Frequency Dependence of Air Breakdown and Investigation of Its Electro-Optical Characteristics
Abstract
1. Introduction
2. Experimental Platform
3. Experimental Results
3.1. Air Breakdown at Different Frequencies
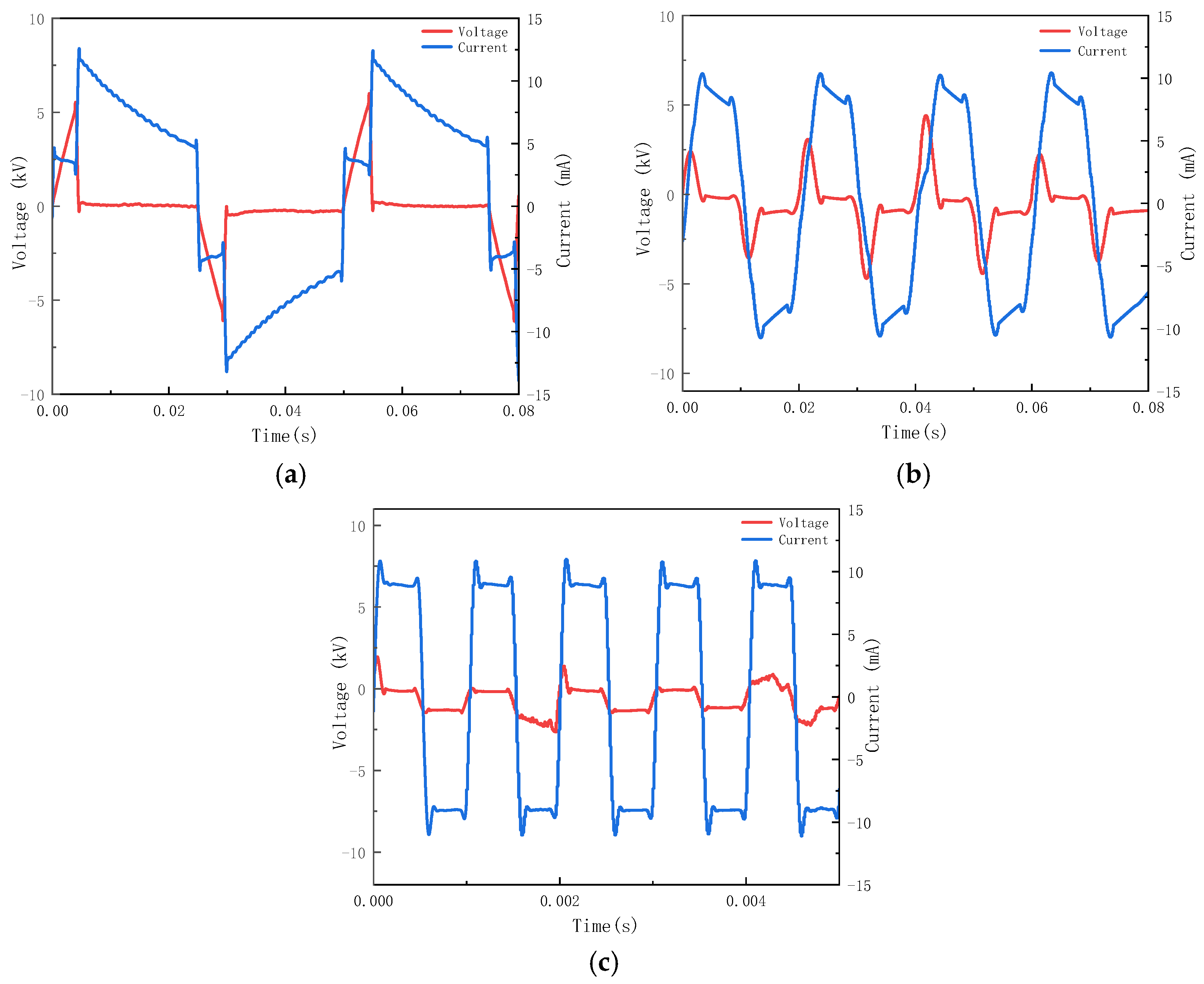
3.2. Air Discharge Electrical Signal
3.3. Air Discharge Optical Signal
4. Analysis and Discussion of Results
4.1. Discharge Light Signal and Frequency Analysis
4.2. Breakdown Analysis
4.2.1. Breakthrough Mechanism Determination
4.2.2. Spectral Parameter Diagnostics
4.3. Memory Effect and Dielectric Recovery
5. Conclusions
- Air breakdown voltage increases with frequency, rising from 17.7 kV at 20 Hz to 18.0 kV at 50 Hz and 18.9 kV at 1 kHz, corresponding to an overall increase of 6.8%. Weibull distribution analysis reveals a significantly reduced shape parameter at 1 kHz, indicating greater dispersion in the breakdown voltage and enhanced discharge instability under high-frequency conditions.
