Coupled Heat–Moisture Effects of Initial Soil Water Content on Seasonal Underground Thermal Energy Storage with Coaxial Borehole Heat Exchangers
Abstract
1. Introduction
2. Model Establishment
2.1. Physical Description and Governing Equations
2.1.1. Basic Assumptions
- (1)
- The porous medium (solid matrix, liquid water, and water vapor) is in local thermal equilibrium; a single temperature field T (x, t) represents the mixture.
- (2)
- The circulating fluid in the CBHE is incompressible and Newtonian. Heat-transfer coefficients are evaluated using the Gnielinski correlation for turbulent flow and classical correlations for laminar flow (Re < 2300).
- (3)
- Soil and backfill layers are piecewise homogeneous and isotropic. Effective thermophysical properties are functions of moisture content and temperature, with the effective thermal conductivity–moisture relationship described by the Johansen model.
- (4)
- Liquid water migration follows the Richards equation with the van Genuchten–Mualem constitutive model, while vapor transport is modeled as diffusion driven by vapor pressure gradients. Air advection is neglected (constant gas pressure), and the latent heat of phase change is coupled into the energy equation as a volumetric source term.
- (5)
- Thermal contact resistances at material interfaces are neglected. The computational domain extends sufficiently far from the borehole field (>20 m) to approximate a semi-infinite medium, a choice verified by domain-independence tests (deviation of borehole heat-transfer rate < 1%).
2.1.2. Soil Moisture Transport Equation
2.1.3. Equation for Heat Transfer in Soil
2.1.4. Energy-Storage Efficiency and Exergy Efficiency
- (1)
- Energy storage efficiency
- (2)
- Exergy efficiency
2.2. Numerical Model and Implementation
2.2.1. Geometric Configuration and Mesh Strategy
2.2.2. Boundary and Initial Conditions
- (1)
- Borehole-wall boundary (equivalent pipe interface)
- -
- Heat-storage phase (injection): Tf = 40 °C;
- -
- Heat-extraction phase: Tf = 7 °C;
- -
- Transition/recovery phases: the mass flow rate is set to zero and the borehole wall is treated as adiabatic.
- (2)
- Soil-domain thermal and hydraulic boundaries
- (3)
- Initial conditions
2.3. Operational Schedule and Thermophysical Properties
2.3.1. Annual Operational Schedule
2.3.2. Material Properties
2.3.3. Dynamic Soil Thermal Properties
- (1)
- Effective Thermal Conductivity
- (2)
- Effective Specific Heat Capacity
2.4. Validation of the Numerical Model
2.4.1. Grid and Time-Step Independence Verification
- (1)
- Mesh Sensitivity Analysis
- (2)
- Time-step sensitivity analysis and solver configuration
2.4.2. Experimental Validation
- (1)
- The model accurately reproduces the thermal response, with the soil temperature rising rapidly during the initial stage and asymptotically approaching a steady state. The mean relative error (MRE) for temperature is approximately 6.8%, with a maximum absolute deviation of about 2.5 °C.
- (2)
- The volumetric water content exhibits a decreasing trend due to thermally induced moisture migration (thermal diffusion). The model successfully captures this drying effect near the heat source, yielding an MRE for moisture content of 7.7%.
- (3)
- The discrepancies between simulated and experimental values fall within an acceptable range for geotechnical and underground energy storage applications. The remaining deviations can be attributed to the following factors:
- (a)
- The numerical model assumes the soil is a homogeneous and isotropic porous medium. In reality, the experimental soil may contain local heterogeneities, fissures, or density variations that affect local heat and mass transfer.
- (b)
- The validation relies on empirical correlations (e.g., Johansen’s model) for effective thermal conductivity. Deviations between these empirical estimates and the actual properties of the soil used in the experiment can introduce errors.
- (c)
- The adiabatic surface assumption in the model (top boundary) may differ slightly from the actual insulation conditions in the experiment, where minor heat losses to the ambient environment could occur.
