Next Article in Journal
Development of Stall Delay Built-In Actuator Line Model (SD-ALM) for Wind Turbine Rotor CFD
Previous Article in Journal
Dual-System Interactive Performance Optimization Strategy for Single-Winding Consequent-Pole Bearingless Permanent Magnet Synchronous Motors
 
 
Font Type:
Arial Georgia Verdana
Font Size:
Aa Aa Aa
Line Spacing:
Column Width:
Background:
Article

A Binder-Free Silicon-Containing Carbon Composite Anode Enabled by an Integrated Multidimensional Carbon Framework for High-Performance Lithium-Ion Batteries

National Key Laboratory of Science and Technology on High-Strength Structural Materials, Central South University, Changsha 410083, China
*
Author to whom correspondence should be addressed.
Energies 2026, 19(5), 1263; https://doi.org/10.3390/en19051263
Submission received: 26 December 2025 / Revised: 15 February 2026 / Accepted: 27 February 2026 / Published: 3 March 2026

Abstract

Silicon-based materials offer exceptional theoretical capacity for lithium-ion batteries (LIBs), but their practical application remains severely hindered by large volume expansion, low electrical conductivity, and unstable solid electrolyte interphase (SEI) formation during cycling. Herein, a binder-free silicon-containing carbon composite anode (denoted as CP-Si@C-4, where CP represents the conductive carbon paper substrate) is designed: carbon constitutes the structural and conductive framework, while silicon nanoparticles serve as a functional alloying component contributing characteristic lithiation/delithiation behavior. This framework comprises a conductive carbon paper (CP) scaffold, a resin-derived carbon matrix for homogeneous silicon dispersion, an interconnected carbon nanotube (CNT) network enabling long-range electron transport, and a conformal chemical vapor deposition (CVD) carbon layer for interfacial stabilization. Rather than simply increasing the overall carbon content, a series of control electrodes with distinct carbon configurations are deliberately designed to decouple the respective roles of bulk stress buffering and particle-level interfacial stabilization during cycling. The results indicate that functionally differentiating and coordinately regulating these two functions is critical for achieving durable binder-free silicon-containing carbon composite anodes. Benefiting from this cooperative multidimensional carbon architecture, the optimized CP-Si@C-4 anode delivers an initial Coulombic efficiency (ICE) of 86.3% and maintains a reversible capacity of ~990 mA h g−1 at 2 A g−1 after 1000 cycles. This work provides a structural design concept for improving long-term stability in binder-free silicon-containing carbon composite anodes.

1. Introduction

The pursuit of higher energy-density storage solutions has solidified lithium-ion batteries (LIBs) as a foundational technology [1]. However, the widespread reliance on graphite anodes presents a significant bottleneck for further performance enhancement due to their limited theoretical capacity [2]. In this context, silicon has emerged as a leading candidate for next-generation anodes, owing to its ultra-high theoretical capacity (3579 mAh g−1), favorable operating voltage, and abundant natural reserves. Despite these compelling advantages, the practical deployment of silicon anodes faces two intrinsic challenges: a large volume variation (>300%) during lithiation/delithiation, which induces electrode pulverization and repeated solid electrolyte interphase (SEI) rupture, coupled with the intrinsically low electrical conductivity of silicon that severely hampers rate capability and cycling stability [3,4,5].
Substantial research efforts have been dedicated to addressing these challenges. Common strategies include nanostructuring silicon to shorten ion diffusion paths and mitigate mechanical stress [6,7,8], employing functional electrolyte additives [9,10] to stabilize the electrode–electrolyte interface, and constructing robust carbon confinement architectures-such as core–shell structures-to buffer volume expansion and maintain structural integrity [11,12,13,14]. However, most existing strategies address only a single degradation mechanism at a time, and their effectiveness is often limited during long-term cycling. In particular, carbon matrices derived from polymer or resin pyrolysis typically exhibit heterogeneous microstructures and limited conformality at the silicon particle surface, making it difficult to provide uniform interfacial protection against continuous SEI growth. To overcome these limitations, dual-carbon composite designs have been proposed, yet systematic decoupling remains limited, in which carbon nanotubes (CNTs) are introduced as long-range conductive networks within a buffering carbon matrix [15,16,17], while conformal carbon coatings prepared by chemical vapor deposition (CVD) are employed to stabilize the silicon–electrolyte interface at the particle level—a function that is difficult to achieve solely through bulk carbon matrices derived from conventional pyrolysis processes [18,19,20]. Nevertheless, in most reported Si@C composites, bulk carbon matrices and surface carbon coatings are often introduced simultaneously, which makes it challenging to clearly distinguish their respective contributions to stress buffering and interfacial stabilization. Moreover, these composite powders still rely on slurry processing with polymer binders and metal current collectors, reintroducing inactive components and complex interfaces that can undermine structural integrity.
Consequently, increasing attention has shifted toward binder-free silicon-containing carbon composite electrodes, which eliminate weak organic interfaces and enable more direct pathways for stress transfer and electron transport [15,21,22,23]. Early attempts based on carbon paper scaffolds demonstrated the feasibility of integrated carbon architectures. In some reported systems, resin-derived carbon matrices primarily serve as structural frameworks, while stress buffering and interfacial stabilization remain strongly coupled and difficult to selectively regulate [15,24,25,26]. Binder-free architectures based on integrated carbon frameworks offer an alternative design space, in which these functions can be partially redistributed among distinct structural components. In such systems, conductive carbon scaffolds provide continuous electron pathways and mechanical integrity, while other carbon phases can be selectively engineered to regulate stress accommodation or interfacial behavior. However, in many reported binder-free systems, stress accommodation within the bulk electrode and interfacial stabilization at the silicon surface remain intrinsically coupled, making it difficult to distinguish their individual roles during long-term cycling. Therefore, a binder-free electrode architecture that enables systematic differentiation between bulk stress buffering and particle-level interfacial stabilization remains highly desirable.
Herein, a hierarchically integrated multidimensional carbon framework is proposed for binder-free silicon-containing carbon composite anodes, in which carbon paper, a resin-derived carbon matrix, an interconnected CNT network, and a conformal CVD carbon coating are deliberately assigned distinct structural and interfacial functions. All anode samples are constructed on a carbon paper (CP) substrate, which serves as a binder-free current collector and provides both structural support and electronic conductivity. In this design, the carbon matrix and CNT network primarily accommodate bulk stress and maintain long-range electrical connectivity, while the CVD-derived carbon layer selectively stabilizes the silicon–electrolyte interface at the particle level, enabling an effective differentiation between stress buffering and interfacial stabilization within a single electrode architecture. By systematically comparing four electrodes with distinct carbon configurations (CP-Si@C-1 to CP-Si@C-4), the individual and synergistic effects of each carbon component on electrochemical performance and failure behavior are quantitatively evaluated. Accordingly, CP-Si@C denotes a silicon–carbon composite deposited on carbon paper. This work provides not only a high-performance binder-free Si-C composite anode, but more importantly, a design framework for differentiating coupled degradation mechanisms in complex Si@C systems, offering insights for the rational engineering of long-life silicon-containing carbon composite anodes.

2. Materials and Methods

2.1. Synthesis of CP-Si@C-1/2/3/4

The fabrication of the binder-free multi-carbon composites followed a sequential process designed to integrate multiple carbon functionalities. Spray coating was adopted instead of conventional immersion, as preliminary trials showed that immersion led to severe aggregation and non-uniform silicon distribution. The detailed synthesis steps are as follows:
Synthesis of CP-Si@C-1 and CP-Si@C-3: The Si nanoparticles (~100 nm in diameter, purchased from Hebei Metallurgical Powder Research Institute, China) and phenolic resin were dispersed in ethanol with a fixed mass ratio of 1:1. For the CP-Si@C-3 composite, a fixed amount of CNTs (1 wt.%) was introduced into the slurry prior to spraying [27]. The slurry was sprayed onto a large-area carbon paper (CP) substrate (500 mm × 500 mm) at a rate of 10 mL min−1. The total coating amount was controlled by measuring the weight difference of the substrate before and after spraying, yielding a consistent active layer loading of 0.5 ± 0.05 mg cm−2. To consolidate the coated layers, the substrates underwent hot-pressing at 120 °C under 10 MPa for 2 h, followed by a thermal curing step at 180 °C for 2 h. The carbonization step was conducted in a tube furnace under flowing argon, with the temperature held at 900 °C for 1 h to produce CP-Si@C-1 and CP-Si@C-3.
Synthesis of CP-Si@C-2 and CP-Si@C-4: To engineer the surface interface, a conformal carbon coating was deposited on the CP-Si@C-1 and CP-Si@C-3 substrates via low-pressure chemical vapor deposition (CVD). This CVD process is designed to generate a conformal and ultrathin carbon layer on accessible surfaces within the porous electrode structure, rather than forming a macroscopic top-coating. The process was conducted at 980 °C for 20 min [28]. A gas mixture of propane (C3H8) and argon (Ar) was used as the carbon source and carrier gas, respectively, with a volume ratio of 95:5 (Ar:C3H8) and the system pressure maintained at 0.2 kPa [29]. Propane decomposed at high temperature to form a conformal carbon layer on accessible surfaces within the porous electrode structure. After deposition, the furnace was naturally cooled to room temperature under argon. The resulting composites were designated as CP-Si@C-2 (CVD-coated CP-Si@C-1) and CP-Si@C-4 (CVD-coated CP-Si@C-3). The CVD duration was selected to balance surface sealing and structural flexibility. The samples are denoted as CP-Si@C-1 to CP-Si@C-4, where the index number represents systematic variations in composite design, specifically the presence or absence of carbon nanotube (CNT) reinforcement and CVD carbon coating, as summarized in Table 1.
Sample nomenclature and synthesis rationale: The four CP-Si@C samples are systematically designed to evaluate the individual and combined effects of two key engineering strategies: (1) carbon nanotube (CNT) network reinforcement, and (2) CVD carbon coating. The sample numbers reflect this systematic variation:
CP-Si@C-1 (baseline): RF-resin-derived carbon matrix with Si nanoparticles, without CNT reinforcement or CVD coating. This sample serves as the control baseline for evaluating the effects of subsequent modifications.
CP-Si@C-2: Same as CP-Si@C-1 plus CVD carbon coating. This sample is designed to evaluate the effect of post-pyrolysis CVD treatment while keeping CNT absent, thereby enabling evaluation of the CVD contribution without CNT reinforcement.
CP-Si@C-3: Same as CP-Si@C-1 plus CNT network. This sample incorporates carbon nanotube reinforcement without CVD, demonstrating the advantage of mechanical reinforcement alone.
CP-Si@C-4 (optimized): Combines both CNT reinforcement and CVD coating on the RF-carbon-Si composite. This fully optimized design integrates both structural enhancement (CNTs) and surface engineering (CVD), representing the full integrated sample.

