Fuel Switching Strategies for Decarbonising the Glass Industry Using Renewable Energy and Hydrogen-Based Solutions
Abstract
1. Introduction
| Ref. | Year | Sector | Plant Size | Site Location | Modelling Approach a | Sensitivity Analysis | Renewable Source b | Fuel Switching c | Load Matching d | |||
|---|---|---|---|---|---|---|---|---|---|---|---|---|
| S | W | HC | DE | HS | BS | |||||||
| [13] | 2012 | Aluminium | 780 ktonne/year | China | SIM | ● | ● | |||||
| [14] | 2018 | Cement | 2.3 Mtonne/year | Jordan | OPT | ● | ● | ● | ||||
| [15] | 2021 | Aluminium | 1 Mtonne/year | UAE | OPT | ● | ● | ● | ● | |||
| [16] | 2021 | Glass | 36.5 ktonne/year | Germany | OPT | ● | ● | ● | ● | |||
| [17] | 2022 | Steel | 1.5 Mtonne/year | Spain | SIM | ● | ● | ● | ● | |||
| [18] | 2023 | Steel | 100 ktonne/year | Italy | SIM | ● | ● | ● | ● | |||
| [19] | 2024 | Steel | 1 Mtonne/year | United States | OPT | ● | ● | ● | ● | ● | ||
| [20] | 2024 | General | - | Spain | OPT | ● | ● | ● | ||||
| [21] | 2024 | General | - | Five sites | OPT | ● | ● | ● | ● | ● | ||
| [22] | 2024 | Ceramics | - | - | OPT | ● | ● | ● | ● | ● | ||
| [23] | 2024 | Paper | - | Italy | SIM | ● | ● | ● | ● | |||
| [24] | 2024 | Steel | 1.5 Mtonne/year | Finland | OPT | ● | ● | ● | ● | |||
| [25] | 2025 | Steel, ammonia | 1 Mtonne/year, 300 ktonne/year | US | OPT | ● | ● | ● | ● | ● | ● | |
| [26] | 2025 | Glass | 110 ktonne/year | Italy | OPT | ● | ● | ● | ● | |||
| [27] | 2025 | Glass | 110 ktonne/year | Italy | OPT | ● | ● | ● | ● | ● | ||
| [28] | 2025 | Multiple | - | US | OPT | ● | ● | ● | ● | |||
2. Decarbonising the Glass Industry: Status and Prospects
3. Decarbonising the Glass Industry: Technical Framework
- (i)
- General implementation of energy efficiency and savings measures;
- (ii)
- Replacement of conventional fuels through electrification of the melting process, supported by renewable electricity;
- (iii)
- Process-oriented combustion modifications, such as oxyfuel combustion and the use of green hydrogen in blended combustion. Together, these approaches aim to maintain process performance while significantly reducing carbon emissions.
4. Methodological Framework for Assessing Renewable-Based Electrification and Hydrogen Pathways in the Glass Industry
4.1. System Layout and Energy Balances
4.2. Optimisation Formulation and Key Performance Indicators
5. Case Study and Results
5.1. Operational Behaviour
5.2. Techno-Economic Assessment
5.2.1. Direct Integration
5.2.2. Advanced Integration
5.3. Sensitivity Analysis
6. Conclusions
Author Contributions
Funding
Data Availability Statement
Acknowledgments
Conflicts of Interest
Abbreviations
| CAPEX | Capital expenditure |
| OPEX | Operational expenditure |
| PEM | Proton exchange membrane |
