Next Article in Journal
Survey of Blockchain Technology Deployment in Electric Power Industry in Indonesia
Previous Article in Journal
Short-Term Demand Forecasting and Supply Assurance Evaluation for Natural Gas Pipeline Networks Based on Uncertainty Quantification and Deep Learning
 
 
Font Type:
Arial Georgia Verdana
Font Size:
Aa Aa Aa
Line Spacing:
Column Width:
Background:
Article

A Coordinated Optimal Operation Method for Distribution Networks and Multiple Microgrids Based on Flexibility Margin Assessment

1
School of Electrical Engineering, Northeast Electric Power University, Jilin 132012, China
2
State Grid Jilin Electric Power Company Limited, Changchun Power Supply Company, Changchun 130021, China
3
State Grid Heilongjiang Economic Research Institute, Harbin 150090, China
4
State Grid Jilin Electric Power Company Limited, Jilin Power Supply Company, Jilin 132012, China
*
Author to whom correspondence should be addressed.
Energies 2026, 19(4), 1102; https://doi.org/10.3390/en19041102
Submission received: 29 January 2026 / Revised: 13 February 2026 / Accepted: 19 February 2026 / Published: 22 February 2026
(This article belongs to the Section F1: Electrical Power System)

Abstract

Under the “dual carbon” goals, the large-scale integration of distributed photovoltaics (DPVs) presents a challenge for the flexibility supply–demand mismatch in distribution systems. To address the issue of accurately matching flexibility supply and demand in the process of DPV consumption, this paper proposes a coordinated optimization method for the distribution network (DN)- multi-microgrid (MMG) system, based on flexibility margin assessment. First, the mechanism of flexibility supply–demand imbalance under high penetration of DPV is analyzed, and a flexibility margin index considering network constraints is developed to quantify the flexibility surplus or deficit at different levels and periods. Next, within the framework of energy interaction between the DN-MMG systems, a centralized collaborative optimization model is established, aiming to enhance global flexibility margins. This model coordinates power exchange between nodes and the inter-temporal dispatch of energy storage, achieving the collaborative utilization of various flexibility resources. Finally, a case study based on a 10 kV distribution system with MMGs in a northern region is presented. The results show that the proposed method can effectively improve the spatiotemporal matching of system flexibility, reduce the risks of solar power curtailment and load shedding, while enhancing the economic performance of the system and the capacity for DPV integration.

1. Introduction

Under the “dual carbon” goals, China’s DPV installed capacity has developed rapidly. By the end of 2024, the cumulative installed capacity of DPV had reached 370 GW, which is 121 times that of the end of 2013, accounting for 42% of the total DPV installed capacity [1]. With the large-scale integration of DPV, the DN is transitioning from a traditional passive, unidirectional radial network to an active network with bidirectional power flow, where the user side occasionally requires reverse power delivery. The original “passive power supply” mode of the distribution system is unable to cope with the intermittency and randomness of DPV. There is a spatiotemporal mismatch between DPV output and load demand, placing higher demands on the flexibility regulation capabilities of the distribution system [2,3].
A microgrid is an autonomous unit that aggregates distributed energy sources, energy storage, and loads, and possesses certain flexibility regulation capabilities [4]. As an end unit of the DN, MMGs, which include a variety of flexible resources such as generation-storage-load, have great potential in promoting local DPV consumption, reducing system operating costs, and enhancing supply reliability [5,6,7,8]. However, different types of microgrids exhibit significant differences in flexibility supply and demand characteristics due to variations in their source-load structure and the configuration of flexibility resources. For instance, microgrids with a high proportion of DPV may experience surplus generation during the day, while load-dominated microgrids may face supply shortages at night. If each microgrid operates independently from the DN for an extended period, the overall system will display a flexibility imbalance characterized by local surpluses and local shortages, making it difficult to achieve effective allocation of flexibility resources at the system level [9].
Regarding the optimization of distribution systems containing MMGs, extensive research has been conducted by scholars both domestically and internationally [10,11], primarily focusing on two optimization scheduling approaches: distributed and centralized methods [12]. The distributed optimization scheduling method models the microgrids and the DN separately, which helps protect the privacy of each entity. For example, reference [13] developed a multi-objective distributed robust optimization model addressing the uncertainties of renewable energy and electric vehicles, and solved it using a distributed algorithm based on the alternating direction method of multipliers. Reference [14] tackled the issue of voltage violations in DNs by establishing a collaborative mechanism based on multi-factor incentives, and introduced a multi-agent deep deterministic policy gradient algorithm incorporating Shapley Q-values to optimize MMG operational strategies. This approach improved the economic operation of microgrids while effectively reducing the voltage violation rate in the DN. However, when applying distributed optimization algorithms, the above-mentioned studies face challenges in characterizing the flexibility supply and demand status at the system level. Due to insufficient interaction information between entities, these methods may become trapped in local optima.
The centralized optimization scheduling method solves the optimization models of microgrids and the DN simultaneously. Reference [15] addresses the energy exchange issue in a distribution system with multiple microgrids by constructing a one-to-many game model that considers demand-side response and energy cooperation between microgrids. The dual-layer problem is transformed into a single-layer problem using the Karush–Kuhn–Tucker conditions. Reference [16] focuses on the day-ahead trading problem of MMGs, establishing a cooperative game-based optimization model. This model uses Nash bargaining to coordinate profit distribution within the alliance and optimizes trading power and electricity prices between microgrids. This approach reduces the overall system operating costs while effectively improving local renewable energy consumption and the market competitiveness of microgrids. Centralized optimization algorithms consider the completeness of the model and can directly calculate the global optimal solution, offering practical value in theoretical analysis. However, existing research primarily focuses on economic or energy balance analysis and lacks a quantitative evaluation of the real-time flexibility supply and demand status in DN–MMG systems, which includes network constraints. This makes it difficult to explain, from a regulation perspective, how different operational modes affect the integration of DPVs.
The essence of the DPV consumption issue lies in the mismatch between system flexibility supply and demand in both the temporal and spatial dimensions, manifested as insufficient downward adjustment capacity during peak DPV generation periods and strained upward adjustment capacity during load peak periods. Relying solely on expanding the power grid [17], increasing energy storage [18,19], or considering demand-side response [20] cannot fundamentally address the spatiotemporal mismatch of flexibility supply and demand. Therefore, it is necessary to implement collaborative optimization at the system level, guiding the reasonable scheduling of internal flexibility resources on a global scale.
Traditional flexibility margin indicators, such as the system flexibility margin index and node flexibility margin index, are primarily used to assess the upward and downward power adjustment margins. Reference [21] first defined the system-level flexibility insufficiency risk by calculating the difference between the total network reserve capacity and the net load fluctuation demand, quantifying the overall flexibility surplus. Reference [22] evaluated the maximum upward and downward adjustable power range at each node in an ideal state based on power node theory. Reference [23] further developed a flexibility optimization scheduling model for multi-energy systems, aggregating the adjustment capacities of various resources to smooth out fluctuations in renewable energy output. Although these indicators reflect the system’s regulation margin, they often aggregate various flexibility resources without considering network topology, line congestion, and operational constraints, making it difficult to reflect the actual operational regulation capacity and the spatiotemporal mismatch risks of flexibility supply and demand in real-world system operations.
Therefore, this paper addresses the continuous matching of flexibility supply and demand in the DN–MMG system and proposes a coordinated optimization operation method based on flexibility margin assessment. First, the mechanism of system flexibility supply and demand imbalance under high penetration of DPVs is analyzed, and a layered flexibility margin index is developed to accurately characterize the spatiotemporal distribution of flexibility surplus and deficit at each level. Subsequently, using these evaluation results as optimization guidance, a centralized collaborative optimization model is established, aiming to improve the spatiotemporal matching of flexibility resources by actively coordinating power exchange between nodes and energy storage dispatch. Finally, the proposed method’s comprehensive benefits in enhancing system flexibility, promoting DPV consumption, and ensuring economic operation are validated through multiple scenario-based case studies.

