Development of a Resonance Velocity-Driven Energy Harvester Using Triple-Layer Piezoelectric
Abstract
1. Introduction
2. Theoretical Analysis
2.1. Assumptions of Dynamic Behavior
2.2. Generated Voltage and Power
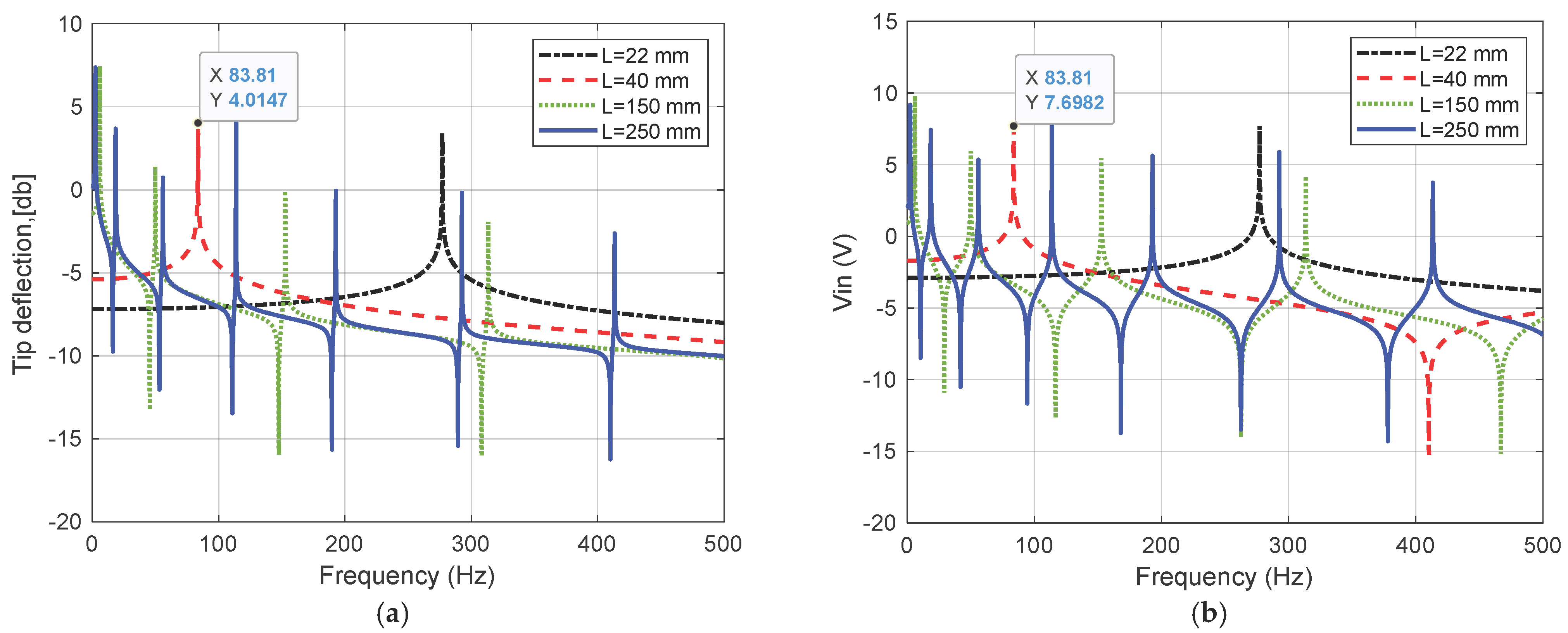
3. Simulation Result Analysis
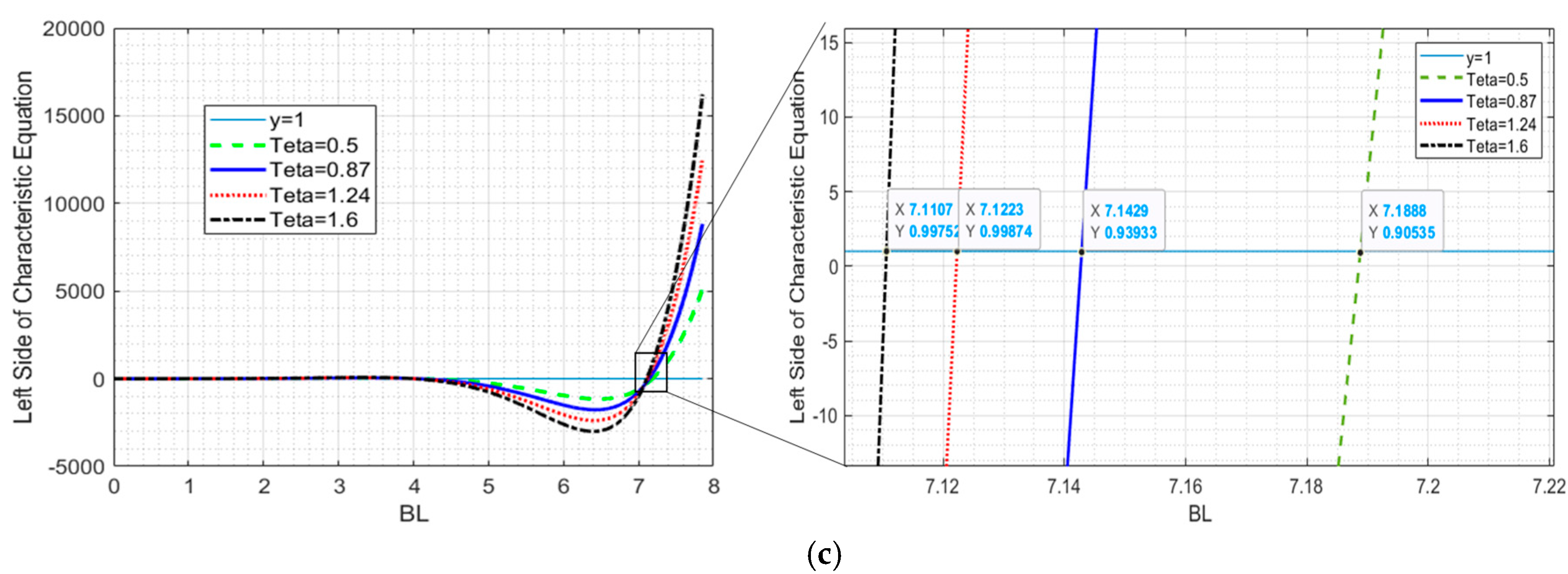
3.1. Characteristic Equation
3.2. Material and Geometrical Effect of Substrate
4. Experimental Results
4.1. Principle of Operation
4.2. Bending Stiffness
4.3. Tip Displacement and Applied Tip Force
4.4. Rectified Input Voltage
4.5. Voltage and Power of LTC3588
5. Conclusions
Author Contributions
Funding
Data Availability Statement
Acknowledgments
Conflicts of Interest
References
- Statista. IoT Connections Worldwide 2034. Available online: https://www.statista.com/statistics/1183457/iot-connected-devices-worldwide/ (accessed on 31 January 2026).
