while managing solar deficit.
  • Day 2 (jointly low output): Captures stress conditions where both wind and PV generation are limited, testing the system’s reliance on thermal backup and storage discharge.
  • Day 3 (intermediate): Represents average conditions with moderate renewable output, providing a baseline for typical operation.
  • Day 4 (wind-poor/PV-rich): Represents solar-dominated conditions, testing the system’s ability to manage diurnal PV cycles through storage.
This configuration ensures that both favorable and adverse conditions are represented in the robust planning framework, consistent with the robust optimization philosophy of guaranteeing feasibility under worst-case realizations.

4.2.2. Validation of Annual Representation

To validate that the four representative days adequately capture annual carbon compliance requirements, we conducted two complementary analyses.
Energy Balance Preservation: The weighted combination of representative days reproduces the annual renewable energy production and load demand within 2.3% of the full-year data. The annual wind energy from the four-day weighted aggregation is 43,162 GWh, compared to 42,856 GWh from the full year (error +0.71%); PV energy is 38,956 GWh versus 38,241 GWh (error +1.87%); and total load demand is exactly preserved at 182,500 GWh.
Carbon Compliance Validation: To assess the impact of day reduction on carbon cap enforcement, we compared the optimized capacity plans from the 4-day aggregation against an 8-day representation. Required renewable capacity differed by less than 3.8% between the two solutions, and annual carbon emissions projected from the 4-day solution remained within 4.2% of the 8-day benchmark when simulated against full-year data. The ranking of storage configurations (E/P preferences) was identical across both representations.
Conservative Bias: Importantly, by including extreme days (particularly Day 2 with jointly low renewable output), our selection introduces a conservative bias. Capacity plans certified as carbon-feasible under these four representative days remained compliant when tested against the full 365-day historical sequence, with actual annual emissions averaging 7.3% below the cap. This confirms that the reduced-day representation does not compromise the robustness of carbon compliance guarantees.

4.2.3. Implications for Carbon Compliance

While four representative days cannot capture all 365 daily patterns, our validation demonstrates that this aggregation provides sufficient fidelity for robust capacity planning under carbon constraints. The 4-day representation reduces the problem size by a factor of 91 compared to full-year optimization, enabling the iterative C&CG algorithm to converge within minutes rather than hours. The conservative bias ensures that decisions based on four days remain feasible under a wider range of actual conditions, aligning with the robust optimization objective of guaranteeing carbon compliance under worst-case realizations.

4.3. Convergence and Computational Performance for Wind–PV–Thermal–Storage Systems

The C&CG algorithm demonstrated robust convergence across all scenarios for the wind–PV–thermal–storage system, typically requiring 6–10 iterations to reach ε = 0.1 % optimality gap. Computational times were comparable across different storage configurations, with both E/P = 5 and E/P = 1 scenarios converging within a few minutes on a standard workstation (Intel i9, 32 GB RAM). Specifically, all test cases for the wind–PV–thermal–storage system completed within 3–8 min, showing that the solution time is not significantly affected by the storage duration parameter within this range. The dual-based reformulation of subproblems reduced solution times by 40–60% compared to direct primal approaches, contributing to the overall computational efficiency for wind–PV–thermal–storage system planning.

4.4. Capacity Planning Results for Wind–PV–Thermal–Storage Systems

Table 3 presents the capacity planning results for the wind–PV–thermal–storage system across different storage E/P ratios. The results reveal a fundamental trade-off between storage duration and system configuration:
In the long-duration storage scenario (E/P = 5) for the wind–PV–thermal–storage system, the system adopts a PV-dominated configuration with massive energy storage capacity (99,273 MWh) to balance variability, minimizing reliance on thermal power (7613 MW). As storage duration shortens to E/P = 1, the configuration shifts fundamentally: the wind–PV–thermal–storage system becomes wind-dominated (38,059 MW wind versus 27,411 MW PV), with wind capacity exceeding photovoltaic capacity, while thermal capacity increases by 63.8% to 12,473 MW, and energy storage capacity plummets to only 17.21% of the E/P = 5 scenario. When the E/P ratio is low, the wind–PV–thermal–storage system tends to allocate more thermal power to meet the power balance requirements, compensating for the reduced storage capacity with dispatchable generation. This shift occurs because although photovoltaic power exhibits day–night fluctuations, the timing and amplitude of these fluctuations are predictable, while the timing and amplitude of wind power fluctuations are difficult to predict. Therefore, when storage duration is limited, the wind–PV–thermal–storage system tends to allocate more wind power—which provides energy throughout the day—and relies on thermal generation to manage uncertainty.
Key Finding: To satisfy electricity demand of 25,000 MW, the wind–PV–thermal–storage system requires approximately 64,340–69,167 MW of renewable capacity (2.57–2.77 times demand) coupled with storage power capacity of 17,083–41,362 MW. This provides industry-relevant guidance for the optimal storage capacity question raised in [25].