| REPEX | Replacement expenditure |
| SEC | Specific energy consumption |
Nomenclature
| Specific cost | (EUR/MWh), (EUR/tonne) or (EUR/m3) | |
| Absolute cost | (EUR) | |
| Capital expenditure | (EUR) | |
| Capacity factor | (%) | |
| Battery storage coverage | (%) | |
| Hydrogen electrolyser coverage | (%) | |
| Renewable energy coverage | (%) | |
| Discount rate | (%) | |
| Emission | (tCO2) | |
| Emission factor | (tCO2/MWh) | |
| Electric boosting | (%) | |
| Equivalent hours | (h) | |
| Levelised decarbonisation cost | (EUR/t) | |
| Load factor | (%) | |
| Lower heating value | (MJ/kg) | |
| Load profile | (%) | |
| Renewable energy mix | (%) | |
| Number of hours in the week | (-) | |
| Number of days in the year | (-) | |
| Operational expenditure | (EUR) | |
| Thermal power | (MW) or (MWh/h) | |
| Replacement expenditure | (EUR) | |
| Specific melting cost | (EUR/tonne) | |
| Specific melting emissions | (t/t) | |
| Specific energy consumption | (MWh/tonne), (GJ/tonne) | |
| State of charge | (%) | |
| Component size | (tonne/day) or (MW) or (MWh) | |
| Hourly electric power | (MW) or (MWh/h) | |
| Efficiency | (%) | |
| Subscripts and superscripts | ||
| Battery storage | ||
| Components | ||
| Charge | ||
| Days | ||
| Decarbonisation | ||
| Discharge | ||
| Economic | ||
| Electric | ||
| Environmental | ||
| Furnace | ||
| Grid | ||
| Hours | ||
| Generic combination | ||
| Input | ||
| Hydrogen compressor | ||
| Hydrogen storage | ||
| Melting | ||
| Natural gas | ||
| Output | ||
| Oxygen | ||
| Proton exchange membrane | ||
| Photovoltaic | ||
| Generic hour | ||
| Thermal | ||
| Wind | ||
| Years | ||
| Conventional configuration | ||
Appendix A. Modelling Assumptions
| Parameter | Definition | Symbol | Minimum | Maximum | Step |
|---|---|---|---|---|---|
| Furnace electric boosting (%) | 10 | 80 | 10 | ||
| Renewable coverage (%) | 25 | 150 | 25 | ||
| Renewable mix (%) | 0 | 100 | 10 | ||
| Battery coverage (%) | 0 | 100 | 10 | ||
| Electrolyser coverage (%) | 0 | 100 | 10 | ||
| Electricity price (EUR/MWh) | 25 | 150 | 25 | ||
| Natural gas price (EUR/MWh) | 25 | 150 | 25 | ||
| CO2 price (EUR/tCO2) | 75 | 300 | 75 |
| Component | Parameter | Equation | Units |
|---|---|---|---|
| Glass furnace | Thermal SEC | (MWh/t) | |
| Electric SEC | (MWh/t) | ||
| Oxygen SEC | (MWh/t) | ||
| Electric load | (MWh/h) | ||
| Thermal load | (MWh/h) | ||
| PV plant | Component size | (MW) | |
| Electricity generation | (MWh/h) | ||
| Wind plant | Component size | (MW) | |
| Electricity generation | (MWh/h) | ||
| Battery storage | Component size | (MWh) | |
| Charge/discharge | (MWh/h) | ||
| State of charge | (%) | ||
| PEM electrolyser | Component size | (MW) | |
| Electricity consumption | (MWh/h) | ||