2.2. Materials Characterization

The morphology and microstructure of the obtained samples were examined using scanning electron microscopy (SEM, Nova NanoSEM230 FEI Company, Hillsboro, OR, USA), and transmission electron microscopy (TEM, JEM-2100F operated at 200 kV, JEOL Ltd., Tokyo, Japan). Spatial elemental distribution was determined with energy-dispersive X-ray spectroscopy (EDS, INCA 200, Oxford Instruments, Oxford, UK). X-ray diffraction (XRD, D/max2550PC, Rigaku Ltd., Tokyo, Japan) with Cu Kɑ radiation was employed to identify the crystal structure. XRD measurements were performed directly on intact as-prepared electrodes to preserve the integrated electrode structure. TGA measurements (Netzsc, Selb, Germany) were conducted on whole electrode samples (including the carbon paper substrate) under an O2 atmosphere (room temperature to 900 °C, 5 °C min−1) to reflect the overall electrode composition. The structural characteristics of the carbon components were assessed by Raman spectroscopy LabRAM Aramis, Horiba Jobin Yvon, Paris, France) using a 633 nm laser. The surface chemical states were analyzed by X-ray photoelectron spectroscopy (XPS, K-Alpha, Thermo Fisher Scientific, Waltham, MA, USA).

2.3. Electrochemical Measurements

The binder-free composites (CP-Si@C-1, CP-Si@C-2, CP-Si@C-3, and CP-Si@C-4) were directly punched into 12 mm diameter discs to be used as working electrodes without any additional conductive agent or polymeric binder. Throughout this work, the specific capacity of CP-Si electrodes was calculated based solely on the mass of the active material layer, excluding the carbon paper substrate. The average mass of 12 mm CP discs was determined from 15 independently weighed samples. The active material loading was calculated by subtracting this average CP mass from the total mass of the coated electrode. The incorporation of CNTs and the CVD-derived carbon layer resulted in a slight mass increase, but the final mass loading for all electrode discs remained within 0.5 ± 0.05 mg cm−2. For the bare carbon paper control experiment, the specific capacity was normalized to the mass of the carbon paper itself to evaluate its background electrochemical contribution. The CR2032 coin type cells were assembled in an argon-filled glove box (H2O, O2 < 0.1 ppm). Lithium metal served as the counter electrode, with Celgard 2325 as the separator. The electrolyte consisted of 1M LiPF6 in ethylene carbonate (EC)/dimethyl carbonate (DMC)/diethyl carbonate (DEC) (1:1:1 by volume) containing 10 wt.% fluoroethylene carbonate (FEC) additive. All electrochemical measurements were conducted under identical electrolyte conditions to ensure consistent comparison among different electrodes. Cyclic voltammetry (CV) was performed on a CHI 660E electrochemical workstation at scan rates ranging between 0.2 and 1.0 mV s−1. Electrochemical impedance spectroscopy (EIS) measurements were carried out on the same workstation, covering a frequency range from 100 kHz to 0.01 Hz. The galvanostatic intermittent titration technique (GITT) was performed on the Land system. Prior to testing, all cells underwent an activation procedure of 3 cycles at 0.1 C. The measurement consisted of a series of current pulses at 0.1 C for 10 min, followed by a 90 min relaxation period under an open-circuit state. This protocol ensures the establishment of quasi-equilibrium potentials [30,31].