2. Analysis of Flexibility Adjustment Ability of DN–MMG

2.1. Flexibility Supply and Demand Imbalance and Evaluation Index

2.1.1. The Imbalance Between Supply and Demand of Flexibility Under High Penetration of DPV

The high proportion of DPV integration exacerbates the changes in the temporal characteristics of the net load in the distribution system. This is reflected in a significant dip in net load during midday due to concentrated DPV generation, while during the morning and evening load peak periods, the sharp reduction in DPV output increases the demands on the system’s flexibility regulation capabilities.
In MMG distribution systems, the flexibility supply and demand characteristics vary across different types of microgrids due to differences in source-load structures and flexibility resource configurations. Taking a high-penetration industrial microgrid as an example, its DPV installed capacity is typically higher than the daytime load demand. During peak DPV generation periods, the net load sharply decreases, resulting in significant generation surplus, which forces the system to curtail excess electricity through DPV generation abandonment.
P PVc , IM t = max 0 , P PV , IM t P load , IM t + F dn , IM t
where P PVc , IM t is the light curtailment power caused by the lack of flexibility reduction ability of the industrial microgrid at time t; P PV , IM t and P load , IM t are the actual DPV output and load power of industrial microgrid at time t; F dn , IM t is the down-regulation flexibility power of industrial microgrid at time t.
In contrast, load-dominated microgrids (such as residential microgrids) experience a sharp increase in net load during nighttime or periods of insufficient DPV generation. The internal flexibility resources may be unable to meet the load demand, leading to load shedding to maintain power balance.
P cut , RM t = max 0 , P load , RM t P PV , RM t + F up , RM t
where P cut , RM t is the load shedding power caused by the lack of flexibility up-regulation ability of the residential microgrid at time t; P PV , RM t and P load , RM t are the actual DPV output and load power of residential microgrid at time t; F up , RM t is the up-regulated flexibility power of residential microgrid at time t.
From the perspective of the DN, the spatiotemporal aggregation of outputs from multiple DPV nodes further exacerbates the fluctuations in the system’s net load, significantly increasing the overall regulation pressure on the DN. At the same time, due to limitations in the transmission capacity of DN lines and operational constraints, flexibility resources between nodes cannot flow freely. As a result, although the system may still have some regulation potential at the overall level, local congestion can prevent these resources from being effectively utilized, leading to DPV generation curtailment or load shedding. Therefore, under the high penetration of DPVs, evaluating system operation risks solely based on installed capacity or reserve levels is no longer sufficient. It is crucial to characterize the system’s operational state from the perspective of flexibility supply and demand relationships and their temporal matching.

2.1.2. Flexibility Margin Index Considering Network Constraints

To accurately assess the flexibility supply and demand relationships at both the node and system levels, as well as their spatiotemporal matching characteristics, this paper constructs a flexibility margin index P r , from the perspective of the power supply–demand gap and the matching of adjustable flexibility capabilities, while considering network constraints.
(1)
Maximum Power Gap
The maximum power gap of the system at time t, denoted by F N t , is defined as:
F N t = A = Ω L P load , A t B = Ω P V P PV , B t C = Ω G P G , C min
where ΩL, ΩPV, and ΩG denote the sets of loads, DPV units, and conventional generators, respectively; P G , C min is the minimum technical output of generator C.
If F N t > 0, the system experiences a load deficit, requiring the generation units to increase output or purchase electricity from external sources. When F N t = 0, the system is at the power balance critical point. If F N t < 0, it indicates that the system is experiencing generation surplus, and there is a demand for downward flexibility adjustment.
(2)
Adjustable Flexibility Power
Conventional generators can provide flexibility within their output range. Let F c , up t and F c , dn t denote the available upward and downward flexibility power of conventional units at time t respectively:
F c , up t = n = 1 N P n , max n N P n t F c , dn t = n N P n t n = 1 N P n , min
where P n , max and P n , min denote the upper and lower output limits of conventional unit n, and P n t represents the output of unit n at time t.
Energy storage systems (ESS) can mitigate load fluctuations and supply flexibility resources to the system. Let F e , up t and F e , dn t denote the upward and downward flexibility power of the ESS at time t respectively:
F e , up t = min ( P e , max , S o C t SoC min ESS η t ) F e , dn t = min ( P e , min , SoC max S o C t ESS η t )
The maximum upward and downward flexibility power of the system at time t under operational constraints, denoted by F up t and F dn t respectively, are expressed as:
F up t = F c , up t + F e , up t F dn t = F c , dn t + F e , dn t
(3)
Flexibility Margin Index
Even if there is local regulation potential, transmission congestion may prevent flexibility from being effectively supplied, resulting in a situation where the system-level P r remains insufficient. To address the spatial mismatch of flexibility, this paper incorporates the actual load shedding amount P c u t t and DPV curtailment amount P P V c t after system optimization as correction factors. A piecewise function model for P r is constructed as follows:
P r t = P cut t + P PVc t S base , P cut t > 0 P PVc t > 0 F up t S base , P cut t 0 P PVc t 0 F N t 0 F dn t S base , P cut t 0 P PVc t 0 F N t < 0
where Sbase is the base capacity of flexibility resources.
Pr > 0 indicates ample flexibility resources, with a larger value representing a higher regulation margin; P r = 0 denotes critical balance with no remaining capability; Pr < 0 indicates insufficient flexibility, with more negative values reflecting higher risk of load shedding or DPV curtailment.
Flexibility margin index P r has the ability of hierarchical evaluation. When the evaluation object is a single microgrid or DN node, Pr is used to describe the local flexibility of the node in the current operating state, reflecting its ability to cope with net load fluctuations independently. When the evaluation object is the whole DN–MMG system, P r comprehensively considers the flexibility potential of global flexibility resources under network constraints, which is used to characterize the overall adjustment ability state of the system level.
In order to further quantify the risk degree of the system at the time of insufficient flexibility. By defining the up-regulation margin deficiency Umid and the down-regulation margin deficiency D mid , the flexibility deficit level of the system in different adjustment directions is evaluated. The smaller the index value (closer to 0), the lower the flexibility risk corresponding to the system. As shown in Formula (8):
U mid = t Ω u p | P cut t S base | , Ω u p = t | P cut t > ε D mid = t Ω d n | P PVc t S base | , Ω d n = t | P PVc t > ε
where Ωup and Ωdn represent the sets of upward and downward adjustment demands, respectively; ɛ is the decision threshold, which is set to a very small positive value of 10−5, and can be neglected in practical engineering applications.
The index proposed in this paper primarily quantifies the system’s regulation capacity from the perspective of active power balance. However, by incorporating an AC power flow model that considers reactive power balance and voltage constraints, a more conservative scheduling strategy is selected during the optimization process to avoid voltage violations at nodes or branch congestion. This approach indirectly reflects the contribution of reactive power flexibility and voltage regulation to the flexibility margin.

2.2. Analysis of Coordinated Operation Mechanism of DN–MMG Based on Flexibility Margin

Under different operating modes, the distribution of flexibility margin at DN and microgrid nodes exhibits significant differences. To reveal the role mechanism of the flexibility margin index in coordinated optimization, this paper first analyzes the flexibility surplus and deficit states of different types of microgrids at each time period at the node level. It then compares the changes in system-level flexibility margin under independent and coordinated operation conditions.
In the independent operation method, the DN and each microgrid are scheduled based on their own optimal operating objectives, with no power exchange mechanism between nodes. The flexibility resources at each node are primarily used to meet local net load fluctuations, making it difficult to achieve coordinated configuration at the system level. The scheduling diagram for this method is shown in Figure 1a.
Under this operating method, the industrial microgrid faces insufficient downward flexibility during the midday peak DPV generation period due to surplus output, resulting in a node-level flexibility margin P r , I M < 0. Meanwhile, the commercial microgrid experiences tight upward flexibility due to high load levels during the same period, reflected as P r , C M < 0. Because of the lack of effective power exchange between nodes, the system exhibits a flexibility imbalance characterized by “surplus at one location, shortage at another.” During the nighttime, some microgrids have limited internal flexibility resources, exacerbating the issue of insufficient upward margin. As a result, load shedding becomes necessary to maintain power balance, causing a further decline in the overall system flexibility margin. This, in turn, negatively impacts both the economic operation and supply reliability of the system.
To address the aforementioned limitations, the DN–MMG coordinated optimization method aims to improve flexibility margins. Under the premise of satisfying network constraints, it directs power from surplus nodes to demand nodes and performs inter-temporal scheduling of flexibility resources such as energy storage. This approach optimizes the allocation of flexibility regulation capacity in both the time and space dimensions, reducing the waste of regulation capacity caused by flexibility supply–demand mismatches. The scheduling diagram under coordinated operation is shown in Figure 1b.
Under coordinated scheduling, flexibility margins between different nodes achieve spatial complementarity. During the midday period, the surplus DPV generation from the industrial microgrid is no longer wasted; instead, it is transmitted via the DN’s transmission lines to flexibility-deficient nodes such as the commercial and residential microgrids, alleviating their upward flexibility shortage and reducing the upward margin deficiency U mid . At the same time, the downward flexibility pressure of the industrial microgrid is also relieved, resulting in a reduction in the downward margin deficiency Dmid. Through power exchange between nodes, the overall system flexibility imbalance is significantly reduced.
In the time dimension, the coordinated method uniformly schedules energy storage resources. During periods when D mid > 0 (such as midday), the storage system charges to absorb surplus DPV generation. During periods when U m i d > 0 (such as evening), the storage system discharges to compensate for the upward flexibility shortage. Through the sequential actions of energy storage, the flexibility upward capacity available in the midday is transferred to the evening when there is a shortage, effectively improving the system’s flexibility margin curve over the entire period. This reduces both the duration and magnitude of P r < 0.
Comparing Figure 1a,b, it can be observed that the coordinated operation method improves the system’s flexibility margin level. By guiding low marginal cost DPV and flexibility resources to prioritize regulation, the method further reduces the overall system operating costs, while ensuring the safe and stable operation of the distribution system.