- Song, H.; Kim, S.; Kim, H.S.; Lee, D.; Kang, C.; Nahm, S. Piezoelectric Energy Harvesting Design Principles for Materials and Structures: Material Figure-of-Merit and Self-Resonance Tuning. Adv. Mater. 2020, 32, e2002208. [Google Scholar] [CrossRef] [PubMed]
- Sadeghian, O.; Mohammadi-Ivatloo, B.; Oshnoei, A.; Aghaei, J. Unveiling the potential of renewable energy and battery utilization in real-world public lighting systems: A review. Renew. Sustain. Energy Rev. 2023, 192, 114241. [Google Scholar] [CrossRef]
- Zhang, Y.; Wang, W.; Wu, X.; Lei, Y.; Cao, J.; Bowen, C.; Bader, S.; Yang, B. A comprehensive review on self-powered smart bearings. Renew. Sustain. Energy Rev. 2023, 183, 113446. [Google Scholar] [CrossRef]
- Ahnood, A.; Ndabakuranye, J.P.; Li, S.; Kavehei, O.; Prawer, S. Miniature power and data transceiver based on multimodal operation of a single photovoltaic device. Eng. Res. Express 2020, 2, 015036. [Google Scholar] [CrossRef]
- Yang, C.; Li, H.; Tang, Y.; Wang, H.; Lu, Y. A hybrid vibration energy harvester with integrated piezoelectric and electrostatic devices. Jpn. J. Appl. Phys. 2023, 62, 064501. [Google Scholar] [CrossRef]
- Budlayan, M.L.M.; Patricio, J.N.; Arco, S.D.; A Guerrero, R. Electrowetting-on-dielectric behavior of aqueous droplets and gold nanofluid on an electrospun poly(vinyl chloride) microfiber layer. Mater. Res. Express 2024, 11, 035303. [Google Scholar] [CrossRef]
- Zheng, X.; Han, L.; Yang, J.; Li, Q.; He, L. Piezoelectric breeze energy harvester with mechanical intelligence mechanism for smart agricultural monitoring systems. Smart Mater. Struct. 2024, 33, 065027. [Google Scholar] [CrossRef]
- Ghodsi, M.; Ziaiefar, H.; Mohammadzaheri, M.; Al-Yahmedi, A. Modeling and characterization of permendur cantilever beam for energy harvesting. Energy 2019, 176, 561–569. [Google Scholar] [CrossRef]
- Prince, K.J.; Mirletz, H.M.; Gaulding, E.A.; Wheeler, L.M.; Kerner, R.A.; Zheng, X.; Schelhas, L.T.; Tracy, P.; Wolden, C.A.; Berry, J.J.; et al. Sustainability pathways for perovskite photovoltaics. Nat. Mater. 2024, 24, 22–33. [Google Scholar] [CrossRef] [PubMed]
- Kapsalis, V.; Maduta, C.; Skandalos, N.; Wang, M.; Bhuvad, S.S.; D’AGostino, D.; Ma, T.; Raj, U.; Parker, D.; Peng, J.; et al. Critical assessment of large-scale rooftop photovoltaics deployment in the global urban environment. Renew. Sustain. Energy Rev. 2023, 189, 114005. [Google Scholar] [CrossRef]
- Teng, J.; Cao, Z.; Ren, C.; Xu, J.; Guo, X.; Ye, X. Efficient energy harvesting from broadband low-frequency vibrations via 3D-interdigital electrostatic generator. Appl. Energy 2025, 388, 125701. [Google Scholar] [CrossRef]
- Asadi, M.; Ahmadi, R.; Abazari, A.M. Halbach magnet arrays in electromagnetic kinetic energy harvesters: A review. Energy Convers. Manag. X 2024, 22, 100544. [Google Scholar] [CrossRef]
- Zhang, T.; Wang, L.; Liu, L.; Li, W.; Wu, S.; Guo, J.; Zhou, G. Optimizing Bipolar Reset Waveform to Improve Grayscale Stability in Active Matrix Electrowetting Displays. Micromachines 2024, 15, 1247. [Google Scholar] [CrossRef] [PubMed]
- Long, S.X.; Khoo, S.Y.; Ong, Z.C.; Soong, M.F.; Huang, Y.-H.; Prasath, N.; Noroozi, S. A comprehensive review on mechanical amplifier structures in piezoelectric energy harvesters. Mech. Adv. Mater. Struct. 2023, 31, 7244–7273. [Google Scholar] [CrossRef]
