Next Article in Journal
A Fully Automated Design of Experiments-Based Method for Rapidly Screening Near-Optimal CO2 Injection Strategies
Previous Article in Journal
The Role of Hydropower in Climate-Resilient Energy Systems: Case Study of the Jeziorsko Reservoir (Poland)
 
 
Font Type:
Arial Georgia Verdana
Font Size:
Aa Aa Aa
Line Spacing:
Column Width:
Background:
Article

Lot Sizing Problem for Cold Supply Chain with Energy and Quality Considerations

1
Department of Civil, Environmental, Architectural Engineering and Mathematics, Università degli Studi di Brescia, Via Branze 43, 25123 Brescia, Italy
2
Department of Mechanical and Industrial Engineering, Università degli Studi di Brescia, Via Branze 38, 25123 Brescia, Italy
*
Author to whom correspondence should be addressed.
Energies 2026, 19(5), 1360; https://doi.org/10.3390/en19051360
Submission received: 17 December 2025 / Revised: 18 February 2026 / Accepted: 2 March 2026 / Published: 7 March 2026

Abstract

Cold supply chains require coordinated inventory and storage decisions to preserve product quality while managing high energy consumption. This paper develops a joint economic lot-sizing model for a two-echelon cold supply chain that explicitly integrates time–temperature-dependent quality degradation with energy consumption in refrigerated warehouses. Unlike traditional approaches, energy is modeled as an endogenous function of warehouse filling level and warehouse temperature, allowing the interaction between inventory volume, energy efficiency, and quality preservation to be captured. The model is formulated under three coordination policies—Lot-for-Lot, traditional agreement, and consignment stock—and solved under joint decision making. Numerical results for chilled and frozen products show that neglecting energy and quality costs can lead to sub-optimal policies with total cost penalties exceeding 300% compared to the proposed integrated optimization. Results further indicate that a consignment stock agreement can reduce total system costs by up to 9% relative to traditional policies, while the optimal lot size is highly sensitive to energy prices, product value, and warehouse temperature. These findings highlight the critical role of jointly optimizing inventory, energy, and quality decisions in cold supply chains and provide actionable insights for designing more sustainable and energy-efficient production inventory systems.

1. Introduction

Cold supply chains (CSCs) are environmentally controlled logistics systems designed to preserve the quality and safety of perishable goods (e.g., chilled and frozen food products) by connecting processing, storage, and distribution activities from farm to fork. Despite their essential role, CSCs are among the most energy-intensive logistic systems due to the continuous need for refrigeration during storage and distribution. As a result, inventory management decisions in CSCs have a direct impact not only on their economic performance but also on energy consumption, environmental sustainability, and product quality degradation. One of the primary causes of food waste is inadequate temperature control at one or more stages of the CSC. Moreover, waste increases with extended storage durations and with the number of stages involved in the chain (e.g., with internationalization), even under optimal temperature conditions. The time–temperature relationship between chilled and frozen products significantly influences the quality guaranteed to customers [1]. Quality losses significantly impact the environment due to direct emissions from waste disposal and refrigeration leakage, as well as indirect emissions associated with energy generation [2,3].
Since electricity consumption represents a dominant portion of the cold chain’s total carbon footprint [4,5], energy efficiency measures are central to their sustainability. Several studies have emphasized the importance of evaluating efficiency measures from a life cycle perspective [3,6]. For instance, Diaz et al. [3] demonstrated how alternative energy efficiency interventions in the beef cold chain can significantly reduce both environmental impacts and costs. These findings underline the strong interdependence between energy performance, product quality, and operational decisions in CSCs.
Energy performance and quality losses are both influenced by, and influence, inventory and production management policies. Larger production and replenishment lots typically increase average storage time and warehouse inventory level, leading to higher absolute energy consumption, while potentially reducing specific energy consumption (SEC) due to improved warehouse utilization [5]. These trade-offs make coordination between production and inventory decisions particularly relevant, positioning joint economic lot-sizing (JELS) models as a valuable analytical framework.
In the JELS setting, coordination between a vendor and a buyer can be achieved through different inventory policies, either under a traditional agreement [6] or a consignment stock (CS) agreement [7]. Under a traditional or backward inventory stocking policy, the vendor manufactures and builds inventory up to a certain level and dispatches equal-sized lots at regular intervals to the buyer, who remits payments upon receipt of each shipment. In contrast, under a CS agreement, inventory is physically stored at the buyer’s location but remains owned by the vendor until sold. This forward inventory stocking policy is particularly relevant in food cold chains, especially when the demand is stock-dependent [8], as a higher on-shelf availability can stimulate sales [9].
Early analytical attempts to incorporate cold chain characteristics into inventory models include the work of Blackburn and Scudder [10], who integrated cooling considerations into an EOQ framework to mitigate food degradation, highlighting the importance of coordination among cold chain actors. Disney and Warburton [11] later refined this approach using the Lambert W function. The JELS problem and its advantages were initially presented and examined by Goyal [12] and have since been extensively reviewed and extended, establishing lot size and shipment frequency as key decision variables in coordinated supply chains [13].
More recent contributions have extended JELS and EOQ models to explicitly consider product deterioration and refrigeration requirements. Zanoni and Zavanella [14] were the first to analyze the trade-offs between production costs (influenced by the temperature established at the production site), warehouse temperature, and costs related to the preservation of product quality in food supply chains. Marchi et al. [5] further advanced this line of research by modeling energy consumption in a refrigerated warehouse as a function of inventory filling level, although within a single actor EOQ framework. Chen et al. [2] developed a JELS model for a single manufacturer–multiple retailers cold chain that incorporates carbon emissions and quality degradation, demonstrating that neglecting quality effects leads to suboptimal replenishment decisions.
A broader perspective on the cold chain is provided by Iyer and Robb [4], who reviewed 234 studies and identified energy consumption, coordination, and quality management as key but often fragmented research streams. Within this context, several recent studies have attempted to integrate sustainability concerns into cold chain inventory optimization. For example, Sebatjane [15] proposed a two-echelon cold chain inventory model under carbon emission regulations, accounting for emissions from refrigerated storage and transportation. Wang et al. [16] developed a multi-objective lot-sizing model that jointly minimizes economic costs and carbon emissions in cold chain procurement. Karimi et al. [17] integrated lot sizing with quality-related storage parameters such as temperature in a refrigerated warehouse. While these studies represent important advances, energy consumption is generally treated as an exogenous or aggregated cost component, rather than being endogenously linked to inventory dynamics and warehouse utilization.
Overall, the literature reveals two main limitations. First, studies focusing on energy efficiency typically neglect coordinated lot-sizing decisions between multiple supply chain actors. Second, JELS-based models that account for quality degradation often overlook the thermodynamic impact of inventory levels on energy consumption. As summarized in Table 1, no existing model simultaneously integrates (i) energy consumption as an endogenous function of warehouse filling level and warehouse temperature, (ii) time–temperature-dependent quality degradation, and (iii) multiple coordination policies within a unified JELS framework.
This study addresses these gaps by integrating joint lot-sizing decisions with a detailed energy model that explicitly accounts for warehouse temperature and warehouse filling level. By doing so, it captures the interdependence between inventory volume, energy usage, and quality degradation. Furthermore, three coordination policies, Lot-for-Lot (L4L), traditional agreement, and consignment stock, are systematically compared to assess their impact on total cost and sustainability. The L4L policy is included as a benchmark for freshness, as its frequent replenishment cycles typically enhance product quality, but at the expense of higher logistical and setup costs.
The subsequent sections of the paper are organized as follows. Section 2 presents the problem definition, assumptions, and notation. Section 3 develops the mathematical models of the CSC for the different coordination policies. Section 4 provides numerical examples and sensitivity analyses to illustrate the behavior of the models and presents some meaningful findings and insights. Section 5 concludes the paper and outlines directions for future research.

2. Problem Definition, Assumption, and Notation

2.1. Problem Setting and Assumptions

This study introduces a two-level (vendor–buyer) cold chain model for a single family of items (i.e., identical time–temperature profiles) with an infinite time horizon, reflecting the classical framework employed in JELS models [13]. The vendor produces a lot of size n Q in a single setup and delivers it to the buyer in n shipments of size Q . Alongside traditional inventory costs (i.e., setup, ordering, and holding), a cold chain incurs energy costs due to energy consumption by its warehouses and quality losses occurring at both the vendor and the buyer locations. In order to isolate and explain the core trade-off addressed by this study (inventory decisions, warehouse energy efficiency, and quality degradation), the model adopts a set of standard assumptions commonly used in JELS formulation and in cold-chain inventory models. The goal is not to claim that real cold chains are fully deterministic, but to provide a baseline where the physical meaning of each cost component is explicit.
  • D represents the constant demand rate (e.g., k g / y e a r ). This assumption reflects stable replenishment programs commonly observed in contractual or forecast-driven cold chains, where short-term demand variability is not critical.
  • P represents the vendor’s production rate (e.g., u n i t s / y e a r ), with the condition that P   >   D .
  • A product’s time–temperature profile influences energy consumption and quality degradation concerning nutrients (e.g., vitamin C levels in vegetables and fruits, etc.).
  • Consistent with [14], the transportation lead time is presumed to be zero; for instance, orders are placed the preceding day and delivered overnight, provided that inventory is positive. This simplification pertains to transactions where suppliers and buyers are in close geographical proximity or operate under closely coordinated logistics, typical of high-frequency, short-distance cold chains. Therefore, temperature and quality parameters are presumed to be steady during transmission. This assumption omits explicit modeling of transportation effects, enabling a concentration on warehouse-level energy use and quality degradation, which are predominant in these contexts.
  • Regulations delineate limitations on the storage and transportation temperatures for each commodity. These regulatory bounds define feasible operating conditions and reflect the mandatory food safety standards that constrain temperature control decisions in real cold-chain operations.
  • The filling level of a warehouse influences energy consumption. A stocked warehouse has reduced air space to be refrigerated and, hence, utilizes less energy [5,18]. This assumption captures a key physical mechanism observed in refrigerated facilities, where higher product density improves thermal efficiency and lowers specific energy consumption.
  • The degradation of a product is influenced by storage duration, temperature, and environmental conditions [1,2]. This reflects empirical evidence that quality loss accumulates over time and is accelerated by suboptimal thermal conditions, making storage duration a critical decision variable.
  • Stock is managed according to a first-in-first-out (FIFO) basis to preserve freshness [19]. FIFO represents standard operational practice in perishable supply chains and ensures compliance with freshness, traceability, and quality preservation requirements.
  • The frequency of door openings affects energy loss and refrigeration efficiency [20], particularly in residential and vehicle units. In refrigerated warehouses, the door size is modest in relation to the surface area, and mitigation methods such as air curtains are prevalent. Consequently, the impacts of door opening are deemed insignificant and omitted from the analysis.
  • No shortages are permitted. This reflects the high service-level requirements of food supply chains, where stockouts may lead to waste, emergency replenishments, or contractual penalties.
  • This study concentrates on centralized scenarios, as they enhance profitability [13], and posits that the vendor and the buyer collaboratively lower the entire cost of the supply chain. The centralized perspective is adopted to analyze coordination benefits and system-wide trade-offs, serving as a benchmark for assessing the efficiency of integrated decision-making.