- The spectral characteristics of air breakdown show significant frequency dependence. As frequency increases, the intensity of all emission lines generally strengthens, with the relative growth rate of transitions from high vibrational levels being markedly higher than that from low vibrational levels. Furthermore, new spectral lines from species such as nitrogen ions, oxygen ions, and copper atoms emerge distinctly at higher frequencies, indicating a notable increase in spectral complexity.
- Both the current jump Ijump and the voltage drop magnitude ff increase with frequency. This demonstrates that the memory effect strengthens while the dielectric recovery capability deteriorates as frequency rises.
- With an increase in frequency, the electron temperature Te decreases, whereas the ionization degree η rises significantly. Higher frequencies intensify the memory effect, increasing the probability of ionization collisions (higher η). The resulting high-density charged particle environment enhances Coulomb scattering, shortens the electron mean free path, and restricts energy gain per mean free path. These combined effects lead to the observed slight increase in breakdown voltage.
Author Contributions
Funding
Data Availability Statement
Conflicts of Interest
Abbreviations
| Te | Electron temperature |
| η | Ionization degree |
| vd | Electron drift velocity |
| λ | Mean free path decreases |
| CDF | Cumulative distribution function |
References
- Kumar, A.; Moradpour, M.; Losito, M.; Franke, W.-T.; Ramasamy, S.; Baccoli, R.; Gatto, G. Wide band gap devices and their application in power electronics. Energies 2022, 15, 9172. [Google Scholar] [CrossRef]
- Prado, E.O.; Bolsi, P.C.; Sartori, H.C.; Pinheiro, J.R. An overview about Si, Superjunction, SiC and GaN power MOSFET technologies in power electronics applications. Energies 2022, 15, 5244. [Google Scholar] [CrossRef]
- Buso, S.; Mattavelli, P. Digital Control in Power Electronics; Springer Nature: Berlin/Heidelberg, Germany, 2022. [Google Scholar]
- Wu, J.; Jin, H.; Mor, A.R.; Smit, J. The effect of frequency on the dielectric breakdown of insulation materials in HV cable systems. In 2017 International Symposium on Electrical Insulating Materials (ISEIM); IEEE: Piscataway, NJ, USA, 2017; Volume 1, pp. 251–254. [Google Scholar]
- Moeller, R.; Puffer, R. Investigation of the breakdown voltage of insulation oil in a frequency range between 50 hz and 10 kHz. In Proceedings of the High Voltage Technology 2018, ETG-Symposium, Delhi, India, 12–14 November 2018; VDE: Offenbach, Germany, 2018; pp. 1–6. [Google Scholar]
- Wheeler, J.C.G. Effects of converter pulses on the electrical insulation in low and medium voltage motors. IEEE Electr. Insul. Mag. 2005, 21, 22–29. [Google Scholar] [CrossRef]
- Germer, L.H. Electrical breakdown between close electrodes in air. J. Appl. Phys. 1959, 30, 46–51. [Google Scholar] [CrossRef]
- Khalaf, T.H.; Ghayb, D.H. Townsend discharge and streamer breakdown within sphere-air-sphere configuration. Iraqi J. Sci. 2023, 64, 4446–4454. [Google Scholar] [CrossRef]
- Trichel, G.W. The mechanism of the positive point-to-plane corona in air at atmospheric pressure. Phys. Rev. 1939, 55, 382. [Google Scholar] [CrossRef]
- Trichel, G.W. The mechanism of the negative point to plane corona near onset. Phys. Rev. 1938, 54, 1078. [Google Scholar] [CrossRef]
- Aponte, I.A.; Esser, B.; Shaw, Z.C.; Shaw, Z.C.; Dickens, J.C.; Mankowski, J.J.; Neuber, A.A. Fundamental study of DC and RF breakdown of atmospheric air. Phys. Plasmas 2019, 26, 123512. [Google Scholar] [CrossRef]