3. Results and Discussion

3.1. Structural Design and Characterization of the Multidimensional Carbon Framework

Four distinct electrode architectures were constructed, as depicted in Scheme 1, with systematically varied carbon configurations to examine the respective roles of internal conductive networks and external interfacial protection. The baseline sample, denoted as CP-Si@C-1, consists of silicon nanoparticles embedded in a porous resin-derived carbon matrix supported by a carbon paper (CP) scaffold. To introduce interfacial stabilization at the electrode surface, a conformal carbon layer was deposited via chemical vapor deposition, resulting in the CP-Si@C-2 electrode. In parallel, the influence of long-range electronic conductivity and mechanical reinforcement was investigated by incorporating a carbon nanotube (CNT) network into the composite structure, yielding the CP-Si@C-3 electrode. Finally, the CP-Si@C-4 electrode integrates both the internal CNT network and the external CVD-derived carbon coating, forming a hierarchically reinforced architecture that combines bulk structural support with surface-level protection.
Figure 1 presents the surface and cross-sectional SEM images of the four binder-free electrodes at different magnifications, illustrating the morphological variations induced by different carbon configurations. At low magnification (Figure 1a–d), all electrodes exhibit continuous composite layers integrated with the carbon paper substrate, while distinct surface features can be observed among different samples. The CP-Si@C-1 electrode shows a relatively smooth surface, with limited protrusions, indicating a continuous resin-derived carbon matrix covering the embedded silicon particles. In contrast, the CP-Si@C-2 electrode displays a comparatively rougher surface with more pronounced height variations, reflecting increased surface roughness compared with CP-Si@C-1. For the CNT-containing electrodes, the CP-Si@C-3 electrode displays discernible surface agglomerates. These agglomerates are relatively uniformly distributed. In the CP-Si@C-4 electrode, a higher density of small surface features with noticeable size dispersion is observed, resulting in a more heterogeneous surface morphology compared with CP-Si@C-3.
High-magnification images (Figure 1e–h) further reveal surface details. The CP-Si@C-1 electrode exhibits a homogeneous surface and most silicon particles are embedded within the carbon matrix, with minimal height contrast. In the CP-Si@C-2 electrode, a large fraction of protruding silicon particles is observed, accompanied by increased topographic contrast and increased height differences. In the CP-Si@C-3 electrode, carbon nanotubes are clearly observed, with some CNTs exposed at the surface while others are embedded within the composite layer, indicating partial outward extension of the CNT network. The CP-Si@C-4 electrode shows a combination of protruding particles and visible CNT features and reflects the coexistence of multiple carbon components at the electrode surface.
Cross-sectional SEM images (Figure 1i–l) provide insight into the internal structure of the electrodes. In the CP-Si@C-1 electrode, the active material layer is continuously distributed along the carbon paper fibers, suggesting relatively uniform dispersion of silicon within the electrode interior. Compared with CP-Si@C-1, the CP-Si@C-2 electrode exhibits a thinner cross-section and an additional porous, fluffy-like surface region is observed. The CP-Si@C-3 electrode shows effective penetration of active materials into the carbon paper framework, forming an interconnected internal architecture, while maintaining composite layer thickness comparable to that of CP-Si@C-1. For CP-Si@C-4, the active materials are also uniformly distributed within the electrode interior, and the overall cross-section thickness is similar to that of CP-Si@C-2. In both CP-Si@C-2 and CP-Si@C-4, the fluffy-like surface layer is likely attributed to heterogeneous carbon deposition during the CVD process. The deposited carbon does not appear as a distinct, thick carbon shell, but rather as an ultrathin interfacial modification layer, a feature commonly observed in CVD-derived carbon coating [29]. However, its exact origin cannot be unambiguously determined based on the current SEM. Minor voids observed in localized regions are likely introduced during sample fracture and do not necessarily indicate intrinsic interfacial instability.
TEM images of CP-Si@C-1/2/3/4 were employed to investigate the nanoscale structure of the selected electrodes, as shown in Figure 2. In Figure 2a, silicon nanoparticles in the CP-Si@C-1 sample are embedded within an amorphous carbon matrix, forming close physical contact. Clear interfaces between crystalline silicon and surrounding carbon can be distinguished, indicating that the carbon coating primarily originates from resin carbonization rather than from a conformal vapor-deposited layer. This observation is consistent with the spray-infiltrated composite structure described above. Additional TEM images are provided in the Supplementary Materials (Figures S1–S3).
The CP-Si@C-3 sample (Figure 2b) reveals the presence of carbon nanotubes spanning across adjacent silicon domains. These CNTs act as conductive bridges between discrete particles, while silicon nanoparticles remain partially exposed within the composite. The spatial distribution of CNTs appears heterogeneous, which is consistent with the tendency of one-dimensional nanomaterials to locally aggregate during composite fabrication. In CP-Si@C-4 (Figure 2c), a more integrated nanoscale architecture is observed, where silicon particles, CNTs, and amorphous carbon are embedded within a continuous carbon framework. Although the amorphous carbon layers are difficult to resolve directly due to limited contrast, the coexistence of multiple carbon components leads to less sharply defined particle boundaries compared with CP-Si@C-1 and CP-Si@C-3. Figure 2d reveals distinct lattice fringes indicative of crystalline silicon and graphitic carbon. The measured interplanar spacings of approximately 0.19 nm and 0.33 nm can be assigned to the (220) planes of crystalline Si and the (002) planes of graphitic carbon, respectively. These results support the coexistence of crystalline silicon and graphitized carbon domains within the composite electrode. The spatial distributions of silicon and carbon in the CP-Si@C-4 electrode were visualized via TEM-EDS elemental mapping (Figure 2e). This homogeneous distribution of Si and C indicates close contact at the interface. This observation confirms the intimate mixing of silicon and carbon phases at the nanoscale, which is consistent with the designed composite architecture.
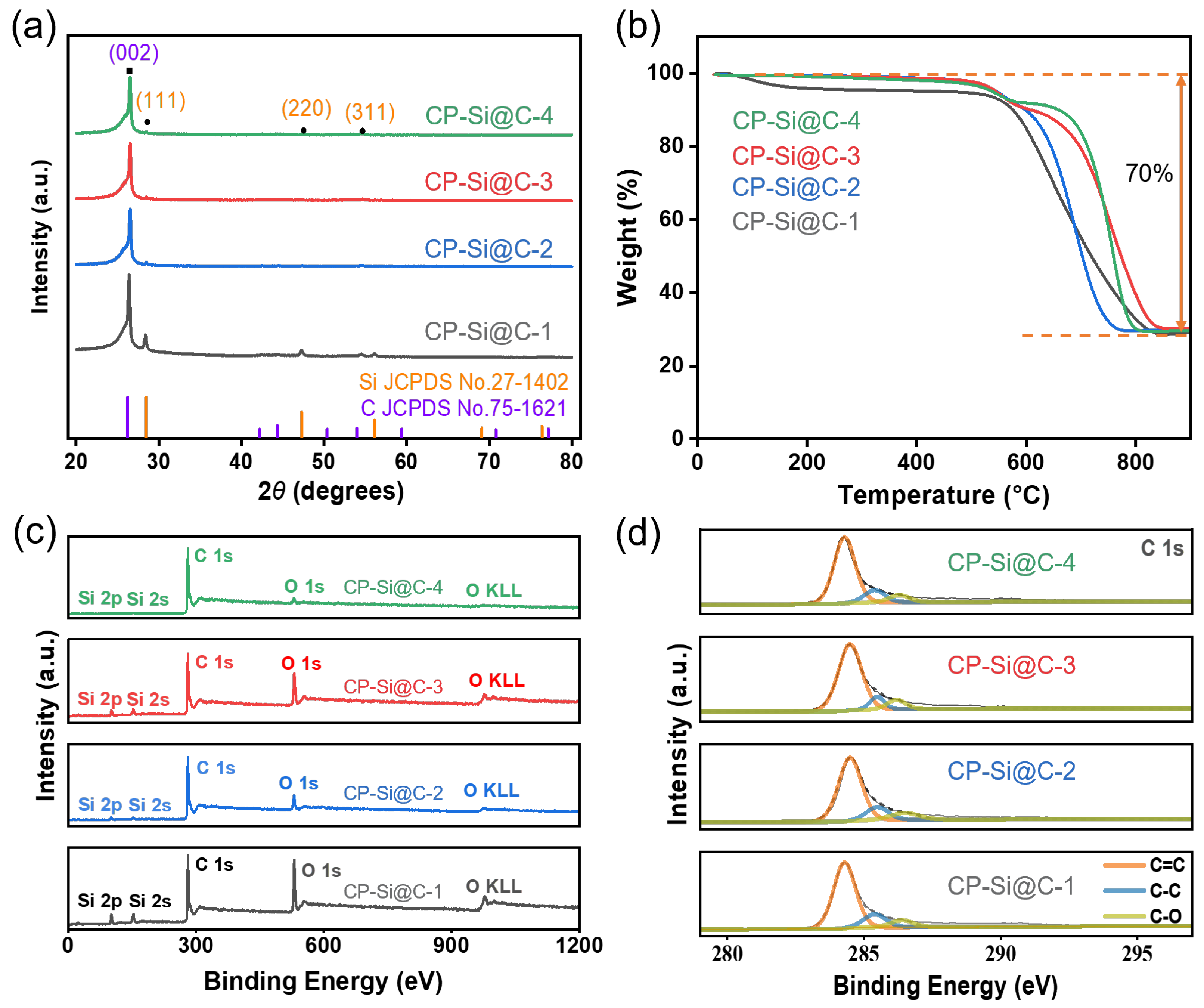
X-ray diffraction (XRD) was used to determine the phase composition of the binder-free electrodes (Figure 3a). As shown in Figure 3a, the CP-Si@C-1 electrode exhibits clearly identifiable diffraction peaks at 2θ ≈ 28.4° (111), 47.3° (220), and 56.1° (311), which can be indexed to crystalline cubic silicon (JCPDS #27-1402). For CP-Si@C-2 and CP-Si@C-3, the Si (111) reflection remains detectable, whereas higher-order reflections (220) and (311) become significantly weaker. In the CP-Si@C-4 electrode, the Si diffraction features are further attenuated and approach the detection limit. The attenuation of Si diffraction features does not indicate the disappearance of silicon but rather reflects the increasing relative contribution of the graphitic carbon substrate and the limited mass fraction of the Si-containing coating layer in the intact electrode configuration. The broad background observed at low diffraction angles (2θ < 30°) originates from amorphous carbon components. A diffraction peak at 2θ ≈ 26°, corresponding to the (002) plane of graphitic carbon, is observed in all samples and is mainly associated with the graphitic domains of the carbon paper substrate, which possesses graphitic domains formed during its manufacturing process. Importantly, within the active composite layer (Si@C coating), the carbon phases are predominantly disordered, as confirmed by Raman spectroscopy (Figure 4), which shows high ID/IG ratios (>1.0). This structural disorder in the active layer is consistent with the carbonization (900 °C) and CVD conditions (980 °C, 20 min, low pressure) employed in this study, both of which favor amorphous carbon formation in the deposited coating rather than graphitization.
The thermogravimetric analysis (TGA) curves (Figure 3b) show a final residual mass of approximately 30 wt.% for the CP-Si@C composites. It is important to note that the TGA samples comprised the entire electrode piece, including the carbon paper substrate. Therefore, the TGA profile shown in Figure 3b primarily reflects the thermal behavior of the carbon paper substrate rather than the active layer alone. The substantial weight loss between 400–800 °C is predominantly due to combustion of the carbon paper, while the active Si@C coating contributes a smaller fraction. The plateau observed above 800 °C indicates complete carbon combustion, with the residue consisting of SiO2 (oxidation product of Si nanoparticles) and trace inorganic impurities from the carbon paper. When the mass contribution of the carbon paper substrate is taken into account, the nominal silicon fraction in the active composite layer is 50 wt.% based on the precursor mass ratio (Si:RF resin precursor = 1:1). The lower apparent silicon content (~30 wt.%) derived from the overall TGA curve of intact electrodes therefore reflects a dilution effect caused by the mass dominance of the carbon paper substrate, rather than a low silicon fraction in the active composite layer. This distinction is important for interpreting the electrochemical performance on a per-active-material basis.
X-ray photoelectron spectroscopy (XPS) survey spectra were employed to probe the surface chemical composition of the electrodes (Figure 3c). The survey spectra reveal the presence of Si, C, and O signals in all samples. A gradual increase in the relative intensity of the C signal, accompanied by a corresponding decrease in the Si signal, is observed from CP-Si@C-1 to CP-Si@C-4, indicating enhanced surface carbon coverage after CNT incorporation and CVD treatment. This trend suggests that silicon surfaces are increasingly shielded by carbon components, which may influence interfacial reactions during electrochemical cycling. High-resolution C 1s spectra (Figure 3d) provide further insight into the bonding states of carbon. The spectra can be deconvoluted into contributions from C–C/C=C, C–O, and O–C=O species. With increasing structural complexity, the relative contribution of sp2-bonded carbon (C–C/C=C) becomes more pronounced, while oxygen-containing functional groups remain detectable. These results indicate the coexistence of multiple carbon components with distinct bonding environments, rather than the formation of a single, highly graphitized carbon phase (high-resolution Si 2p spectra are shown in Figure S4).
The structural nature of the carbon components was investigated using Raman spectroscopy (Figure 4a–d). Characteristic D and G bands, located near 1350 and 1580 cm−1, respectively, are present in all spectra, supporting the co-existence of predominantly disordered carbon with localized graphitized domains. The absence of sharp 2D bands suggests that the carbon phases possess limited long-range graphitic order. The intensity ratio of the D band to the G band (ID/IG) together with a large full width at half maximum of the G band (FWHMG = 193 cm−1), varies among the samples, reflecting differences in defect density and structural disorder. Compared with CP-Si@C-1, the samples incorporating CNTs or subjected to CVD treatment exhibit moderate changes in ID/IG values, suggesting that the introduction of additional carbon components alters the local carbon structure without inducing extensive graphitization. The relative intensity of the 2D band (I2D/IG) remains low for all electrodes, further supporting that highly ordered graphitic domains are not dominant. Notably, CP-Si@C-4 shows a slightly enhanced but still weak 2D contribution compared with the other samples, which may be associated with the presence of CNTs and CVD-derived carbon. However, this enhancement remains limited, indicating that the carbon framework retains a predominantly disordered nature.
In addition to intensity ratios, the full width at half maximum of the G band (FWHMG) was analyzed to assess structural heterogeneity. The CP-Si@C-4 electrode exhibits a relatively narrower G band compared with CP-Si@C-1, suggesting a more uniform carbon environment resulting from the integration of multiple carbon sources. These observations suggest that structural modulation occurs without inducing extensive graphitization.

