Distributionally Robust Dynamic Interaction for Microgrid Clusters with Shared Electric–Hydrogen Storage
Abstract
1. Introduction
1.1. Motivation
1.2. Literature Review
2. System Structure and Trading Strategies
2.1. System Structure
2.2. Hybrid Game-Based Trading Strategies
- (1)
- Within each MG system, MGO, as the leader, sets energy purchase prices for users based on supply–demand dynamics and market information. MG users then optimize their load demand according to the energy pricing information provided by the MGO. The decision-making sequence between pricing and load optimization forms a Stackelberg game.
- (2)
- MGOs and SESO, acting as independent rational entities, engage in trading as equals, with their transactions achieved through repeated negotiations and consensus-building. After completing their internal interactions with users, MGOs can choose to participate in energy trading with SESO as buyers or sellers. SESO, by integrating feedback from MGOs, manages P2G and ES systems and sets pricing strategies. Their decisions are influenced by the trading prices and volumes of electricity and hydrogen, with pricing convergence achieved through multiple rounds of information exchange. This leads to optimal social welfare.
- (1)
- Vertical Interaction (Stackelberg Game): The MGO–User relationship is inherently hierarchical. MGOs act as leaders (price-makers), while users act as followers (price-takers). The Stackelberg formulation captures this market power asymmetry more accurately than cooperative models, as individual users typically lack the bargaining leverage to negotiate prices directly with operators.
- (2)
- Horizontal Interaction (Nash Bargaining): The SESO–MGOs relationship is collaborative, involving independent entities with equal status. Unlike non-cooperative formulations (e.g., Cournot or monopoly models) which often suffer from efficiency losses (e.g., double marginalization), the Nash bargaining framework guarantees a Pareto-optimal solution. Crucially, it provides a mechanism for fair surplus distribution, which is essential for incentivizing the long-term participation of independent microgrids.
2.3. Modeling Assumptions and Practical Implications
3. Mathematical Model and Solution Methodology
3.1. Deterministic Optimization Model
3.1.1. Model of the SESO
- (1)
- The EL converts electricity to hydrogen through water electrolysis, with the following operational requirements.
- (2)
- FC converts the chemical energy in hydrogen and oxygen into electricity via redox reactions, subject to the following constraints.
- (3)