3. Results and Discussion
3.1. Spatiotemporal Evolution of Soil Temperature and Moisture
- (1)
- Thermal Response (Figure 6)
- (2)
- Moisture Migration Mechanism (Figure 7)
3.2. Evolution of Heat Carrier Fluid Temperature
- (1)
- Heat-storage stage (Figure 8)
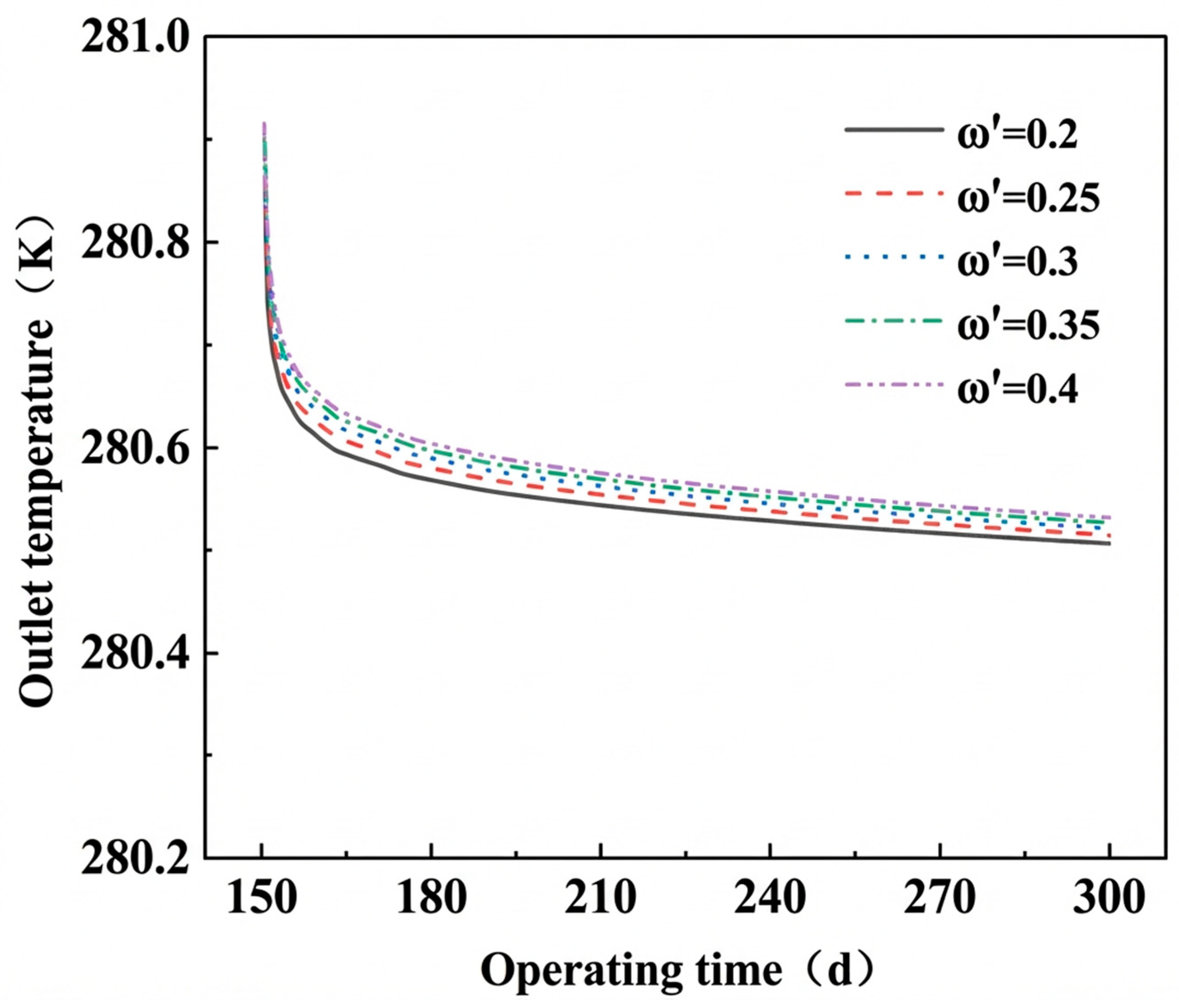
- (2)
- Heat-extraction stage (Figure 9)
3.3. Impact of Initial Soil Moisture on Engineering Sizing
- (1)
- Heat Transfer Rate per Unit Depth (Figure 10)
- (a)
- Enhanced Effective Thermal Conductivity: According to the established property correlations (Equation (11)), increasing the moisture content from 0.20 to 0.40 m3/m3 boosts the initial effective thermal conductivity () of the soil matrix from approximately 1.25 to 1.53 W/(m·K), representing a substantial 22.4% increase. This creates more continuous thermal bridges across the solid matrix, significantly facilitating radial heat diffusion.