| Efficiency | (%) | ||
| Hydrogen generation | (MWh/h) | ||
| Hydrogen storage | Component size | (MWh) | |
| Charge/discharge | (MWh/h) | ||
| State of charge | (%) | ||
| Hydrogen compressor | Component size | (MW) | |
| Electricity consumption | (MWh/h) |
| Component | Parameter | Symbol | Value | Unit |
|---|---|---|---|---|
| PV plant | Capacity factor | 1122 | (h) | |
| Wind plant | Capacity factor | 2200 | (h) | |
| Battery storage | Storage capacity | 4 | (h) | |
| Operative range | 10–90 | (%) | ||
| Charge/discharge efficiency | 98 | (%) | ||
| Hydrogen compressor | Electric SEC | 4 | (MJ/kg) | |
| Hydrogen storage | Storage capacity | 72 | (h) | |
| Operative range | 10–90 | (%) | ||
| Charge/discharge efficiency | 100 | (%) |
| (MW) | Renewable Coverage | ||||||
|---|---|---|---|---|---|---|---|
| 25% | 50% | 75% | 100% | 125% | 150% | ||
| Renewable mix | 0% | 0.0 | 0.0 | 0.0 | 0.0 | 0.0 | 0.0 |
| 20% | 5.9 | 11.8 | 17.7 | 23.6 | 29.5 | 35.4 | |
| 40% | 11.8 | 23.6 | 35.4 | 47.2 | 59.0 | 70.7 | |
| 60% | 17.7 | 35.4 | 53.1 | 70.7 | 88.4 | 106.1 | |
| 80% | 23.6 | 47.2 | 70.7 | 94.3 | 117.9 | 141.5 | |
| 100% | 29.5 | 59.0 | 88.4 | 117.9 | 147.4 | 176.9 | |
| (MW) | Renewable Coverage | ||||||
|---|---|---|---|---|---|---|---|
| 25% | 50% | 75% | 100% | 125% | 150% | ||
| Renewable mix | 0% | 15.0 | 30.1 | 45.1 | 60.1 | 75.2 | 90.2 |
| 20% | 12.0 | 24.1 | 36.1 | 48.1 | 60.1 | 72.2 | |
| 40% | 9.0 | 18.0 | 27.1 | 36.1 | 45.1 | 54.1 | |
| 60% | 6.0 | 12.0 | 18.0 | 24.1 | 30.1 | 36.1 | |
| 80% | 3.0 | 6.0 | 9.0 | 12.0 | 15.0 | 18.0 | |
| 100% | 0.0 | 0.0 | 0.0 | 0.0 | 0.0 | 0.0 | |
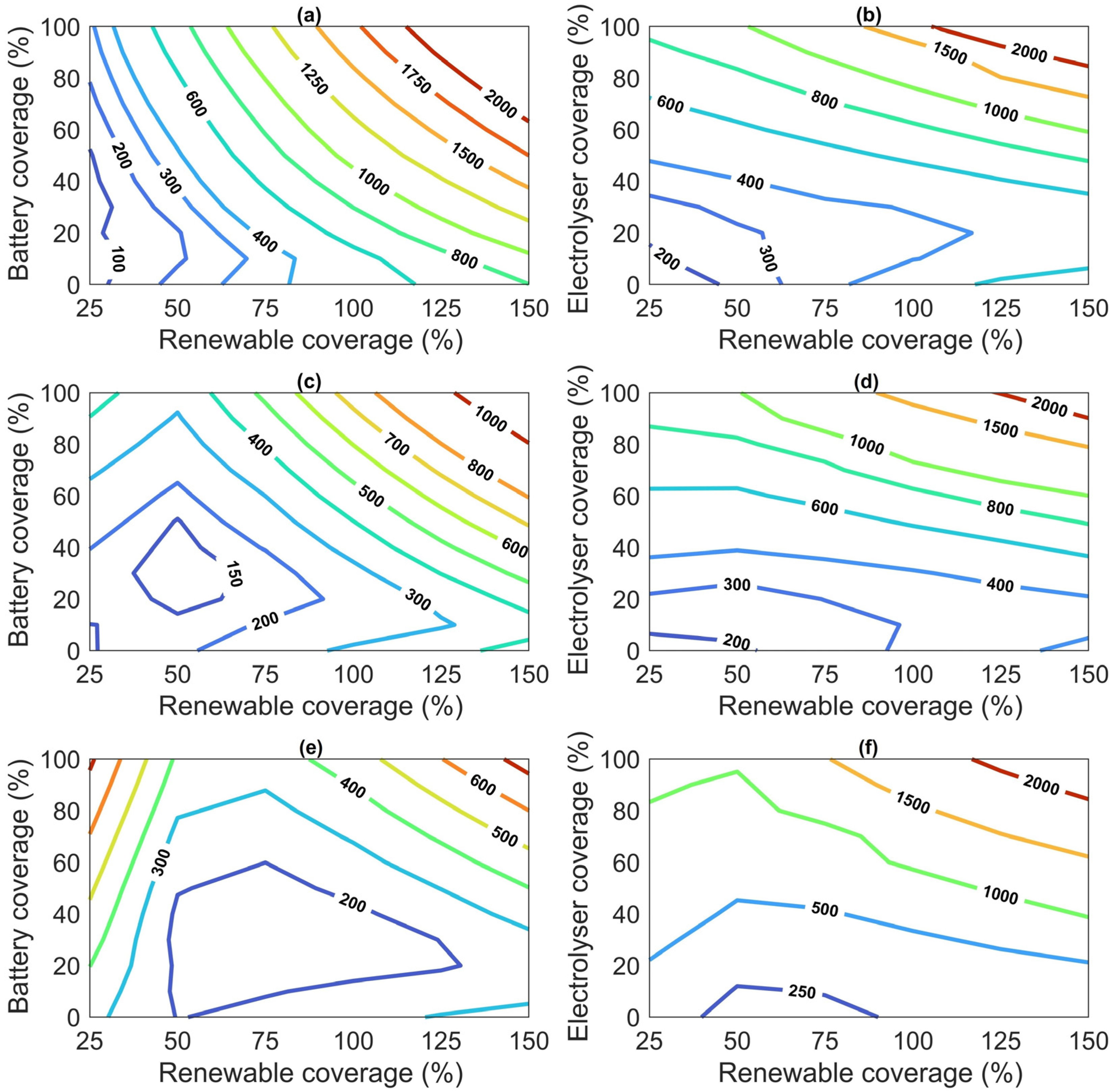
Appendix B. Operational Performance Maps



References
- International Energy Agency. Achieving Net Zero Heavy Industry Sectors in G7 Members; International Energy Agency: Paris, France, 2022. [Google Scholar]
- Bataille, C.; Åhman, M.; Neuhoff, K.; Nilsson, L.J.; Fischedick, M.; Lechtenböhmer, S.; Solano-Rodriquez, B.; Denis-Ryan, A.; Stiebert, S.; Waisman, H.; et al. A Review of Technology and Policy Deep Decarbonization Pathway Options for Making Energy-Intensive Industry Production Consistent with the Paris Agreement. J. Clean. Prod. 2018, 187, 960–973. [Google Scholar] [CrossRef]
- Rissman, J.; Bataille, C.; Masanet, E.; Aden, N.; Morrow, W.R.; Zhou, N.; Elliott, N.; Dell, R.; Heeren, N.; Huckestein, B.; et al. Technologies and Policies to Decarbonize Global Industry: Review and Assessment of Mitigation Drivers through 2070. Appl. Energy 2020, 266, 114848. [Google Scholar] [CrossRef]
- World Steel Association. Steel FACTS. 2022. Available online: https://worldsteel.org/wp-content/uploads/worldsteel-book-final-2022-1.pdf (accessed on 14 March 2026).