- The HST must meet the following constraints.
- (4)
- Electricity and hydrogen power balance constraints in the system.
- (5)
- The energy transaction pricing between SESO and MGs should meet the following constraints.
3.1.2. Model of the Microgrid Operator
- (1)
- The hydrogen-blended CHP generates electricity while producing high-temperature exhaust gases that can be recovered and converted into heat for user consumption [6].
- (2)
- Similarly, the hydrogen-blended GB system has the following constraints.
- (3)
- EB operational constraints.
- (4)
- Due to the transmission capacity limitations, energy transactions of with the upper grid and SESO must meet the following constraints.
- (5)
- The system must maintain power balance.
- (6)
- To prevent users from trading directly with grid, the energy sale price offered by operators must meet the following conditions [33].
3.1.3. Model of the End-User
3.2. Risk-Based Model Reconstruction
3.2.1. Distributionally Robust Optimization Theory
- (1)
- Wasserstein ambiguity set
- (2)
- Risk-based strategies with WDRO
3.2.2. Reformulation of the WDRO-CVaR Model
3.3. Model Solution
3.3.1. Stackelberg Game Equilibrium
3.3.2. Nash Bargaining Equivalence Transformation
3.3.3. Adaptive ADMM ALGORITHM
4. Case Study
4.1. Parameter Setting
4.2. Optimization Result Analysis
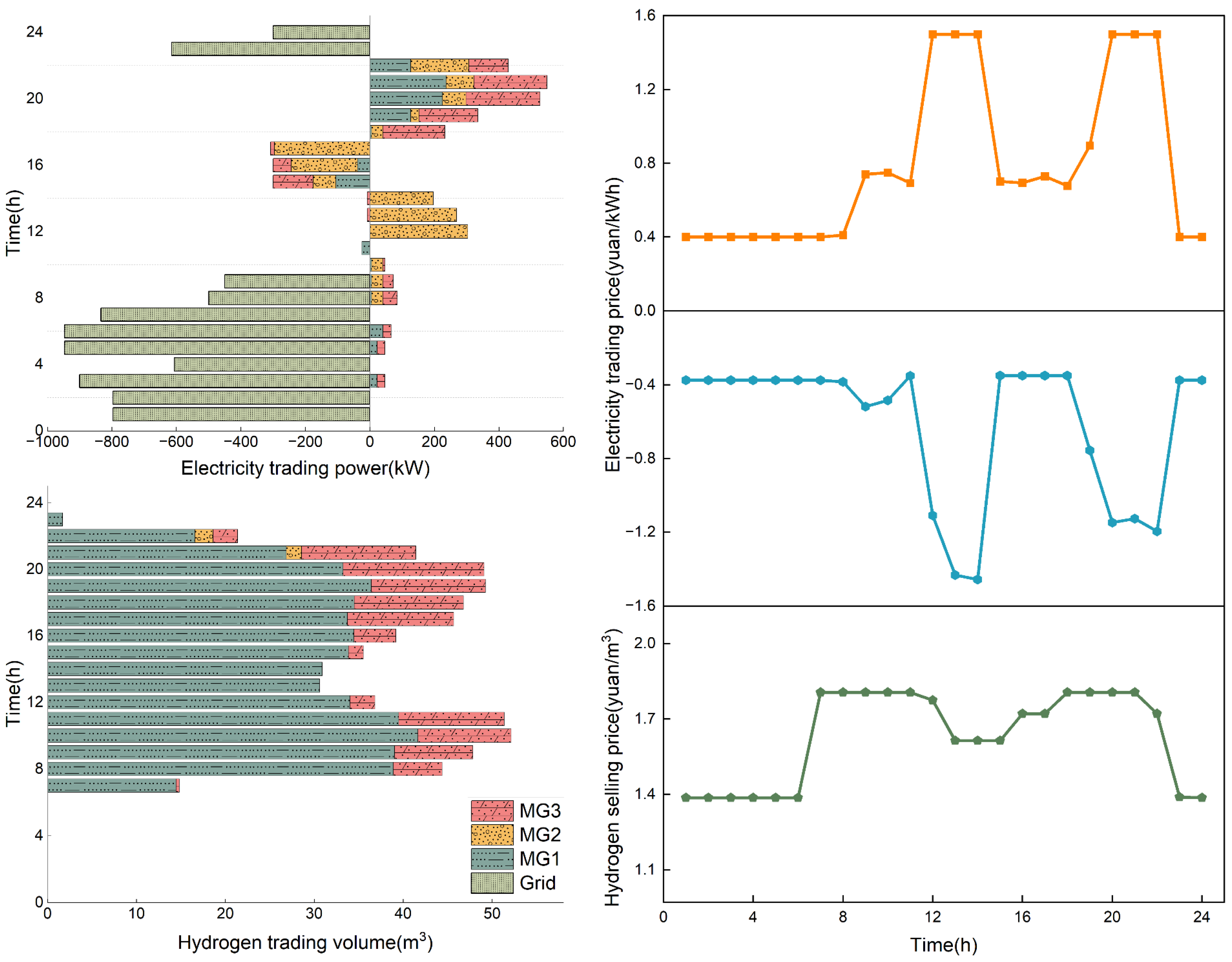
4.2.1. Analysis of SESO Operation Results
4.2.2. Analysis of Microgrids’ Operation Results
4.2.3. Analysis of Equilibrium Outcomes in MGO–User Stackelberg Game Transactions
4.3. Result Comparison and Discussion
4.3.1. Scenario Comparison
4.3.2. Impact Analysis of Decision-Makers’ Risk Attitude
4.3.3. Impact Analysis of Historical Sample Data
5. Conclusions
- (1)
- Compared to individual microgrids operating independently, enabling energy sharing via SESO results in improved resource utilization, enhancing SESO profitability and altering the cost structure of individual microgrids. This approach leads to revenue increases of 2210.65 yuan, 1873.19 yuan, and 1153.34 yuan for each of the microgrids, respectively.
- (2)
- The proposed hybrid game-based interaction mechanism ensures sustainable sharing. The Nash bargaining approach delineates interactions between SESO and microgrids, providing a nearly even increase in revenue for all participants and ensuring fair distribution of benefits. Simultaneously, the Stackelberg game describes the trading behavior between microgrid operators and internal users, increasing system operational flexibility. This approach results in a 9.86% increase in coalition revenue while safeguarding user utility.