- (b)
- Immense Latent Heat Buffering: Although the macroscopic moisture redistribution appears numerically modest (e.g., a localized drop from 0.20 to 0.196 m3/m3 near the borehole during injection), its thermodynamic impact is profound. A volumetric decrease of = 0.004 corresponds to the vaporization of approximately 4 kg of liquid water per cubic meter of soil. Given the high latent heat of vaporization (L ≈ 2260 kJ/kg), this seemingly minor moisture migration absorbs roughly 9040 kJ/m3 of thermal energy locally. This massive latent heat absorption acts as a critical thermal buffer, suppressing premature thermal saturation at the borehole wall and sustaining the temperature gradient required for continuous high-rate heat injection.
- (2)
4. Conclusions
- (1)
- Validation of coupled physics.
- (2)
- Enhancement of heat-transfer capacity.
- (3)
- Decoupling of capacity and efficiency.
- (4)
- Engineering implications.
Author Contributions
Funding
Data Availability Statement
Conflicts of Interest
References
- Emiliano, B.; Gabriel, Z.; Cabeza, L.F. Recent developments of thermal energy storage applications in the built environment: A bibliometric analysis and systematic review. Appl. Therm. Eng. 2021, 189, 116666. [Google Scholar] [CrossRef]
- Chen, H.; Li, H.; Xu, Y.; Xu, D.; Wang, L.; Zhou, X.; Chen, M.; Hu, D.; Yan, J.; Li, X.; et al. Research progress on energy storage technologies of China in 2023. Energy Storage Sci. Technol. 2024, 13, 1359–1397. (In Chinese) [Google Scholar] [CrossRef]
- Jiao, K.; Sun, C.; Yang, R.; Yu, B.; Bai, B. Long-term heat transfer analysis of deep coaxial borehole heat exchangers via an improved analytical model. Appl. Therm. Eng. 2021, 197, 117370. [Google Scholar] [CrossRef]
- Lai, T.; Liu, X.; Chu, J.; He, M.; Zhang, Y. Numerical Study of Flow and Heat Transfer in a Rectangular Channel Partially Filled with Porous Media at the Pore Scale Using Lattice Boltzmann Method. Heat Transf. Eng. 2022, 43, 818–829. [Google Scholar] [CrossRef]
- Kumar, A.; Bidarmaghz, A.; Khoshghalb, A.; Soga, K. Coupled heat and moisture migration in unsaturated soils subjected to thermal gradients. Comput. Geotech. 2025, 177, 106893. [Google Scholar] [CrossRef]
- Yang, J. Research on the Laws of Heat and Moisture Transfer Sensitivity in Soil. Ph.D. Thesis, Hebei University of Technology, Tianjin, China, 2015. (In Chinese) [Google Scholar]
- Skryleva, E.I. Numerical simulation of multiphase flow in a porous medium in the presence of heat and mass transfer between phases. Heat Transf. Res. 2023, 54, 1–10. [Google Scholar] [CrossRef]
- Rajeh, T.; Kbodi, B.H.A.; Zhao, J.; Li, Y. An enhanced multi-external-chamber oval-shaped coaxial borehole heat exchanger for improved GSHP systems: Dynamic thermal analysis and multi-parameter performance evaluation. Appl. Therm. Eng. 2025, 279, 127546. [Google Scholar] [CrossRef]
- Tsubaki, K.; Morikawa, T.; Yabuki, A.; Tanaka, Y.; Satoh, Y.; Okubo, H. Performance evaluation of an eight-tube ground heat exchanger using thermal response test data. Heat Transf. Res. 2021, 52, 1–10. [Google Scholar] [CrossRef]
- Javadi, H.; Urchueguía, J.F.; Badenes, B.; Mateo, M.A.; Ghafar, A.N.; Chaudhari, O.A.; Zirgulis, G.; Lemus, L.G. Laboratory and numerical study on innovative grouting materials applicable to borehole heat exchangers (BHE) and borehole thermal energy storage (BTES) systems. Renew. Energy 2022, 194, 788–804. [Google Scholar] [CrossRef]
- Zhang, J.J.; Wang, H.T.; Cheng, Z.D.; Li, S.Q. Study on heat transfer characteristics of directly buried casing energy storage body backfilled with phase change material. J. Energy Storage 2025, 114, 115857. [Google Scholar] [CrossRef]