2.2. Notations and Parameters

To improve the interpretability of the model, the parameters are presented and grouped according to their functional role within the systems, as detailed below.
Demand and Inventory Parameters
D annual demand rate ( k g / y e a r )
P vendor’s production rate ( k g / y e a r )
Q buyer’s lot size ( k g )
n number of shipments from the vendor to the buyer (n)
I m a x , i maximum inventory level (storage capacity for warehouse i ) ( m 3 )
I ( t ) i inventory level of stock for warehouse i ( k g )
Cost Parameters
(a)Ordering and Setup
A 1 vendor’s setup cost ( )
A 2 buyer’s ordering cost ( )
(b)Holding
h i , f i n unit-time financial holding cost for actor i ( / ( k g · y e a r ) )
h i , s t o c k unit-time physical holding cost for actor i   ( / ( k g · y e a r ) )
(c)Energy
c e , i energy cost for actor I ( / k W h )
(d)Price
p price of the product with a perfect quality sold to the consumer ( / k g )
Quality and Degradation Parameters
q 0 initial quality level (at time t   =   0 ,   % )
q ( T W , t ) quality level ( % )
b ( T W ) , μ ( T W ) temperature-dependent coefficients defining the quality level
m , T C positive coefficient of b ( T W )
t storage time ( y e a r )
Energy and Temperature Parameters
ρ T W , i positive coefficient defining warehouse temperatures relating to S E C for actor i
T a m b ambient temperature ( ° C )
T r , i warehouse i reference temperature ( ° C )
T W effective inside temperature for warehouse i ( ° C )
Storage Efficiency (SEC) Parameters
φ parameter defining the relationship between S E C and the filling level
α i reference specific energy consumption coefficient, ( k W h / k g )
normalized to the standard reference mass I r e f = 1   k g
β i economies of scale exponent
Indices
i subscript i   =   v ,   b ,   s ( v : vendor, b : buyer, s : system)

2.3. Quality Degradation

The optimal temperature for preserving products within the cold chain ensures minimal deterioration. Nonetheless, product quality deteriorates with the duration of warehouse, temperature, and environmental conditions. The predominant equation for characterizing the isothermal quality degradation of food uses the Weibull-power law model [21] as
q ( T W , t ) = q 0 e b ( T W ) t μ ( T W )
where b ( T W ) and μ ( T W ) are temperature-dependent coefficients, and b ( T W ) = ln ( 1 + e m ( T W T C ) ) with m and   T C being parameters related to the stored/transported product. The values m , T C , and μ ( T W ) can be obtained empirically from real data on quality degradation for the specific product considered, since different products show different sensitivity to degradation over time versus temperature.

2.4. Energy Consumption

Prior research delineated the specific energy consumption of refrigerated warehouses as a function of the ambient and cooling temperatures, the design and construction of the storage area, and the filling level [5]. The SEC decreases as the filling level rises (i.e., increased warehouse usage), the external temperature declines, and the inside temperature of the warehouse increases. The formulation of the SEC, derived from prior studies, empirical data and observations, can be expressed as follows:
S E C i ( I ( t ) , I m a x , T W ) = ρ T W , i α i I m a x , i I r e f β i φ e I ( t ) i I m a x , i ln φ
where ρ T W , i = C O P T r , i C O P T W represents the ratio of the different coefficients of performance of the cooling phases required, C O P = 273 + T T a m b T , which allows for comparing the energy required to chill or freeze the products at different temperatures. For instance, the option to freeze a product at 20   ° C instead of a planned temperature of 30   ° C requires   23.2 % less energy.
Figure 1 presents the sensitivity analysis of Specific Energy Consumption (SEC) with respect to the two critical operational variables: the warehouse capacity utilization (filling level) and the warehouse set-point temperature ( T W ). The analysis considers three technological scenarios characterized by the heat transfer parameter α .
As illustrated in Figure 1a, the SEC increases significantly as the filling level decreases. Underutilization imposes a severe energy penalty due to the dominance of fixed thermal losses over the stored product mass. For the baseline scenario ( α = 50 ), dropping from full capacity ( 100 % ) to a critical level of 10 % causes the S E C to jump from 15.95   k W h / k g to 29.78   k W h / k g ( + 87 % ) . This confirms that optimizing lot sizes and inventory levels is a prerequisite for energy efficiency, as even high-performance technologies cannot compensate for the inefficiency of an empty warehouse. Complementing this, Figure 1b quantifies the thermodynamic cost of the cold chain. Lowering the set-point from chilled ( 4   ° C ) to deep-frozen conditions ( 20   ° C ) more than doubles the energy intensity across all scenarios (e.g., from 15.96 to 33.6   k W / h for   α = 50 ), reflecting the degradation of the coefficient of performance ( C O P ). A comparison of the data reveals that technological efficiency ( α ) is key to reducing the energy cost of freezing. An efficient system operating at 20   ° C ( α = 30 , S E C 20.16 k W h k g ) consumes less energy than an inefficient system operating at 4   ° C ( α = 70 , S E C 22.34 k W h k g ). This proves that investing in better insulation and refrigeration technologies can balance the higher energy demand of frozen supply chains, making them economically sustainable.

3. Model Formulation

3.1. Single Vendor Single Buyer Model with L4L Policy

Under L4L, the vendor produces a single lot of size Q and delivers it in a single shipment ( n   =   1 ) to the buyer upon receipt of an order. Furthermore, we take into account the maximum inventory capacities I m a x , v and I m a x , b   (e.g., due to warehouse constraints) for the vendor and buyer, necessitating that the lot size Q remain below both values (i.e., Q I m a x , v and Q I m a x , b ). The vendor incurs a fixed cost encompassing both setup and order shipment to the buyer, who incurs an order cost with each initiation of an order, i.e., with every cycle. Both players incur time-proportional stock-holding expenses, but at varying rates. The cost associated with warehouse energy use and quality degradation, Quality Loss, is determined by assessing the economic value lost by the product over time. This loss is directly obtained from the physical degradation model outlined in Equation (1). It denotes the financial value lost by products in the system inventory, I s ( t ) . Adhering to a conventional methodology for the integration of time-dependent costs inside cycle [14], the annual cost associated with quality deterioration is formulated as:
Q u a l i t y L o s s = p D n Q 0 n Q D I s ( t , n , Q ) ( 1 q ( T W , t ) q 0 ) d t
This formulation is constructed by integrating numerous key components. The integrand’s core is the product of the instantaneous inventory level, I s ( t , n , Q ) , representing the whole system inventory at any specific time t , and the fractional value loss, ( 1 q ( T W , t ) / q 0 ) . This second term, directly derived from the quality decay function (Equation (1)), is predicated on the essential premise that the degradation of the entire stock I s ( t ) is determined by the age t of the oldest product currently in the system. This approach aligns with a First-In, First-Out (FIFO) stock management policy. This integrated product, reflecting the total instantaneous value loss, is calculated by multiplying the monetary value of the product, p   ( / k g ) , to translate the physical loss into a monetary cost. Finally, annualization is achieved by aggregating this cost over the complete system cycle, T c y c l e = n Q / D , and subsequently multiplying by the number of cycles in a year. This step guarantees that the final cost is dimensionally consistent and directly comparable with other annual costs (such as setting up and holding) inside the total cost function. Furthermore, it is essential to maintain dimensional consistency between the inventory model and the quality decay model. The inventory model functions on an annual time frame (with P and D in k g / y e a r ); however, the decay parameters ( b ( T W ) , ) are often calibrated in days, necessitating a conversion. The effective annual decay rate, b y e a r , is calculated from the daily rate b d a y using the formula b y e a r = b d a y 365 μ , which guarantees that the exponent in the quality function is dimensionless.
The total cost, TC, for the centralized system under the L4L policy is the aggregate of the vendor’s total costs (including setup, holding, and energy costs), the buyer’s total costs (comprising order, holding, and energy costs), and the Quality Loss associated with all products resulting from quality degradation.
T C L 4 L ( Q , n , T w , I m a x ) = ( A 1 + A 2 ) D Q + h 1 Q D 2 P + h 2 Q 2 +   D Q ( 0 Q D S E C v I v ( t ) c e , v d t + 0 Q D S E C b I b ( t ) c e , b d t ) +   p D n Q 0 n Q D I s ( t , n , Q ) ( 1 q ( T W , t ) q 0 ) d t
where   ( h 1 = h v , f i n + h v , s t o c k ) , and ( h 2 = h v , f i n + h b , s t o c k ). The first term in Equation (4) represents the annual setup and ordering costs, while the second and third terms denote the holding costs for the vendor and buyer, respectively. The fourth and fifth terms correspond to the energy costs incurred by the vendor and buyer, respectively. The sixth term pertains to the cost associated with the loss of value due to deterioration. Assuming without loss of generality that µ ( T W ) = 1 provides a simplified model for quality degradation, indicating that the loss of value is directly proportional to the degree of quality degradation [14].