3.2. Electrochemical Behavior and Kinetic Analysis

The electrochemical behaviors of the four binder-free electrodes were first evaluated by cyclic voltammetry (CV) at 0.2 mV s−1 (Figure 5a–d). It is worth noting that all electrodes were tested under identical electrolyte conditions containing FEC; therefore, the observed performance differences can be attributed primarily to electrode architecture rather than electrolyte effects. During the first cathodic sweep, a broad reduction feature appears below 0.8 V for all samples, which can be attributed to electrolyte decomposition and the initial formation of the SEI [32]. The intensity of this feature diminishes considerably in subsequent cycles, suggesting progressive stabilization of the electrode–electrolyte interface. A distinct cathodic feature observed below 0.2 V during lithiation may arise from overlapping contributions, including lithium insertion into disordered carbon domains (and/or surface-related storage within the conductive carbon framework) as well as Li-Si alloying reactions. Conversely, the anodic scans show a broad anodic oxidation feature centered around 0.35–0.55 V, which is generally associated with the dealloying of LixSi phases, and is commonly regarded as indicative of silicon participation [33,34]. It should be noted that the anodic features associated with Li-Si dealloying appear as broad peaks in the CV profiles due to the overlapping nature of multiple phase transitions and kinetic dispersion under continuous potential sweep. As a result, individual delithiation steps (e.g., those occurring near ~0.44 V) may not manifest as well-resolved discrete peaks in CV curves, whereas under galvanostatic conditions, the same processes can be expressed as discernible voltage plateaus or shoulders owing to the quasi-equilibrium nature of constant-current operation. Although carbon components may contribute to charge storage in a similar low-voltage region, the evolution and reversibility of these anodic features together with the corresponding charge–discharge profiles suggest that Si-related alloying/dealloying reactions make a major contribution to the overall electrochemical response in the CP-Si@C electrodes. Among the four electrodes, CP-Si@C-4 exhibits the highest degree of overlap between successive CV curves, suggesting enhanced electrochemical reversibility and improved interfacial stability after the initial activation process.
The first-cycle galvanostatic charge–discharge profiles of the four electrodes are shown in Figure 5e. All samples exhibit sloping voltage features consistent with silicon lithiation during discharge at (~0.1–0.2 V) and delithiation during charge at (~0.3–0.5 V), in good agreement with the CV results. Although carbonaceous components can contribute to charge storage in a similar low-voltage range, the absence of pronounced low-potential plateaus below 0.1 V-typically associated with staged graphite intercalation-suggests that silicon alloying/dealloying reactions contribute significantly to the overall electrochemical response, while graphite-like lithium intercalation appears limited under the present electrode configuration. The multi-step voltage profiles are consistent with the sequential formation of various Li-Si alloy phases (e.g., Li12Si7, Li7Si3, Li15Si4), distributed over a range of potentials during lithiation [34]. Among the four electrodes, CP-Si@C-4 delivers a higher reversible capacity while maintaining a favorable initial Coulombic efficiency (ICE). The ICE increases progressively from 80.6% for CP-Si@C-1, to 84.0% for CP-Si@C-2, 83.8% for CP-Si@C-3, and reaches 86.3% for the fully integrated CP-Si@C-4, indicating increasingly suppressed irreversible lithium consumption during the first cycle. The evolution of voltage profiles over the first three cycles for CP-Si@C-4 is shown in Figure 5f. The gradual reduction in voltage hysteresis and the preservation of characteristic lithiation/delithiation features upon cycling indicate the establishment of a more stable electrochemical environment during repeated operation, consistent with the improved reversibility observed in the corresponding CV curves (Figure 5d).
The cycling performances of the four electrodes with distinct carbon configurations were evaluated at 0.2 and 2 A g−1 (Figure 6a,b). At 0.2 A g−1 (Figure 6a), the baseline CP-Si@C-1 electrode underwent rapid capacity fade shortly after the initial cycles, decaying to approximately 1250 mA h g−1 and eventually reaching 573.4 mA h g−1 (~26% capacity retention). In comparison, the CP-Si@C-2 electrode and the CP-Si@C-3 electrode exhibited more gradual degradation, with final capacities of 1179.1 mA h g−1 (~48% retention) and 1021.1 mA h g−1 (~37% retention), respectively. In stark contrast, the fully integrated CP-Si@C-4 electrode exhibits an activation-type capacity evolution. Its capacity decreases moderately during the early cycles, followed by a gradual recovery and stabilization at a high reversible level. This non-monotonic trend can be rationalized as an electrochemical utilization evolution process rather than irreversible degradation. During the initial stage, rapid SEI formation and interfacial reorganization on silicon surfaces may temporarily increase interfacial resistance and reduce the electrochemical accessibility of part of the silicon domains, leading to an apparent capacity decrease. In the subsequent stage, progressive electrolyte wetting of the hierarchical porous structure and gradual establishment of continuous ion/electron transport pathways within the integrated carbon framework can improve utilization efficiency, enabling previously under-utilized silicon regions to participate more effectively in reversible alloying/dealloying. Upon extended cycling, the interface approaches a more dynamically equilibrated state, and the mechanically reinforced carbon framework helps mitigate contact loss induced by repeated volume changes, thereby supporting sustained capacity retention. Such activation-type evolution has been reported in engineered porous Si@C electrodes with flexible conductive networks, where capacity recovery is typically associated with progressively improved utilization and interfacial stabilization rather than generation of capacity beyond the theoretical contribution of silicon [17,35,36]. The performance differences were more pronounced at the high rate of 2 A g−1 (Figure 6b). CP-Si@C-4 delivered the highest initial capacity (~2217.9 mA h g−1), which includes irreversible contributions associated with SEI formation and interfacial reactions in the first cycle and maintained 1600.7 mA h g−1 after extended cycling. It should be noted that all capacities are normalized to the total active composite mass (Si + carbon components), rather than to pure silicon mass. While CP-Si@C-2 and CP-Si@C-3 showed higher initial capacities than CP-Si@C-1, they still underwent significant decay, highlighting that single-component reinforcement is insufficient to sustain long-term stability under high-stress conditions.
Rate capability was tested from 0.1 to 3 A g−1 (Figure 6c). While CP-Si@C-4 demonstrated outstanding rate capability, the highest capacity at the most demanding rate of 3 A g−1 is delivered by CP-Si@C-3, indicating the kinetic advantage of the CNT network in the absence of a dense surface coating. Upon returning to 0.1 A g−1, the capacity recovered most fully for CP-Si@C-2. The robust recovery of all composites, particularly CP-Si@C-4, signifies good structural and interfacial reversibility. The comparative behavior highlights a trade-off between rate performance and long-term structural stabilization among different carbon configurations. Additionally, the long-term cycling stability of the sample was assessed at 2 A g−1 for up to 1000 cycles (Figure 6d). The CP-Si@C-4 electrode delivers a stable capacity of ~990 mAh g−1 at 2 A g−1. Control experiments using bare carbon paper electrodes (Figures S5 and S6) exhibit negligible capacity (~35 mAh g−1), confirming that the observed electrochemical performance originates predominantly from the Si@C composite layer rather than the substrate. The absence of sudden capacity failure over prolonged cycling suggests that the integrated carbon framework effectively mitigates cumulative mechanical degradation under repeated lithiation/delithiation. Taken together, these results indicate that the CVD-derived carbon layer enhances long-term structural stability, while slightly increasing interfacial resistance at high rates.
To elucidate the charge-storage kinetics, CV was performed on CP-Si@C-4 at varying scan rates (0.2–1.0 mV s−1, Figure 7a). As the scan rate increases, the peak currents increase systematically while the overall CV profiles retain similar shapes, indicating stable electrochemical behavior over the investigated scan-rate range. The dependence of peak current (i) on scan rate (v) follows the power-law equation:
i =   a v b
Based on this relationship, charge-storage processes are distinguished by the b-value, where b ≈ 0.5 characterizes diffusion-controlled behavior, and b ≈ 1.0 indicates capacitive (surface-controlled) process [37]. Linear fitting of the anodic peak data yields a b-value of approximately 0.69 (Figure 7b), suggesting a mixed charge-storage mechanism with contributions from both diffusion-controlled and surface-controlled processes.
The capacitive and diffusion-controlled current contributions were further deconvoluted using an established method (Figure 7c). At a scan rate of 1.0 mV s−1, the capacitive contribution accounted for approximately 35% of the total current, while the remaining ~65% originates from diffusion-controlled processes. The evolution of normalized contribution ratios as a function of scan rate (Figure 7d) reveals a gradual increase in the capacitive contribution with increasing scan rate, which is consistent with a conductive carbon framework that facilitates surface-related charge storage at higher sweep rates.
The interfacial resistance was assessed by electrochemical impedance spectroscopy (EIS), as presented in Figure 8a. The spectra reveal a depressed semicircular arc in the high-to-medium frequency region followed by a linear tail at low frequency, which are commonly associated with charge-transfer processes and lithium-ion diffusion behavior, respectively. The diameter of the semicircle decreases progressively from CP-Si@C-1 (75.8 Ω) to CP-Si@C-4 (15.7 Ω), with intermediate values of 51.3 Ω for CP-Si@C-2 and 23.2 Ω for CP-Si@C-3, indicating a continuous reduction in charge-transfer resistance after CNT reinforcement and subsequent CVD carbon coating, which facilitates faster interfacial electrochemical reactions. Notably, the Nyquist spectra of all four electrodes are composed of the same characteristic features, without the appearance of additional semicircles or extra time constants after CVD treatment, indicating that the fundamental electrochemical processes remain unchanged across the samples. The low-frequency linear tail is attributed to diffusion-related impedance within the composite electrode, and the variation in its extent reflects differences in lithium-ion transport efficiency rather than a change in the underlying diffusion mechanism. These results demonstrate that the introduction of CNT networks and conformal CVD carbon layers effectively regulates interfacial charge-transfer kinetics and ion-transport behavior while preserving the intrinsic electrochemical reaction pathways of the binder-free Si@C architecture.
The lithium-ion diffusion kinetics were further examined via the galvanostatic intermittent titration technique (GITT). A representative voltage transient during a single titration step is illustrated in Figure 8b, where Δ E τ and Δ E s denote the total transient voltage change and the steady-state voltage change, respectively. The complete GITT profiles over the full lithiation/delithiation process are provided in Figure S7. The Li+ diffusion coefficient (DLi+) was calculated based on Fick’s second law [38]:
D L i + = 4 π τ ( m B V M M B S ) 2 ( Δ E s Δ E τ ) 2
where τ , m B , V M , M B , and S represent the current pulse duration, the mass of active material, the molar volume and molar mass of the electrode material, and the electrochemically active surface area, respectively. It should be noted that, for porous and binder-free electrodes with complex internal architectures, the absolute values of DLi+ are subject to uncertainty due to the difficulty in precisely defining the effective active surface area. Therefore, the DLi+ values discussed here are primarily used for comparative analysis among samples measured under identical conditions. The calculated DLi+ values during lithiation and delithiation as a function of state of charge are shown in Figure 8c. The potential profiles exhibit clear voltage relaxation behavior after each current interruption, suggesting quasi-equilibrium conditions during the GITT measurements [39]. The diffusion coefficients vary systematically with lithiation state, reflecting the phase evolution and structural dynamics of silicon during cycling. Across a broad composition range, CP-Si@C-4 consistently maintains higher apparent DLi+ values compared with the other electrodes, indicating more favorable lithium-ion transport kinetics. This trend can be attributed to the integrated multidimensional carbon framework, which preserves continuous ion-transport pathways and mitigates diffusion limitations induced by mechanical degradation. It should be noted that the absolute DLi+ values are subject to uncertainties associated with electrode geometry and effective active surface area; therefore, the GITT-derived diffusion coefficients are primarily interpreted in a comparative manner among different electrode architectures.