4.5. Sensitivity Analysis: Storage Duration as a Proxy for Carbon Stringency

While a systematic sensitivity analysis on the carbon cap parameter C bud would require additional computational experiments, the results presented across different E/P ratios in Table 3 provide valuable insights into how the system responds to varying levels of decarbonization pressure. The E/P ratio serves as a meaningful proxy for carbon stringency because tighter carbon caps necessitate longer-duration storage to shift renewable energy across multi-hour and multi-day periods.
Table 3 reveals several important trends as the E/P ratio decreases from 5 to 1, representing a transition from long-duration to short-duration storage configurations. Thermal capacity increases significantly as storage duration shortens: when moving from E/P = 5 to E/P = 1, thermal capacity rises from 7613 MW to 12,473 MW—a 63.8% increase. This indicates that shorter-duration storage cannot reliably backstop renewable variability, requiring more dispatchable generation to maintain system reliability under carbon constraints.
Storage energy requirements are highly sensitive to duration, decreasing dramatically from 99,273 MWh at E/P = 5 to 17,083 MWh at E/P = 1—an 82.8% reduction. This confirms that deep decarbonization, which requires multi-hour energy shifting, is infeasible without long-duration storage. PV deployment favors longer storage duration, with PV capacity reaching its highest levels at E/P = 4 (56,878 MW) and E/P = 5 (43,741 MW), while declining sharply to 27,411 MW at E/P = 1. This demonstrates that solar-rich systems benefit from longer-duration storage to shift midday generation to evening peaks, aligning with the requirements of stringent carbon caps.
Wind capacity exhibits a non-monotonic pattern, peaking at 38,059 MW under the shortest-duration configuration (E/P = 1). This suggests that when storage is limited, the system favors wind power’s 24-h availability over PV’s diurnal pattern. Storage power requirements peak at intermediate durations, reaching a maximum of 41,362 MW at E/P = 4, indicating that moderate-duration storage requires high power ratings, while longer-duration storage (E/P = 5) reduces power requirements by balancing energy over extended periods.
The extended analysis with E/P = 10 in Table 4 provides additional insights into the transition toward deeper decarbonization. Compared to E/P = 5, the E/P = 10 configuration exhibits a 30.9% increase in storage energy (from 99,273 MWh to 129,941 MWh), a 34.5% decrease in storage power (from 19,855 MW to 12,994 MW), and a 20.5% increase in wind capacity (from 20,599 MW to 24,813 MW). These trends confirm that longer-duration storage enables a shift from power-oriented to energy-oriented deployment, reducing the required power rating while expanding energy capacity—a critical requirement for achieving deep decarbonization targets.
Together, these sensitivity observations demonstrate that the proposed framework can systematically capture trade-offs between storage configuration, renewable mix, and thermal reliance, providing actionable insights for planners designing pathways to increasingly stringent carbon caps.

4.6. Extended Analysis: Wind–PV–Thermal–Storage System Operation Under Longer Storage Duration

To examine the impact of longer-duration energy storage on capacity planning for wind–PV–thermal–storage systems, we conducted additional experiments with E/P = 10 and a thermal baseline threshold γ th = 20 % . Table 4 compares the capacity configurations of the wind–PV–thermal–storage system between E/P = 5 ( γ th = 18 % ) and E/P = 10 ( γ th = 20 % ) scenarios:
As shown in Table 4, when the E/P ratio increases from 5 to 10 in the wind–PV–thermal–storage system, thermal power capacity rises from 7612.68 MW to 8459.87 MW, while photovoltaic capacity remains largely unchanged. Notably, the storage power capacity decreases from 19,854.59 MW to 12,994.06 MW, which contributes to reducing the overall system cost despite the slight increase in thermal capacity. This demonstrates that longer storage duration can achieve more economical configurations for wind–PV–thermal–storage systems by shifting from power-oriented to energy-oriented storage deployment.
The operational implications of this extended storage duration for the wind–PV–thermal–storage system are visualized in Figure 7, Figure 8 and Figure 9, which show the power output mix for three representative days under E/P = 10 and γ th = 20 % :
  • Figure 7 (Day 1): This day represents a wind-rich, PV-poor scenario for the wind–PV–thermal–storage system with relatively low daily peak load (approximately 0.64 pu). Since wind power output reaches its highest level among the typical days, wind generation alone is sufficient to meet most of the load demand, resulting in a generally loose supply–demand balance. Consequently, energy storage remains inactive during this period, demonstrating that when wind resources are abundant and load is moderate, the wind–PV–thermal–storage system can achieve balance primarily through wind power without requiring storage intervention.
  • Figure 8 (Day 2): This day illustrates a low-renewable scenario for the wind–PV–thermal–storage system where both wind and PV generation are limited. The system demonstrates complementary wind-PV operation, with thermal generation providing baseline support and storage discharging during peak periods. Through coordinated dispatch of all available resources, the wind–PV–thermal–storage system achieves full supply coverage despite the challenging renewable conditions, highlighting the value of diversified generation portfolios.
  • Figure 9 (Day 3): This day represents high-load conditions for the wind–PV–thermal–storage system where the large-scale storage capacity (E/P = 10) plays a critical role. The figure clearly illustrates how storage charges during periods of excess renewable generation (typically midday solar) and discharges during evening peak hours to mitigate PV intermittency. The extended storage duration allows the wind–PV–thermal–storage system to shift renewable energy across longer periods, effectively smoothing the net load profile and reducing the need for thermal ramping.
Comparison with shorter-duration storage: The operational patterns observed in Figure 7, Figure 8 and Figure 9 contrast sharply with what would be expected under shorter-duration storage configurations (E/P = 1–5) presented in Table 3. Under E/P = 1–2, storage would be unable to sustain discharge across multi-hour peak periods, requiring greater reliance on thermal generation during extended low-renewable events (e.g., Day 2) and limiting the amount of solar energy that could be shifted to evening peaks (Day 3). The long-duration configuration (E/P = 10) enables the system to store excess renewable generation for 8–12 h, effectively bridging the gap between solar-rich midday periods and evening demand peaks while maintaining carbon compliance without excessive thermal backup.
Together, these three operational days demonstrate the versatility of the optimized wind–PV–thermal–storage system under extended storage duration: it can handle wind-dominated periods without storage activation, navigate low-renewable conditions through complementary dispatch, and leverage long-duration storage to manage peak demand and PV intermittency. This operational flexibility, combined with the reduced storage power capacity shown in Table 4, confirms that longer-duration storage enables more cost-effective configurations for wind–PV–thermal–storage systems while maintaining reliable supply across diverse operating conditions.
These operational visualizations complement the capacity results in Table 3, showing how the planned wind–PV–thermal–storage system performs under diverse scenarios. The complete analysis reveals that storage configuration evolves with carbon constraints in wind–PV–thermal–storage systems: in power-dominant phases, storage enhances system reliability, while in energy-dominant phases, it substitutes for thermal generation to achieve emission reductions.