- El-Bahrawy, F.T.; Hussein, R.K.; El-Sayed, A.T.; Wafaie, M. Piezoelectric Harvester Proportional–Derivative (PHPD) Control for Nonlinear Dynamics Reduction in Underactuated Hybrid Systems. Machines 2025, 13, 830. [Google Scholar] [CrossRef]
- Yang, S.; Chen, H.; Zhang, Z.; Wang, W.; Niu, X.; Lu, X. A bioinspired piezoelectric stick-slip actuator designed by the moving posture of monkey. Rev. Sci. Instrum. 2025, 96, 095003. [Google Scholar] [CrossRef]
- Franco, I.P.; Morales-Masis, M.; Mora-Seró, I.; Vidal, R. Comparative life cycle assessment of lead-free halide perovskite composites/polymer for piezoelectric energy harvesting. Sustain. Energy Fuels 2025, 9, 4375–4391. [Google Scholar] [CrossRef]
- Yang, P.; Mazlan, A.Z.A. Experimental study on long-term fatigue behavior of piezoelectric energy harvesters under high and low-frequency vibration excitation. Int. J. Fatigue 2025, 194, 108817. [Google Scholar] [CrossRef]
- Salazar, R.; Larkin, K.; Abdelkefi, A. Piezoelectric property degradation and cracking impacts on the lifetime performance of energy harvesters. Mech. Syst. Signal Process. 2021, 156, 107697. [Google Scholar] [CrossRef]
- Fang, S.; Chen, K.; Lai, Z.; Zhou, S.; Liao, W.-H. Analysis and experiment of auxetic centrifugal softening impact energy harvesting from ultra-low-frequency rotational excitations. Appl. Energy 2022, 331, 120355. [Google Scholar] [CrossRef]
- Shi, G.; Tong, D.; Xia, Y.; Jia, S.; Chang, J.; Li, Q.; Wang, X.; Xia, H.; Ye, Y. A piezoelectric vibration energy harvester for multi-directional and ultra-low frequency waves with magnetic coupling driven by rotating balls. Appl. Energy 2022, 310, 118511. [Google Scholar] [CrossRef]
- Dong, L.; Closson, A.B.; Oglesby, M.; Escobedo, D.; Han, X.; Nie, Y.; Huang, S.; Feldman, M.D.; Chen, Z.; Zhang, J.X. In vivo cardiac power generation enabled by an integrated helical piezoelectric pacemaker lead. Nano Energy 2019, 66, 104085. [Google Scholar] [CrossRef]
- Khazaee, M.; Hasani, M.; Riahi, S.; Rosendahl, L.; Rezania, A. Harnessing cardiac power: Heart kinetic motion analysis for energy harvesters. Biomed. Signal Process. Control 2024, 95, 106421. [Google Scholar] [CrossRef]
- Wu, Y.; Qiu, J.; Zhou, S.; Ji, H.; Chen, Y.; Li, S. A piezoelectric spring pendulum oscillator used for multi-directional and ultra-low frequency vibration energy harvesting. Appl. Energy 2018, 231, 600–614. [Google Scholar] [CrossRef]
- Smits, J.G.; Dalke, S.I.; Cooney, T.K. The constituent equations of piezoelectric bimorphs. Sens. Actuators A Phys. 1991, 28, 41–61. [Google Scholar] [CrossRef]
- DeVoe, D.; Pisano, A. Modeling and optimal design of piezoelectric cantilever microactuators. J. Microelectromechanical Syst. 1997, 6, 266–270. [Google Scholar] [CrossRef]
- Weinberg, M. Working equations for piezoelectric actuators and sensors. J. Microelectromechanical Syst. 1999, 8, 529–533. [Google Scholar] [CrossRef]
- Wang, Q.-M.; Cross, L. Constitutive equations of symmetrical triple layer piezoelectric benders. IEEE Trans. Ultrason. Ferroelectr. Freq. Control 1999, 46, 1343–1351. [Google Scholar] [CrossRef]