- Conradt, R. Prospects and Physical Limits of Processes and Technologies in Glass Melting. J. Asian Ceram. Soc. 2019, 7, 377–396. [Google Scholar] [CrossRef]
- Gutowski, T.G.; Sahni, S.; Allwood, J.M.; Ashby, M.F.; Worrell, E. The Energy Required to Produce Materials: Constraints on Energy-Intensity Improvements, Parameters of Demand. Philos. Trans. R. Soc. A 2013, 371, 20120003. [Google Scholar] [CrossRef]
- Philibert, C. Direct and Indirect Electrification of Industry and Beyond. Oxf. Rev. Econ. Policy 2019, 35, 197–217. [Google Scholar] [CrossRef]
- Franco, A.; Giovannini, C. Recent and Future Advances in Water Electrolysis for Green Hydrogen Generation: Critical Analysis and Perspectives. Sustainability 2023, 15, 16917. [Google Scholar] [CrossRef]
- Franco, A.; Rocca, M. Renewable Electricity and Green Hydrogen Integration for Decarbonization of “Hard-to-Abate” Industrial Sectors. Electricity 2024, 5, 471–490. [Google Scholar] [CrossRef]
- Franco, A. Green Hydrogen and the Energy Transition: Hopes, Challenges, and Realistic Opportunities. Hydrogen 2025, 6, 28. [Google Scholar] [CrossRef]
- Lund, H.; Arler, F.; Østergaard, P.; Hvelplund, F.; Connolly, D.; Mathiesen, B.; Karnøe, P. Simulation versus Optimisation: Theoretical Positions in Energy System Modelling. Energies 2017, 10, 840. [Google Scholar] [CrossRef]
- Muijsenberg, H.P.H.; Mahrenholtz, H.; Jandacek, P.; Hakes, S.; Jatzwauk, C. Carbon Reduction with Super Boosting and Advanced Energy Management Using Renewable Resources. In Proceedings of the 80th Conference on Glass Problems, Columbus, OH, USA, 28–31 October 2019; Sundaram, S.K., Ed.; Ceramic Transactions Series; Wiley: Hoboken, NJ, USA, 2021; pp. 71–93. ISBN 978-1-119-74490-0. [Google Scholar]
- Sun, Y.-Z.; Lin, J.; Song, Y.-H.; Xu, J.; Li, X.-M.; Dong, J.-X. An Industrial System Powered by Wind and Coal for Aluminum Production: A Case Study of Technical Demonstration and Economic Feasibility. Energies 2012, 5, 4844–4869. [Google Scholar] [CrossRef]
- Al-Ghussain, L.; Ahmed, H.; Haneef, F. Optimization of Hybrid PV-Wind System: Case Study Al-Tafilah Cement Factory, Jordan. Sustain. Energy Technol. Assess. 2018, 30, 24–36. [Google Scholar] [CrossRef]
- Sgouridis, S.; Ali, M.; Sleptchenko, A.; Bouabid, A.; Ospina, G. Aluminum Smelters in the Energy Transition: Optimal Configuration and Operation for Renewable Energy Integration in High Insolation Regions. Renew. Energy 2021, 180, 937–953. [Google Scholar] [CrossRef]
- Gärtner, S.; Rank, D.; Heberl, M.; Gaderer, M.; Dawoud, B.; Haumer, A.; Sterner, M. Simulation and Techno-Economic Analysis of a Power-to-Hydrogen Process for Oxyfuel Glass Melting. Energies 2021, 14, 8603. [Google Scholar] [CrossRef]
- Elsheikh, H.; Eveloy, V. Assessment of Variable Solar- and Grid Electricity-Driven Power-to-Hydrogen Integration with Direct Iron Ore Reduction for Low-Carbon Steel Making. Fuel 2022, 324, 124758. [Google Scholar] [CrossRef]
- Superchi, F.; Mati, A.; Carcasci, C.; Bianchini, A. Techno-Economic Analysis of Wind-Powered Green Hydrogen Production to Facilitate the Decarbonization of Hard-to-Abate Sectors: A Case Study on Steelmaking. Appl. Energy 2023, 342, 121198. [Google Scholar] [CrossRef]
- Devlin, A.; Kossen, J.; Goldie-Jones, H.; Yang, A. Global Green Hydrogen-Based Steel Opportunities Surrounding High Quality Renewable Energy and Iron Ore Deposits. Nat. Commun. 2023, 14, 2578. [Google Scholar] [CrossRef] [PubMed]