3.2. Single-Vendor Single-Buyer Model with Traditional Agreement

Under the Traditional policy, the vendor produces a lot of size n Q and incurs its costs in one setup. It delivers it to the buyer in n shipments of size Q each (Figure 2).
The vendor’s warehouse is presumed to function continuously, since it maintains inventory throughout the production cycle to satisfy the sequence of shipments. Hence, both the vendor’s and the buyer’s warehouses stay operational and are refrigerated throughout the planning period. This operational shift requires a reformulation of the capacity constraints. For the buyer, the peak inventory level corresponds to the receipt of a single shipment; thus, the constraints remain Q     I m a x , b .
Conversely, the vendor’s inventory accumulation depends on the interplay between the production rate P , the demand rate D , and the number of shipments n. The maximum inventory level at the vendor is determined by the greater of two values: the single shipment size Q (minimum stock required to fulfill a delivery) or the accumulated stock peak during production. Therefore, the vendor’s capacity constraint is formalized as m a x [ Q , Q ( n ( 1 D ) ) ] I m a x , v . This condition ensures that the production lot fits within the vendor’s warehouse capacity constraints, accounting for the simultaneous consumption (shipment) occurring during the production phase.
In each production cycle, both the vendor and the buyer incur fixed costs related to setup, shipment, and ordering operations, and time-proportional inventory-holding costs which apply at different rates for each party. The supplementary cost components encompass energy usage and quality deterioration on both sides. The Total Cost function, TC, for the traditional agreement based on the Hill assumption [6] is formulated as
T C T R A ( Q , n , T W , I m a x ) = ( A 1 + n A 2 ) D n Q + h 1 ( D Q P + ( P D ) n Q 2 P Q 2 ) + h 2 Q 2 + ( D n Q c e , v 0 n Q D S E C v I v ( t ) d t + D Q c e , b 0 Q D S E C b I b ( t ) d t ) + p D n Q 0 n Q D I s ( t , n , Q ) ( 1 q ( T W , t ) q 0 ) d t
where h 1 = h v , f i n + h v , s t o c k . It assumes a simplified version of the quality degradation with μ ( T W ) = 1 [14].

3.3. Single-Vendor Single-Buyer Model with Consignment Stock Agreement

Under a CS agreement, the vendor dispatches the items to the buyer upon the readiness of a production lot of size Q ; however, ownership of the products stays with the vendor until their utilization by the buyer. Figure 3 demonstrates that the maximum inventory level at the vendor’s warehouse is Q , whereas at the buyer’s warehouse, it is ( max [ Q , Q ( n ( 1 D P ) ) ] ) . Therefore, these levels must adhere to the warehouse capacity constraints, which require ( Q I m a x , v ) and ( max [ Q , Q ( n ( 1 D P ) ) ] I m a x , b ) , respectively.
The total cost for the cold chain in the joint economic lot size model based on a CS agreement [7], T C C S , is given by the following equation:
T C C S ( Q , n , T W , I m a x ) = ( A 1 + n A 2 ) D n Q + h 1 Q D 2 P + h 2 , C S ( D Q P + ( P D ) n Q 2 P Q D 2 P ) ( D n Q c e , v 0 n Q P S E C v I v ( t ) d t + D n Q c e , b 0 n Q D S E C b I b ( t ) d t ) + p D n Q 0 n Q D I s ( t , n , Q ) ( 1 q ( T W , t ) q 0 ) d t
where h 1 = h v , f i n + h v , s t o c k , and h 2 , C S = h v , f i n + h b , s t o c k .
In contrast to the alternative inventory model, within the CS framework, the vendor can switch off the warehouse refrigeration upon completing the production of n Q to save energy costs.

3.4. Standard Single-Vendor Single-Buyer Models Without Energy and Quality Degradation Costs

This subsection provides the total cost formulation and the corresponding optimal decision variables for the three considered inventory models: L4L, a traditional agreement based on a traditional inventory model, and a CS agreement. These models are introduced on the standard assumption that costs associated with energy consumption and quality degradation are excluded from the optimization aim. We designate this approach as the “Standard Optimization” framework, which will serve as a critical benchmark for our subsequent investigations.
The objective is twofold. Initially, it delineates the standard analytical formulation for total cost and optimal strategies as typically presented in the literature. Secondly, and more importantly, it establishes a basis for illustrating the central thesis of this study: optimizing a CSC based on an incomplete cost structure (i.e., one that disregards energy and quality factors) results in sub-optimal decisions in practice. While these policies are mathematically ‘optimal’ relative to their limited assumptions, their application in a real-world setting, where energy and quality costs are inevitably incurred, results in a higher actual total cost than that achievable with the comprehensive models developed in this paper.
The total cost and optimal lot size under the L4L policy are defined in Equations (7) and (8), respectively.
T C ¯ L 4 L ( Q ) = ( A 1 + A 2 ) D Q + h 1 Q D 2 P + h 2 Q 2
Q ¯ L 4 L * = 2 ( A 1 + A 2 ) D h 1 + h 2
The total cost, the optimal lot size, and the number of shipments for the traditional coordination agreement are determined using Equations (9), (10), and (11), respectively.
  T C ¯ T R A ( n , Q ) = ( A 1 + A 2 ) D n Q + h 1 ( D Q P + ( P D ) n Q 2 P Q 2 ) + h 2 Q 2
Q ¯ H * = ( A 1 + A 2 ) D n h 1 ( { D P + ( P D ) n 2 P ) + h 2 h 1 2 }
n * ¯ = A 1 D ( h 1 D P + h 2 h 1 2 ) A 2 D h 1 ( P D ) 2 P
Finally, for the CS agreement, the total cost, the optimal lot size, and the number of shipments are determined using Equations (12), (13), and (14), respectively.
T C ¯ C S ( n , Q ) = ( A 1 + n A 2 ) D n Q + h 1 Q D 2 P + h 2 , C S ( D Q p + ( P D ) n Q 2 P Q D 2 P )
Q ¯ C S * = ( A 1 + n A 2 ) D n h 2 , C S ( D P + ( P D ) n 2 P ) + ( h 1 h 2 , C S ) D 2 P
n ¯ C S * = A 1 D ( h 2 , C S + h 1 ) D 2 P A 2 D h 2 , C S ( P D ) 2 P

3.5. Numerical Study Setup and Parametrization

This section delineates a numerical study that examines various items to illustrate the models’ behavior and underscore the relevance of the factors they incorporate, as well as the essential trade-offs in cold chain logistics. The optimization problems associated with the three coordination policies are solved numerically using Wolfram Mathematica 14. For each policy, the decision variables are the production lot size Q and, where applicable, the number of shipments n , both treated as integer variables and bounded within a finite and practically relevant domain. The resulting optimization problems are formulated as constrained nonlinear integer programs and are solved using the build-in NMinimize function, without specifying a dedicated solution method. Given the limited dimensionality of the decision space and the bounded search domain, this approach allows an exhaustive and reliable exploration of feasible solutions.
Sensitivity analyses with respect to warehouse temperature and warehouse capacity are conducted by repeatedly solving the optimization problem for different parameter values, while keeping the model structure unchanged. Owing to the reduced problem size, computational times are negligible for all scenarios considered, enabling systematic parametric investigations.
The study examines two categories of products: a commodity product (e.g., chilled meat) and a seasonal one (e.g., green peas). The first category is characterized by a production rate comparable to demand (fast degrading, P / D = 2.5 ) where quality deterioration remains significant even under refrigeration. The second category exhibits a production rate substantially higher than demand to satisfy annual consumption (slow degrading, P / D = 5 ) relying on long-term frozen storage, where energy consumption becomes the dominant driver. For both products, the vendor processes the raw material to produce the final item in the packaging specified by the buyer, so directly fulfilling customer demand (e.g., retailer, supermarket). The prior processing stages of the raw materials are not relevant regarding the quality–energy trade-off, as refrigeration is unnecessary. The input data used in the numerical study are summarized in Table 2 and Table 3.
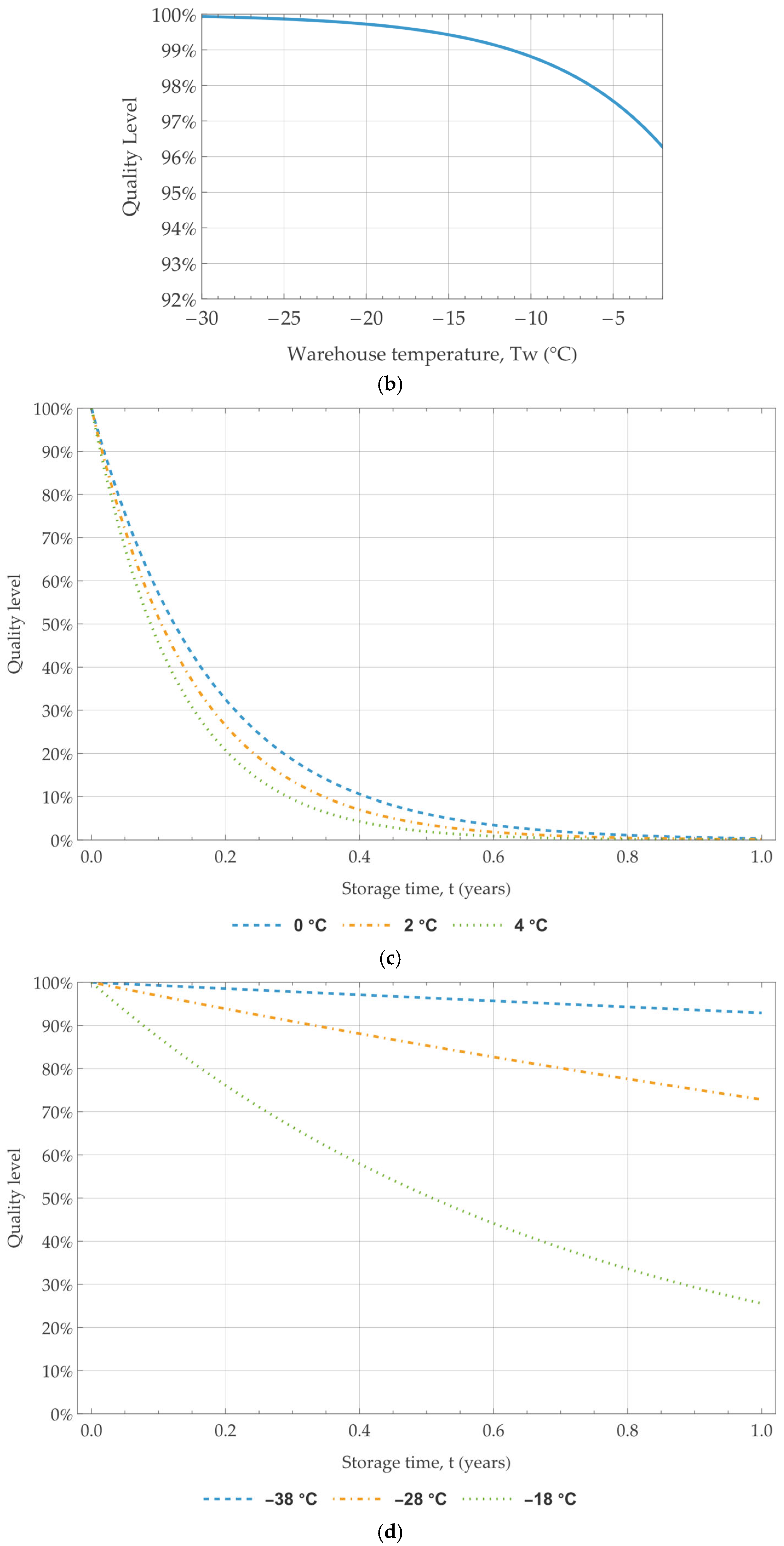
Figure 4 illustrates the quality level variations under different warehouse temperatures (Figure 4a,b) and storage durations (Figure 4c,d) for both product types. These profiles are used as inputs in the numerical analysis and highlight the fundamental energy–quality trade-off underlying the optimization model. The warehouse temperature ranges adopted in this analysis were selected in accordance with the standards set by the Agreement on the International Carriage of Perishable Foodstuffs [22]. Within the model, the value for I m a x will be represented in kilograms for dimensional coherence.
The quality of chilled meat (Figure 4c) is extremely time-sensitive, deteriorating in market value even at its optimal storage temperature (4 °C) within months. In contrast, the quality of frozen green peas (Figure 4d) is significantly affected by temperature; a low temperature (e.g., −20 °C) effectively “halts time”, preserving quality nearly perfectly, but at considerable energy costs. Based on this parametrization, the following section presents the main results and discusses their managerial implications.