2.3. An Energy Interaction Framework for Flexibility Margin Improvement

Figure 2 illustrates the energy interaction framework between the DN and MMG system used in this paper. Microgrids are embedded as nodes within the DN, and the two interact via transmission lines. The DN dispatch center serves as the decision-making unit of the system, responsible for data exchange at the information layer and formulating coordinated optimization scheduling strategies. It does not directly participate in energy exchange.
This paper assumes that the dispatch center, based on a well-developed DN automation system, has reliable bidirectional communication capabilities, enabling it to collect real-time data on the operating status of each node’s generation, load, and storage. While respecting the autonomy of the microgrids, the dispatch center coordinates power exchange between nodes and inter-temporal energy storage scheduling, achieving system-level coordinated optimization.
Energy exchange between microgrids and the DN must occur through the DN’s transmission lines. However, the transmission line capacity is limited, which could lead to the risk of line congestion. If a microgrid adopts an excess power export mode to feed power back to the DN, although it may improve its own economic performance, it could increase the operational burden on the DN and, to some extent, exacerbate the conflict of interests between the DN and microgrids [24].
In this framework, the core task of the dispatch center is to real-time calculate the flexibility margin index Pr at the system level based on the collected operating data from the entire network. This index is used to assess the degree of tension in the global regulation capacity. When P r < 0, it indicates the risk of DPV curtailment or load shedding. The dispatch center then coordinates the optimization of network power flow, generator output, and energy storage charging and discharging schedules, facilitating power exchange between nodes. By leveraging spatial complementarity and temporal shifting effects, the system’s flexibility regulation capacity is reallocated, thereby improving and enhancing the system’s level.

3. DN–MMG Coordinated Optimization Model

Under the high penetration of DPV, the DN–MMG system face significant issues related to the spatiotemporal mismatch of flexibility supply and demand. To fully explore the regulation potential of various internal flexibility resources, this paper constructs a centralized collaborative optimization model for the operation of the DN–MMG system.

3.1. Objective Function

The objective function of this model includes the operating costs of the DN and the MMG system, as expressed in (9).
C = min ( C PCB + C WCB )
where CPCB denotes the operating cost of the DN over one scheduling horizon, and C WCB represents the total operating cost of the MMG system within the same period.

3.1.1. DN Operating Cost

The operating cost of the DN mainly includes the electricity purchasing cost from the main grid, the power exchange cost with microgrids, generation and operation & maintenance (O&M) costs, as well as the penalty cost of DPV curtailment, as formulated in (10).
C PCB = t T C PbuyMN t + C PbuyW t + C TPP t + C POMC t + C PPVcut t
Specifically,
C PbuyMN t = P PbuyMN t c MN , s C PbuyW t = x = 1 X C W x sellP t C TPP t = a P TPP t 2 + b P TPP t + c C POMC t = C POMC , PV t + C POMC , ESS t C PPVc t = y = 1 Y P P y PVc t c PVc
where C PbuyMN t denotes the electricity purchasing cost of the DN from the main grid at time t; P PbuyMN t is the corresponding purchased power; and c M N , s represents the unit electricity price of the main grid. C PbuyW t denotes the cost of electricity purchased by the DN from the microgrids at time t; C T P P t represents the generation cost of the thermal power plant (TPP) at time t, this term is modeled using the quadratic function form widely used in economic dispatch of power systems, as referenced in Equation (2) of reference [25]. Here, P T P P t is the generation power of the thermal power unit at time t, and a, b and c are the coefficients of the quadratic, linear, and constant terms of the cost function, respectively. The specific values of these coefficients are set to be consistent with those in reference [25]; C POMC t denotes the operation and maintenance (O&M) cost of the DN at time t, where C POMC , PV t and C POMC , ESS t correspond to the O&M costs of DPV and ESS, respectively; C PPVc t represents the DPV curtailment penalty cost of the DN at time t; P y denotes node y in the DN; and P P y P V c t is the curtailed DPV power at node y at time t.

3.1.2. MMG Operating Cost

Each microgrid comprises DPV units, microturbines (MTs), ESS, and local loads. The total operating cost of the MMG system is given by (12),
C WCB = x = 1 X t = 1 T C W x CB t
where X denotes the number of microgrids, x is the microgrid index, and T represents the length of the scheduling horizon.
The operating cost of microgrid x at time t, denoted by C W x CB t , is expressed as (13),
C W x CB t = C W x buyP t + C W x MT t + C W x OMC t + C W x cut t C W x sellP t
Specifically,
C W x buyP t = P W x buyP t c P , b C W x MT t = P W x MT t c NG C W x OMC t = C W x OMC , MT t + C W x OMC , PV t + C W x OMC , ESS t C W x cut t = C W x PVc t + C W x loadc t C W x sellP t = P W x sellP t c P , s
where C W x b u y P t denotes the electricity purchasing cost of microgrid x from the DN at time t; P W x b u y P t is the corresponding purchased power; and c P , b is the unit electricity purchasing price from the DN; C W x M T t represents the generation cost of the MT in microgrid x at time t, where P W x M T t is the MT output power and c N G denotes the unit natural gas price; C W x O M C t denotes the O&M cost of microgrid x at time t, where C W x O M C , M T t , C W x O M C , P V t , and C W x O M C , E S S t correspond to the O&M costs of the MT, DPV, and ESS, respectively; C W x c u t t denotes the penalty cost of microgrid x at time t, where C W x P V c t and C W x l o a d c t represent the DPV curtailment penalty cost and load shedding penalty cost, respectively; C W x s e l l P t denotes the revenue obtained by microgrid x from selling electricity to the DN at time t; P W x s e l l P t is the corresponding selling power; and c P , s is the unit electricity selling price to the DN.

3.2. Constraints

3.2.1. Microgrid-Side Constraints

In this study, the output of DPV units within each microgrid is approximated using a linear model, expressed as (15),
P W x PVbase t = S t PV W x
where P W x P V b a s e t denotes the actual DPV output of microgrid x at time t; S t represents the per-unit DPV generation profile at time t; and PV W x denotes the installed DPV capacity in microgrid x.
The DPV operation constraints are as follows:
0 P W x PV t P W x PVbase t 0 P W x PVc t P W x PVbase t P W x PV t + P W x PVc t = P W x PVbase t
where P W x PV t is the effective output of DPV in microgrid x at time t; and P W x PVc t is the abandoned optical power of microgrid x at time t.
The MT operation constraints are as follows:
0 P W x MT t MT W x
where P W x MT t generates power for MT in microgrid x, and MT W x is the installed capacity of microgrid x gas turbine.
The ESS operation constraints are as follows:
0 P c , W x t P W x ESSbase n W x t 0 P d , W x t P W x ESSbase 1 n W x t SoC W x min SoC W x t SoC W x max SoC W x t = SoC W x t 1 + P c , W x t η c P d , W x t / η d ESS W x SoC W x end = SoC W x ini
where P W x ESSbase is the maximum output power of ESS; n W x t is the 0–1 variable of ESS charge and discharge state marked by microgrid x at time t, which ensures that ESS does not charge and discharge at the same time. When n W x t is 1, ESS is in charge state, and when n W x t is 0, ESS is in discharge state; SoC W x t is the state of charge (SoC) of ESS in microgrid x at time t; SoC W x max and SoC W x min represent the upper/lower limits of its SoC. In this paper, the values are 0.9 and 0.1 respectively; ηc and η d are the charging and discharging efficiency of ESS, respectively, and the value of this paper is 0.95; SoC W x ini t and SoC W x end t are the initial/cut-off SoC of ESS in a scheduling cycle, and the value is 0.5 in this paper.
In the actual operation of the microgrid, it is necessary to meet the power balance at each moment to meet the requirements of safe and stable operation. The power balance constraints of each microgrid can be expressed as follows:
P PV t + P MT t + P WbuyP t + P d t = P load t + P WsellP t + P c t P loadc t
where P load t is the load power of the microgrid at time t.