3.3. Post-Cycling Structural Evolution and Failure Mode Analysis

The SEM images of CP-Si@C-1/2/3/4 electrodes after 200 cycles at 2 A g−1 are displayed in Figure 9. The CP-Si@C-1 electrode (Figure 9a,e,i) exhibits severe surface fracture and extensive structural disruption, accompanied by pronounced crack formation and partial delamination from the carbon paper substrate. The cross-sectional image reveals collapse and discontinuity within the active layer, indicating significant mechanical degradation induced by repeated silicon volume changes during cycling. In contrast, the surfaces of CP-Si@C-2, CP-Si@C-3, and CP-Si@C-4 samples (Figure 9b–d) retain relatively continuous surface morphologies at low magnification, suggesting that the introduction of additional carbon components mitigates large-scale structural failure. Nevertheless, localized degradation features become apparent at higher magnification (Figure 9e–h). For the CP-Si@C-2 electrode, surface cracks are clearly observed, and the corresponding cross-sectional image (Figure 9j) reveals the presence of internal voids near the bottom region of the active layer, which are indicative of partial interfacial detachment between silicon-rich domains and the underlying conductive scaffold during prolonged cycling.
The CP-Si@C-3 electrode displays more pronounced surface roughening and crack development compared with CP-Si@C-2, accompanied by noticeable surface height variations. Such morphological features suggest ongoing surface reactions and progressive material redistribution during repeated lithiation/delithiation. The cross-sectional view (Figure 9k) further indicates localized separation within the active layer, implying that while the CNT network enhances electrical connectivity, it alone is insufficient to fully suppress mechanically driven structural evolution under long-term cycling. Compared with CP-Si@C-2 and CP-Si@C-3, the CP-Si@C-4 electrode (Figure 9d,h,l) exhibits fewer visible surface cracks and a more coherent cross-sectional architecture. Although minor morphological irregularities remain, large-scale collapse or complete delamination is largely absent. These observations suggest that the cooperative integration of CNT networks and a CVD-derived carbon coating contribute to maintaining both surface integrity and internal structural continuity during extended cycling, thereby alleviating—but not entirely eliminating—mechanical degradation. Although quantitative metrics such as crack density or thickness variation were not extracted, the SEM observations are consistent with the electrochemical trends and impedance evolution discussed above.
Based on the above post-cycling SEM observations, the dominant structural degradation pathways of different electrode architectures can be summarized as illustrated in Scheme 2. Scheme 2 schematically illustrates the distinct structural degradation tendencies of the binder-free electrodes during prolonged cycling. In CP-Si@C-1, the lack of sufficient internal stress accommodation is associated with pronounced particle pulverization, surface fracture, and progressive collapse of the electrode framework. For CP-Si@C-2, the introduction of a conformal carbon layer suppresses large-scale surface disintegration; however, stress accumulation within the electrode interior is accompanied by partial detachment of silicon-rich regions from the conductive scaffold, leading to the formation of internal voids. In CP-Si@C-3, the incorporation of CNTs improves electrical connectivity but results in a more heterogeneous internal structure. Repeated electrochemical reactions are accompanied by surface roughening and localized material loss, while partial internal detachment remains observable after extended cycling. In contrast, CP-Si@C-4 exhibits a more integrated structural response, in which the cooperative presence of CNT networks and CVD-derived carbon facilitates stress redistribution and provides redundant conductive pathways. As a result, both surface fracture and internal detachment are mitigated, thereby delaying the onset of severe structural degradation during long-term cycling.
As summarized in Table 2, the CP-Si@C-4 electrode demonstrates a favorable balance between initial Coulombic efficiency (ICE) and long-term cycling stability. It should be emphasized that the present areal loading was not intended to represent an optimized practical electrode, but rather to enable a clear examination of structural and interfacial effects under well-controlled conditions. Compared with electrospun Si@CNF composites [40], which exhibit comparable ICE (84.4%) and reversible capacity (~992 mAh g−1), CP-Si@C-4 maintains stable cycling over 1000 cycles, whereas the reported Si@CNF electrode shows a shorter cycling lifespan of 200 cycles under comparable conditions. Relative to spray-coated rGO/Si thin films [24], CP-Si@C-4 exhibits a substantially higher ICE (86.3% vs. 60.5%) and markedly extended cycling stability (1000 vs. 50 cycles). When compared with the CNT-rGO/Si buckypaper [15], CP-Si@C-4 retains a higher reversible capacity after extended cycling, highlighting the advantage of the integrated multidimensional carbon framework. These performance differences are consistent with the cooperative effects of CNT-mediated stress buffering and CVD-derived interfacial stabilization, which together help alleviate progressive structural degradation and interfacial instability during long-term cycling. It should be noted that differences in testing protocols and cell configurations among literature reports may influence absolute values; therefore, this comparison emphasizes relative trends in ICE and cycling durability.
It is worth noting that the areal loading in this work (0.5 ± 0.05 mg cm−2) was intentionally maintained at a moderate level to focus on the effects of the multidimensional carbon framework and to minimize mass-transport limitations that could obscure mechanistic interpretation. Nevertheless, the demonstrated stability over 1000 cycles in a half-cell configuration, together with a high ICE of 86.3%, suggests the scalability potential of the spray-assisted synthesis and CVD modification strategy. The present study does not aim to provide a cost or throughput analysis but instead focuses on establishing structure–property relationships that can inform future scale-up efforts. Future efforts will focus on increasing the areal loading toward more practical values, exploring full-cell configurations, and employing advanced operando characterization techniques to further elucidate the structural evolution and degradation mechanisms during cycling.

4. Conclusions

In this work, a binder-free silicon-containing carbon composite anode reinforced by an integrated multidimensional carbon framework was successfully developed through the rational combination of carbon paper, carbon nanotube networks, and conformal CVD-derived carbon coating. Benefiting from the synergistic effects of these carbon components, the optimized CP-Si@C-4 electrode exhibits significantly enhanced electrochemical performance, including high reversible capacity, excellent rate capability, and remarkable long-term cycling stability. Electrochemical analyses demonstrate that the improved performance originates from reduced charge-transfer resistance, facilitated lithium-ion transport, and a stabilized interfacial environment, rather than from changes in the fundamental lithiation/delithiation mechanism of silicon. Beyond the performance improvement, this study provides important scientific insights into the role of multidimensional carbon architectures in regulating silicon-containing carbon composite anode behavior. By functionally differentiating and coordinately integrating the roles of electronic conduction, mechanical buffering, and interfacial modulation within distinct carbon components, the multidimensional carbon framework enables efficient charge transport, suppresses interfacial degradation, and maintains stable electrochemical reaction pathways during prolonged cycling. This design philosophy offers a general and scalable strategy for constructing high-performance binder-free electrodes and highlights the critical importance of interface-dominated engineering in advanced silicon-based anodes. The concept demonstrated here is expected to inspire the rational design of next-generation electrode architectures for high-energy-density lithium-ion batteries and related energy storage systems.