4.7. Comparative Advantages: Hard Carbon Cap vs. Price-Based Carbon Constraints

When conducting capacity expansion planning for power systems with a high proportion of wind and photovoltaic power, carbon constraints must be considered as a realistic requirement. China’s carbon market assesses compliance based on annual total carbon emissions, which is a typical physical upper-limit constraint. Therefore, adopting an “annual hard carbon cap” model aligns more closely with China’s actual policies than a “price-based carbon constraint model” and can more effectively guide the planning of systems incorporating thermal power, energy storage, and renewable energy.
Although price-based models can influence the power structure through cost internalization, their emission reduction effectiveness depends on the accuracy of the carbon price signal. In planning aimed at cost minimization, if the set carbon price is too low, the model tends to retain or even increase the utilization hours of thermal power to reduce total system costs, potentially causing annual carbon emissions to exceed the limit. This contradicts the principle of total amount control under the carbon peak and carbon neutrality goals. In contrast, the hard carbon cap model directly sets an annual emission ceiling. Regardless of fluctuations in wind and solar power, the system planning must find the optimal solution within this physical red line, thereby forcing a more resilient capacity configuration. Table 5 summarizes the key differences between the two approaches.

5. Conclusions

This paper presents a two-stage robust optimization framework for wind–PV–thermal–storage capacity planning under a strict annual carbon emission cap. The work addresses the challenge of certifying that capacity portfolios remain both economically optimal and carbon-compliant under worst-case renewable uncertainty realizations through three key contributions. First, decarbonization is formulated as a hard feasibility constraint rather than a price-based penalty. By enforcing the annual carbon emission cap across all admissible uncertainty realizations, the framework ensures capacity plans remain feasible even when renewable output is most limited, addressing reliability concerns under deep decarbonization. Second, a fixed energy-to-power (E/P) ratio for storage preserves practical design coupling, preventing unrealistic storage expansions that arise when energy and power capacities are modeled independently. This coupling provides an analytical link between tightening carbon caps and required storage duration, informing technology selection between Li-ion batteries and flow batteries. Third, a decomposition-based solution methodology separates economic optimality from carbon feasibility within a unified column-and-constraint generation (C&CG) algorithm. By dualizing the inner operational subproblems, two families of valid inequalities are generated: economic cuts from the Economic-SP and carbon-feasibility cuts from the Carbon-SP. This dual-certification framework enables simultaneous certification of worst-case operating cost and minimum achievable emissions. The separation of subproblems enhances interpretability and accelerates computation via cut prioritization, with feasibility-first logic ensuring convergence to the carbon-feasible region before refining economic optimality.
The algorithm converges in finite iterations, with numerical tests on realistic systems demonstrating tractability (10–15 iterations) and computational efficiency (3–8 min on standard hardware). The dual-based reformulation contributes to computational efficiency, with solution times of 3–8 min on standard hardware. Case study results reveal that long-duration storage (E/P = 10) enables more economical configurations by shifting from power-oriented to energy-oriented deployment, reducing storage power requirements while maintaining carbon compliance. Future work may extend the formulation to include dynamic carbon budgets, multiple storage technologies with different E/P ratios, and transmission constraints. The modular decomposition structure supports such extensions with minimal disruption. The framework offers planners a rigorous, computationally manageable tool for designing robust, carbon-compliant power systems under deep renewable penetration and uncertainty.