- Walsh, J.L.; Zhang, Y.T.; Iza, F.; Kong, M.G. Atmospheric-pressure gas breakdown from 2 to 100 MHz. Appl. Phys. Lett. 2008, 93, 221505. [Google Scholar] [CrossRef][Green Version]
- Korolov, I.; Derzsi, A.; Donkó, Z. Experimental and kinetic simulation studies of radio-frequency and direct-current breakdown in synthetic air. J. Phys. D Appl. Phys. 2014, 47, 475202. [Google Scholar] [CrossRef]
- Hara, M.; Negara, Y.; Setoguchi, M.; Kurihara, T.; Suehiro, J.; Hayashi, N. Particle-triggered pre-breakdown phenomena in atmospheric air gap under AC voltage. IEEE Trans. Dielectr. Electr. Insul. 2005, 12, 1071–1081. [Google Scholar] [CrossRef]
- Sun, Z.; Shao, Z.K.; Sun, X.; Sun, W.F. Trichel pulse characteristics and mechanism of negative corona discharge in sub-millimeter gaps. Phys. Plasmas 2023, 30, 063901. [Google Scholar] [CrossRef]
- Kher, V.G.; Ayachit, V.G. Increase of breakdown voltage of a low pressure AC discharge in air with frequencies from 20 to 15000 Hz. Physica 1964, 30, 702–712. [Google Scholar] [CrossRef]
- Benesch, W.M.; Saum, K.A. Electric discharges in air: Near infrared emission spectrum. J. Quant. Spectrosc. Radiat. Transf. 1972, 12, 1129–1137. [Google Scholar] [CrossRef]
- Shimizu, K.; Oda, T. Emission spectrometry for discharge plasma diagnosis. Sci. Technol. Adv. Mater. 2001, 2, 77. [Google Scholar] [CrossRef]
- Kozioł, M.; Nagi, Ł. Analysis of optical radiation spectra emitted by electrical discharges, generated by different configuration types of high voltage electrodes. In 2018 IEEE 2nd International Conference on Dielectrics (ICD); IEEE: Piscataway, NJ, USA, 2018; pp. 1–4. [Google Scholar]
- Fujii, K.; Yamada, M.; Tanaka, A.; Kurosawa, K. Emission spectrum of partial discharge light in SF/sub 6/gas. In Conference Record of the 1992 IEEE International Symposium on Electrical Insulation; IEEE: Piscataway, NJ, USA, 1992; pp. 332–335. [Google Scholar]
- Feng, Y.; Yuan, S.; Cai, Z.; Gao, L.; Yang, J. On spectral characteristics and chemical product analysis of AC discharge plasma under atmospheric pressure. J. Phys. D Appl. Phys. 2025, 58, 175504. [Google Scholar] [CrossRef]
- Tang, B.; Han, D.; Li, Y.; Li, K.; Qiu, Z.; Zhang, G. Analysis on Characteristic Emission Spectrum of SF 6 under 50 Hz AC Corona Discharge. In 2021 IEEE Electrical Insulation Conference (EIC); IEEE: Piscataway, NJ, USA, 2021; pp. 711–714. [Google Scholar]
- Montanari, G.; Mazzanti, G.; Cacciari, M.; Fothergill, J. Optimum estimators for the Weibull distribution from censored test data. Progressively-censored tests [breakdown statistics]. IEEE Trans. Dielectr. Electr. Insul. 1998, 5, 157–164. [Google Scholar] [CrossRef]
- Hussein, S.I.; Kadhem, S.J.; Ali, N.A.; Alraih, A.M.; Abd-Elnaiem, A.M. Improving the Mechanical, Thermoelectric Insulations, and Wettability Properties of Acrylic Polymers: Effect of Silica or Cement Nanoparticles Loading and Plasma Treatment. Polymers 2024, 16, 2965. [Google Scholar] [CrossRef]
- Yen, K.-T.; Wu, C.-H.; Wang, P.-H.; Tuan, P.-H.; Su, K.-W. Investigating the Threshold Conditions of Air Breakdown with Mode-Locked Q-Switched Laser Pulses, and the Temporal Dynamics of Induced Plasma with Self-Scattering Phenomenon. Appl. Sci. 2022, 12, 41. [Google Scholar] [CrossRef]
- Riba, J.R. Spectrum of corona discharges and electric arcs in air under aeronautical pressure conditions. Aerospace 2022, 9, 524. [Google Scholar] [CrossRef]