Supplementary Materials

The following supporting information can be downloaded at: https://www.mdpi.com/article/10.3390/en19051263/s1, Figure S1. TEM image of bare Si. Figure S2. TEM image of CNTs. Figure S3. TEM image of CP-Si@C-2. Figure S4. Si 2p fitted curves in XPS spectra showing fitted curves of CP-Si@C-1, CP-Si@C-2, CP-Si@C-3, and CP-Si@C-4. Figure S5. Long-term cycling performance of the bare carbon paper (CP) substrate at 2 A g−1. Figure S6. Galvanostatic charge-discharge voltage profile of a bare carbon paper electrode measured under the same electrochemical conditions as the CP-Si@C electrodes Figure S7. GITT curves of CP-Si@C-4 anode.

Author Contributions

Conceptualization, M.Z. and D.G.; methodology, D.G. and X.W.; validation, D.G. and P.X.; data curation, D.G. and X.W.; writing—original draft preparation, D.G.; writing—review and editing, D.G. and W.Z.; visualization, D.G. and W.Z.; supervision, M.Z.; funding acquisition, M.Z. All authors have read and agreed to the published version of the manuscript.

Funding

This research was funded by Rollin New Materials Co., Ltd., grant number HKF202500646, the Changsha Major Project, China, grant number No.kh2205040 and the APC was funded by MDPI.

Data Availability Statement

The original contributions presented in this study are included in the article/Supplementary Material. Further inquiries can be directed to the corresponding author.

Conflicts of Interest

The authors declare no conflicts of interest. The authors declare that this study received funding from Rollin New Materials Co., Ltd. The funder was not involved in the study design, collection, analysis, interpretation of data, the writing of this article, or the decision to submit it for publication.

Abbreviations

The following abbreviations are used in this manuscript:
CNTCarbon Nanotube
CPCarbon Paper
CVCyclic Voltammetry
CVDChemical Vapor Deposition
DECDiethyl Carbonate
DMCDimethyl Carbonate
ECEthylene Carbonate
EDSEnergy-Dispersive X-ray spectroscopy
EISElectrochemical Impedance Spectroscopy
FECFluoroethylene Carbonate
FWHMGFull Width at Half Maximum of the G band
GITTGalvanostatic Intermittent Titration Technique
ICEInitial Coulombic Efficiency
LIBLithium-Ion Batteries
RFResorcinol–Formaldehyde
SEISolid-Electrolyte Interphase
SEMScanning Electron Microscopy
TEMTransmission Electron Microscopy
TGAThermogravimetric Analysis
XPSX-ray Photoelectron Spectroscopy
XRDX-ray Diffraction