- Jiao, K.; Yang, R.; Sun, C.; Yu, B.; Bai, B. Stratum temperature recovery considering groundwater advection in periodic operations of deep borehole heat exchangers. Appl. Therm. Eng. 2022, 206, 118113. [Google Scholar] [CrossRef]
- Huang, S.; Li, J.; Gao, H.; Zhu, K.; Dong, J.; Li, J.; Tao, J.; Jiang, Y. Numerical modeling and thermal performance analysis of deep borehole heat exchangers considering groundwater seepage. Appl. Therm. Eng. 2024, 250, 123508. [Google Scholar] [CrossRef]
- Ba, Z.; Wang, Y.; Zhao, Z.; Zhang, W.; Lu, Y. Efficient evaluation of the thermal performance of deep borehole heat exchangers affected by groundwater seepage. Appl. Therm. Eng. 2025, 280, 127955. [Google Scholar] [CrossRef]
- Shen, H.; Cao, Z.; Klemeš, J.J.; Wang, J.; Wang, E. Numerical Study on Heat Transfer and Performance of Seasonal Borehole Thermal Energy Storage. Heat Transf. Eng. 2023, 44, 2027–2039. [Google Scholar] [CrossRef]
- Wang, B.; Beyer, C.; Aydin, M.; Bauer, S. Experimental and numerical investigation of thermal interactions between high-temperature borehole heat exchangers in unsaturated and low-permeable soil. Appl. Therm. Eng. 2024, 248, 123184. [Google Scholar] [CrossRef]
- Nguimeya, N.V.D.; Christof, B.; Bo, W.; Sebastian, B. Experimental and numerical investigation of thermally induced convection along a high-temperature borehole heat exchanger. Appl. Therm. Eng. 2024, 236, 121345. [Google Scholar] [CrossRef]
- Xu, Y.; Zeng, Z.; Sun, D. Experimental and numerical investigation on the effect of heat and moisture coupling migration of unsaturated lateritic clay for the soil thermal storage system. Energy Build. 2022, 276, 112499. [Google Scholar] [CrossRef]
- Xu, Z.; He, W.; Wang, Y.; Jia, Z.; Zhu, M.; Yu, H. Experimental study on thermal and moisture characteristics of soil around buried pipe under intermittent operation. Acta Energiae Solaris Sin. 2024, 45, 44–50. (In Chinese) [Google Scholar] [CrossRef]
- Yang, W.; Kong, L.; Chen, Y. Numerical evaluation on the effects of soil freezing on underground temperature variations around ground heat exchangers. Appl. Therm. Eng. 2015, 75, 259–269. [Google Scholar] [CrossRef]
- Ji, Y.; Wang, S.; He, S.; Liu, J.; Wang, Y.; Cai, X. Analysis and optimization of ground heat exchangers for heat transfer capacity under stratified soil conditions with heat–moisture and heat–seepage coupling. Int. Commun. Heat Mass Transf. 2025, 165, 109047. [Google Scholar] [CrossRef]
- He, M.; Wang, Y.; Zhang, R.; He, F.; Behrendt, F.; Li, C. Numerical study of soil heat and moisture migration in seasonal ground heat storage. Geothermics 2024, 120, 103015. [Google Scholar] [CrossRef]
- Millar, C.; Lightstone, M.F.; Cotton, J.S. Reference data set for injection and extraction cycle of a borehole thermal energy storage field: A numerical and experimental study. J. Energy Storage 2025, 118, 116164. [Google Scholar] [CrossRef]
- Wang, H.T.; Li, S.Q.; Lei, K.K.; Zhang, J.J. Performance analysis of cross-seasonal thermal storage solar–soil source heat pump drying system. Renew. Energy 2025, 241, 122202. [Google Scholar] [CrossRef]
- Li, Z.; Sun, D.; Wang, Q.; Zhou, C.; Yu, B. Simulation research of a coupled heating system utilizing waste heat from supercomputer centers and solar energy based on seasonal soil heat storage. Acta Energiae Solaris Sin. 2024, 45, 384–393. (In Chinese) [Google Scholar] [CrossRef]
- Ragui, K.; Chen, L.; Bennacer, R. Transport Instabilities of Hazardous Contaminants in a Microscale Soil Sample Under Thermal Flow of Supercritical CO2. Heat Transf. Eng. 2025, 46, 1437–1456. [Google Scholar] [CrossRef]