- (3)
- By incorporating a Wasserstein distance-based probabilistic fuzzy set and quantifying tail risk in extreme scenarios using CVaR, the model addresses both probabilistic distribution uncertainty and worst-case tail risk. This methodology effectively reduces operational risks and improves system robustness. Its data-driven nature allows decision-makers to adjust risk preference and sample size parameters to make informed decisions.
Author Contributions
Funding
Data Availability Statement
Conflicts of Interest
Nomenclature
| Sets and Indices | |
| Index of microgrids | |
| Index of historical data samples/total number of historical samples | |
| ele/hyd/heat/load | Index of electrical energy/thermal energy/hydrogen/load |
| Decision variable | |
| / | Revenue/Cost |
| Energy Price at time for purchase/sale | |
| Electrical power/Thermal power/Hydrogen volume/Natural gas volume at time | |
| Quantities of hydrogen charged into and discharged from HST. | |
| ES charging and discharging amounts at time | |
| HST state of charge at time | |
| Binary indicator, means hydrogen charging and discharging status/MGO power trading status with SESO | |
| Preference coefficients for electrical and thermal energy consumption | |
| Fixed/transferable/reducible loads | |
| Parameters | |
| Energy Efficiency Factor of Equipment | |
| Calorific value of hydrogen/natural gas | |
| Unit operating and maintenance cost of energy equipment | |
| WDRO-CVaR model | |
| Support set | |
| Forecasting error/sample value of renewable energy output at time | |
| Dirac measure | |
| Actual distribution/empirical distribution | |
| Joint distribution | |
| Participation factor | |
| Fuzzy set of the actual distribution of forecast errors at time . | |
| Wasserstein radius | |
| Introduced auxiliary variables used in WDRO-CVaR model | |
Appendix A. KKT Transformation of Stackelberg Model
Appendix B. Related Parameters
| Parameter | Value (kW) | Parameter | Value | Parameter | Value (yuan/kWh) | ||
|---|---|---|---|---|---|---|---|
| MG1 | MG2 | MG3 | |||||
| 0/3000 | 0/2000 | 0/3000 | 0.40 | 0.59 | |||
| 0/3000 | 0/1000 | 0/2500 | 0.83 | 0.20 | |||
| 0/3000 | 0/1000 | 0/1500 | 0.90 | 0.20 | |||
| 600 | 0.53 | 0.10 | |||||
| (kW) | 600 | 0.90 | 0.10 | ||||
| Parameter | Value | Parameter | Value | Parameter | Value |
|---|---|---|---|---|---|
| (kW) | 0/1000 | 0.60 | (yuan/m3) | 0.45 | |
| (kW) | 0/600 | 0.60 | (yuan/kWh) | 0.10 | |
| (m3) | 80/720 | 0.95/0.95 | (yuan/m3) | 0.05 | |
| (kWh) | 100/2000 | 0.97/0.97 | (yuan/kWh) | 0.02 | |
| (m3/h) | 150/150 | (kW) | 300/300 | ||
References
- Ahrari, M.; Shirini, K.; Gharehveran, S.S.; Ahsaee, M.G.; Haidari, S.; Anvari, P. A security-constrained robust optimization for energy management of active distribution networks with presence of energy storage and demand flexibility. J. Energy Storage 2024, 84, 111024. [Google Scholar] [CrossRef]
- Cao, W.; Xiao, J.-W.; Cui, S.-C.; Liu, X.-K. An efficient and economical storage and energy sharing model for multiple multi-energy microgrids. Energy 2022, 244, 123124. [Google Scholar] [CrossRef]
- Sun, B.; Jing, R.; Zeng, Y.; Wei, W.; Jin, X.; Huang, B. Three-side coordinated dispatching method for intelligent distribution network considering dynamic capacity division of shared energy storage system. J. Energy Storage 2024, 81, 110406. [Google Scholar] [CrossRef]
- Lai, S.; Qiu, J.; Tao, Y. Individualized Pricing of Energy Storage Sharing Based on Discount Sensitivity. IEEE Trans. Ind. Inform. 2022, 18, 4642–4653. [Google Scholar] [CrossRef]