4. Main Results and Managerial Insights

The objective of this section is to interpret the main results of the proposed model by explaining the underlying mechanism through which energy consumption, quality degradation, and coordination policies interact. Rather than merely reporting optimal solutions, the analysis focuses on behavioral patterns, threshold effects, and structural trade-offs that emerge from the joint optimization of lot-size, shipment frequency, warehouse temperature, and warehouse utilization, providing insight into how operational and physical constraints shape optimal decisions.

4.1. Exploratory Analysis of Cost Functions

Figure 5 displays heat maps that depict the behavior of the total cost (TC) function for the Traditional (Figure 5a,c) and CS (Figure 5b,d) policies across a range of lot sizes (Q) and shipment frequencies (n). The L4L policy is not mapped, as it operates with a fixed ( n = 1 ).
The optimization and analysis of the Traditional and CS policies are conducted for n 2 . If n were assigned a value of 1, the Traditional model would mathematically reduce to the L4L policy, negating the trade-offs between setup and order costs and holding costs that these more advanced policies aim to investigate. The heat maps reveal a wide region of steep cost increases, which are driven by physical and operational constraints rather than by pure economic trade-offs. In particular, larger lot sizes combined with high shipment frequencies generate excessive average inventory levels, which simultaneously increase energy consumption due to low warehouse utilization efficiency and amplify quality degradation by extending storage times.
Figure 6 provides a synthetic and highly informative representation of the main trade-offs captured by the model by directly comparing the total cost of the three coordination policies as a function of the lot size. Unlike the heat maps in Figure 5, which illustrate the joint effect of lot size and shipment frequency, Figure 6 isolates the impact of lot sizing and highlights the structural differences between policies in a transparent manner.
For both chilled meat and frozen green peas, the total cost function exhibits a clear convex shape, ensuring the existence of a singular optimal lot size ( Q * ). More importantly, Figure 6 explicitly shows the increase in total cost with larger lot sizes, directly caused by the combined effect of extended storage times, accelerated quality degradation, and inefficient energy usage due to low warehouse utilization.
This behavior is particularly relevant from a managerial perspective: adopting oversized lots, even when motivated by setup cost reduction, leads to rapidly escalating system costs that dominate any apparent economic advantage. The figure provides a direct visual explanation of why integrated energy–quality considerations fundamentally alter traditional lot-sizing studies.

4.2. Optimal Policies and Cost Structure Analysis

Table 4 presents the optimal results after optimizing over both Q and n (with n 2 for the Traditional and CS policies) for the three distinct policies: L4L (which has n = 1 by default), the Traditional policy, and the CS policy.
An in-depth analysis of the optimal results (Table 4) shows that the CS policy consistently generates the lowest total system cost for both chilled meat and frozen green peas. This cost advantage increases with the optimal lot size, indicating that the benefits of inventory ownership reallocation become more pronounced as inventory volumes grow. The optimal lot size for beef is 58 kg under the Traditional coordination agreement and 61 kg under the CS agreement, while for frozen green peas, the respective sizes are 103 and 115. The optimal number of shipments for the traditional agreement is two for both beef and frozen green peas. These differences are driven by the interaction between product-specific degradation dynamics and the relative weight of setup, holding, energy, and quality costs.
While CS demonstrates a profitability advantage over the traditional agreement (7%), decreasing from 2036.6 € to 1891 € for the chilled meat and 8.7% (from 1398 € to 1275.5 €) for for frozen green peas, this is not uniformly applicable to both the vendor and the buyer This asymmetry arises because the CS agreement shifts inventory ownership to the vendor, altering the allocation of financial holding costs without modifying the physical inventory flow. Consequently, when individual actors face higher costs under the system-optimal solution, a coordination mechanism such as profit-sharing contracts becomes necessary to ensure implementation feasibility [5].
The disparity in total costs between the traditional and CS policies is less pronounced for chilled meat and can be explained by the dominance of quality degradation over energy consumption. As shown in Figure 4c, quality deteriorates rapidly even under optimal warehouse temperatures, limiting the benefits achievable through inventory reallocation alone. In contrast, for frozen green peas (Figure 4d), deep-freezing significantly suppresses quality loss, making energy consumption the primary driver of total cost and amplifying the impact of coordination policies.
A significant finding emerges from the comparison of the coordination policies, particularly regarding the “L4L anomaly” observed for frozen green peas. In this circumstance, the single-shipment L4L policy ( T C = 1338.1   / y e a r ) appears to be more efficient than the optimized multi-shipment Traditional policy (constrained to n 2 ), ( T C = 1398   / y e a r ). This apparent anomaly is explained by the combined effect of negligible quality degradation and energy-dominated holding costs. Under deep-freezing, quality loss remains minimal even for extended storage times. Consequently, increasing the frequency of shipments offers no substantial quality gains, but instead forces the vendor to hold inventory longer, driving up refrigeration energy consumption and ordering costs. The L4L policy avoids these inefficiencies by immediately transferring the entire lot to the buyer, thereby minimizing energy expenditure for the vendor and reducing energy usage. This result demonstrates that, for products with low deterioration rates, inventory centralization can become counterproductive when energy costs dominate.
In contrast, for chilled meat, the L4L policy proves the least favorable alternative, challenging the assumption that perishable goods always require single-shipment policies ( n = 1 ), and despite achieving the lowest quality loss. Although L4L minimizes inventory storage time, it also requires frequent production setup, which results in high setup costs ( 1052.6   ). The Traditional policy ( n 2 ) mitigates this effect by accepting a moderate increase in quality loss in exchange for economies of scale in production, resulting in lower overall cost.
A detailed breakdown of the cost components, presented in Table 5 and Figure 7, clarifies the total cost components for each coordination mechanism (i.e., L4L, Traditional, and CS) and product (chilled and frozen), providing a clear understanding of the structural drivers behind the observed policies.
The data promptly underscore the product-specific trade-offs. Frozen green peas, for instance, incur higher energy costs to maintain subzero temperatures, yet this investment significantly mitigates quality degradation and hence, lowers related costs.
Upon further examination of this cost decomposition, the table also reveals the primary mechanism driving the efficiency of the CS policy. The CS agreement facilitates a strategic reallocation of inventory ownership from the buyer (who incurs a high holding cost h b , f i n ) to the vendor (who has a low cost h v , f i n ). This structural change leads to a substantial reduction in the Holding cost, decreasing from 158.9   (Traditional) to 30.9   (CS) for chilled meat, and from 38.9   to 12.6   for peas.
Beyond their economic relevance, the difference in energy costs across coordination policies can be directly interpreted in environmental terms. Since energy costs in the model are entirely driven by electricity consumption for refrigeration, they can be translated into physical energy use and associated Scope 2 emissions. Using the electricity price adopted in the numerical study (0.15 €/kWh), the optimal CS policy corresponds to a reduction in electricity consumption compared to the Traditional agreement for both product categories. For chilled meat, the reduction in energy cost from 225.3 € (Traditional) to 215.3 € (CS) corresponds to approximately 67 kWh/year of electricity savings. For frozen green peas, the energy cost reduction from 593.2 € to 548.3 € translates into approximately 299 kWh/year saved.
These reductions directly imply lower indirect (Scope 2) CO2-equivalent emissions associated with cold storage operations. While the exact magnitude depends on the regional electricity mix, this conversion highlights that coordination policies yielding lower system-wide energy costs also deliver tangible environmental benefits, reinforcing the sustainability relevance of integrated inventory–energy optimization.
Finally, the analysis quantifies the energy–quality trade-off embedded in the optimal solutions. For Chilled Meat, the CCS agreement policy tolerates higher Quality Losses ( 489.5   ) in return for lower Energy consumption ( 215.3   ), reflecting the limited effectiveness of refrigeration in slowing degradation. In contrast, the solution for Frozen Green Peas (i.e., the CS agreement) allocates substantial resources to energy consumption ( 584.3   ) to almost eliminate quality degradation ( 106.2   ). This illustrates how the model optimally balances product-specific degradation characteristics to determine the optimal balance between energy and quality costs.