- Datta, A.K. Porous media approaches to studying simultaneous heat and mass transfer in food processes. I: Problem formulations. J. Food Eng. 2007, 80, 80–95. [Google Scholar] [CrossRef]
- Yin, X.; Liu, E.; Song, B.; Zhang, D. Numerical analysis of coupled liquid water, vapor, stress and heat transport in unsaturated freezing soil. Cold Reg. Sci. Technol. 2018, 155, 20–28. [Google Scholar] [CrossRef]
- Ding, X.; Peng, C.; Wang, C.; Kong, G. Heat transfer performance of energy piles in seasonally frozen soil areas. Renew. Energy 2022, 190, 903–918. [Google Scholar] [CrossRef]
- Javed, S.; Spitler, J. Accuracy of borehole thermal resistance calculation methods for grouted single U-tube ground heat exchangers. Appl. Energy 2017, 187, 790–806. [Google Scholar] [CrossRef]
- Peng, Z.R.; Wang, Y.Z.; Amangeldiyev, S.; Fan, Y.W.; Cui, J.Z.; Liao, C.J.; Liu, J. Experimental Study on Convection Heat Transfer of CO2 in C/SiC Composite Porous Material at Subcritical, Transcritical, and Supercritical States. Heat Transf. Eng. 2025, 46, 1476–1490. [Google Scholar] [CrossRef]
- Ji, H. Study on Heat and Moisture Transfer at High Temperature in Wet Soil. Ph.D. Thesis, Hebei University of Technology, Tianjin, China, 2011. (In Chinese) [Google Scholar]












| Phase | Heat Storage | Transition Period | Heat Extraction | Recovery Period |
|---|---|---|---|---|
| date | 1 June–29 August | 30 August–28 October | 29 October–27 March of the following year | 28 March of the following year–31 May of the following year |
| days | 90 | 60 | 150 | 65 |
| Status | Injection (40 °C) | Idle (Adiabatic) | Extraction (7 °C) | Idle (Adiabatic) |
| Materials | Density (ρ) (kg·m−3) | Specific Heat (C) J·(kg·K)−1 | Thermal Conductivity λ [W·(m·K)−1] | Porosity ε (-) |
|---|---|---|---|---|
| Galvanized steel pipes | 7850 | 460 | 45 | / |
| Soil (Solid Matrix) | 1800 | 800 | Equation (11) | 0.45 |
| Backfill (Bentonite) | 1500 | 970 | 1.3 | / |
| Grid Division Plan | Number of Meshes |
|---|---|
| Mesh 1 | 782,532 |
| Mesh 2 | 810,236 |
| Mesh 3 | 858,146 |
| Mesh 4 | 882,379 |
| Mesh 5 | 920,153 |
Disclaimer/Publisher’s Note: The statements, opinions and data contained in all publications are solely those of the individual author(s) and contributor(s) and not of MDPI and/or the editor(s). MDPI and/or the editor(s) disclaim responsibility for any injury to people or property resulting from any ideas, methods, instructions or products referred to in the content. |
© 2026 by the authors. Licensee MDPI, Basel, Switzerland. This article is an open access article distributed under the terms and conditions of the Creative Commons Attribution (CC BY) license.
Share and Cite
Wang, H.; Ye, D.; Zhang, J.; Dong, B. Coupled Heat–Moisture Effects of Initial Soil Water Content on Seasonal Underground Thermal Energy Storage with Coaxial Borehole Heat Exchangers. Energies 2026, 19, 1523. https://doi.org/10.3390/en19061523
Wang H, Ye D, Zhang J, Dong B. Coupled Heat–Moisture Effects of Initial Soil Water Content on Seasonal Underground Thermal Energy Storage with Coaxial Borehole Heat Exchangers. Energies. 2026; 19(6):1523. https://doi.org/10.3390/en19061523
Chicago/Turabian StyleWang, Haitao, Dianli Ye, Jianjun Zhang, and Bingyan Dong. 2026. "Coupled Heat–Moisture Effects of Initial Soil Water Content on Seasonal Underground Thermal Energy Storage with Coaxial Borehole Heat Exchangers" Energies 19, no. 6: 1523. https://doi.org/10.3390/en19061523
APA StyleWang, H., Ye, D., Zhang, J., & Dong, B. (2026). Coupled Heat–Moisture Effects of Initial Soil Water Content on Seasonal Underground Thermal Energy Storage with Coaxial Borehole Heat Exchangers. Energies, 19(6), 1523. https://doi.org/10.3390/en19061523