- Zhang, T.; Qiu, W.; Zhang, Z.; Lin, Z.; Ding, Y.; Wang, Y.; Wang, L.; Yang, L. Optimal bidding strategy and profit allocation method for shared energy storage-assisted VPP in joint energy and regulation markets. Appl. Energy 2023, 329, 120158. [Google Scholar] [CrossRef]
- Qiu, R.; Zhang, H.; Wang, G.; Liang, Y.; Yan, J. Green hydrogen-based energy storage service via power-to-gas technologies integrated with multi-energy microgrid. Appl. Energy 2023, 350, 121716. [Google Scholar] [CrossRef]
- Steriotis, K.; Tsaousoglou, G.; Efthymiopoulos, N.; Makris, P.; Varvarigos, E. Real-time pricing in environments with shared energy storage systems. Energy Effic. 2019, 12, 1085–1104. [Google Scholar] [CrossRef]
- Bian, Y.; Xie, L.; Ye, J.; Ma, L. A new shared energy storage business model for data center clusters considering energy storage degradation. Renew. Energy 2024, 225, 120283. [Google Scholar] [CrossRef]
- Liu, L.; Yao, X.; Qi, X.; Han, Y. Low-carbon economy configuration strategy of electro-thermal hybrid shared energy storage in multiple multi-energy microgrids considering power to gas and carbon capture system. J. Clean. Prod. 2023, 428, 139366. [Google Scholar] [CrossRef]
- Deng, H.; Wang, J.; Shao, Y.; Zhou, Y.; Cao, Y.; Zhang, X.; Li, W. Optimization of configurations and scheduling of shared hybrid electric-hydrogen energy storages supporting to multi-microgrid system. J. Energy Storage 2023, 74, 109420. [Google Scholar] [CrossRef]
- Li, Q.; Xiao, X.; Pu, Y.; Luo, S.; Liu, H.; Chen, W. Hierarchical optimal scheduling method for regional integrated energy systems considering electricity-hydrogen shared energy. Appl. Energy 2023, 349, 121670. [Google Scholar] [CrossRef]
- Shi, M.; Huang, Y.; Lin, H. Research on power to hydrogen optimization and profit distribution of microgrid cluster considering shared hydrogen storage. Energy 2023, 264, 126113. [Google Scholar] [CrossRef]
- Yan, D.; Chen, Y. Review on Business Model and Pricing Mechanism for Shared Energy Storage. Autom. Electr. Power Syst. 2022, 46, 178–191. [Google Scholar] [CrossRef]
- Shuai, X.; Ma, Z.; Wang, X.; Guo, H.; Zhang, H. Optimal Operation of Shared Energy Storage and Integrated Energy Microgrid Based on Leader-follower Game Theory. Power Syst. Technol. 2023, 47, 679–690. [Google Scholar] [CrossRef]
- Fleischhacker, A.; Auer, H.; Lettner, G.; Botterud, A. Sharing Solar PV and Energy Storage in Apartment Buildings: Resource Allocation and Pricing. IEEE Trans. Smart Grid 2019, 10, 3963–3973. [Google Scholar] [CrossRef]
- Sun, C.; Zheng, T.; Chen, L.; Xie, Y.; Gao, B.; Mei, S. Energy Storage Sharing Mechanism Based on Combinatorial Double Auction. Power Syst. Technol. 2020, 44, 1732–1739. [Google Scholar] [CrossRef]
- Fan, S.; Ai, Q.; Piao, L. Bargaining-based cooperative energy trading for distribution company and demand response. Appl. Energy 2018, 226, 469–482. [Google Scholar] [CrossRef]
- Zhang, T.; Chen, C.; Ma, L.; Chen, T.; Wei, Y.; Lin, Z.; Srinivasan, D. Multi-Step Clustering and Generalized Nash Bargaining-Based Planning Strategy of Community-Shared Energy Storage for Large-Scale Prosumers. IEEE Trans. Sustain. Energy 2024, 15, 1013–1027. [Google Scholar] [CrossRef]
- Dai, R.; Charkhgard, H.; Chen, Y.; Kuang, Y. Balancing Benefit Distribution for Energy Storage Sharing based on Nash Bargaining Solution. In Proceedings of the 2019 IEEE Power & Energy Society General Meeting (PESGM), 4–8 August 2019; IEEE: Piscataway, NJ, USA, 2019; pp. 1–5. [Google Scholar]