3.2.2. DN-Side Constraints

The models of DPV units and ESSs in the DN are consistent with those adopted for the microgrids. For simplicity, the TPP is assumed to operate in a continuously online mode.
The operating constraints of the TPP are given by (20),
P TPPmin P TPP t P TPPmax P TPP dn P TPP t P TPP t 1 P TPP up
where P TPPmax and PTPPmin denote the upper and lower output limits of the TPP, respectively; P TPP u p and P TPP d n represent the maximum ramp-up and ramp-down rates.
For any node i in the DN, the active and reactive power flow balance must be satisfied at time t, as expressed by (21),
P inj , i t = P Load , i t + j α ( i ) P i j t j β ( i ) P j i t + r i j l i j t Q inj , i t = Q Load , i t + j α ( i ) Q i j t j β ( i ) Q j i t + x i j l i j t
where P Load , i t and Q Load , i t denote the active and reactive power demands at node i, respectively; P i j t and Q i j t represent the active and reactive power flows on branch (i,j); α(i) and β(i) denote the sets of upstream and downstream branches connected to node i; r i j and x i j are the resistance and reactance of branch (i,j); and l i j t denotes the squared current magnitude of branch (i,j).
According to Ohm’s law, the squared voltage difference between the sending and receiving nodes of branch (i,j) satisfies (22),
V i t V j t = 2 r i j P i j t + x i j Q i j t r i j 2 + x i j 2 l i j t
where V i t and V j t denote the squared voltage magnitudes at nodes i and j, respectively.
To ensure the convexity of the Alternating current (AC) power flow model and accurately characterize the relationship between branch current and power flow, the following second-order cone (SOC) constraint is adopted:
V i t l i j t ( P i j t ) 2 + ( Q i j t ) 2
To guarantee the secure and stable operation of the DN, branch currents and node voltages are constrained within permissible limits as follows:
0 l i j t S i j max U base 2 U i min 2 V i t U i max 2
where S i j max denotes the maximum allowable apparent power of branch (i,j); U base is the base voltage; and U i max and U i min represent the upper and lower voltage limits of node i, respectively.

3.2.3. Coupling Constraints

The power exchange between each microgrid and the DN is constrained as
P PV t P PVc t + P d t P c t + P GT t + P park t = P load t
where P park t denotes the power exchanged between the microgrid and the DN at time t. A positive value indicates power purchased from the DN, while a negative value indicates power sold to the DN.
In practical operation, electricity purchased by the DN from the main grid is only allowed to be injected at node 1, while the injected power at all other nodes is constrained to zero, as expressed by
0 P grid , 1 t P max grid , i = 1 P grid , i t = 0 , i 1

4. Model Solution Procedure

This paper proposes a centralized collaborative optimization operation method for the DN–MMG system based on flexibility margin assessment, and the overall process is shown in Figure 3. The method first evaluates the initial flexibility margin of the DN and microgrid nodes under independent operation conditions, identifying the flexibility surplus and deficit states at different time periods for each node. Then, based on this evaluation, a centralized collaborative optimization scheduling is performed. By coordinating power exchange between nodes and inter-temporal energy storage scheduling, the method guides the transfer of local flexibility surpluses to nodes with flexibility shortages, achieving flexibility exchange at the system level. Finally, the results of the collaborative optimization are re-evaluated to quantify the overall improvement brought by flexibility exchange at the system level. The specific steps are as follows.
Step 1: Input the information from both the DN and microgrid sides, including the parameters of various flexibility resources, network structure parameters, electricity purchase and sale prices, load and generation data, etc. The collected data is then uniformly pre-processed and converted into per-unit values.
Step 2: Based on the system’s initial operating state, evaluate the flexibility supply and demand levels for each time period and identify the spatiotemporal imbalance characteristics of flexibility.
Step 3: Based on the DN’s topology, construct the DN–MMG collaborative optimization operation model. The objective is to minimize the total system operating costs. The objective function, as shown in Equations (9) to (14), includes the costs of electricity purchase, O&M, and penalty costs.
Step 4: Establish the collaborative operation constraints for each entity. Specifically, Equations (15) to (19) represent the microgrid equipment operation and power balance constraints; Equation (20) represents the operation constraints for the thermal power units on the DN side; Equation (25) defines the power exchange constraints between the DN and MMG system; and Equation (26) represents the power exchange constraints between the DN and the main grid.
Step 5: To address the nonlinear and non-convex characteristics in the DN power flow constraints, the SOC relaxation technique is introduced. Equations (21) to (24) transform the original non-convex power flow equations into SOC constraints, converting the problem into a Mixed-Integer Second-Order Cone Programming (MISOCP) model.
Step 6: Generate and solve the standard MISOCP model. In the proposed formulation, continuous decision variables include squared node voltages V i t , squared branch currents l i j t , and branch active/reactive power flows P i j t and Q i j t , while binary variables include the charging/discharging status indicators of ESS n W x t . After solving, it is necessary to verify whether the results satisfy the accuracy of the SOC relaxation. If the relaxation is not accurate, iterative corrections are made by adjusting the penalty factor, and the model is regenerated and solved again. This process is repeated until a globally optimal solution that satisfies all operational constraints is obtained.
Step 7: Based on the optimization results, output the system’s optimal operating plan, including generator output, energy storage charging and discharging schedules, and node power exchange information. Then, recalculate the system flexibility margin index P r to quantify the improvement in system flexibility.

5. Case Study

5.1. Case Description

A 10 kV distribution system with DPV integration in a northern region of China is selected as the test system to evaluate the flexibility supply–demand characteristics and the improvement effects under different operation strategies. The network topology is illustrated in Figure 4. The system comprises one TPP, four DPV stations, and three microgrids of different types, while the remaining nodes are load buses. Each microgrid supplies its internal loads using locally installed DPV units and MTs; any power deficit is compensated by purchasing electricity from the DN. The detailed parameters of all devices and the line parameters of the distribution system are provided in Appendix A.
The DPV generation profiles and nodal load data of the distribution system are obtained from the regional power data center. Based on these historical datasets, Monte Carlo simulations are conducted to generate forecasted DPV output curves for three representative typical days, corresponding to winter, transitional, and summer seasons, as detailed in Appendix A. Figure 5 presents the temporal variations in the net loads of each microgrid under the summer typical-day scenario.
As shown in Figure 5, the net load fluctuation characteristics differ significantly among the microgrids. The flexibility resources within a single microgrid are generally insufficient to independently cope with the simultaneous variability of DPV generation and load demand. Nevertheless, complementary characteristics are observed in the temporal distribution of net loads across different microgrids. Without an effective coordinated operation strategy, the uncoordinated integration of such microgrids into the DN not only fails to exploit this potential flexibility complementarity, but may also adversely affect the secure and stable operation of the DN.
To validate the effectiveness of the proposed centralized coordinated optimization method in improving the spatiotemporal matching of flexibility supply and demand, and to comparatively analyze the differences in flexibility margins and DPV accommodation capabilities under different operation modes, this study establishes the following three methods for comparative analysis:
Method 1: DN–microgrid independent operation.
Method 2: Microgrid surplus power feed-in operation.
Method 3: DN–MMG coordinated optimal operation.
Here, Method 1 serves as the baseline scenario, reflecting the initial flexibility supply–demand state of the system without any coordinated optimization mechanism. Method 2 serves as a comparative scenario to analyze system flexibility performance when power interaction is introduced but lacks unified coordination. Method 3 is the coordinated optimization method proposed in this paper.

5.2. Verification of SOC Relaxation Accuracy

The SOC relaxation transforms the original non-convex power flow model into a convex model for solving. The physical validity of the results depends on whether the relaxation gap is zero (i.e., whether the relaxation is accurate). To verify the accuracy of the model in the case study system, the relaxation gap for the branch (i,j) at time t is defined as:
G a p i j t = | V i t l i j t ( ( P i j t ) 2 + ( Q i j t ) 2 ) |
The summer DPV output level is the highest, and the system’s net load fluctuations are severe, which increases the risk of reverse power flow and voltage violations. Figure 6, taking a typical summer day as an example, shows the maximum relaxation gap distribution curves for the branches of the entire network under three different operating methods.
As shown in Figure 6, even during the midday period when DPV reverse power flow is most severe, the relaxation gap remains at an extremely low level for all three methods. The maximum relaxation gap across the entire network is only 2.09 × 10−5 MW2, and the average relaxation error at all time points stays within the 10−5 order of magnitude, which is far smaller than the permissible error in practical engineering and can be considered as zero in numerical calculations. The results indicate that the SOC relaxation model constructed in this paper is accurate under all different operating methods, and the optimization results satisfy Kirchhoff’s law and the AC power flow equations.