- Raizer, Y.P.; Allen, J.E. Gas Discharge Physics; Springer: Berlin/Heidelberg, Germany, 1997. [Google Scholar]
- Gazeli, O.; Laurita, R.; Capelli, F.; Gherardi, M. Optical emission spectroscopy of low-pressure DC argon plasmas for reconfigurable metadevices. J. Phys. D Appl. Phys. 2026, 59, 025207. [Google Scholar] [CrossRef]
- Hou, J.; Zhang, L.; Yin, W.; Zhao, Y.; Ma, W.; Dong, L.; Yang, G.; Xiao, L.; Jia, S. Investigation on spatial distribution of optically thin condition in laser-induced aluminum plasma and its relationship with temporal evolution of plasma characteristics. J. Anal. At. Spectrom. 2017, 32, 1519–1526. [Google Scholar] [CrossRef]
- Bendel, B.; Suta, M. How to calibrate luminescent crossover thermometers: A note on “quasi”-Boltzmann systems. J. Mater. Chem. C 2022, 10, 13805–13814. [Google Scholar] [CrossRef]
- Lieberman, M.A.; Lichtenberg, A.J. Principles of plasma discharges and materials processing. MRS Bull. 1994, 30, 899–901. [Google Scholar]
- Tyl, C.; Lin, X.; Bouzidi, M.C.; Dap, S.; Caquineau, H.; Segur, P.; Gherardi, N.; Naude, N. Investigation of memory effect in atmospheric pressure dielectric barrier discharge in nitrogen with small oxygen or nitric oxide addition. J. Phys. D Appl. Phys. 2018, 51, 354001. [Google Scholar] [CrossRef]
- Zhao, Z.; Li, J. Repetitively pulsed gas discharges: Memory effect and discharge mode transition. High Volt. 2020, 5, 569–582. [Google Scholar] [CrossRef]
- Li, L.; Chen, J.; Yi, C.; Xu, X.; Xu, G.; Wang, B. Mechanisms for insulation recovery during repetitive breakdowns in gas gaps. Phys. Plasmas 2023, 30, 120501. [Google Scholar] [CrossRef]










| Frequency (Hz) | Dimensional Parameters | Shape Parameters |
|---|---|---|
| 20 | 17.7 | 131.61 |
| 50 | 18 | 156.44 |
| 1000 | 18.9 | 52.74 |
| Wavelength (nm) | Ei (eV) | gi | Aij (s−1) |
|---|---|---|---|
| 336.1 | 11.0 | 3 | 1.2 × 107 |
| 357.1 | 10.5 | 5 | 6 × 106 |
| 390.1 | 10.2 | 7 | 3.5 × 106 |
| Frequency (Hz) | Electron Temperature Te | Ionization Degree η |
|---|---|---|
| 20 | 5.9 | 0.149 |
| 50 | 5.1 | 0.355 |
| 1000 | 2.9 | 0.727 |
Disclaimer/Publisher’s Note: The statements, opinions and data contained in all publications are solely those of the individual author(s) and contributor(s) and not of MDPI and/or the editor(s). MDPI and/or the editor(s) disclaim responsibility for any injury to people or property resulting from any ideas, methods, instructions or products referred to in the content. |
© 2026 by the authors. Licensee MDPI, Basel, Switzerland. This article is an open access article distributed under the terms and conditions of the Creative Commons Attribution (CC BY) license.
Share and Cite
Wang, Y.; Liu, B.; Zhao, W.; Yu, X.; Bi, J.; Ding, C. Frequency Dependence of Air Breakdown and Investigation of Its Electro-Optical Characteristics. Energies 2026, 19, 1229. https://doi.org/10.3390/en19051229
Wang Y, Liu B, Zhao W, Yu X, Bi J, Ding C. Frequency Dependence of Air Breakdown and Investigation of Its Electro-Optical Characteristics. Energies. 2026; 19(5):1229. https://doi.org/10.3390/en19051229
Chicago/Turabian StyleWang, Ya, Bin Liu, Wenbin Zhao, Xinzhe Yu, Jiangang Bi, and Chao Ding. 2026. "Frequency Dependence of Air Breakdown and Investigation of Its Electro-Optical Characteristics" Energies 19, no. 5: 1229. https://doi.org/10.3390/en19051229
APA StyleWang, Y., Liu, B., Zhao, W., Yu, X., Bi, J., & Ding, C. (2026). Frequency Dependence of Air Breakdown and Investigation of Its Electro-Optical Characteristics. Energies, 19(5), 1229. https://doi.org/10.3390/en19051229