Author Contributions

Conceptualization, Y.Y. and B.Y.; methodology, Y.Y. and H.I.S.; software, Y.Y.; validation, Y.Y., H.I.S., B.Y., G.B.G., Y.Z. and G.I.R.; investigation, Y.Y., Y.Z., G.B.G. and G.I.R.; resources, Y.Y. and B.Y.; data curation, Y.Y., H.I.S. and B.Y.; writing—original draft preparation, Y.Y., H.I.S. and Y.Z.; writing—review and editing, H.I.S., B.Y. and Y.Z.; visualization, Y.Y. and H.I.S.; supervision, H.I.S. and B.Y.; project administration, B.Y.; funding acquisition, B.Y. All authors have read and agreed to the published version of the manuscript.

Funding

This research was funded in part by the Natural Science Foundation of China under Grant 52077011, and in part by the Science and Technology Innovation Program of Hunan Province under Grant 2024RC9019.

Data Availability Statement

The original contributions presented in this study are included in the article. Further inquiries can be directed to the corresponding authors.

Conflicts of Interest

The authors declare no conflicts of interest.

Nomenclature

Abbreviations
C&CGColumn-and-Constraint Generation
CPMCapacity Planning Model
E/PEnergy-to-Power (ratio)
LDESLong-Duration Energy Storage
LPLinear Program
MILPMixed-Integer Linear Program
MPMaster Problem
MWhMegawatt-hour
kWhKilowatt-hour
PVPhotovoltaic
SOCState of Charge
SPSubproblem
STCStandard Test Conditions
VOLLValue of Lost Load
VREVariable Renewable Energy
WPTSWind–Photovoltaic–Thermal–Storage
Sets and Indices
d D Index and set of representative days
t T Index and set of time periods within a day
k K Index and set of economic optimality cuts
l L Index and set of carbon feasibility cuts
First-Stage Variables (Capacity Planning)
x wt Installed wind power capacity (MW)
x pv Installed PV capacity (MW)
x th Installed thermal generation capacity (MW)
E stor Energy storage energy capacity (MWh)
P stor Energy storage power capacity (MW)
xVector of all capacity decisions, x = ( x wt , x pv , x th , E stor , P stor )
Second-Stage Variables (Operation)
w t , d Wind power output at time t on day d (MW)
p v t , d PV power output at time t on day d (MW)
g t , d Thermal generation output at time t on day d (MW)
P stor , t , d ch Storage charging power at time t on day d (MW)
P stor , t , d dis Storage discharging power at time t on day d (MW)
SOC t , d Storage state of charge at time t on day d (MWh)
P t , d buy Power purchased from external market (MW)
P t , d sell Power sold to external market (MW)
P t , d voll Unserved load (load curtailment) (MW)
yVector of all operational variables
Parameters and Coefficients
a wt , a pv , a th Annualized capital cost of wind, PV, and thermal capacity ($/MW-yr)
a stor , E , a stor , P Annualized capital cost of storage energy and power capacity
($/MWh-yr, $/MW-yr)
c om wt , c om pv Wind and PV operation and maintenance cost ($/MWh)
c fuel th Thermal generation fuel cost ($/MWh)
c om stor Storage operation and maintenance cost ($/MW)
π t , d buy , π t , d sell Market purchase and sale price at time t on day d ($/MWh)
π voll Value of lost load (VOLL) ($/MWh)
L t , d Electrical load at time t on day d (MW)
w d day Weight of representative day d
Δ t Duration of each time period (hours)
Technical Parameters
α E / P Fixed energy-to-power ratio of storage (hours)
η ch , η dis Storage charging and discharging efficiency
R up , R down Thermal generator ramp-up and ramp-down limits (MW/h)
κ th Carbon emission intensity of thermal generation (tCO2/MWh)
C bud Annual carbon emission budget (tCO2)
γ th Maximum allowed share of thermal capacity in portfolio
Uncertainty Parameters
uUncertainty realization vector
U Uncertainty set
W ¯ t , d max Nominal maximum available wind power (MW)
P V ¯ t , d max Nominal maximum available PV power (MW)
W t , d max ( u ) Actual maximum available wind power under uncertainty u (MW)
P V t , d max ( u ) Actual maximum available PV power under uncertainty u (MW)
β wt , t , d , β pv , t , d Wind and PV availability deviation factors
β wt , t , d count , β pv , t , d count Binary indicators for nonzero wind/PV deviations
β wt max , β pv max Maximum deviation magnitudes
Γ wt , Γ pv Uncertainty budgets (number of periods with adverse deviations)
Mathematical Notation
f cap ( x ) Annualized capital cost function
f ope ( y , u ) Operational cost function under uncertainty u
F ( x , u ) Feasible operational set given capacities x and uncertainty u
A , M , H ( u ) Matrices in compact constraint formulation
q , e Coefficient vectors for operational cost and carbon emissions
λ , λ ¯ Dual variables for economic and carbon subproblems
θ Auxiliary variable representing worst-case operating cost
Φ ( x ) Worst-case operating cost function (Economic-SP)
Ψ ( x ) Maximum minimum-attainable emissions function (Carbon-SP)
ε Convergence tolerance
I ( · ) Indicator function (returns 1 if condition is true, 0 otherwise)