5.3. Comparative Analysis of System Flexibility Margin Under Different Operation Modes

5.3.1. Flexibility Margin Analysis Under Method 1

In Method 1, the DN and each microgrid operate independently, with no power exchange between nodes. Each microgrid relies solely on internal MTs and energy storage devices to cope with DPV output fluctuations and load variations, while the DN performs independent economic dispatch subject to its own constraints. Although this operation mode achieves local optimality within each entity, the overall regulation capability of the system is restricted.
Figure 7 illustrates the time-series variation of the system flexibility margin Pr under Method 1. It can be observed that across the three typical day scenarios, the system remains in a risk state (Pr < 0) for the majority of time periods. The flexibility shortage is particularly acute during midday periods with high DPV generation (insufficient downward flexibility) and evening peak load periods (insufficient upward flexibility).
Table 1 further quantifies the degree of system flexibility supply–demand imbalance. In the transitional season, the system exhibits upward flexibility demand for 22 h, with an upward flexibility deficit index Umid of −0.878. Simultaneously, during high DPV generation periods, the downward flexibility deficit index D mid reaches as high as −1.128, indicating that the system faces simultaneous shortages of both upward and downward flexibility in the temporal dimension. Influenced by this flexibility imbalance, Method 1 results in varying degrees of DPV curtailment and load shedding across multiple typical day scenarios.

5.3.2. Flexibility Margin Analysis Under Method 2

Method 2 represents the microgrid surplus power feed-in operation mode. Under this method, each microgrid performs independent optimal scheduling with the objective of minimizing its own operating cost. Power exchange with the DN occurs only when internal flexibility resources are insufficient or in surplus; that is, purchasing power from the grid during shortages and feeding power into the grid at a fixed price during DPV surplus. There is no direct power sharing among microgrids, and the interaction between microgrids and the DN is driven primarily by the microgrids’ own economic interests.
Figure 8 presents the variation of the system flexibility margin Pr under Method 2. Compared to Method 1, Method 2 alleviates local flexibility shortages in certain periods, leading to a reduction in the duration of P r < 0 states. However, in the transitional and summer seasons, the system still exhibits significant flexibility shortages during periods of high DPV generation or peak load.
Table 2 provides the flexibility supply–demand statistics for Method 2. The results indicate that while Method 2 alleviates rigid power shortages to some extent, it still suffers from insufficient downward margin in high DPV penetration scenarios. In summer, the Dmid reaches −1.175, and the risk of DPV curtailment remains high. This suggests that relying solely on autonomous microgrid operation is insufficient to fully unlock the overall flexibility potential of the system.

5.3.3. Flexibility Margin Analysis Under Method 3

Figure 9 compares and displays the time-series variation of the system flexibility margin P r under Method 3. Compared to the previous two operation methods, Method 3 effectively elevates the overall level of Pr, significantly shortens the duration of flexibility shortage periods, and effectively improves the spatiotemporal mismatch between flexibility supply and demand.
Through the unified coordination of inter-node power interaction and cross-temporal energy storage operation, the coordinated optimization mode effectively relieves downward regulation pressure during midday high-DPV periods and reduces upward regulation demand during evening peaks, achieving a rational allocation of flexibility resources across both temporal and spatial dimensions.
The data in Table 3 show that Method 3 achieves Pr > 0 throughout all time periods in winter and the transitional season, indicating ample overall system flexibility. In summer, when DPV output is strongest, although there is still a downward regulation demand in a few periods, the downward flexibility deficit index D mid is only −0.710. This is significantly lower than that of Method 1 and Method 2, effectively mitigating the risk of DPV curtailment.
Figure 10 provides a comprehensive evaluation of the flexibility margin for the three operating methods on a typical summer day from multiple dimensions. Method 1 shows the smallest area, with both upward and downward flexibility margins remaining at low levels. Method 2 improves upon Method 1, but the downward flexibility margin and the peak flexibility margin are still limited. Method 3 fully envelops the first two methods, achieving optimal performance across all dimensions.
From the analysis of the flexibility margin under the three operating methods, it can be seen that the independent operation of the DN–microgrid system ignores the potential for sharing internal flexibility resources, resulting in the flexibility margin remaining at a relatively low level for extended periods. The microgrid excess power export method, while introducing an energy exchange mechanism that alleviates local imbalances to some extent, still focuses on the economic efficiency of individual microgrids and does not coordinate flexibility at the system level, so the improvement effect remains limited. In contrast, the DN–MMG coordinated optimization method achieves efficient allocation of flexibility resources through unified scheduling, significantly improving the system’s flexibility margin and, on this basis, enhancing the capacity for DPV absorption.

5.4. Analysis of System Cost and DPV Accommodation

The improvement of the flexibility margin Pr directly alleviates the regulation pressure on the system during periods of high net load fluctuation, thereby reducing the risks of DPV curtailment and load shedding, and further improving the overall operational economy of the system. To analyze the impact of different flexibility margin levels on system performance under various operating methods, Table 4, Table 5 and Table 6 present the operational data for each method on typical winter, transition season, and summer days.
From Table 4 and Table 5, it can be seen that Method 1, due to the lack of a coordination mechanism, faces both DPV curtailment and load shedding penalties, resulting in the highest operational risk and the poorest economic performance. Method 2 resolves the rigid electricity shortage problem by leveraging microgrid autonomy, but DPV curtailment still occurs in the transition season. In contrast, Method 3 fully utilizes the source-grid-load-storage complementarity characteristics, achieving zero DPV curtailment and zero load shedding in both winter and the transition season. This indicates that Method 3, by improving the Pr level, avoids the penalty costs caused by the spatiotemporal mismatch of flexibility supply and demand. Especially in the transition season, the daily operational cost of Method 3 drops to 20,000 RMB, which is a reduction of 55% and 31% compared to Method 1 and Method 2, respectively.
In the summer, with longer daylight hours and higher irradiance, the high output of DPVs often leads to DPV curtailment. As shown in Table 6, although Method 3 is constrained by operational limits and cannot fully absorb all DPV generation, it reduces the curtailment rate to 6.60%, with a daily operational cost of only 19,300 RMB, which is the best among the three methods. Combining the earlier Pr and D mid indicators, it is evident that Method 3 effectively reduces the degree of system flexibility deficit under the unavoidable DPV curtailment scenario.
Figure 11 visually demonstrates the economic benefits of Method 3. Compared to Method 1, Method 3 primarily achieves cost reduction by decreasing DPV curtailment and load shedding penalties. When compared to Method 2, the economic benefits derived from system-wide mutual assistance account for 64% of the total, surpassing the contribution of reduced curtailment penalties.
This indicates that Method 3 not only improves economic performance by reducing penalty costs but, more importantly, enhances the system’s flexibility supply and demand matching. By leveraging inter-network energy exchange, it substitutes the expensive output from microgrid gas turbines or electricity purchased from the main grid. This shift represents a transition from passively responding to net load fluctuations to actively optimizing flexibility regulation capacity.