- Barigozzi, G.; Brumana, G.; Franchini, G.; Ghirardi, E.; Ravelli, S. Techno-Economic Assessment of Green Hydrogen Production for Steady Supply to Industrial Users. Int. J. Hydrogen Energy 2024, 59, 125–135. [Google Scholar] [CrossRef]
- Stolte, M.; Minuto, F.D.; Lanzini, A. Optimizing Green Hydrogen Production from Wind and Solar for Hard-to-Abate Industrial Sectors across Multiple Sites in Europe. Int. J. Hydrogen Energy 2024, 79, 1201–1214. [Google Scholar] [CrossRef]
- Sousa, J.; Azevedo, I.; Camus, C.; Mendes, L.; Viveiros, C.; Barata, F. Decarbonizing Hard-to-Abate Sectors with Renewable Hydrogen: A Real Case Application to the Ceramics Industry. Energies 2024, 17, 3661. [Google Scholar] [CrossRef]
- Ademollo, A.; Mati, A.; Pagliai, M.; Carcasci, C. Exploring the Role of Hydrogen in Decarbonizing Energy-Intensive Industries: A Techno-Economic Analysis of a Solid Oxide Fuel Cell Cogeneration System. J. Clean. Prod. 2024, 469, 143254. [Google Scholar] [CrossRef]
- Weiss, R.; Ikäheimo, J. Flexible Industrial Power-to-X Production Enabling Large-Scale Wind Power Integration: A Case Study of Future Hydrogen Direct Reduction Iron Production in Finland. Appl. Energy 2024, 365, 123230. [Google Scholar] [CrossRef]
- Reznicek, E.P.; Koleva, M.N.; King, J.; Kotarbinski, M.; Grant, E.; Vijayshankar, S.; Brunik, K.; Thomas, J.; Gupta, A.; Hammond, S.; et al. Techno-Economic Analysis of Low-Carbon Hydrogen Production Pathways for Decarbonizing Steel and Ammonia Production. Cell Rep. Sustain. 2025, 2, 100338. [Google Scholar] [CrossRef]
- Miserocchi, L.; Franco, A. Solar-Powered Electrification and Hydrogen Integration for Decarbonising the Glass Industry. Int. J. Energy Prod. Manag. 2025, 10, 645–655. [Google Scholar] [CrossRef]
- Miserocchi, L.; Franco, A. Techno-Economic Assessment of Electrification and Hydrogen Pathways for Optimal Solar Integration in the Glass Industry. Solar 2025, 5, 35. [Google Scholar] [CrossRef]
- Paudel, A.; Choi, J.-K. Techno-Economic Pathway for Green Hydrogen Adoption in Thermal Applications across US Small and Medium Manufacturing Sectors. Int. J. Hydrogen Energy 2025, 98, 295–307. [Google Scholar] [CrossRef]
- Griffin, P.W.; Hammond, G.P.; McKenna, R.C. Industrial Energy Use and Decarbonisation in the Glass Sector: A UK Perspective. Adv. Appl. Energy 2021, 3, 100037. [Google Scholar] [CrossRef]
- Zier, M.; Pflugradt, N.; Stenzel, P.; Kotzur, L.; Stolten, D. Industrial Decarbonization Pathways: The Example of the German Glass Industry. Energy Convers. Manag. X 2023, 17, 100336. [Google Scholar] [CrossRef]
- Atzori, D.; Debidda, L.; Bassano, C.; Tiozzo, S.; Corasaniti, S.; Spena, A. The Italian Glass Sectors’ Decarbonization Pathway. Gases 2025, 5, 11. [Google Scholar] [CrossRef]
- Salman, M.; Flórez-Orrego, D.; Coppitters, D.; Mitraki, R.; Maréchal, F.; Léonard, G. Decarbonising the Glass Industry: A Comprehensive Techno-Economic Assessment of Low-Emission Pathways. Comput. Chem. Eng. 2025, 203, 109329. [Google Scholar] [CrossRef]
- Jatzwauk, C. Design and Operation of Glass Furnaces. In Encyclopedia of Glass Science, Technology, History, and Culture; Richet, P., Conradt, R., Takada, A., Dyon, J., Eds.; Wiley: Hoboken, NJ, USA, 2021; pp. 1147–1164. ISBN 978-1-118-79942-0. [Google Scholar]
- U.S. Department of Energy. Bandwidth Study on Energy Use and Potential Energy Savings Opportunities in U.S. Glass Manufacturing; U.S. Department of Energy: Washington, DC, USA, 2017.