- Tadmor, E.; Kosa, G. Electromechanical coupling correction for piezoelectric layered beams. J. Microelectromechanical Syst. 2003, 12, 899–906. [Google Scholar] [CrossRef]
- Lu, Q.; Liu, L.; Scarpa, F.; Leng, J.; Liu, Y. A novel composite multi-layer piezoelectric energy harvester. Compos. Struct. 2018, 201, 121–130. [Google Scholar] [CrossRef]
- Cao, Y.; Wang, J.; Liao, Y.; Tang, L. A comprehensive dynamic continuous model of piezoelectric stack energy harvesters under arbitrary excitation considering electrodes and protective layers. J. Phys. D Appl. Phys. 2023, 56, 464001. [Google Scholar] [CrossRef]
- Luo, A.; Tan, Q.; Xu, W.; Huang, J.; Gu, S.; Guo, X.; Lee, C.; Fan, K.; Wang, F. A Comprehensive Review of Energy Harvesting From Kinetic Energy at Low Frequency. Adv. Mater. Technol. 2025, 10, 2401731. [Google Scholar] [CrossRef]
- Sun, Q.; Tian, J.; Qin, Z.; Li, H.; Shen, J.; Zhang, P.; Chen, W.; Zhou, J. Superhydrophobic Piezoelectric Device for Efficient Raindrop Energy Harvesting. ACS Appl. Energy Mater. 2025, 8, 7322–7329. [Google Scholar] [CrossRef]
- Rezaei, M.; E Khadem, S.; Firoozy, P. Broadband and tunable PZT energy harvesting utilizing local nonlinearity and tip mass effects. Int. J. Eng. Sci. 2017, 118, 1–15. [Google Scholar] [CrossRef]
- Upendra, B.; Panigrahi, B.; Gr, S. Effect of geometric non-linearity and tip mass on the frequency bandwidth of a cantilever piezoelectric energy harvester under tip excitation. Phys. Scr. 2023, 98, 065203. [Google Scholar] [CrossRef]
- Xia, G.; Fang, F.; Wang, Q.; Zhang, M.; Wang, J. Performance analysis of piezoelectric energy harvesters with a tip mass and nonlinearities of geometry and damping under parametric and external excitations. Arch. Appl. Mech. 2020, 90, 2297–2318. [Google Scholar] [CrossRef]
- Tang, L.; Wang, J. Size effect of tip mass on performance of cantilevered piezoelectric energy harvester with a dynamic magnifier. Acta Mech. 2017, 228, 3997–4015. [Google Scholar] [CrossRef]
- Ghodsi, M.; Mohammadzaheri, M.; Soltani, P. Analysis of Cantilever Triple-Layer Piezoelectric Harvester (CTLPH): Non-Resonance Applications. Energies 2023, 16, 3129. [Google Scholar] [CrossRef]
- Inman, D.J.; Singh, R.C. Engineering Vibration; Pearson: London, UK, 2014. [Google Scholar]
- Ghodsi, M.; Mohammadzaheri, M.; Soltani, P. Modeling of the energy storage device: LTC3588. Int. J. Chem. Mol. Eng. 2025, 19, 9–13. [Google Scholar]
- Kim, J.-H.; Mirzaei, A.; Kim, H.W.; Kim, S.S. Low power-consumption CO gas sensors based on Au-functionalized SnO2-ZnO core-shell nanowires. Sens. Actuators B Chem. 2018, 267, 597–607. [Google Scholar] [CrossRef]
- Liu, H.; Tay, C.J.; Quan, C.; Kobayashi, T.; Lee, C. Piezoelectric MEMS Energy Harvester for Low-Frequency Vibrations With Wideband Operation Range and Steadily Increased Output Power. J. Microelectromechanical Syst. 2011, 20, 1131–1142. [Google Scholar] [CrossRef]
- Quintero, A.V.; Besse, N.; Janphuang, P.; Lockhart, R.; Briand, D.; de Rooij, N.F. Design optimization of vibration energy harvesters fabricated by lamination of thinned bulk-PZT on polymeric substrates. Smart Mater. Struct. 2014, 23, 045041. [Google Scholar] [CrossRef]