References

  1. Wang, T.T.; Wang, Z.L.; Li, H.Y.; Cheng, L.; Wu, Y.T.; Liu, X.; Meng, L.C.; Zhang, Y.; Jiang, S. Recent status, key strategies, and challenging prospects for fast charging silicon-based anodes for lithium-ion batteries. Carbon 2024, 230, 119615. [Google Scholar] [CrossRef]
  2. Alonso-Sánchez, P.; Hua, W.C.; Thangaian, K.; Vullum, P.E.; Karlsen, J.T.A.; Svensson, A.M.; Vullum-Bruer, F.; Campo, J.; Cova, F.; Blanco, M.V. Mitigating Silicon Amorphization in Si-Gr Anodes: A Pathway to Stable, High-Energy Density Anodes for Li-Ion Batteries. Small 2025, 21, e2504704. [Google Scholar] [CrossRef]
  3. Hossain, M.A.M.; Hannan, M.A.; Ker, P.J.; Tiong, S.K.; Salam, M.A.; Abdillah, M.; Mahlia, T.M.I. Silicon-based nanosphere anodes for lithium-ion batteries: Features, progress, effectiveness, challenges, and prospects. J. Energy Storage 2024, 99, 113371. [Google Scholar] [CrossRef]
  4. Abdollahifar, M.; Cavers, H.; Scheffler, S.; Diener, A.; Lippke, M.; Kwade, A. Insights into Influencing Electrode Calendering on the Battery Performance. Adv. Energy Mater. 2023, 13, 2300973. [Google Scholar] [CrossRef]
  5. Adhitama, E.; Bela, M.M.; Demelash, F.; Stan, M.C.; Winter, M.; Gomez-Martin, A.; Placke, T. On the Practical Applicability of the Li Metal-Based Thermal Evaporation Prelithiation Technique on Si Anodes for Lithium Ion Batteries. Adv. Energy Mater. 2023, 13, 2203256. [Google Scholar] [CrossRef]
  6. Zhang, B.G.; Wu, L.; Yang, X.Y.; Liu, Y.; Li, J.W.; Chen, R.S.; Ma, F.; Hu, Y. Interface engineering-induced built-in electric field enhances charge-transfer kinetics in centimeter-sized silicon anodes for lithium-ion batteries. J. Mater. Sci. Technol. 2025, 237, 1–9. [Google Scholar] [CrossRef]
  7. Ahad, S.A.; Kennedy, T.; Geaney, H. Si Nanowires: From Model System to Practical Li-Ion Anode Material and Beyond. Acs Energy Lett. 2024, 9, 1548–1561. [Google Scholar] [CrossRef]
  8. Amin, A.; Loewenich, M.; Grebener, L.; Hammad, M.; Heckenbach, S.; Kränbring, M.A.; Odungat, A.S.; Ladole, A.H.; Nguyen, T.B.; Schwabenland, D.; et al. Impact of Supraparticle Sizes and Morphology on Interparticle Spacing, Slurry Rheology, Coating Density, and Electrochemical Performance in Si/C Anodes for Li-Ion Batteries. ACS Appl. Energy Mater. 2025, 8, 2050–2063. [Google Scholar] [CrossRef]
  9. Araño, K.G.; Armstrong, B.L.; Yang, G.; Kumara, C.; Ward, T.Z.; Meyer, H.M., III; Rogers, A.M.; Toups, E.; Veith, G.M. Elucidating the Role of Carbon Conductive Additive in the Processing and Electrochemical Behavior of Surface-Modified Si Anodes. Energy Fuels 2024, 38, 6446–6458. [Google Scholar] [CrossRef]
  10. Araño, K.G.; Armstrong, B.L.; Tomich, A.W.; Chambers, M.S.; Quinn, J.; Meyer, H.M., III; Kumara, C.; Huey, Z.; Jiang, C.S.; Wang, C.M.; et al. Investigating the impact of preparation routes on the properties of copper-decorated silicon particles as anode materials for lithium-ion batteries. Next Energy 2025, 8, 100335. [Google Scholar] [CrossRef]
  11. Ai, W.X.; Yang, C.M.; Wang, Q.; Han, W.C.; Wang, Y.Q.; Hou, J.Y.; Zhu, Z.Y.; Zhao, J.B.; Zhang, Y.Y.; Zhang, Y.J.; et al. Stable Silicon Anodes Enabled by Innovative Biobased Binder with Cross-Linking Network in Lithium-Ion Batteries. Langmuir 2025, 41, 9469–9479. [Google Scholar] [CrossRef]
  12. Ashraf, H.; Karahan, B.D. Sustainable approach in the production of carbon coated nanostructured silicon-based anodes: Selective leaching of Al from hypoeutectic AlSi9Cu4 casting scrap. J. Alloys Compd. 2025, 1021, 179722. [Google Scholar] [CrossRef]
  13. Chen, K.M.; Li, Z.W.; Zhou, J.H.; Gao, J.; Qin, H.Q.; Liu, W.P.; Lei, X.X.; Wang, X.Y.; Miao, L. Hollow nitrogen-doped carbon layer-coated nano-silicon as anode material for high-performance lithium-ion batteries. Appl. Mater. Today 2025, 42, 102561. [Google Scholar] [CrossRef]
  14. Askaruly, K.; Supiyeva, Z.; Azat, S.; Yeszhan, Y.; Pan, X.X.; Ozoemena, K.; Dsoke, S.; Abbas, Q. From electrochemical performance to mechanical Issues: A review on silicon anode architectures for advanced lithium-ion batteries. J. Power Sources 2025, 659, 238423. [Google Scholar] [CrossRef]
  15. Cai, Y.Z.; Chen, M.X.; Cheng, L.F.; Hu, Z.Y.; Guo, S.Y.; Yuan, Y.B.; Ren, S.X.; Yu, Z.X.; Chai, Y.L.; Huang, X. Multidimensional, Superflexible, and Binder-free CNT-rGO/Si Buckypaper as Anodes for Lithium-Ion Batteries and Electrochemical Performance. ACS Appl. Energy Mater. 2024, 7, 9194–9206. [Google Scholar] [CrossRef]
  16. Chen, Y.; Li, L.; Huang, J.F.; Hong, J.W.; Zhang, Q.C.; Chen, W.J.; Qu, D.Y.; Liu, D. Synergy of Si, Sn, and SWCNT Enables a Superior Mixed-Conductive Slurry-Coated Anode for All-Solid-State Lithium Batteries. ACS Appl. Energy Mater. 2024, 7, 8658–8668. [Google Scholar] [CrossRef]
  17. Chen, Y.K.; Jia, D.C.; Cai, D.; Zhang, Y.H.; Yang, D.W.; Shen, Z.F.; Zhou, X.M.; Nie, H.G.; Yang, Z. Synergistic enhancement of silicon-carbon composite anodes via hierarchical porous structure engineering and phosphorus doping. J. Power Sources 2025, 649, 237452. [Google Scholar] [CrossRef]
  18. Fang, Z.; Zhou, P.; Tian, Y.R.; Fang, H.C.; Zhang, Q.Q. One-step chemical vapor deposition synthesis of Si NWs@C core/shell anodes without additional catalysts by the oxide-assisted growth mechanism for lithium-ion batteries. Dalton Trans. 2024, 53, 9052–9061. [Google Scholar] [CrossRef]
  19. Du, Y.; Hou, G.L.; Yang, Z.X.; Shi, H.B.; Guo, Y.F.; Li, C.; Yuan, F.L. In-situ fabrication of Si/FeSi2@C NPs with volume control effect by fluidized bed chemical vapor deposition as anode materials. J. Alloys Compd. 2023, 938, 168587. [Google Scholar] [CrossRef]
  20. Kumar, V.; Shakya, P.; Bala, R.; Rana, K.; Dhiman, R. Fe/MWCNT Nanostructures Synthesized via CVD for Enhanced Electrocatalytic Performance in Zinc-Air Batteries. Adv. Mater. Technol. 2025, 10, e00539. [Google Scholar] [CrossRef]
  21. Chang, Y.L.; Li, C.C.; Chaganti, S.V.; Sharma, S.U.; Ho, S.L.; Chen, Y.J.; Chen, P.J.; Lee, J.T. Polymer Brush-Grafted Silicon Nanoparticles as a Binder-Free Anode for Enhanced Lithium-Ion Battery Performance. ACS Appl. Energy Mater. 2025, 8, 6976–6989. [Google Scholar] [CrossRef]
  22. Gu, H.; Lei, Q.; Liu, Y.Z.; Chen, W.H.; Jiang, Z.J.; Chen, X.P.; Wu, J.L.; Ye, J.R.; Jiang, Z.Q. Stress-induced volume expansion suppression in silicon films on carbon nanotubes grown on carbon fibers for ultrahigh-stability flexible lithium-ion battery anodes. Carbon 2025, 238, 120240. [Google Scholar] [CrossRef]
  23. Tomov, R.I.; Yarmolich, D.; Kumar, V. Layered Binder-Free C/Si Anodes for Li Ion Batteries. Batteries 2025, 11, 400. [Google Scholar] [CrossRef]
  24. Held, T.; Hagemeier, W.; Leykam, D.; Roth, C. Understanding degradation mechanisms in spray-coated alternating silicon-carbon thin films as anodes for lithium-ion batteries. Electrochim. Acta 2025, 525, 146123. [Google Scholar] [CrossRef]
  25. Karki, P.; Sabet, M.; Parekh, M.; Czerw, R.; Ding, Y.; Rao, A.M. Binder-Free Lightweight Silicon-Carbon-Bucky Paper Electrodes. ACS Appl. Mater. Interfaces 2025, 17, 59221–59234. [Google Scholar] [CrossRef]
  26. Si, Q.; Mori, D.; Takeda, Y.; Yamamoto, O.; Imanishi, N. Silicon-Carbon Composite Electrode Materials Prepared by Pyrolysis of a Mixture of Manila Hemp, Silicon Powder, and Flake Artificial Graphite for Lithium Batteries. Energies 2017, 10, 1803. [Google Scholar] [CrossRef]
  27. Di, F.; Gu, X.; Chu, Y.; Li, L.X.; Geng, X.; Sun, C.G.; Zhou, W.M.; Zhang, H.; Zhao, H.W.; Tao, L.; et al. Enhanced stability and kinetic performance of sandwich Si anode constructed by carbon nanotube and silicon carbide for lithium-ion battery. J. Colloid Interface Sci. 2024, 670, 204–214. [Google Scholar] [CrossRef]
  28. Yang, C.; Xu, P.; Guo, D.R.; Song, W.J.; Zeng, C.; Zhang, Y.; Huang, Q.Z. Self-supporting multi-carbon composites assist recycled-silicon for high-performance lithium storage. J. Power Sources 2024, 623, 235439. [Google Scholar] [CrossRef]
  29. Zhang, X.G.; Zhao, M.C.; Zhang, J.; Lei, J.X.; Wang, W.; Zhang, Q. Enhancing and evaluating surface quality of Si/C composites via dynamic CVD method utilizing mixed gaseous carbon sources C2H2&C3H8. J. Energy Storage 2024, 83, 110659. [Google Scholar] [CrossRef]
  30. Weppner, W.; Huggins, R.A. Determination of the Kinetic Parameters of Mixed-Conducting Electrodes and Application to the System Li3Sb. J. Electrochem. Soc. 1977, 124, 1569–1578. [Google Scholar] [CrossRef]
  31. Kim, J.; Park, S.; Hwang, S.; Yoon, W.-S. Principles and applications of galvanostatic intermittent titration technique for lithium-ion batteries. J. Electrochem. Sci. Technol. 2022, 13, 19–31. [Google Scholar] [CrossRef]
  32. Daali, A.; Amine, R.; Otieno, W.; Xu, G.L.; Amine, K. Strategies to enable microsized alloy anodes for high-energy and long-life alkali-ion batteries. Ind. Chem. Mater. 2024, 2, 489–513. [Google Scholar] [CrossRef]
  33. Chan, C.K.; Ruffo, R.; Hong, S.S.; Huggins, R.A.; Cui, Y. Structural and electrochemical study of the reaction of lithium with silicon nanowires. J. Power Sources 2009, 189, 34–39. [Google Scholar] [CrossRef]
  34. Obrovac, M.N.; Christensen, L. Structural Changes in Silicon Anodes during Lithium Insertion/Extraction. Electrochem. Solid-State Lett. 2004, 7, A93–A96. [Google Scholar] [CrossRef]
  35. Cao, Y.X.; Su, M.L.; Zhang, X.L.; Lin, Q.L.; Bi, T.T. A 3D network-based hierarchical porous carbon/Si@C composite as anode material for lithium-ion battery with desirable performance. J. Energy Storage 2024, 98, 112988. [Google Scholar] [CrossRef]
  36. Beaucage, G.; Patwardhan, S.V. Si anodes for Li+ batteries: What is the ideal structure? J. Mater. Chem. A 2025, 13, 37833–37843. [Google Scholar] [CrossRef]
  37. Pervez, S.; Iqbal, M.Z. Capacitive and Diffusive Contributions in Supercapacitors and Batteries: A Critique of b-Value and the ν-ν1/2 Model. Small 2023, 19, e2305059. [Google Scholar] [CrossRef]
  38. Dees, D.W.; Kawauchi, S.; Abraham, D.P.; Prakash, J. Analysis of the Galvanostatic Intermittent Titration Technique (GITT) as applied to a lithium-ion porous electrode. J. Power Sources 2009, 189, 263–268. [Google Scholar] [CrossRef]
  39. Pham, T.K.; Snook, G.A.; Glass, D.; Ellis, A.V. Lithium-ion diffusion behaviour in silicon nanoparticle/graphite blended anodes. J. Power Sources 2025, 638, 236623. [Google Scholar] [CrossRef]
  40. Zhang, D.Y.; Wang, Y.; Zhao, H.Y.; Cai, C.Z.; Zhang, Z.B.; Hu, W.K.; Dong, H.J.; Ding, S.J. Embedding silicon nanoparticle in porous carbon fiber for highly stable lithium-ion battery anode. Mater. Lett. 2024, 361, 136015. [Google Scholar] [CrossRef]
Scheme 1. Schematic illustration of the fabrication process for CP-Si@C-1, CP-Si@C-2, CP-Si@C-3, and CP-Si@C-4 composite electrodes.
Scheme 1. Schematic illustration of the fabrication process for CP-Si@C-1, CP-Si@C-2, CP-Si@C-3, and CP-Si@C-4 composite electrodes.
Energies 19 01263 sch001
Figure 1. SEM images of the composite electrodes: planar views at low magnification, high magnification, and cross-sectional views of (a,e,i) CP-Si@C-1, (b,f,j) CP-Si@C-2, (c,g,k) CP-Si@C-3, and (d,h,l) CP-Si@C-4.
Figure 1. SEM images of the composite electrodes: planar views at low magnification, high magnification, and cross-sectional views of (a,e,i) CP-Si@C-1, (b,f,j) CP-Si@C-2, (c,g,k) CP-Si@C-3, and (d,h,l) CP-Si@C-4.
Energies 19 01263 g001
Figure 2. TEM images of the composite electrodes at different magnifications: (a) CP-Si@C-1, (b) CP-Si@C-3, and (c,d) CP-Si@C-4; (e) TEM-EDS elemental mapping of CP-Si@C-4.
Figure 2. TEM images of the composite electrodes at different magnifications: (a) CP-Si@C-1, (b) CP-Si@C-3, and (c,d) CP-Si@C-4; (e) TEM-EDS elemental mapping of CP-Si@C-4.
Energies 19 01263 g002
Figure 3. Phase composition and surface chemical analysis: (a) XRD patterns; (b) TGA curves; (c) XPS survey spectra illustrating the evolution of Si and C signal intensities across different samples; (d) high-resolution C 1s spectra. The black solid line represents the experimental spectrum, the black dashed line corresponds to the fitted envelope, and the colored solid lines represent the individual fitted components.
Figure 3. Phase composition and surface chemical analysis: (a) XRD patterns; (b) TGA curves; (c) XPS survey spectra illustrating the evolution of Si and C signal intensities across different samples; (d) high-resolution C 1s spectra. The black solid line represents the experimental spectrum, the black dashed line corresponds to the fitted envelope, and the colored solid lines represent the individual fitted components.
Energies 19 01263 g003
Figure 4. Structural and thermal characterization. (ad) Deconvoluted Raman spectra of CP-Si@C-1, CP-Si@C-2, CP-Si@C-3, and CP-Si@C-4, showing the intensity ratios (ID/IG), (I2D/IG) and FWHMG values. The black solid line represents the experimental spectrum, while the colored lines correspond to the fitted D, G, and 2D bands.
Figure 4. Structural and thermal characterization. (ad) Deconvoluted Raman spectra of CP-Si@C-1, CP-Si@C-2, CP-Si@C-3, and CP-Si@C-4, showing the intensity ratios (ID/IG), (I2D/IG) and FWHMG values. The black solid line represents the experimental spectrum, while the colored lines correspond to the fitted D, G, and 2D bands.
Energies 19 01263 g004
Figure 5. CV curves for (a) CP-Si@C-1, (b) CP-Si@C-2, (c) CP-Si@C-3, and (d) CP-Si@C-4 electrodes recorded at 0.2 mV s−1, (e) Initial galvanostatic charge–discharge voltage profiles for the four distinct samples, (f) Voltage profiles of CP-Si@C-4 over the first three cycles. The broad anodic features at ~0.35–0.55 V are consistent with the stepped discharge plateaus observed in Figure 6, suggesting a significant contribution from Li-Si dealloying processes.
Figure 5. CV curves for (a) CP-Si@C-1, (b) CP-Si@C-2, (c) CP-Si@C-3, and (d) CP-Si@C-4 electrodes recorded at 0.2 mV s−1, (e) Initial galvanostatic charge–discharge voltage profiles for the four distinct samples, (f) Voltage profiles of CP-Si@C-4 over the first three cycles. The broad anodic features at ~0.35–0.55 V are consistent with the stepped discharge plateaus observed in Figure 6, suggesting a significant contribution from Li-Si dealloying processes.
Energies 19 01263 g005
Figure 6. (a) Long-term cycling stability measured at 0.2 A g−1, (b) Cycling performance at 2 A g−1, (c) Rate capability under stepwise increasing current densities from 0.1 to 3 A g−1, (d) Long-term cycling stability of the CP-Si@C-4 electrode at 2 A g−1 for 1000 cycles. The main voltage plateau at ~0.35–0.55 V corresponds to the CV anodic features shown in Figure 5, demonstrating the consistency of the charge–discharge behavior.
Figure 6. (a) Long-term cycling stability measured at 0.2 A g−1, (b) Cycling performance at 2 A g−1, (c) Rate capability under stepwise increasing current densities from 0.1 to 3 A g−1, (d) Long-term cycling stability of the CP-Si@C-4 electrode at 2 A g−1 for 1000 cycles. The main voltage plateau at ~0.35–0.55 V corresponds to the CV anodic features shown in Figure 5, demonstrating the consistency of the charge–discharge behavior.
Energies 19 01263 g006
Figure 7. Electrochemical kinetics analysis of the CP-Si@C-4 electrode: (a) CV responses obtained at multiple scan rates (0.2 to 1.0 mV s−1). (b) The b-value derived from linear fitting of log(i) vs. log(v) for the anodic peak. (c) Current deconvolution at 1.0 mV s−1, highlighting the capacitive (shaded) and diffusion-controlled portions. (d) The scan-rate-dependent normalized contributions of capacitive and diffusion-controlled capacities.
Figure 7. Electrochemical kinetics analysis of the CP-Si@C-4 electrode: (a) CV responses obtained at multiple scan rates (0.2 to 1.0 mV s−1). (b) The b-value derived from linear fitting of log(i) vs. log(v) for the anodic peak. (c) Current deconvolution at 1.0 mV s−1, highlighting the capacitive (shaded) and diffusion-controlled portions. (d) The scan-rate-dependent normalized contributions of capacitive and diffusion-controlled capacities.
Energies 19 01263 g007
Figure 8. Electrochemical reaction kinetics of the CP-Si@C composite electrodes. (a) Electrochemical impedance spectra (Nyquist plots) for four electrodes with the fitted equivalent circuit shown in the inset. All spectra consist of a depressed semicircle associated with the charge-transfer resistance and a low-frequency diffusion-related tail. The progressive reduction in interfacial resistance and diffusion-related impedance from CP-Si@C-1 to CP-Si@C-4 reflects the improved transport efficiency induced by CNT reinforcement and CVD carbon coating, without introducing additional electrochemical processes. (b) Voltage response of a single GITT titration step of CP-Si@C-4, illustrating the total transient voltage change and the change in steady-state open-circuit voltage. (c) Evolution of the calculated lithium-ion diffusion coefficient of CP-Si@C-4 as a function of the electrode’s state of charge.
Figure 8. Electrochemical reaction kinetics of the CP-Si@C composite electrodes. (a) Electrochemical impedance spectra (Nyquist plots) for four electrodes with the fitted equivalent circuit shown in the inset. All spectra consist of a depressed semicircle associated with the charge-transfer resistance and a low-frequency diffusion-related tail. The progressive reduction in interfacial resistance and diffusion-related impedance from CP-Si@C-1 to CP-Si@C-4 reflects the improved transport efficiency induced by CNT reinforcement and CVD carbon coating, without introducing additional electrochemical processes. (b) Voltage response of a single GITT titration step of CP-Si@C-4, illustrating the total transient voltage change and the change in steady-state open-circuit voltage. (c) Evolution of the calculated lithium-ion diffusion coefficient of CP-Si@C-4 as a function of the electrode’s state of charge.
Energies 19 01263 g008
Figure 9. Post-cycling structural evolution of the binder-free electrodes. Planar views at low magnification, high magnification, and cross-sectional views of (a,e,i) CP-Si@C-1, (b,f,j) CP-Si@C-2, (c,g,k) CP-Si@C-3, and (d,h,l) CP-Si@C-4 after 200 cycles at 2 A g−1.
Figure 9. Post-cycling structural evolution of the binder-free electrodes. Planar views at low magnification, high magnification, and cross-sectional views of (a,e,i) CP-Si@C-1, (b,f,j) CP-Si@C-2, (c,g,k) CP-Si@C-3, and (d,h,l) CP-Si@C-4 after 200 cycles at 2 A g−1.
Energies 19 01263 g009
Scheme 2. Schematic illustration of the proposed structural evolution and dominant failure modes of the CP-Si@C electrodes after cycling. White regions indicate fracture or particle detachment.
Scheme 2. Schematic illustration of the proposed structural evolution and dominant failure modes of the CP-Si@C electrodes after cycling. White regions indicate fracture or particle detachment.
Energies 19 01263 sch002
Table 1. Sample designation and synthesis conditions of CP-Si@C composites.
Table 1. Sample designation and synthesis conditions of CP-Si@C composites.
SampleCNT AdditionRF-Derived CarbonCVD Coating
CP-Si@C-1××
CP-Si@C-2×
CP-Si@C-3×
CP-Si@C-4
Note: “√” indicates the presence of the corresponding component; “×” indicates its absence.
Table 2. Comparison with state-of-the-art binder-free Si-based anodes.
Table 2. Comparison with state-of-the-art binder-free Si-based anodes.
Anode
Material
Structure DescriptionAreal
Loading
(mg cm −2)
ICECycle Life
(mAh g−1/
Cycles)
Ref
CP-Si@C-43D Spray-coated Si@CNT/C on Carbon Paper 0.5 ± 0.0586.3989/1000
(@2 A g−1)
This work
Si@CNFsElectrospun porous C fibers with Si0.4–0.584.4992/200
(@1C)
[40]
rGO/SiSpray-coated thin film (3 layers)0.2–0.360.5775/50
(@0.5C)
[24]
CNT-rGO/SiMultidimensional buckpaper0.85~80540/200
(@820 mA g−1)
[15]
Disclaimer/Publisher’s Note: The statements, opinions and data contained in all publications are solely those of the individual author(s) and contributor(s) and not of MDPI and/or the editor(s). MDPI and/or the editor(s) disclaim responsibility for any injury to people or property resulting from any ideas, methods, instructions or products referred to in the content.