4.3. The Cost of Sub-Optimality: Benchmarking Against Standard Model

This section quantifies the significant impact of excluding energy and quality degradation costs from the optimization process. To achieve this, we initially solved the “Standard Optimization” models (defined by Equations (7)–(14)) to determine their optimal policies, which we shall denote as Q * ¯ ,   n * ¯ (defined by Equations (8), (10), (11), (13) and (14)). These policies are, by definition, optimal solely if energy and quality costs are nonexistent. The core of this analysis is to rate the financial repercussions associated with the implementation of the “Standard” policies ( Q * ¯ ,   n * ¯ ) in a real-world scenario. We then determine the real total cost of these policies by substituting ( Q * ¯ ,   n * ¯ ) into the comprehensive cost functions, Equations (4)–(6) (as outlined in the models developed in this study, whose optimal results are detailed in Table 4).
The results of this comparison are presented in Table 6. This table compares the perceived optimal cost (the value minimized by the standard model) with the actual total cost (the true cost incurred) and the true optimal cost (achieved by the proposed model). The Cost Penalty (\%) metric quantifies the economic inefficiency of using the Standard model’s optimization compared to the proposed model. It is calculated as the percentage increase in the Actual Cost incurred when implementing the Standard model’s optimal parameter ( A C s t d ), relative to the optimal Actual Cost achieved by the proposed model ( A C m o d e l ):
C o s t   P e n a l t y = ( A C s d t A C m o d e l A C m o d e l ) × 100
Consequently, a penalty of 0% indicates that the solution is optimal with respect to the actual cost function.
The significant influence of incorporating energy and quality degradation costs is clearly demonstrated in Table 6. This analysis shows the severe financial penalties incurred by adopting policies from a “Standard Optimization” model, which neglects these essential cost determinants.
For the chilled meat, under a Traditional agreement, the standard model suggests an optimal policy of ( Q * H ¯ = 91 ,   n * H ¯ = 8 ), promising a minimal perceived cost of just 713 €. This decision is misleading. When this policy is implemented in the comprehensive model, the actual cost explodes to 8405.4 €. This represents a cost penalty of 312% relative to the actual optimal policy ( Q * = 52 ,   n * = 2 ,   Cost = 2036.6 €) identified by the comprehensive model. The “Standard Optimization” is ineffective, as it fails to recognize the severe quality deterioration resulting from numerous shipments ( n = 8 ), which prolongs the product’s time in the supply chain.
The failure is even more consistent with the CS agreement for chilled meat. The standard model selects a large lot size ( Q * C S ¯ = 332 ) as it only balances the setup and holding costs. This decision incurs an actual cost of 9798.8 €, resulting in a very high cost penalty of 418%. The comprehensive model, protecting against quality deterioration, reduces the lot size to Q * C S = 61 . This gap between perceived cost (e.g., 421.3 €) and actual cost (e.g., 9798.8 €) highlights the “cost of sub-optimality”. This penalty is the tangible price paid for using an incomplete model. The analysis for frozen peas confirms this same pattern, with penalties reaching 162% (Traditional) and 205% (CS).
These findings provide evidence that energy consumption and quality degradation are not minor factors to be approximated in cold chains. They are primary cost determinants that significantly alter optimal inventory policy. Models that ignore them are not only inaccurate but also result in managerial decisions that are destructive to the overall cost of the CSC.
Beyond the economic implications, the cost penalties reported in Table 6 also entail relevant environmental consequences. In cold supply chains, energy consumption constitutes a major source of environmental impact due to the electricity required for refrigeration. When energy use and quality degradation are neglected in the optimization process, the resulting “hidden costs” are not only economic but also environmental, as inefficient inventory policies lead to unnecessary energy consumption and avoidable emissions. By explicitly accounting for energy consumption within the cost structure, the proposed model inherently promotes solutions that are both economically efficient and environmentally less intensive. Although the present analysis does not perform explicit carbon accounting, the results clearly indicate that neglecting energy-related costs in inventory optimization may underestimate the environmental footprint of cold chain operations, reinforcing the importance of integrated energy–inventory decision models from a sustainability perspective.

4.4. Managerial and Policy Implications

This subsection translates the analytical results into managerial and policy-relevant insights. Each implication is explicitly grounded in the numerical findings reported in Table 4 and Table 5 and Figure 5, Figure 6 and Figure 7, and highlights how decision-makers can operationalize the proposed framework in real CSC settings.
First, the results show that the choice of the optimal coordination policy cannot be based solely on the qualitative notion of product perishability. Instead, decision-makers should identify whether quality degradation costs or energy-related costs dominate the total cost structure.
In the limiting case of ultra-perishable products (e.g., fresh berries or seafood), where the degradation rate is extremely high even under optimal storage conditions, quality rapidly becomes the dominant cost component. In this regime minimizing storage time prevails over setup and energy considerations, making L4L policies comparatively more attractive. However, under such conditions, the model becomes less informative from a managerial perspective, as the optimal choice is structurally driven toward very frequent replenishment. Ultra-perishables therefore represent a boundary condition of the framework, where the decision is largely implicit rather than emerging from an energy–quality trade-off.
For chilled meat, where quality deteriorates rapidly even under optimal storage conditions (Figure 4c), policies that reduce setup frequency (Traditional or CS) outperform L4L. Conversely, for frozen green peas, where deep-freezing effectively suppresses deterioration (Figure 4d), energy consumption become the primary driver, making single shipment policies competitive or preferrable (Table 4).
Second, the superior performance of the CS agreement does not stem from lower inventory levels, but from a structural reallocation of financial holding costs between supply chain actors. As shown in Table 5 and Figure 7, shifting inventory ownership from the buyer to the vendor significantly reduces total holding costs, even when the physical inventory profile remains unchanged. This implies that CS should be interpreted primarily as a contractual coordination mechanism rather than a purely logistical one.
Third, energy consumption emerges as a strategic decision variable rather than an additional cost component. For frozen products, the optimal solutions deliberately allocate higher energy costs to suppress quality degradation (Table 5), indicating that lot sizing, shipment frequency, and warehouse temperature decisions should be jointly optimized rather than addressed sequentially.
Finally, the benchmarking analysis highlights the managerial risk associated with relying on simplified optimization models that neglect energy consumption and quality degradation. The cost penalties reported in Table 6 quantify the economic impact of such omissions and provide a strong rationale for adopting integrated decision-support tools when designing CSC policies.
Overall, the optimal policy is not determined by perishability alone, but by the relative dominance of quality-related versus energy-related cost drivers, which differ substantially between chilled and frozen products. The proposed framework enables managers to anticipate these trade-offs rather than reacting to overruns in cost.
To further enhance the practical applicability of the proposed framework, the main results can be summarized into a qualitative decision logic supporting the selection of coordination policies under different operating conditions. Rather than relying on fixed numerical thresholds, this logic reflects how the relative importance of quality degradation, energy consumption, and cost asymmetries shapes the comparative performance of coordination mechanisms.
For products characterized by significant but not extreme deterioration, such as the chilled product analyzed in this study, quality losses increase with inventory storage time, but setup economies and energy-related effects remain relevant. In this regime, coordination policies that reduce setup frequency while keeping inventory duration limited (e.g., Traditional or CS) may outperform L4L. When quality degradation is negligible and energy consumption dominates holding-related costs, as with frozen products under deep-freezing conditions, policies that limit prolonged refrigeration of inventory at the vendor level may become competitive.
Across product types, asymmetric financial holding costs consistently favor CS agreements, while increases in energy prices or product value shift optimal solutions toward smaller lot sizes and lower average inventory levels.

5. Additional Analyses and Robustness Checks

This section complements the main findings by assessing the robustness of the optimal policies under variations in key parameters. Rather than introducing new decision rules, the sensitivity analyses aim to evaluate how stable the identified optimal solutions are when operating conditions deviate from the baseline scenario, and to identify critical thresholds beyond which policy adjustments may become necessary.

5.1. Sensitivity Analysis on Warehouse Temperature and Capacity

This subsection analyzes the sensitivity of the optimal solutions to variations in warehouse temperature T w and warehouse capacity I m a x , two parameters that directly affect energy consumption and quality degradation.