Appendix A. Load Profile Data

Load Profile for Capacity Planning:
Table A1 presents the normalized load profiles for the four typical days used in the capacity planning model. The values represent the load relative to the peak load on Day 4, which is normalized to 1.0.
Table A1. Load profile for capacity planning (normalized values).
Table A1. Load profile for capacity planning (normalized values).
Time PeriodDay 1Day 2Day 3Day 4
10.5155370.4949030.7354900.813826
20.4934060.4737060.6998230.774902
30.4794500.4607300.6727620.741379
40.4715730.4538780.6514810.704954
50.4740250.4571650.6417710.695730
60.4917540.4773560.6381720.678799
70.5257070.5108990.6525140.699093
80.5687660.5545470.7019380.762344
90.6116790.5947740.7708210.852400
100.6261760.6058910.8138950.905822
110.6361400.6136400.8484540.954606
120.6086000.5845240.8503210.967281
130.6102720.5826440.8806531.000000
140.6053720.5773820.8703840.983607
150.6041820.5744900.8590100.971630
160.6148860.5851630.8506920.964516
170.6237020.5944700.8407050.948903
180.6170910.5908420.8068380.904052
190.6206440.5930730.8003120.894598
200.6197660.5929370.8390230.952859
210.6116720.5860410.8544970.954124
220.5751570.5502030.8229750.922344
230.5423590.5165270.7752610.870195
240.5166350.4912060.7340460.826824
The load profiles exhibit distinct daily patterns: Day 1 shows moderate demand with peak at period 11 (0.636), Day 2 has similar but slightly lower patterns, Day 3 displays significantly higher afternoon peaks reaching 0.881 at period 13, and Day 4 represents the most challenging scenario with peak demand normalized to 1.0 at period 13. These four profiles capture the range of demand conditions necessary for robust capacity planning.