5.5. Analysis of the Influence of Different Methods on the System Under the High Incidence of DPV Scenarios

To analyze the role of the coordinated optimization method in improving system flexibility, this section selects a high DPV output scenario (typical summer day) and examines the analysis from two aspects: the energy storage scheduling actions and the power exchange between the DN-MMG system.
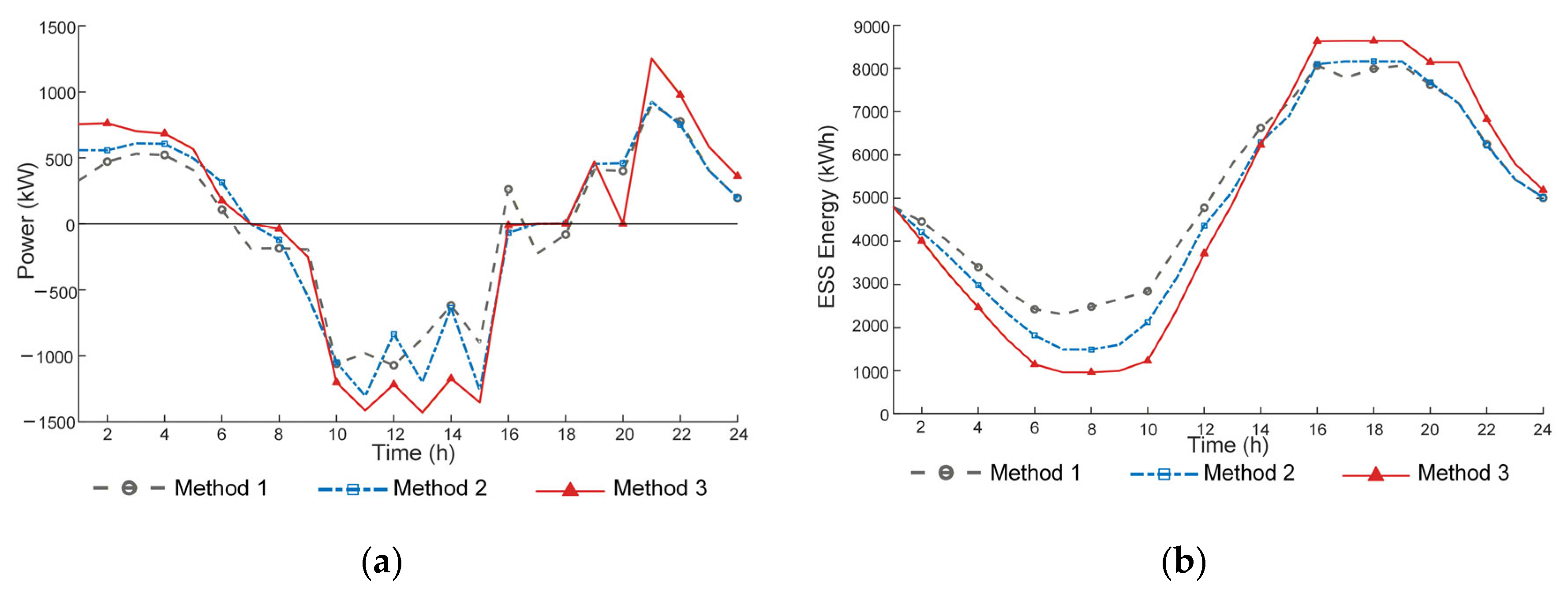
Figure 12 shows the actions of the ESS. Compared to Method 1 and Method 2, Method 3 makes the most efficient use of energy storage resources. During the periods of DPV surplus, the system’s downward flexibility demand is significantly reduced (Dmid > 0), and Method 3 directs the entire network’s energy storage to charge at maximum power, absorbing the excess DPV output. During the nighttime load peak, the system’s upward flexibility demand increases ( U mid > 0), and the ESS discharges to supply the load, alleviating the upward flexibility pressure. The inter-temporal regulation actions of energy storage smooth the flexibility supply and demand differences in the time dimension.
Figure 13 reflects the power exchange characteristics between the DN and the microgrids. On the selling side (negative axis), Method 3 shows a noticeable increase in reverse power flow, indicating that the coordinated method can transfer the surplus DPV electricity generated by the microgrid clusters during high DPV output periods to the electricity-deficient nodes, achieving flexibility mutual support in the spatial dimension. On the purchasing side (positive axis), the amount of electricity purchased from the DN by each microgrid in Method 3 is the lowest among the three methods, indicating that through system-level coordinated scheduling, the dependency of each microgrid on external power sources has been reduced.

5.6. Sensitivity Analysis of Key Parameters

To verify the effectiveness of the proposed coordinated optimization method, this section conducts a sensitivity analysis based on a typical summer day (high DPV output scenario). The selected sensitivity variables are the DPV installed capacity, energy storage capacity, and penalty coefficient, with the baseline case parameters set as 100% for reference.
Figure 14 and Figure 15 illustrate the impact of DPV installed capacity and energy storage capacity on the system’s economic performance and DPV absorption levels, respectively.
As shown in Figure 14, with the increase in DPV penetration, the system’s absorption pressure rises, and the operational costs and curtailment rates for all three methods show an upward trend. Among them, the cost curve for Method 3 remains consistently lower than the other methods, and it achieves zero curtailment in the 80% penetration scenario. In scenarios with excessively high penetration, due to the limitations of internal system flexibility resources and load demand, Method 3 is no longer able to absorb additional DPV power through power mutual support, but it still performs significantly better than Method 1.
As shown in Figure 15, there is a significant difference in the utilization efficiency of the ESS across different operating methods. With the increase in energy storage capacity, the curtailment rate in Method 3 decreases significantly. When the capacity reaches 150%, the curtailment rate drops to less than 1%, nearly achieving full absorption. This indicates that the proposed method maximizes the utilization of the ESS’s regulation potential.
Table 7 lists the impact of changes in DPV curtailment/load shedding prices on the system’s relevant indicators under different methods.
By comparing the data in Table 7, it can be observed that the system’s sensitivity to the penalty coefficient is relatively low. When the penalty is increased from 50% to 200%, the DPV curtailment rate and load shedding volume for all three methods remain almost unchanged. This indicates that due to network constraints and resource allocation, the absorption capacity of the system has reached its physical limit, and further absorption of DPVs cannot be achieved simply by increasing the penalty coefficient.

6. Conclusions

This paper addresses the spatiotemporal mismatch between flexibility supply and demand in distribution systems under high DPV penetration. A flexibility margin index is introduced to analyze and compare the flexibility states of DN–MMG systems under different operation modes. On this basis, a centralized coordinated optimal operation method is proposed. The effectiveness of the proposed method is validated under various typical day scenarios, and the main conclusions are as follows:
  • Case study results indicate that the proposed method can accurately characterize flexibility surplus and deficit states at both nodal and system levels and achieve flexibility mutual aid through coordinated dispatch. Full-time flexible supply and demand matching is realized in winter and transition season. In the scenario of high incidence of DPV in summer, the Dmid is optimized from −1.175 of method 2 to −0.710, which effectively reduces the risk of light abandonment.
  • In the scenario of high DPV incidence, the collaborative optimization method controls the light abandonment rate at 6.60%, and the daily operating cost of the system is reduced to 19,300 RMB. Compared with the independent operation of DN-microgrid and the operation of micro-grid residual power, it is reduced by 53.4% and 35.0% respectively.
  • Compared with the independent operation method, the proposed method realizes the translation of flexibility in the time dimension by energy storage cross-period scheduling. Through the power mutual aid of DN and MMG, the complementary in spatial dimension is realized, which effectively releases the potential of flexible resources within the system, and reduces the dependence on external power supply while improving the consumption capacity of renewable energy.
This paper conducts a case study based on a 10 kV, 18-node distribution system, verifying that the proposed MISOCP model achieves good computational efficiency while maintaining relaxation accuracy. Due to the limitations of the current case study system scale, future work will further validate the model’s scalability. The plan is to apply the model to real large-scale distribution systems with over 100 nodes, incorporating source-load uncertainties and the reactive voltage support capabilities of flexibility resources, in order to comprehensively assess the effectiveness and computational performance of the proposed model in complex scenarios.

Author Contributions

Conceptualization, X.Y., C.L. (Chongbi Li) and C.L. (Chang Liu); methodology, X.Y., C.L. (Chongbi Li) and H.Z.; software, C.L. (Chongbi Li) and Y.W.; validation, Y.W., C.L. (Chongbi Li) and H.Z.; formal analysis, X.Y.; investigation, C.L. (Chongbi Li); resources, X.Y. and Y.W.; data curation, C.L. (Chongbi Li) and H.Z.; writing—original draft preparation, X.Y., C.L. (Chongbi Li) and C.L. (Chang Liu); writing—review and editing, X.Y., C.L. (Chongbi Li) and H.Z.; visualization, C.L. (Chang Liu); supervision, X.Y. and Y.W.; project administration, X.Y. and Y.W.; funding acquisition, X.Y. and Y.W. All authors have read and agreed to the published version of the manuscript.

Funding

This research was funded by the Key Research and Development Program of Xinjiang Uygur Autonomous Region (funding number 2022B01016).

Data Availability Statement

Due to privacy and ethical restrictions, the data supporting the findings of this study are not publicly available. They may be requested from the corresponding author upon reasonable justification and with the permission of all involved participants.

Acknowledgments

We thank the support from the Key Research and Development Program of Xinjiang Uygur Autonomous Region.

Conflicts of Interest

Author Hao Zhang was employed by State Grid Jilin Electric Power Company Limited, Changchun Power Supply Company. Author Chang Liu was employed by State Grid Jilin Electric Power Company Limited, Jilin Power Supply Company. The remaining authors declare that the research was conducted in the absence of any commercial or financial relationships that could be construed as a potential conflict of interest.