5.1.1. Chilled Meat

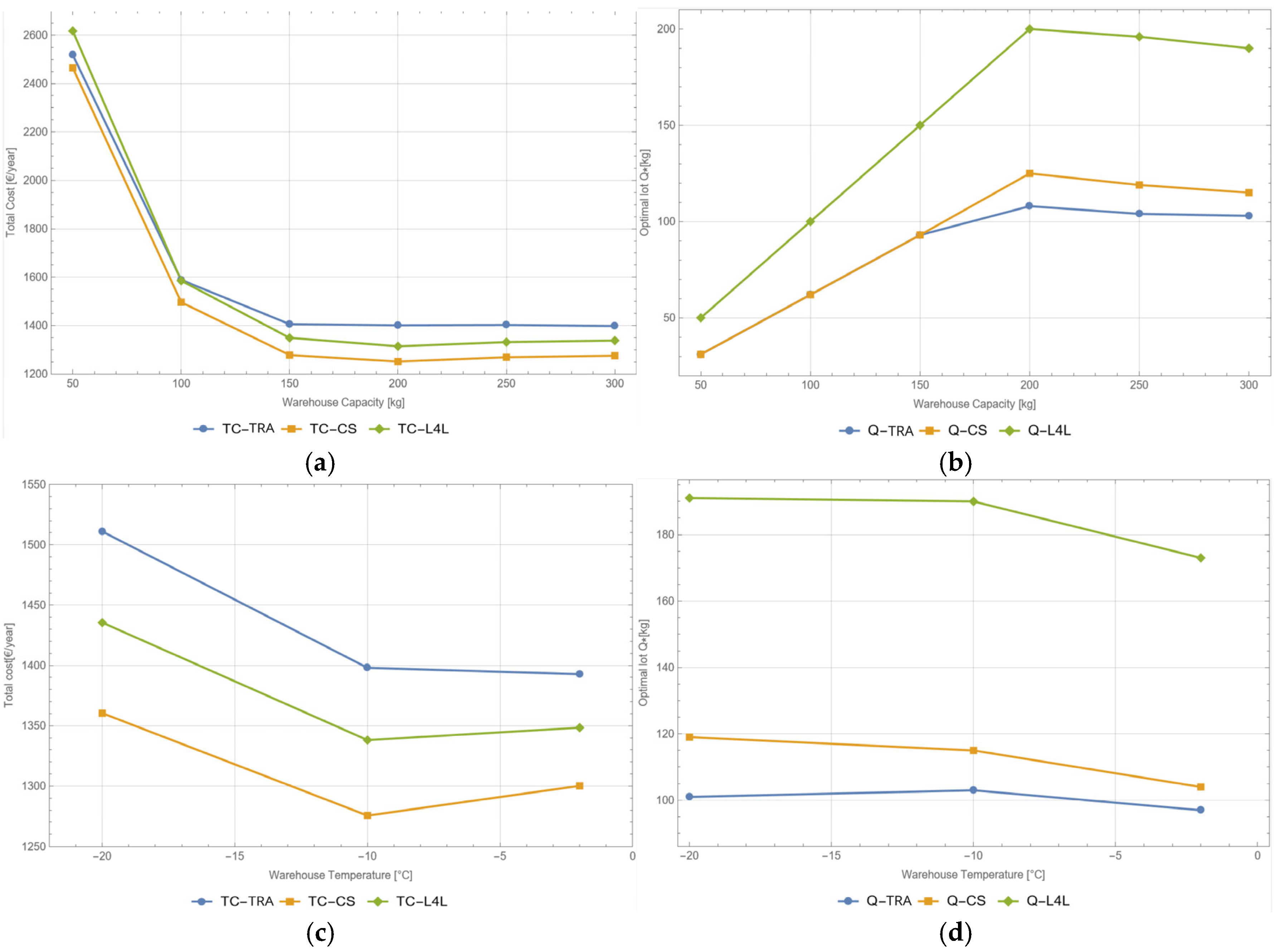
As shown in Figure 8, increasing warehouse capacity reduces total cost only up to a threshold value (approximately 100 kg). Below this level, capacity constraints force suboptimal lot sizes, leading to higher costs and unstable operating conditions. Beyond this threshold, total cost and optimal lot size remain largely unchanged, indicating that once minimum capacity requirements are satisfied, further investments in storage space yield limited economic benefits. From a decision-making perspective, this result identifies a clear minimum capacity level required to support efficient operations, rather than suggesting continuous benefits from capacity expansion.
Warehouse temperature exerts a markedly different effect. As illustrated in Figure 8c,d, higher temperatures monotonically increase total costs and reduce optimal lot sizes. This confirms that, for chilled products, quality degradation is the dominant cost driver, and temperature control directly constrains feasible inventory strategies. Consequently, lot sizing decisions must adapt rapidly to changes in temperature conditions, reinforcing the need for tight thermal control in chilled supply chains.

5.1.2. Frozen Green Peas

For frozen products (Figure 9) warehouse capacity plays a more significant role over a wider range. Total costs decrease sharply until a capacity threshold is reached, after which they stabilize. This behavior reflects the higher inventory levels required to exploit economies of scale under frozen storage. Unlike chilled products, insufficient capacity for frozen goods leads to persistent inefficiencies, making capacity planning a more critical strategic decision.
Temperature sensitivity exhibits a non-monotonic pattern. As shown in Figure 9c,d, total cost displays a minimum at intermediate temperature levels, capturing the trade-off between energy expenditure and quality preservation. This indicates that for frozen products, temperature selection is not a binary decision but a tuning variable that must balance thermodynamic efficiency against marginal quality gains.

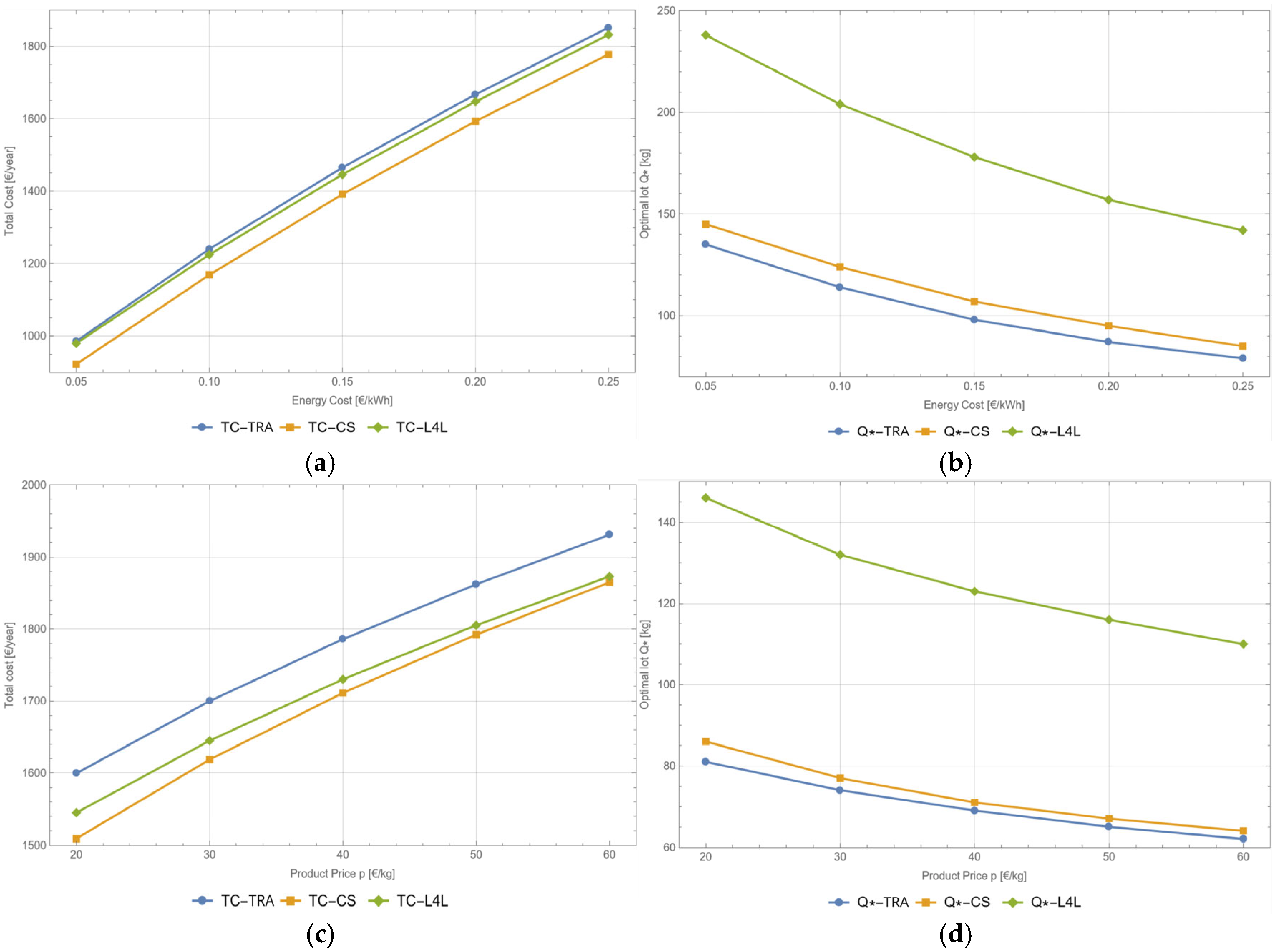
5.2. Sensitivity Analysis for Energy Cost and Product Price

Figure 10 and Figure 11 present the sensitivity analysis for chilled meat and green peas with respect to energy cost and product price, two parameters subject to market volatility.

5.2.1. Chilled Meat

For chilled meat (Figure 10), higher energy prices lead to both increased total cost and reduced optimal lot sizes, as refrigeration expenses penalize large inventory levels. Similarly, increases in product value amplify the economic impact of quality degradation, pushing the system toward smaller lots to limit exposure time. These results indicate that chilled supply chains are highly sensitive to economic conditions, and that lot sizing policies must be frequently adjusted in response to energy and price fluctuations.

5.2.2. Frozen Green Peas

In the case of frozen green peas, a comparable trend is noted, where total prices escalate and optimal lot sizes diminish as energy expenses grow or product value rise (Figure 11). Nonetheless, it is evident that the superiority of one strategy compared to another is less distinct than in the instance of chilled meat. For specific combinations of energy costs and product prices, total costs practically converge, suggesting that the system exhibits reduced sensitivity to the selection between some operating strategies. This indicates that, for frozen peas, various solutions may be comparably effective under certain economic conditions, allowing decision-makers greater freedom in choosing lot sizes or storage practices without substantially impacting total prices.