- Westbroek, C.D.; Bitting, J.; Craglia, M.; Azevedo, J.M.C.; Cullen, J.M. Global Material Flow Analysis of Glass: From Raw Materials to End of Life. J. Ind. Ecol. 2021, 25, 333–343. [Google Scholar] [CrossRef]
- International Energy Agency. Tracking Industrial Energy Efficiency and CO2 Emissions; International Energy Agency: Paris, France, 2007. [Google Scholar]
- Eid, J. Glass Is the Hidden Gem in a Carbon-Neutral Future. Nature 2021, 599, 7–8. [Google Scholar] [CrossRef]
- U.S. Department of Energy. Manufacturing Energy and Carbon Footprints; U.S. Department of Energy: Washington, DC, USA, 2018.
- European Climate, Infrastructure and Environment Executive Agency. How LIFE Is Reducing Emissions from Glass Production; European Commission: Brussels, Belgium, 2022. [Google Scholar]
- Schmitz, A.; Kamiński, J.; Maria Scalet, B.; Soria, A. Energy Consumption and CO2 Emissions of the European Glass Industry. Energy Policy 2011, 39, 142–155. [Google Scholar] [CrossRef]
- Assovetro. La Transizione Ecologica del Vetro—Sfide, Ostacoli e Proposte per un Futuro Sostenibile. 2024. Available online: https://assovetro.it/wp-content/uploads/2024/10/Assovetro-Decarbonization-Pathway-Slim-Deck-24102024-Def.pdf (accessed on 14 March 2026). (In Italian)
- Directorate-General Climate Action. Update of Benchmark Values for the Years 2021–2025 of Phase 4 of the EU ETS; European Commission: Brussels, Belgium, 2021; Available online: https://climate.ec.europa.eu/system/files/2021-10/policy_ets_allowances_bm_curve_factsheets_en.pdf (accessed on 14 March 2026).
- U.S. Environmental Protection Agency. U.S. Container Glass Industry Carbon Intensities; U.S. Environmental Protection Agency (EPA): Washington, DC, USA, 2019. Available online: https://www.epa.gov/system/files/documents/2022-06/2019%20Container%20Glass%20Plant%20Carbon%20Intensities%20Fact%20Sheet%20.pdf (accessed on 14 March 2026).
- U.S. Environmental Protection Agency. U.S. Flat Glass Industry Carbon Intensities; U.S. Environmental Protection Agency (EPA): Washington, DC, USA, 2019. Available online: https://www.epa.gov/system/files/documents/2022-06/2019%20Flat%20Glass%20Plant%20Carbon%20Intensities%20Fact%20Sheet.pdf (accessed on 14 March 2026).
- Miserocchi, L.; Franco, A.; Testi, D. Status and Prospects of Energy Efficiency in the Glass Industry: Measuring, Assessing and Improving Energy Performance. Energy Convers. Manag. X 2024, 24, 100720. [Google Scholar] [CrossRef]
- Science Based Targets Initiative. Foundation for Science Based Net Zero Targets Setting in the Corporate Sector. Available online: https://sciencebasedtargets.org/net-zero (accessed on 14 March 2026).
- Worrell, E.; Galitsky, C.; Masanet, E.; Graus, W. Energy Efficiency Improvement and Cost Saving Opportunities for the Glass Industry; Lawrence Berkeley National Laboratory: Berkeley, CA, USA, 2008. Available online: https://escholarship.org/uc/item/21n0z94m (accessed on 14 March 2026).
- Springer, C.; Hasanbeigi, A. Emerging Energy Efficiency and Carbon Dioxide Emissions-Reduction Technologies for the Glass Industry; Lawrence Berkeley National Laboratory: Berkeley, CA, USA, 2017. Available online: https://eta-publications.lbl.gov/sites/default/files/lbl_glass_final.pdf (accessed on 14 March 2026).
- Papadogeorgos, I.; Schure, K. Decarbonisation Options for the Dutch Container and Tableware Glass Industry; PBL: The Hague, The Netherlands, 2019; Available online: https://www.pbl.nl/en/publications/decarbonisation-options-for-the-dutch-container-and-tableware-glass-industry (accessed on 14 March 2026).