- Doostinia, M.; Beheshti, M.T.H.; Alavi, S.A.; Guerrero, J.M. Distributed event-triggered average consensus control strategy with fractional-order local controllers for DC microgrids. Electr. Power Syst. Res. 2022, 207, 107791. [Google Scholar] [CrossRef]
- Doostinia, M.; Beheshti, M.T.H.; Alavi, S.A.; Guerrero, J.M. Distributed control strategy for DC microgrids based on average consensus and fractional-order local controllers. IET Smart Grid 2021, 4, 549–560. [Google Scholar] [CrossRef]
- Vijayalakshmi, K.; Vijayakumar, K.; Nandhakumar, K. Prediction of virtual energy storage capacity of the air-conditioner using a stochastic gradient descent based artificial neural network. Electr. Power Syst. Res. 2022, 208, 107879. [Google Scholar] [CrossRef]
- Nasab, M.A.; Zand, M.; Padmanaban, S.; Bhaskar, M.S.; Guerrero, J.M. An efficient, robust optimization model for the unit commitment considering renewable uncertainty and pumped-storage hydropower. Comput. Electr. Eng. 2022, 100, 107846. [Google Scholar] [CrossRef]
- Zhou, K.; Fei, Z.; Hu, R. Hybrid robust decentralized optimization of emission-aware multi-energy microgrids considering multiple uncertainties. Energy 2023, 265, 126405. [Google Scholar] [CrossRef]
- Fan, W.; Ju, L.; Tan, Z.; Li, X.; Zhang, A.; Li, X.; Wang, Y. Two-stage distributionally robust optimization model of integrated energy system group considering energy sharing and carbon transfer. Appl. Energy 2023, 331, 120426. [Google Scholar] [CrossRef]
- Zhai, J.; Wang, S.; Guo, L.; Jiang, Y.; Kang, Z.; Jones, C.N. Data-driven distributionally robust joint chance-constrained energy management for multi-energy microgrid. Appl. Energy 2022, 326, 119939. [Google Scholar] [CrossRef]
- Wang, Q.; Zhang, X.; Yi, C.; Li, Z.; Xu, D. A Novel Shared Energy Storage Planning Method Considering the Correlation of Renewable Uncertainties on the Supply Side. IEEE Trans. Sustain. Energy 2022, 13, 2051–2063. [Google Scholar] [CrossRef]
- Li, Y.; Hu, W.; Zhang, F.; Li, Y. Collaborative operational model for shared hydrogen energy storage and park cluster: A multiple values assessment. J. Energy Storage 2024, 82, 110507. [Google Scholar] [CrossRef]
- Fan, W.; Tan, Z.; Li, F.; Zhang, A.; Ju, L.; Wang, Y.; De, G. A two-stage optimal scheduling model of integrated energy system based on CVaR theory implementing integrated demand response. Energy 2023, 263, 125783. [Google Scholar] [CrossRef]
- Liu, H.; Qiu, J.; Zhao, J. A data-driven scheduling model of virtual power plant using Wasserstein distributionally robust optimization. Int. J. Electr. Power Energy Syst. 2022, 137, 107801. [Google Scholar] [CrossRef]
- Zilong, Z.; Peiqiang, L.; Yong, L.; Junjie, Z.; Yijia, C. Low-carbon Distributionally Two-stage Robust Optimization Considering Conditional Value-at-Risk for Hybrid AC/DC Grids. High Volt. Eng. 2024, 50, 157–168. [Google Scholar] [CrossRef]
- Wang, K.; Liang, Y.; Jia, R.; Wang, X. Two-stage Optimal Scheduling of Nash Negotiation-based Integrated Energy Multi-microgrids With Hydrogen-doped Gas Under Uncertain Environment. Power Syst. Technol. 2023, 47, 3141–3159. [Google Scholar] [CrossRef]
- Wang, H.; Zhang, C.; Li, K.; Liu, S.; Li, S.; Wang, Y. Distributed coordinative transaction of a community integrated energy system based on a tri-level game model. Appl. Energy 2021, 295, 116972. [Google Scholar] [CrossRef]
- Wang, Y.; Song, M.; Jia, M.; Li, B.; Fei, H.; Zhang, Y.; Wang, X. Multi-objective distributionally robust optimization for hydrogen-involved total renewable energy CCHP planning under source-load uncertainties. Appl. Energy 2023, 342, 121212. [Google Scholar] [CrossRef]