6. Conclusions

This paper addressed the JELS problem within a CSC by introducing a comprehensive model that integrates product quality degradation, energy consumption, and the efficiency of warehouse filling levels. Unlike traditional approaches, the proposed formulation explicitly models the non-linear relationship between inventory saturation and specific energy consumption, allowing an optimization of the trade-off between logistical costs, energy costs, and quality costs.
A numerical optimization, performed on chilled and frozen products, provided critical insights into the selection of coordination policies. Contrary to the common practice of utilizing Lot-for-Lot (L4L) for perishables to minimize holding time, the results indicate that the Consignment Stock (CS) policy offers a superior solution for both product categories. By shifting inventory ownership and optimizing replenishment frequencies and lot sizes, the CS policy effectively balances the high deterioration costs of chilled goods and the intensive energy costs of frozen goods.
A pivotal finding emerges from the comparison with standard optimization models that overlook quality and energy variables: the analysis quantifies a significant “Cost Penalty,” representing the hidden economic loss incurred when managers rely on standard models. This penalty is particularly severe for highly perishable items, where standard models perceive an illusory low cost while the actual system incurs massive losses due to energy and quality costs.
Sensitivity analyses further clarify the boundaries of these optimal strategies. Regarding warehouse capacity, the study reveals a threshold effect; total costs decline significantly as capacity increases until a specific limit is reached (e.g., around 100 kg for beef), after which the impact becomes minimal, and the optimal lot size stabilizes.
The analysis of temperature settings highlights a divergence between product types: for chilled meat, quality degradation is the dominant factor, where higher temperatures monotonically increase total costs and necessitate reduced lot sizes to mitigate spoilage. Conversely, for frozen peas, the results suggest the existence of an ideal temperature value that minimizes costs by reconciling energy expenses with quality deterioration.
Furthermore, economic factors such as energy costs and product prices critically influence the system’s behavior. For both chilled and frozen products, an increase in energy costs or product value drives the optimization towards smaller lot sizes to enhance operational efficiency. However, a notable distinction was observed for frozen peas: under certain combinations of high energy costs and product prices, the total costs of different strategies practically converge. This implies that for frozen goods, the system exhibits reduced sensitivity to the specific choice of operating strategy under severe economic conditions, granting decision makers greater flexibility in selecting storage practices without substantially impacting profitability.
From a methodological perspective, the proposed approach is based on numerical optimization over a bounded and low-dimensional decision space, which proved computationally efficient for the single-product, two-echelon setting considered in this study. While this allows a reliable exploration of the relevant solution space and extensive sensitivity analyses, the approach is not intended as a scalable algorithmic solution for large-scale industrial settings. In particular, the direct numerical optimization adopted here may become computationally demanding when extending the model to multi-product or multi-echelon supply chains with shared capacities and additional decision variables.
Building on these considerations, future research could extend this model to incorporate non-negligible transportation times and the impact of temperature variations during the delivery phase. Non-negligible transportation times would increase the effective storage time of products within the cold chain, increasing quality degradation and potentially shifting optimal decisions toward smaller lot sizes or higher shipment frequency, for fast-degrading products. Moreover, temperature fluctuation during handling operations, such as those caused by door openings during loading and unloading actions, could be modeled as short-term thermal shocks imposed on the storage temperature profile. While these effects are typically limited compared to warehouse refrigeration dynamics, these effects may increase the sensitivity of the system to shipment frequency under multi-shipment policies.
An additional promising direction for future research concerns the explicit investigation of the production–demand ratio and its interaction with coordination policies. While the present study considers representative cases with distinctive production regimes, a systematic sensitivity analysis of the production rate would require jointly accounting for its interaction with energy consumption, quality degradation, setup frequency, and inventory dynamics. Future work could analyze tighter production capacity scenarios, assessing how the relative performance of coordination mechanisms evolves as the production rate approaches demand.
Furthermore, the framework implies potential extensions to multi-product environments, focusing on the joint optimization of shared storage capacity. Regarding the solution methodology, while this study utilized numerical optimization via Mathematica, future work aims to derive closed-form solutions for specific sub-problems, while potentially exploring heuristic approaches for the more complex, generalized multi-item scenarios. As a further extension, it may be advantageous to consider the adoption of a first-to-expire-first-out (FEFO) policy, as this approach is widely utilized in food stock management to effectively minimize waste. Finally, a future comparative study could focus on the heat capacity at constant pressure of various product types, which may yield valuable insights, enhancing the understanding of how different products respond to varying temperature settings.

Author Contributions

Conceptualization, S.Z. and B.M.; methodology, S.Z., B.M. and L.E.Z.; validation, B.M. and S.C.; writing—original draft, B.M.; writing—review and editing B.M., L.E.Z., S.C. and S.Z. All authors have read and agreed to the published version of the manuscript.

Funding

This research received no external funding.

Data Availability Statement

The original contributions presented in this study are included in the article. Further inquiries can be directed to the corresponding author.

Conflicts of Interest

The authors declare no conflicts of interest.

Abbreviations

The following abbreviations are used in this manuscript:
SECSpecific Energy Consumption
JELSJoint Economic Lot-Sizing
CSCCold Supply Chain
CSConsignment Stock
EOQEconomic Order Quantity
L4LLot for Lot