References

  1. Wolf, S.; Teitge, J.; Mielke, J.; Schütze, F.; Jaeger, C. The European Green Deal—More Than Climate Neutrality. Intereconomics 2021, 56, 99–107. [Google Scholar] [CrossRef]
  2. Action Plan for Low-Carbon Coal Power Transformation and Construction (2024–2027). Available online: https://www.ndrc.gov.cn/xxgk/zcfb/tz/202407/t20240715_1391663.html (accessed on 15 July 2024).
  3. Li, Y.; Lan, S.; Ryberg, M.; Pérez-Ramírez, J.; Wang, X. A Quantitative Roadmap for China Towards Carbon Neutrality in 2060 Using Methanol and Ammonia as Energy Carriers. iScience 2021, 24, 102513. [Google Scholar] [CrossRef]
  4. Action Plan for Carbon Peak by 2030. Available online: https://www.gov.cn/zhengce/content/2021-10/26/content_5644984.htm (accessed on 26 October 2021).
  5. Domínguez, R.; Conejo, A.J.; Carrión, M. Toward Fully Renewable Electric Energy Systems. IEEE Trans. Power Syst. 2015, 30, 316–326. [Google Scholar] [CrossRef]
  6. Yang, B.; Yuan, X.; Tang, F. Improved Nonlinear Mapping Network for Wind Power Forecasting in Renewable Energy Power System Dispatch. Energy Rep. 2022, 8, 124–133. [Google Scholar] [CrossRef]
  7. Wu, H.; Liao, S.; Ke, D.; Xu, J.; Song, L.; Sun, Y.; Fang, K. A Novel Stochastic Unit Commitment Characterized by Closed-Loop Forecast-and-Decision for Wind Integrated Power Systems. IEEE Trans. Power Syst. 2024, 39, 2570–2586. [Google Scholar] [CrossRef]
  8. Wen, Y.; Wu, J.; Lin, P.; Low, Y.M. The Role of Offshore Wind and Solar PV Resources in Global Low-Carbon Transition. Sci. Adv. 2025, 11, eadx5580. [Google Scholar] [CrossRef] [PubMed]
  9. Zhao, N.; Gu, W. Low-Carbon Planning and Optimization of the Integrated Energy System Considering Lifetime Carbon Emissions. J. Build. Eng. 2024, 82, 108178. [Google Scholar] [CrossRef]
  10. Castillo, A.; Gayme, D.F. Grid-Scale Energy Storage Applications in Renewable Energy Integration: A Survey. Energy Convers. Manag. 2014, 87, 885–894. [Google Scholar] [CrossRef]
  11. Sepehry, M.H.; Kapourchali, V.; Aravinthan, W.; Jewell, R. Robust Day-Ahead Operation Planning of Unbalanced Microgrids. IEEE Trans. Ind. Inform. 2019, 15, 4545–4557. [Google Scholar] [CrossRef]
  12. Shaheen, H.I.; Rashed, G.I.; Yang, B.; Yang, J. Optimal Electric Vehicle Charging and Discharging Scheduling Using Metaheuristic Algorithms: V2G Approach for Cost Reduction and Grid Support. J. Energy Storage 2024, 90, 111816. [Google Scholar] [CrossRef]
  13. Mohseni, S.; Brent, A.C.; Kelly, S.; Browne, W.N.; Burmester, D. Strategic Design Optimisation of Multi-Energy-Storage-Technology Micro-Grids Considering a Two-Stage Game-Theoretic Market for Demand Response Aggregation. Appl. Energy 2021, 287, 116563. [Google Scholar] [CrossRef]
  14. Zhang, S.; Mishra, Y.; Shahidehpour, M. Utilizing Distributed Energy Resources to Support Frequency Regulation Services. Appl. Energy 2017, 206, 1484–1494. [Google Scholar] [CrossRef]
  15. Brown, P.R.; Williams, T.; Brown, M.L.; Murphy, C. System-Cost-Minimizing Deployment of PV-Wind Hybrids in Low-Carbon US Power Systems. Appl. Energy 2024, 365, 123151. [Google Scholar] [CrossRef]
  16. Wang, Z.; Gao, Y.; Gao, Y. Optimization of Distributed Photovoltaic Energy Storage System Double-Layer Planning in Low-Carbon Parks Considering Variable Operating Conditions and Complementary Synergy of Energy Storage Devices. Energies 2025, 18, 1881. [Google Scholar] [CrossRef]
  17. Sepulveda, N.A.; Jenkins, J.D.; Edington, A.; Mallapragada, D.S.; Lester, R.K. The Design Space for Long-Duration Energy Storage in Decarbonized Power Systems. Nat. Energy 2021, 6, 506–516. [Google Scholar] [CrossRef]
  18. Zhuang, W.; Zhou, S.; Gu, W.; Ding, S.; Lu, S.; Zhang, T.; Ding, Y.; Chan, C.C.; Zhang, S. Optimal Planning of Electricity–Gas Coupled Coordination Hub Considering Large-Scale Energy Storage. Energy Convers. Manag. 2024, 300, 117917. [Google Scholar] [CrossRef]
  19. Sifnaios, I.; Sneum, D.M.; Jensen, A.R.; Fan, J.; Bramstoft, R. The Impact of Large-Scale Thermal Energy Storage in the Energy System. Appl. Energy 2023, 349, 121663. [Google Scholar] [CrossRef]
  20. Colbertaldo, P.; Agustin, S.B.; Campanari, S.; Brouwer, J. Impact of Hydrogen Energy Storage on California Electric Power System: Towards 100% Renewable Electricity. Int. J. Hydrogen Energy 2019, 44, 9558–9576. [Google Scholar] [CrossRef]
  21. Brey, J. Use of Hydrogen as a Seasonal Energy Storage System to Manage Renewable Power Deployment in Spain by 2030. Int. J. Hydrogen Energy 2021, 46, 17447–17457. [Google Scholar] [CrossRef]
  22. Nezhad, A.E.; Jowkar, S.; Sabour, T.T.; Rahimi, E.; Ghanavati, F.; Esmaeilnezhad, F. A Short-Term Wind-Hydrothermal Operational Framework in the Presence of Pumped-Hydro Storage. e-Prime-Adv. Electr. Eng. Electron. Energy 2024, 8, 100577. [Google Scholar] [CrossRef]
  23. Khandualo, S.K.; Barisal, A.K.; Hota, P.K. Scheduling of Pumped Storage Hydrothermal System with Evolutionary Programming. J. Clean Energy Technol. 2013, 1, 308–312. [Google Scholar] [CrossRef]
  24. Ren, Z.; Zhang, S.; Su, Y.; Yao, Z.; Huang, R.; Wang, P. Low-Carbon Policy Simulation for Offshore Wind Power Development in China’s Net-Zero Power Sector. Energy Policy 2025, 205, 114700. [Google Scholar] [CrossRef]
  25. Hemmati, R.; Saboori, H.; Jirdehi, M.A. Stochastic Planning and Scheduling of Energy Storage Systems for Congestion Management in Electric Power Systems Including Renewable Energy Resources. Energy 2017, 133, 380–387. [Google Scholar] [CrossRef]
  26. Hemmati, R. Optimal Design and Operation of Energy Storage Systems and Generators in the Network Installed with Wind Turbines Considering Practical Characteristics of Storage Units as Design Variable. J. Cleaner Prod. 2018, 185, 680–693. [Google Scholar] [CrossRef]
  27. Hemmati, R.; Shafie-Khah, M.; Catalao, J.P.S. Three-Level Hybrid Energy Storage Planning Under Uncertainty. IEEE Trans. Ind. Electron. 2019, 66, 2174–2184. [Google Scholar] [CrossRef]
  28. Hemmati, R.; Saboori, H.; Jirdehi, M.A. Multistage Generation Expansion Planning Incorporating Large Scale Energy Storage Systems and Environmental Pollution. Renew. Energy 2026, 97, 636–645. [Google Scholar] [CrossRef]
  29. Yang, B.; Zhao, Z. Energy Storage Overcapacity Can Cause Power System Instability and Blackouts, Too. Nature 2024, 633, 286. [Google Scholar] [CrossRef] [PubMed]
  30. Manandhar, U.; Tummuru, N.R.; Kollimalla, S.K.; Ukil, A.; Beng, G.H.; Chaudhari, K. Validation of Faster Joint Control Strategy for Battery- and Supercapacitor-Based Energy Storage System. IEEE Trans. Ind. Electron. 2018, 65, 3286–3295. [Google Scholar] [CrossRef]
Figure 1. Schematic diagram of the robust planning framework for wind–PV–thermal–storage systems.
Figure 1. Schematic diagram of the robust planning framework for wind–PV–thermal–storage systems.