- Durou, H.; Rodriguez, G.A.A.; Ramond, A.; Dollat, X.; Rossi, C.; Esteve, D. Micromachined Bulk PZT Piezoelectric Vibration Harvester to Improve Effectiveness Over Low Amplitude and Low Frequency Vibrations. In Proceedings of the Power MEMS’10, Leuven, Belgium, 30 November–3 December 2010; pp. 27–30. [Google Scholar]
- Huang, M.; Hou, C.; Li, Y.; Liu, H.; Wang, F.; Chen, T.; Yang, Z.; Tang, G.; Sun, L. A Low-Frequency MEMS Piezoelectric Energy Harvesting System Based on Frequency Up-Conversion Mechanism. Micromachines 2019, 10, 639. [Google Scholar] [CrossRef]
- Debnath, B.; Kumar, R. A Comparative Simulation Study of the Different Variations of PZT Piezoelectric Material by Using A MEMS Vibration Energy Harvester. IEEE Trans. Ind. Appl. 2022, 58, 3901–3908. [Google Scholar] [CrossRef]

















| 0.5 | 0.87 | 1.24 | 1.6 | |
| 1.416 | 1.28 | 1.194 | 1.131 | |
| 4.1 | 4.05 | 4.01 | 3.99 | |
| 7.18 | 7.14 | 7.12 | 7.11 |
| Piezoelectric Layer | Substrate Layer | Triple-Layer Beam | Tip Mass | |
|---|---|---|---|---|
| Material | PZT-5H | Brass | PZT-Brass-PZT | NdFeB-N35 |
| Density (kg/m3) | 6500 | 7800 | 6696 | 7500 |
| Elastic modulus (GPa) | 60 | 110 | NA | 38 |
| Mass (kg) | 0.00058 | 0.00034 | 0.0015 | 0.00075 |
| Dimensions (mm) | 40 × 10 × 0.225 | 40 × 10 × 0.11 | 40 × 10 × 0.56 | 5 × 5 |
| Ref. | Dimensions (mm) | Material | Frequency (Hz) | Power (µW) | Resistance (MΩ) | Power density (µW/cm3) |
|---|---|---|---|---|---|---|
| [43] | 5 × 2 × 1.6 | PZT-thin film | 36 | 0.53 | 0.33 | 33 |
| [44] | 20 × 2 × 1.43 | PZT-5H | 49.8 | 6.7 | 0.085 | 117 |
| [45] | 15.4 × 14 × 1.5 | PZT-5H | 76 | 14 | 0.5 | 43 |
| [46] | 22 × 21 × 0.275 | PZT-5H | 1008 | 2.12 | 0.005 | 1.66 |
| [47] | 0.152 × 3.1 × 4 | PZT-5H | 28.6 | 0.010738 | 0.12 | 5.69 |
| This work | 40 × 10 × 0.56 | PZT-5H | 65 | 46.18 | 0.003 | 205 |
Disclaimer/Publisher’s Note: The statements, opinions and data contained in all publications are solely those of the individual author(s) and contributor(s) and not of MDPI and/or the editor(s). MDPI and/or the editor(s) disclaim responsibility for any injury to people or property resulting from any ideas, methods, instructions or products referred to in the content. |
© 2026 by the authors. Licensee MDPI, Basel, Switzerland. This article is an open access article distributed under the terms and conditions of the Creative Commons Attribution (CC BY) license.
Share and Cite
Ghodsi, M.; Mohammadzaheri, M.; Soltani, P.; Gholinezhad, J. Development of a Resonance Velocity-Driven Energy Harvester Using Triple-Layer Piezoelectric. Energies 2026, 19, 1097. https://doi.org/10.3390/en19041097
Ghodsi M, Mohammadzaheri M, Soltani P, Gholinezhad J. Development of a Resonance Velocity-Driven Energy Harvester Using Triple-Layer Piezoelectric. Energies. 2026; 19(4):1097. https://doi.org/10.3390/en19041097
Chicago/Turabian StyleGhodsi, Mojtaba, Morteza Mohammadzaheri, Payam Soltani, and Jebraeel Gholinezhad. 2026. "Development of a Resonance Velocity-Driven Energy Harvester Using Triple-Layer Piezoelectric" Energies 19, no. 4: 1097. https://doi.org/10.3390/en19041097
APA StyleGhodsi, M., Mohammadzaheri, M., Soltani, P., & Gholinezhad, J. (2026). Development of a Resonance Velocity-Driven Energy Harvester Using Triple-Layer Piezoelectric. Energies, 19(4), 1097. https://doi.org/10.3390/en19041097