References

  1. Ndraha, N.; Hsiao, H.-I.; Vlajic, J.; Yang, M.-F.; Lin, H.-T. Time-Temperature Abuse in the Food Cold Chain: Review of Issues, Challenges, and Recommendations. Food Control 2018, 89, 12–21. [Google Scholar] [CrossRef]
  2. Chen, G.; Wahab, M.I.M.; Fang, L. Optimal Replenishment Strategy for a Single-Manufacturer Multi-Retailer Cold Chain Considering Multi-Stage Quality Degradation. Appl. Math. Model. 2022, 104, 96–113. [Google Scholar] [CrossRef]
  3. Diaz, F.; Vignati, J.; Marchi, B.; Paoli, R.; Zanoni, S.; Romagnoli, F. Effects of Energy Efficiency Measures in the Beef Cold Chain: A Life Cycle-Based Study. Environ. Clim. Technol. 2021, 25, 343–355. [Google Scholar] [CrossRef]
  4. Iyer, P.; Robb, D. Cold Chain Optimisation Models: A Systematic Literature Review. Comput. Ind. Eng. 2025, 204, 110972. [Google Scholar] [CrossRef]
  5. Marchi, B.; Zanoni, S.; Jaber, M. Energy Implications of Lot Sizing Decisions in Refrigerated Warehouses. Energies 2020, 13, 1739. [Google Scholar] [CrossRef]
  6. Marchi, B.; Zanoni, S. Cold Chain Energy Analysis for Sustainable Food and Beverage Supply. Sustainability 2022, 14, 11137. [Google Scholar] [CrossRef]
  7. Hill, R.M. The Single-Vendor Single-Buyer Integrated Production-Inventory Model with a Generalised Policy. Eur. J. Oper. Res. 1997, 97, 493–499. [Google Scholar] [CrossRef]
  8. Braglia, M.; Zavanella, L. Modelling an Industrial Strategy for Inventory Management in Supply Chains: The “Consignment Stock” Case. Int. J. Prod. Res. 2003, 41, 3793–3808. [Google Scholar] [CrossRef]
  9. Zanoni, S.; Jaber, M. A Two-Level Supply Chain with Consignment Stock Agreement and Stock-Dependent Demand. Int. J. Prod. Res. 2015, 53, 3561–3572. [Google Scholar] [CrossRef]
  10. Balakrishnan, A.; Pangburn, M.; Stavrulaki, E. “Stack Them High, Let ’em Fly”: Lot-Sizing Policies When Inventories Stimulate Demand. Manag. Sci. 2004, 50, 630–644. [Google Scholar] [CrossRef]
  11. Blackburn, J.; Scudder, G. Supply Chain Strategies for Perishable Products: The Case of Fresh Produce. Prod. Oper. Manag. 2009, 18, 129–137. [Google Scholar] [CrossRef]
  12. Disney, S.; Warburton, R. On the Lambert W Function: Economic Order Quantity Applications and Pedagogical Considerations. Int. J. Prod. Econ. 2012, 140, 756–764. [Google Scholar] [CrossRef]
  13. Goyal, S.K. An Integrated Inventory Model for a Single Supplier-Single Customer Problem. Int. J. Prod. Res. 1977, 15, 107–111. [Google Scholar] [CrossRef]
  14. Glock, C.H. The Joint Economic Lot Size Problem: A Review. Int. J. Prod. Econ. 2012, 135, 671–686. [Google Scholar] [CrossRef]
  15. Zanoni, S.; Zavanella, L. Chilled or Frozen? Decision Strategies for Sustainable Food Supply Chains. Int. J. Prod. Econ. 2011, 140, 731–736. [Google Scholar] [CrossRef]
  16. Sebatjane, M. Inventory Optimisation in a Two-Echelon Cold Chain: Sustainable Lot-Sizing and Shipment Decisions under Carbon Cap Emissions Regulations. Ann. Oper. Res. 2025, 1–34. [Google Scholar] [CrossRef]
  17. Wang, Y.; Sun, W.; Abedin, M.Z.; Hajek, P.; Xue, W. A Multi-Objective Lot Sizing Procurement Model for Multi-Period Cold Chain Management Including Supplier and Carrier Selection. Omega 2025, 130, 103165. [Google Scholar] [CrossRef]
  18. Karimi, A.; Ghorbani, O.; Tashakkori, R.; Pasandideh, S.H.R.; Jasemi, M. Determining Optimal Lot Size, Reorder Point, and Quality Features for a Food Item in a Cold Warehouse: Data-Driven Optimization Approach. arXiv 2024. [Google Scholar] [CrossRef]
  19. Marchi, B.; Zanoni, S.; Ferretti, I.; Zavanella, L. Stimulating Investments in Energy Efficiency Through Supply Chain Integration. Energies 2018, 11, 858. [Google Scholar] [CrossRef]
  20. Geppert, J.; Stamminger, R. Do Consumers Act in a Sustainable Way Using Refrigerators? The Influence of Consumer Real Life Behaviour on the Energy Consumption of Cooling Appliances. Int. J. Consum. Stud. 2010, 34, 219–227. [Google Scholar] [CrossRef]
  21. Peleg, M.; Engel, R.; Gonzalez-Martinez, C.; Corradini, M. Non-Arrhenius and Non-WLF Kinetics in Food Systems. J. Sci. Food Agric. 2002, 82, 1346–1355. [Google Scholar] [CrossRef]
  22. Agreement on the International Carriage of Perishable Foodstuffs and on the Special Equipment to Be Used for Such Carriage (ATP); ECE/TRANS/347; United Nations: Geneva, Switzerland, 2024.
Figure 1. Sensitivity analysis of the Specific Energy Consumption (SEC) varying the technological efficiency parameter α ( 30,50,70 ) . (a) Effect of the warehouse filling level (utilization) on SEC, with constant T W . (b) Effect of the warehouse temperature T W on S E C , assuming full capacity (100% filling).
Figure 1. Sensitivity analysis of the Specific Energy Consumption (SEC) varying the technological efficiency parameter α ( 30,50,70 ) . (a) Effect of the warehouse filling level (utilization) on SEC, with constant T W . (b) Effect of the warehouse temperature T W on S E C , assuming full capacity (100% filling).
Energies 19 01360 g001
Figure 2. Inventory behavior in a single-vendor single-buyer model under a traditional agreement.
Figure 2. Inventory behavior in a single-vendor single-buyer model under a traditional agreement.
Energies 19 01360 g002
Figure 3. Inventory behavior in a single-vendor single-buyer model under a CS agreement.
Figure 3. Inventory behavior in a single-vendor single-buyer model under a CS agreement.
Energies 19 01360 g003
Figure 4. Quality level: (a) of chilled meat stored for 1 day under different warehouse temperatures, (b) of frozen green peas stored for 1 day under different warehouse temperatures, (c) of chilled meat stored at −18, 4, 10, 20 °C for different storage times and (d) of frozen green peas stored at −38, −28, −18 °C for different storage times.
Figure 4. Quality level: (a) of chilled meat stored for 1 day under different warehouse temperatures, (b) of frozen green peas stored for 1 day under different warehouse temperatures, (c) of chilled meat stored at −18, 4, 10, 20 °C for different storage times and (d) of frozen green peas stored at −38, −28, −18 °C for different storage times.
Energies 19 01360 g004aEnergies 19 01360 g004b
Figure 5. Heat map of TC for Traditional and CS policies for chilled meat (a,b) and frozen peas (c,d).
Figure 5. Heat map of TC for Traditional and CS policies for chilled meat (a,b) and frozen peas (c,d).
Energies 19 01360 g005
Figure 6. Total cost over the lot size under the traditional and the CS agreement (with n = 2), and L4L for (a) chilled meat and (b) frozen green peas.
Figure 6. Total cost over the lot size under the traditional and the CS agreement (with n = 2), and L4L for (a) chilled meat and (b) frozen green peas.
Energies 19 01360 g006
Figure 7. Cost components for the optimal lot size.
Figure 7. Cost components for the optimal lot size.
Energies 19 01360 g007
Figure 8. Sensitivity analysis for warehouse capacity (a,b) and warehouse temperature (c,d) for chilled meat.
Figure 8. Sensitivity analysis for warehouse capacity (a,b) and warehouse temperature (c,d) for chilled meat.
Energies 19 01360 g008
Figure 9. Sensitivity analysis for warehouse capacity (a,b) and warehouse temperature (c,d) for frozen green peas.
Figure 9. Sensitivity analysis for warehouse capacity (a,b) and warehouse temperature (c,d) for frozen green peas.
Energies 19 01360 g009
Figure 10. Sensitivity analysis for energy cost (a,b) and price of product (c,d) for chilled meat.
Figure 10. Sensitivity analysis for energy cost (a,b) and price of product (c,d) for chilled meat.
Energies 19 01360 g010aEnergies 19 01360 g010b
Figure 11. Sensitivity analysis for energy cost (a,b) and price of product (c,d) for frozen green peas.
Figure 11. Sensitivity analysis for energy cost (a,b) and price of product (c,d) for frozen green peas.
Energies 19 01360 g011
Table 1. Comparison of the features considered in the most relevant literature for this study.
Table 1. Comparison of the features considered in the most relevant literature for this study.
RefSCInventory
Policy
Energy
Consumption
Filling
Level
Quality
Blackburn and Scudder [10]EOQ-NCNCF (t,T)
Marchi et al. [5]EOQ-CCNC
Chen et al. [2]JELSTRACNCF (t,T)
Zanoni and Zavanella [14]JELSL4LCNCF (t,T)
Sebatjane [15]EOQTRACarbon-based (exogenous)NCNC
Wang et al. [16]Lot sizing-Carbon-based (aggregated)NCImplicit
Karimi et al. [17]EOQ-CNCStorage parameter-based
This studyJELSL4L, TRA, CSC (Endogenous)CF (t,T)
Legend: C: Considered, NC: not considered, F (t,T): function of time–temperature profile, L4L: lot-for-lot policy, TRA: Traditional agreement, CS: consignment stock agreement.
Table 2. General data used for both products.
Table 2. General data used for both products.
ParameterValueParameterValue
α b , α v 50   k W h / m 3 h b , s t o c k 0.03   / k g · y e a r
β b , β v 0.25 h v , s t o c k 0.05   / k g · y e a r
A 1 50   / s e t u p φ 2
A 2 10   / o r d e r q 0 100 %
c e , b 0.12   / k W h T a m b 30   ° C
c e , v 0.15 €/kWh T r , b 10   ° C
D 2000   k g / y e a r T r , v 10   ° C
Table 3. Product-specific data.
Table 3. Product-specific data.
ParameterChilled MeatFrozen Green Peas
h b , f i n 4.8   / k g y e a r 0.6   / k g · y e a r
h v , f i n 0.6   / k g y e a r 0.075   / k g · y e a r
m 0.085 0.146
μ ( T W ) 1 1
p 40   / k g 5   / k g
P 5000   k g / y e a r 10,000   k g / y e a r
T c 48.83 °C 20.25   ° C
T W 4   ° C 10   ° C
Stowage factor 3   m 3 / t 1.28   m 3 / t
I m a x , v , I m a x , b 0.9   m 3 0.384   m 3
Table 4. Optimal results under the different policies for chilled and frozen products.
Table 4. Optimal results under the different policies for chilled and frozen products.
Chilled MeatFrozen Green Peas
L4LTraditionalCSL4LTraditionalCS
Q 955861190103115
n 122122
T C v 1143.71004.6880.8639.3812511.1
T C b 597.3586.5520.7607.4499.7658.2
Q u a l i t y L o s s 431.9445.5489.591.486.3106.2
T C 2172.92036.618921338.113981275.5
Table 5. Relevance of the cost components for the optimal lot size under the Traditional and CS agreements for chilled meat and frozen green peas.
Table 5. Relevance of the cost components for the optimal lot size under the Traditional and CS agreements for chilled meat and frozen green peas.
Chilled MeatFrozen Green Peas
L4LTraditionalCSL4LTraditionalCS
Setup cost1052.6826.1819.7526.3485.4434.8
Order cost210.5344.8327.9105.3194.2173.9
Holding cost241.8158.930.962.238.912.6
Energy cost236.0225.3215.3552.9593.2548.3
Quality Loss431.9445.5489.591.386.3106.2
Table 6. Comparison of optimal policies and costs from the “Standard” model vs. this paper’s optimization models.
Table 6. Comparison of optimal policies and costs from the “Standard” model vs. this paper’s optimization models.
ProductPolicyModelOptimal
Values (Q∗, n∗)
Perceived Cost (€/year)Actual Cost (€/year)Cost
Penalty (%)
Chilled MeatL4LStandard(217, 1)1105.33522.362
This Paper(95, 1)-2172.90
TRAStandard(91, 8)7138405.4312
This Paper(58, 2)-2036.60
CSStandard(332, 2)421.39798.8418
This Paper(61, 2)-18910
Frozen Green PeasL4LStandard(605, 1)396.52112.958
This Paper(190, 1)-1338.10
TRAStandard(275, 5)290.53660.3162
This Paper(103, 2)-13980
CSStandard(809, 2)173.13877.8205
This Paper(115, 2)-1275.50
Disclaimer/Publisher’s Note: The statements, opinions and data contained in all publications are solely those of the individual author(s) and contributor(s) and not of MDPI and/or the editor(s). MDPI and/or the editor(s) disclaim responsibility for any injury to people or property resulting from any ideas, methods, instructions or products referred to in the content.

Share and Cite

MDPI and ACS Style

Zanoni, S.; Cardini, S.; Marchi, B.; Zavanella, L.E. Lot Sizing Problem for Cold Supply Chain with Energy and Quality Considerations. Energies 2026, 19, 1360. https://doi.org/10.3390/en19051360

AMA Style

Zanoni S, Cardini S, Marchi B, Zavanella LE. Lot Sizing Problem for Cold Supply Chain with Energy and Quality Considerations. Energies. 2026; 19(5):1360. https://doi.org/10.3390/en19051360

Chicago/Turabian Style

Zanoni, Simone, Silvia Cardini, Beatrice Marchi, and Lucio Enrico Zavanella. 2026. "Lot Sizing Problem for Cold Supply Chain with Energy and Quality Considerations" Energies 19, no. 5: 1360. https://doi.org/10.3390/en19051360

APA Style

Zanoni, S., Cardini, S., Marchi, B., & Zavanella, L. E. (2026). Lot Sizing Problem for Cold Supply Chain with Energy and Quality Considerations. Energies, 19(5), 1360. https://doi.org/10.3390/en19051360

Note that from the first issue of 2016, this journal uses article numbers instead of page numbers. See further details here.

Article Metrics

Back to TopTop