- Zier, M.; Stenzel, P.; Kotzur, L.; Stolten, D. A Review of Decarbonization Options for the Glass Industry. Energy Convers. Manag. X 2021, 10, 100083. [Google Scholar] [CrossRef]
- Cantini, A.; Leoni, L.; Ferraro, S.; De Carlo, F.; Martini, C.; Martini, F.; Salvio, M. Technological Energy Efficiency Improvements in Glass-Production Industries and Their Future Perspectives in Italy. Processes 2022, 10, 2653. [Google Scholar] [CrossRef]
- Furszyfer Del Rio, D.D.; Sovacool, B.K.; Foley, A.M.; Griffiths, S.; Bazilian, M.; Kim, J.; Rooney, D. Decarbonizing the Glass Industry: A Critical and Systematic Review of Developments, Sociotechnical Systems and Policy Options. Renew. Sustain. Energy Rev. 2022, 155, 111885. [Google Scholar] [CrossRef]
- Atzori, D.; Tiozzo, S.; Vellini, M.; Gambini, M.; Mazzoni, S. Industrial Technologies for CO2 Reduction Applicable to Glass Furnaces. Thermo 2023, 3, 682–710. [Google Scholar] [CrossRef]
- Colangelo, S. Reducing the Environmental Footprint of Glass Manufacturing. Int. J. Appl. Glass Sci. 2024, 15, 350–366. [Google Scholar] [CrossRef]
- Kuhn, W.; Reynolds, A.; Molcan, P.; Malphettes, B. Electric Boosting and Hybrid Furnaces (Practical Application of Higher Levels of Electric Heat Input). In Proceedings of the 80th Conference on Glass Problems, Columbus, OH, USA, 28–31 October 2019; Ceramic Transactions Series; Wiley: Hoboken, NJ, USA, 2019; Volume 268. [Google Scholar]
- Daurer, G.; Schwarz, S.; Demuth, M.; Gaber, C.; Hochenauer, C. On the Use of Hydrogen in Oxy-Fuel Glass Melting Furnaces: An Extensive Numerical Study of the Fuel Switching Effects Based on Coupled CFD Simulations. Fuel 2025, 380, 133576. [Google Scholar] [CrossRef]
- Schwarz, S.; Daurer, G.; Gaber, C.; Demuth, M.; Prieler, R.; Hochenauer, C. Experimental Investigation of the Combustion Characteristics in Oxy-Fuel Combustion of Hydrogen-Enriched Natural Gas on a Semi-Industrial Scale. Int. J. Hydrogen Energy 2024, 49, 323–337. [Google Scholar] [CrossRef]
- Franco, A.; Carcasci, C.; Ademollo, A.; Calabrese, M.; Giovannini, C. Integrated Plant Design for Green Hydrogen Production and Power Generation in Photovoltaic Systems: Balancing Electrolyzer Sizing and Storage. Hydrogen 2025, 6, 7. [Google Scholar] [CrossRef]
- ENTSO-E (European Network of Transmission System Operators for Electricity). Transparency Platform; ENTSO-E: Brussels, Belgium, 2025. [Google Scholar]
- Kobayashi, H. Future of Oxy-fuel Glass Melting: Oxygen Production, Energy Efficiency, Emissions and CO2 Neutral Glass Melting. In Proceedings of the 80th Conference on Glass Problems, Columbus, OH, USA, 28–31 October 2019; Sundaram, S.K., Ed.; Ceramic Transactions Series; Wiley: Hoboken, NJ, USA, 2021; pp. 1–12. ISBN 978-1-119-74490-0. Available online: https://ceramics.onlinelibrary.wiley.com/doi/10.1002/9781119744931.ch1 (accessed on 14 March 2026).
- TERNA Sistema Elettrico. Dati Statistici; TERNA Sistema Elettrico: Rome, Italy, 2024. [Google Scholar]
- Hofrichter, A.; Rank, D.; Heberl, M.; Sterner, M. Determination of the Optimal Power Ratio between Electrolysis and Renewable Energy to Investigate the Effects on the Hydrogen Production Costs. Int. J. Hydrogen Energy 2023, 48, 1651–1663. [Google Scholar] [CrossRef]
- Ghilardi, A.; Frate, G.F.; Kyprianidis, K.; Tucci, M.; Ferrari, L. Brayton Pumped Thermal Energy Storage: Optimal Dispatchment in Multi-Energy Districts. Energy Convers. Manag. 2024, 314, 118650. [Google Scholar] [CrossRef]
- Eurostat. Gas Prices for Non-Household Consumers—Bi-Annual Data; Eurostat: Luxembourg, 2025. [Google Scholar]
- Eurostat. Electricity Prices for Non-Household Consumers—Bi-Annual Data; Eurostat: Luxembourg, 2025. [Google Scholar]
- Fuller, A.; González García, P.; Hulme, R.; Ireson, R. Alternative Fuel Switching Technologies for the Glass Sector: Phase 3; Department of Business, Energy and Industrial Strategy: London, UK, 2022.