Abbreviations

The following abbreviations are used in this manuscript:
ACAlternating Current
DNDistribution Network
DPVDistributed Photovoltaic
ESSEnergy Storage System
MISOCPMixed-Integer Second-Order Cone Programming
MMGMulti-Microgrid
MTMicroturbine
O&MOperation and Maintenance
p.u.Per Unit
SOCSecond-Order Cone
SoCState of Charge
TPPThermal Power Plant

Appendix A

Table A1. Parameters of DPV units.
Table A1. Parameters of DPV units.
Access NodeInstalled Capacity (kW)O&M Cost (CNY/kWh)Curtailment Penalty (CNY/kWh)
Node 25000.052
Node 525000.052
Node 125000.052
Node 155000.052
Microgrid A25000.052
Microgrid B6000.052
Microgrid C3000.052
Table A2. Parameters of thermal power units in the DN and MTs in microgrids.
Table A2. Parameters of thermal power units in the DN and MTs in microgrids.
Access NodeInstalled Capacity (kW)Generation Cost (CNY/kWh)
Node 310000.55
Microgrid A2000.8
Microgrid B2000.8
Microgrid C2000.8
Table A3. Parameters of ESS.
Table A3. Parameters of ESS.
Access NodePower Capacity (kW)Energy Capacity (kWh)O&M Cost (CNY/kWh)
Node 4100040000.1
Node 750020000.1
Microgrid A30012000.1
Microgrid B30012000.1
Microgrid C30012000.1
Table A4. 10 kV distribution system line parameters.
Table A4. 10 kV distribution system line parameters.
LineUpstream NodeDownstream NodeResistance (Ω)Reactance (Ω)
L1120.09220.1376
L2230.0930.10088
L3340.0660.0864
L4450.08110.0941
L5560.1190.1307
L6670.08720.2188
L7780.31440.5351
L8890.34130.54
L99100.34130.54
L1010110.09660.165
L113120.1640.1565
L1212130.230.252
L1313140.20950.2784
L145150.2030.3034
L1515160.28420.3447
L1616170.2590.3337
L1717180.30420.3006
Figure A1. Predicted DPV output profiles for different typical days.
Figure A1. Predicted DPV output profiles for different typical days.
Energies 19 01102 g0a1
Figure A2. Total load and its composition in the distribution system.
Figure A2. Total load and its composition in the distribution system.
Energies 19 01102 g0a2
Figure A3. The power interaction between DN and each microgrid under different methods.
Figure A3. The power interaction between DN and each microgrid under different methods.
Energies 19 01102 g0a3