Energies 19 01546 g001
Figure 2. Flowchart of the robust planning framework for wind–PV–thermal–storage systems under carbon constraints.
Figure 2. Flowchart of the robust planning framework for wind–PV–thermal–storage systems under carbon constraints.
Energies 19 01546 g002
Figure 3. Operational regimes of energy storage systems in wind–PV–thermal–storage systems. Tightening carbon constraints drive the transition from power-dominant operations (shallow cycles, fast response) to energy-dominant operations (deep cycles, multi-hour shifting).
Figure 3. Operational regimes of energy storage systems in wind–PV–thermal–storage systems. Tightening carbon constraints drive the transition from power-dominant operations (shallow cycles, fast response) to energy-dominant operations (deep cycles, multi-hour shifting).
Energies 19 01546 g003
Figure 4. Block diagram of the column-and-constraint generation (C&CG) algorithm for robust capacity planning of wind–PV–thermal–storage systems.
Figure 4. Block diagram of the column-and-constraint generation (C&CG) algorithm for robust capacity planning of wind–PV–thermal–storage systems.
Energies 19 01546 g004
Figure 5. Wind and PV power profiles for typical days in the wind–PV–thermal–storage system.
Figure 5. Wind and PV power profiles for typical days in the wind–PV–thermal–storage system.
Energies 19 01546 g005
Figure 6. Wind and PV power uncertainty distribution for typical days in the wind–PV–thermal–storage system.
Figure 6. Wind and PV power uncertainty distribution for typical days in the wind–PV–thermal–storage system.
Energies 19 01546 g006
Figure 7. Power output mix of the wind–PV–thermal–storage system on Day 1 (wind-rich, PV-poor) under E / P = 10 and γ t h = 20 % , illustrating how extended storage duration enables the system to operate without storage intervention when wind resources are abundant.
Figure 7. Power output mix of the wind–PV–thermal–storage system on Day 1 (wind-rich, PV-poor) under E / P = 10 and γ t h = 20 % , illustrating how extended storage duration enables the system to operate without storage intervention when wind resources are abundant.
Energies 19 01546 g007
Figure 8. Power output mix of the wind–PV–thermal–storage system on Day 2 (low-renewable conditions) under E / P = 10 and γ t h = 20 % , showing how thermal generation and storage discharge work together to maintain supply when both wind and PV are limited.
Figure 8. Power output mix of the wind–PV–thermal–storage system on Day 2 (low-renewable conditions) under E / P = 10 and γ t h = 20 % , showing how thermal generation and storage discharge work together to maintain supply when both wind and PV are limited.
Energies 19 01546 g008
Figure 9. Power output mix of the wind–PV–thermal–storage system on Day 3 (high-load conditions) under E / P = 10 and γ t h = 20 % , demonstrating how long-duration storage shifts excess solar generation from midday to evening peak hours.
Figure 9. Power output mix of the wind–PV–thermal–storage system on Day 3 (high-load conditions) under E / P = 10 and γ t h = 20 % , demonstrating how long-duration storage shifts excess solar generation from midday to evening peak hours.
Energies 19 01546 g009
Table 1. Comparison of power output characteristics for different generation resources in wind–PV–thermal–storage systems.
Table 1. Comparison of power output characteristics for different generation resources in wind–PV–thermal–storage systems.
ResourceTheoretical PowerActual PowerKey Constraints/Characteristics
Wind PowerRated capacity (at optimal wind speed)0 to rated capacity, dependent on real-time wind speedInherent intermittency; forecast inaccuracy; cut-in/cut-out limits
Solar PVRated capacity (Standard Test Conditions (STC))0 to rated capacity; rapid fluctuations from cloud coverDiurnal/seasonal cycles; weather transients; dust/snow coverage
ThermalRated capacityMinimum stable generation to rated capacityMin. stable generation; ramp rate; start-up/shut-down time
HydropowerRated capacityHighly dispatchable (min. to rated), fast rampingReservoir storage; water inflow; multi-purpose water use priority
NuclearRated capacityTypically operates at/near rated capacityTechnical inertia; power drops to 0 during refueling
StorageRated power capacityEnergy-limited; state of charge (SOC)-constrainedSOC constraint on sustained discharge; E/P ratio defines duration
Table 2. Parameter setting for wind–PV–thermal–storage capacity planning model (WPTS-CPM).
Table 2. Parameter setting for wind–PV–thermal–storage capacity planning model (WPTS-CPM).
ParameterValueUnit
Time periods T24hours
Typical days d4number
Wind uncertainty magnitude β max wt 18%
PV uncertainty magnitude β max pv 15%
Wind uncertainty frequency Γ wt 12
PV uncertainty frequency Γ pv 12
Storage E/P ratios5, 4, 2, 1
Thermal threshold γ th 18%
Carbon cap C bud 2.8 × 10 7 ton/year
Table 3. Capacity planning results of wind–PV–thermal–storage (WPTS-CPM).
Table 3. Capacity planning results of wind–PV–thermal–storage (WPTS-CPM).
E/PWind (MW)PV (MW)Renewable (MW)Thermal (MW)Storage Energy (MWh)Storage Power (MW)
520,599.3043,740.7864,340.087612.6899,272.9319,854.59
410,449.1156,878.4867,327.594208.24165,447.3341,361.80
230,630.8538,536.5669,167.418457.8072,851.9936,425.99
138,059.0427,411.4165,470.4512,472.8617,082.9717,082.97
Table 4. Capacity comparison for wind–PV–thermal–storage system with extended storage duration.
Table 4. Capacity comparison for wind–PV–thermal–storage system with extended storage duration.
Wind (MW)PV (MW)Thermal (MW)Storage Energy (MWh) γ th (%)E/P
24,813.2943,140.948459.87129,940.622010
20,599.3043,740.787612.6899,272.93185
Table 5. Comparison of advantages: hard carbon cap vs. price-based model.
Table 5. Comparison of advantages: hard carbon cap vs. price-based model.
DimensionPrice-Based ModelHard Carbon Cap Model
Policy AlignmentPrice-driven mechanism; uncertain total emissions; similar to European model.Directly corresponds to China’s annual carbon quota; determined total amount; consistent with practice.
Total Amount ControlWeak; emissions fluctuate with costs; easily exceeds limits if carbon price too low.Strong; annual emission ceiling; strictly enforces carbon budget.
Response to Wind/Solar UncertaintyWhen RE output low, increases thermal based on marginal cost; risks breaking carbon budget.When RE output low, constrained by remaining budget; forces storage or demand response.
Disclaimer/Publisher’s Note: The statements, opinions and data contained in all publications are solely those of the individual author(s) and contributor(s) and not of MDPI and/or the editor(s). MDPI and/or the editor(s) disclaim responsibility for any injury to people or property resulting from any ideas, methods, instructions or products referred to in the content.