Share and Cite

MDPI and ACS Style

Guo, D.; Wang, X.; Xu, P.; Zhu, W.; Zhang, M. A Binder-Free Silicon-Containing Carbon Composite Anode Enabled by an Integrated Multidimensional Carbon Framework for High-Performance Lithium-Ion Batteries. Energies 2026, 19, 1263. https://doi.org/10.3390/en19051263

AMA Style

Guo D, Wang X, Xu P, Zhu W, Zhang M. A Binder-Free Silicon-Containing Carbon Composite Anode Enabled by an Integrated Multidimensional Carbon Framework for High-Performance Lithium-Ion Batteries. Energies. 2026; 19(5):1263. https://doi.org/10.3390/en19051263

Chicago/Turabian Style

Guo, Dingrong, Xiaodong Wang, Ping Xu, Wenqiang Zhu, and Mingyu Zhang. 2026. "A Binder-Free Silicon-Containing Carbon Composite Anode Enabled by an Integrated Multidimensional Carbon Framework for High-Performance Lithium-Ion Batteries" Energies 19, no. 5: 1263. https://doi.org/10.3390/en19051263

APA Style

Guo, D., Wang, X., Xu, P., Zhu, W., & Zhang, M. (2026). A Binder-Free Silicon-Containing Carbon Composite Anode Enabled by an Integrated Multidimensional Carbon Framework for High-Performance Lithium-Ion Batteries. Energies, 19(5), 1263. https://doi.org/10.3390/en19051263

Note that from the first issue of 2016, this journal uses article numbers instead of page numbers. See further details here.

Article Metrics

Back to TopTop