References

  1. National Energy Administration. Notice on Issuing the “Management Measures for the Development and Construction of Distributed Photovoltaic Power Generation” (NEA New Energy Regulation No. 7). 2025. Available online: https://www.gov.cn/gongbao/2025/issue_11946/202503/content_7015853.html (accessed on 1 March 2025).
  2. Shahzad, S.; Jasińska, E. Renewable revolution: A review of strategic flexibility in future power systems. Sustainability 2024, 16, 5454. [Google Scholar] [CrossRef]
  3. Liu, K.; Sheng, W.; Li, Z.; Liu, F.; Liu, Q.; Huang, Y.; Li, Y. An energy optimal schedule method for distribution network considering the access of distributed generation and energy storage. IET Gener. Transm. Distrib. 2023, 17, 2996–3015. [Google Scholar] [CrossRef]
  4. Lopez Alzate, Y.; Gómez-Luna, E.; Vasquez, J.C. Innovative microgrid services and applications in electric grids: Enhancing energy management and grid integration. Energies 2024, 17, 5567. [Google Scholar] [CrossRef]
  5. Tobías, A.; Cardenas, V.; Garcia-Beltran, C.D.; Miranda, H.; Alvarez-Salas, R. Optimal power sharing and black start procedure in photovoltaic energy-based microgrids. IEEE Access 2023, 11, 74614–74626. [Google Scholar] [CrossRef]
  6. Kou, P.; Liang, D.; Gao, L. Distributed EMPC of multiple microgrids for coordinated stochastic energy management. Appl. Energy 2017, 185, 939–952. [Google Scholar] [CrossRef]
  7. Abbasi, A.; Khalid, H.A.; Rehman, H.; Khan, A.U. A novel dynamic load scheduling and peak shaving control scheme in community home energy management system based microgrids. IEEE Access 2023, 11, 32508–32522. [Google Scholar] [CrossRef]
  8. Singh, A.R.; Raju, D.K.; Raghav, L.P.; Kumar, R.S. State-of-the-art review on energy management and control of networked microgrids. Sustain. Energy Technol. Assess. 2023, 57, 103248. [Google Scholar] [CrossRef]
  9. Yang, Y.; Wang, J.; Zhao, P.; Dong, Y.; Fan, X. Collaborative planning and optimal scheduling for a specific distribution network area containing multiple microgrids based on a Game-theoretic approach. Sustain. Energy Grids Netw. 2025, 41, 101625. [Google Scholar] [CrossRef]
  10. Modarresi, J. Coalitional game theory approach for multi-microgrid energy systems considering service charge and power losses. Sustain. Energy Grids Netw. 2022, 31, 100720. [Google Scholar] [CrossRef]
  11. Park, H.; Ko, W. Resynchronization scheduling policy for multiple microgrids for optimal distributed system operation with enhanced flexibility. Appl. Energy 2025, 399, 126491. [Google Scholar] [CrossRef]
  12. Sinha, P.; Paul, K.; Deb, S.; Sachan, S. Comprehensive review based on the impact of integrating electric vehicle and renewable energy sources to the grid. Energies 2023, 16, 2924. [Google Scholar] [CrossRef]
  13. Li, Y.; Wang, J.; Cao, Y. Multi-objective distributed robust cooperative optimization model of multiple integrated energy systems considering uncertainty of renewable energy and participation of electric vehicles. Sustain. Cities Soc. 2024, 104, 105308. [Google Scholar] [CrossRef]
  14. Qi, X.; Chen, J.; Zhang, W.; Zhang, K.; Sun, X. Incentive-oriented strategy for optimizing microgrid-enabled distribution network voltage regulation based on SQDDPG algorithm. Sustain. Energy Grids Netw. 2025, 44, 102000. [Google Scholar] [CrossRef]
  15. Jalali, M.; Zare, K.; Seyedi, H. Strategic decision-making of distribution network operator with multi-microgrids considering demand response program. Energy 2017, 141, 1059–1071. [Google Scholar] [CrossRef]
  16. Chen, W.; Wang, J.; Yu, G.; Chen, J.; Hu, Y. Research on day-ahead transactions between multi-microgrid based on cooperative game model. Appl. Energy 2022, 316, 119106. [Google Scholar] [CrossRef]
  17. Li, Y.; Chen, Q.; Strbac, G.; Hur, K.; Kang, C. Active distribution network expansion planning with dynamic thermal rating of underground cables and transformers. IEEE Trans. Smart Grid 2023, 15, 218–232. [Google Scholar] [CrossRef]
  18. Han, J.; Fang, Y.; Li, Y.; Du, E.; Zhang, N. Optimal planning of multi-microgrid system with shared energy storage based on capacity leasing and energy sharing. IEEE Trans. Smart Grid 2024, 16, 16–31. [Google Scholar] [CrossRef]
  19. Yang, H.; Zhang, C.; Li, J.; Zhu, L.; Zhou, K. A novel robust energy storage planning method for grids with wind power integration considering the impact of hurricanes. IEEE Trans. Sustain. Energy 2025, 16, 1388–1400. [Google Scholar] [CrossRef]
  20. Zhang, Y.; Meng, Y.; Fan, S.; Xiao, J.; Li, L.; He, G. Multi-time scale customer directrix load-based demand response under renewable energy and customer uncertainties. Appl. Energy 2025, 383, 125334. [Google Scholar] [CrossRef]
  21. Makarov, Y.V.; Loutan, C.; Ma, J.; de Mello, P. Operational impacts of wind generation on California power systems. IEEE Trans. Power Syst. 2009, 24, 1039–1050. [Google Scholar] [CrossRef]
  22. Ulbig, A.; Andersson, G. Analyzing operational flexibility of electric power systems. Int. J. Electr. Power Energy Syst. 2015, 72, 155–164. [Google Scholar] [CrossRef]
  23. Che, Q.; Lou, S.; Wu, Y.; Zhang, X.; Wang, X. Optimal scheduling of a multi-energy power system with multiple flexible resources and large-scale wind power. Energies 2019, 12, 3566. [Google Scholar] [CrossRef]
  24. Zhou, Y.; Lund, P.D. Peer-to-peer energy sharing and trading of renewable energy in smart communities—Trading pricing models, decision-making and agent-based collaboration. Renew. Energy 2023, 207, 177–193. [Google Scholar] [CrossRef]
  25. Hoyos-Velandia, C.; Ramirez-Hurtado, L.; Quintero-Restrepo, J.; Osorio-Gomez, G.; Garcia-Triviño, P. Cost functions for generation dispatching in microgrids for non-interconnected zones in Colombia. Energies 2022, 15, 2418. [Google Scholar] [CrossRef]
Figure 1. Schematic diagrams of dispatch under different operation modes: (a) Independent operation mode; (b) Coordinated operation mode.
Figure 1. Schematic diagrams of dispatch under different operation modes: (a) Independent operation mode; (b) Coordinated operation mode.
Energies 19 01102 g001
Figure 2. Energy interaction framework of the DN–MMG system.
Figure 2. Energy interaction framework of the DN–MMG system.
Energies 19 01102 g002
Figure 3. Flowchart of the coordinated optimization process for the DN–multiple microgrid system.
Figure 3. Flowchart of the coordinated optimization process for the DN–multiple microgrid system.
Energies 19 01102 g003
Figure 4. Topology of the 10 kV distribution system.
Figure 4. Topology of the 10 kV distribution system.
Energies 19 01102 g004
Figure 5. The fluctuation of net load of each microgrid on typical days in summer.
Figure 5. The fluctuation of net load of each microgrid on typical days in summer.
Energies 19 01102 g005
Figure 6. The relaxation accuracy under three different operating methods on a typical summer day.
Figure 6. The relaxation accuracy under three different operating methods on a typical summer day.
Energies 19 01102 g006
Figure 7. Time-series variation of P r under Method 1.
Figure 7. Time-series variation of P r under Method 1.
Energies 19 01102 g007
Figure 8. Time-series variation of P r under Method 2.
Figure 8. Time-series variation of P r under Method 2.
Energies 19 01102 g008
Figure 9. Time-series variation of P r under Method 3.
Figure 9. Time-series variation of P r under Method 3.
Energies 19 01102 g009
Figure 10. Assessment of flexibility margins on a typical summer day.
Figure 10. Assessment of flexibility margins on a typical summer day.
Energies 19 01102 g010
Figure 11. Analysis of benefit improvement of typical sunset method 3 in summer: (a) Cost comparison between Method 1 and Method 3; (b) Cost comparison between Method 2 and Method 3.
Figure 11. Analysis of benefit improvement of typical sunset method 3 in summer: (a) Cost comparison between Method 1 and Method 3; (b) Cost comparison between Method 2 and Method 3.
Energies 19 01102 g011
Figure 12. The timing action of energy storage under different methods: (a) Charging and discharging behavior of ESS; (b) Energy levels of ESS.
Figure 12. The timing action of energy storage under different methods: (a) Charging and discharging behavior of ESS; (b) Energy levels of ESS.
Energies 19 01102 g012
Figure 13. The power interaction between DN and each microgrid under different methods.
Figure 13. The power interaction between DN and each microgrid under different methods.
Energies 19 01102 g013
Figure 14. The impact of DPV installed capacity on the system.
Figure 14. The impact of DPV installed capacity on the system.
Energies 19 01102 g014
Figure 15. The impact of ESS capacity on the system.
Figure 15. The impact of ESS capacity on the system.
Energies 19 01102 g015
Table 1. Flexibility supply and demand status under Method 1.
Table 1. Flexibility supply and demand status under Method 1.
Operation DataWinterTransitional SeasonSummer
Upward Demand (Hours)242216
Upward Flexibility Deficit Index Umid−1.214−0.878−0.330
Downward Demand (Hours)6913
Downward Flexibility Deficit Index D mid −0.214−1.128−2.284
Table 2. Flexibility supply and demand status under Method 2.
Table 2. Flexibility supply and demand status under Method 2.
Operation DataWinterTransitional SeasonSummer
Upward Demand (Hours)000
Upward Flexibility Deficit Index U mid 000
Downward Demand (Hours)058
Downward Flexibility Deficit Index Dmid0−0.278−1.175
Table 3. Flexibility supply and demand status under Method 3.
Table 3. Flexibility supply and demand status under Method 3.
Operation DataWinterTransitional SeasonSummer
Upward Demand (Hours)000
Upward Flexibility Deficit Index Umid000
Downward Demand (Hours)007
Downward Flexibility Deficit Index D mid 00−0.710
Table 4. The supply and demand situation of different methods in typical winter days.
Table 4. The supply and demand situation of different methods in typical winter days.
Operation DataMethod 1Method 2Method 3
P r > 0 (Hours)02424
P r = 0 (Hours)000
P r < 0 (Hours)2400
Upward Demand (Hours)2400
Upward Flexibility Deficit Index U mid −1.21400
Downward Demand (Hours)600
Downward Flexibility Deficit Index Dmid−0.21400
Table 5. The supply and demand situation of different methods in typical days of transition season.
Table 5. The supply and demand situation of different methods in typical days of transition season.
Operation DataMethod 1Method 2Method 3
P r > 0 (Hours)21924
Pr = 0 (Hours)000
P r < 0 (Hours)2250
Upward Demand (Hours)2200
Upward Flexibility Deficit Index Umid−0.87800
Downward Demand (Hours)950
Downward Flexibility Deficit Index D mid −1.128−0.2780
Table 6. The supply and demand of different methods on typical summer days.
Table 6. The supply and demand of different methods on typical summer days.
Operation DataMethod 1Method 2Method 3
P r > 0 (Hours)81615
Pr = 0 (Hours)001
P r < 0 (Hours)1688
Upward Demand (Hours)1600
Upward Flexibility Deficit Index Umid−0.33000
Downward Demand (Hours)1387
Downward Flexibility Deficit Index D mid −2.284−1.175−0.710
Table 7. Sensitivity analysis of penalty coefficient.
Table 7. Sensitivity analysis of penalty coefficient.
Penalty Multiplier (%)50100150200
DPV curtailment price (RMB/kWh)1234
Load shedding price (RMB/kWh)1.534.56
Method 1 daily operating cost (10,000 RMB)3.064.145.256.37
Method 1 DPV curtailment rate (%)21.6821.2321.2321.23
Method 1 load shedding volume (MWh)1.321.321.321.32
Method 2 daily operating cost (10,000 RMB)2.502.973.443.90
Method 2 DPV curtailment rate (%)10.9210.9210.7910.79
Method 2 load shedding volume (MWh)0000
Method 3 daily operating cost (10,000 RMB)1.651.932.192.45
Method 3 DPV curtailment rate (%)6.606.606.036.03
Method 3 load shedding volume (MWh)0000
Disclaimer/Publisher’s Note: The statements, opinions and data contained in all publications are solely those of the individual author(s) and contributor(s) and not of MDPI and/or the editor(s). MDPI and/or the editor(s) disclaim responsibility for any injury to people or property resulting from any ideas, methods, instructions or products referred to in the content.

Share and Cite

MDPI and ACS Style

Yang, X.; Li, C.; Zhang, H.; Wang, Y.; Liu, C. A Coordinated Optimal Operation Method for Distribution Networks and Multiple Microgrids Based on Flexibility Margin Assessment. Energies 2026, 19, 1102. https://doi.org/10.3390/en19041102

AMA Style

Yang X, Li C, Zhang H, Wang Y, Liu C. A Coordinated Optimal Operation Method for Distribution Networks and Multiple Microgrids Based on Flexibility Margin Assessment. Energies. 2026; 19(4):1102. https://doi.org/10.3390/en19041102

Chicago/Turabian Style

Yang, Xiuyu, Chongbi Li, Hao Zhang, Ying Wang, and Chang Liu. 2026. "A Coordinated Optimal Operation Method for Distribution Networks and Multiple Microgrids Based on Flexibility Margin Assessment" Energies 19, no. 4: 1102. https://doi.org/10.3390/en19041102

APA Style

Yang, X., Li, C., Zhang, H., Wang, Y., & Liu, C. (2026). A Coordinated Optimal Operation Method for Distribution Networks and Multiple Microgrids Based on Flexibility Margin Assessment. Energies, 19(4), 1102. https://doi.org/10.3390/en19041102

Note that from the first issue of 2016, this journal uses article numbers instead of page numbers. See further details here.

Article Metrics

Back to TopTop