- Hy4Heat. Conversion of Industrial Heating Equipment to Hydrogen; Department for Business, Energy & Industrial Strategy: London, UK, 2019.
- IRENA. Renewable Power Generation Costs in 2023; Abu Dhabi, 2024. Available online: http://large.stanford.edu/courses/2024/ph240/lutz1/docs/irena-2024.pdf (accessed on 2 March 2026).
- Marocco, P.; Gandiglio, M.; Audisio, D.; Santarelli, M. Assessment of the Role of Hydrogen to Produce High-Temperature Heat in the Steel Industry. J. Clean. Prod. 2023, 388, 135969. [Google Scholar] [CrossRef]
- Böhm, H.; Zauner, A.; Rosenfeld, D.C.; Tichler, R. Projecting Cost Development for Future Large-Scale Power-to-Gas Implementations by Scaling Effects. Appl. Energy 2020, 264, 114780. [Google Scholar] [CrossRef]
- Gestore dei Servizi Energetici. Energia Da Fonti Rinnovabili in Italia Nel 2023; GSE–Ufficio Statistiche e Monitoraggio Target: Rome, Italy, 2025. Available online: https://www.gse.it/documenti_site/Documenti%20GSE/Rapporti%20statistici/Rapporto%20Statistico%20GSE%20-%20Energia%20da%20FER%20in%20Italia%20-%20anno%202023.pdf (accessed on 14 March 2026).
- Kumar, P.; Date, A.; Shabani, B. Towards self-water-sufficient renewable hydrogen power supply systems by utilising electrolyser and fuel cell waste heat. Int. J. Hydrogen Energy 2025, 137, 380–396. [Google Scholar] [CrossRef]












| CO2 Emissions (Mtonne) | Total Energy Consumption (PJ) | Natural Gas Share (%) | |
|---|---|---|---|
| World | 86 | >800 | 75–85 |
| US | 15 | 200 | 75 |
| EU | 22 | 350 | 85 |
| Italy | 4 | 44 | 81 |
| Component | CAPEX | OPEX | Lifetime | REPEX |
|---|---|---|---|---|
| Unit of measure | (EUR/kW) or (EUR/kWh) | (%CAPEX/y) | (y) | (%CAPEX) |
| Furnace electrodes [66] | 350 | 2 | 10 | 100 |
| Furnace burners [67] | 100 | 2 | 10 | 100 |
| PV plant [68] | 820 | 2 | 20 | |
| Wind plant [68] | 1370 | 2 | 20 | |
| Battery storage [58] | 300 (200) | 2.5 | 10 | 50 |
| PEM electrolyser [58,69,70] | 1200 (700, 300) | 5 | 10 | 35 |
| Hydrogen storage [69] | 14 | 2 | 20 | |
| Hydrogen compressor [58,69] | 4500 | 2 | 20 |
Disclaimer/Publisher’s Note: The statements, opinions and data contained in all publications are solely those of the individual author(s) and contributor(s) and not of MDPI and/or the editor(s). MDPI and/or the editor(s) disclaim responsibility for any injury to people or property resulting from any ideas, methods, instructions or products referred to in the content. |
© 2026 by the authors. Licensee MDPI, Basel, Switzerland. This article is an open access article distributed under the terms and conditions of the Creative Commons Attribution (CC BY) license.
Share and Cite
Miserocchi, L.; Franco, A. Fuel Switching Strategies for Decarbonising the Glass Industry Using Renewable Energy and Hydrogen-Based Solutions. Energies 2026, 19, 1529. https://doi.org/10.3390/en19061529
Miserocchi L, Franco A. Fuel Switching Strategies for Decarbonising the Glass Industry Using Renewable Energy and Hydrogen-Based Solutions. Energies. 2026; 19(6):1529. https://doi.org/10.3390/en19061529
Chicago/Turabian StyleMiserocchi, Lorenzo, and Alessandro Franco. 2026. "Fuel Switching Strategies for Decarbonising the Glass Industry Using Renewable Energy and Hydrogen-Based Solutions" Energies 19, no. 6: 1529. https://doi.org/10.3390/en19061529
APA StyleMiserocchi, L., & Franco, A. (2026). Fuel Switching Strategies for Decarbonising the Glass Industry Using Renewable Energy and Hydrogen-Based Solutions. Energies, 19(6), 1529. https://doi.org/10.3390/en19061529