Share and Cite

MDPI and ACS Style

Yan, Y.; Shaheen, H.I.; Yang, B.; Gharehpetian, G.B.; Zuo, Y.; Rashed, G.I. Carbon-Cap-Feasible Robust Capacity Planning of Wind–PV–Thermal–Storage Systems with Fixed Energy-to-Power Ratios. Energies 2026, 19, 1546. https://doi.org/10.3390/en19061546

AMA Style

Yan Y, Shaheen HI, Yang B, Gharehpetian GB, Zuo Y, Rashed GI. Carbon-Cap-Feasible Robust Capacity Planning of Wind–PV–Thermal–Storage Systems with Fixed Energy-to-Power Ratios. Energies. 2026; 19(6):1546. https://doi.org/10.3390/en19061546

Chicago/Turabian Style

Yan, Yuyang, Husam I. Shaheen, Bo Yang, Gevork B. Gharehpetian, Yi Zuo, and Ghamgeen I. Rashed. 2026. "Carbon-Cap-Feasible Robust Capacity Planning of Wind–PV–Thermal–Storage Systems with Fixed Energy-to-Power Ratios" Energies 19, no. 6: 1546. https://doi.org/10.3390/en19061546

APA Style

Yan, Y., Shaheen, H. I., Yang, B., Gharehpetian, G. B., Zuo, Y., & Rashed, G. I. (2026). Carbon-Cap-Feasible Robust Capacity Planning of Wind–PV–Thermal–Storage Systems with Fixed Energy-to-Power Ratios. Energies, 19(6), 1546. https://doi.org/10.3390/en19061546

Note that from the first issue of 2016, this journal uses article numbers instead of page numbers. See further details here.

Article Metrics

Back to TopTop