- Ordoudis, C.; Nguyen, V.A.; Kuhn, D.; Pinson, P. Energy and reserve dispatch with distributionally robust joint chance constraints. Oper. Res. Lett. 2021, 49, 291–299. [Google Scholar] [CrossRef]
- Zhang, M.; Yang, J.; Yu, P.; Tinajero, G.D.A.; Guan, Y.; Yan, Q.; Zhang, X.; Guo, H. Dual-Stackelberg game-based trading in community integrated energy system considering uncertain demand response and carbon trading. Sustain. Cities Soc. 2024, 101, 105088. [Google Scholar] [CrossRef]
- Cai, P.; Mi, Y.; Xing, H.; Li, D.; Li, H.; Wang, P. Hierarchical coordinated energy management strategy for electricity-hydrogen integrated charging stations based on IGDT and hybrid game. Electr. Power Syst. Res. 2023, 223, 109527. [Google Scholar] [CrossRef]














| Ref. No. | Shared Energy Storage Technology | Trading Strategy | Uncertainty | |
|---|---|---|---|---|
| SESO–MGO | MGO–User | |||
| [2] | ES + TES | Nash bargaining game | × | × |
| [6] | P2G | Nash bargaining game | × | × |
| [9] | ES + TES | Bi-level optimization model | × | × |
| [10] | Battery + P2G | Bi-layer optimization model | × | × |
| [11] | ES + HST | Stackelberg game | × | × |
| [14] | ES | Stackelberg game | Stackelberg game | × |
| [18] | ES | Nash bargaining game | × | × |
| [27] | ES | × | DRO | |
| [28] | P2G | Nash bargaining game | × | DRO |
| This paper | ES + P2G | Nash bargaining game | Stackelberg game | DRO + CVaR |
| Time | Price (yuan/kWh) |
|---|---|
| 1:00–7:00; 23:00–24:00 | 0.4 |
| 8:00–11:00; 15:00–18:00 | 0.75 |
| 12:00–14:00; 19:00–22:00 | 1.5 |
| Scenario | Stackelberg Game | Uncertainty | SESO |
|---|---|---|---|
| 1 | × | × | √ |
| 2 | √ | × | √ |
| 3 | √ | √ | √ |
| 4 | √ | √ | × |
| Scenario | SESO (yuan) | MG1 (yuan) | MG2 (yuan) | MG3 (yuan) | Alliance Benefits (yuan) |
|---|---|---|---|---|---|
| 1 | 1776.38 | 29,502.25 | 21,642.86 | 18,897.64 | 65,644.45 |
| 2 | 2067.92 | 33,464.85 | 24,766.38 | 21,725.93 | 72,115.05 |
| 3 | 1456.28 | 29,426.68 | 21,501.58 | 18,547.54 | 70,685.85 |
| 4 | / | 27,216.02 | 19,628.39 | 17,394.20 | / |
Disclaimer/Publisher’s Note: The statements, opinions and data contained in all publications are solely those of the individual author(s) and contributor(s) and not of MDPI and/or the editor(s). MDPI and/or the editor(s) disclaim responsibility for any injury to people or property resulting from any ideas, methods, instructions or products referred to in the content. |
© 2026 by the authors. Licensee MDPI, Basel, Switzerland. This article is an open access article distributed under the terms and conditions of the Creative Commons Attribution (CC BY) license.
Share and Cite
Liang, J.; Wu, Z. Distributionally Robust Dynamic Interaction for Microgrid Clusters with Shared Electric–Hydrogen Storage. Energies 2026, 19, 903. https://doi.org/10.3390/en19040903
Liang J, Wu Z. Distributionally Robust Dynamic Interaction for Microgrid Clusters with Shared Electric–Hydrogen Storage. Energies. 2026; 19(4):903. https://doi.org/10.3390/en19040903
Chicago/Turabian StyleLiang, Jian, and Zhongqun Wu. 2026. "Distributionally Robust Dynamic Interaction for Microgrid Clusters with Shared Electric–Hydrogen Storage" Energies 19, no. 4: 903. https://doi.org/10.3390/en19040903
APA StyleLiang, J., & Wu, Z. (2026). Distributionally Robust Dynamic Interaction for Microgrid Clusters with Shared Electric–Hydrogen Storage. Energies, 19(4), 903. https://doi.org/10.3390/en19040903
