Next Article in Journal
Design and Numerical Analysis of a Novel Vortex-Induced Vibration Bladeless Wind Turbine with Cylindrical Cam Mechanical Conversion
Next Article in Special Issue
Quantifying Savings and Evaluating Cost Allocation Methods in Energy Communities: A Data-Driven Approach
Previous Article in Journal
AI-Driven Virtual Power Plants: A Comprehensive Review
Previous Article in Special Issue
Deep Reinforcement Learning Approaches the MILP Optimum of a Multi-Energy Optimization in Energy Communities
 
 
Font Type:
Arial Georgia Verdana
Font Size:
Aa Aa Aa
Line Spacing:
Column Width:
Background:
Article

Bio-Solar Green Roofs for Urban Heat Adaptation: A Case in Point

Department of Electrical Engineering, University of Gujrat, Gujrat 50700, Pakistan
*
Author to whom correspondence should be addressed.
Energies 2026, 19(4), 1089; https://doi.org/10.3390/en19041089
Submission received: 28 December 2025 / Revised: 3 February 2026 / Accepted: 6 February 2026 / Published: 21 February 2026

Abstract

Urban heat islands (UHIs) increase the cooling load and reduce the performance of rooftop photovoltaic (PV) systems; thus, the co-benefits of integrating bio-solar green roofs require quantification and real-world demonstration to encourage the uptake of this technology. Consequently, this study compares the thermal and electrical performances of four simultaneously installed roof assemblies, namely conventional roof (CR), green roof (GR), photovoltaic roof (pCR), and bio-solar green roof (pGR), under clear-sky summer periods in Lahore, Pakistan. The experiment equipped the same insulated test cells with meteorological, thermal, moisture, and PV power gauging to collect data every 1 min; standardized layers were built, and the PV tilt was set to 22°. The results show that pGR always performs better compared with other roof assemblies: the temperature on the outer surface is lower, the diurnal amplitude is the most reduced (ΔDF ≈ +19% vs. CR), the thermal response is the most delayed (ΔTL ≈ −21%), and TPI improves by 6.5–7%. All of these results indicate a new, field-validated synergy between evapotranspiration and PV shading/ventilation that could translate into practical value through reduced peak cooling loads (demand control), lower day-to-day cooling energy, and incremental PV gains. These are critical factors for achieving positive techno-economic outcomes in hot, sunny cities, with the aim of realizing UHI mitigation and resilient building energy systems.

1. Introduction

Rapid urbanization has resulted in an augmented urban heat island (UHI) effect that leads to increased roof surface temperatures, higher building cooling loads, and decreased efficiency of photovoltaic (PV) panels due to thermal derating [1,2,3]. In hot and sunny cities, roofs are key areas for heat gain and solar energy generation. Therefore, solutions that suppress thermal loads while maintaining PV output are crucial for managing resilience, peak demand, and promoting decarbonization [4,5]. Conventional mitigation strategies like cool membranes, standalone green roofs, or PV shade structures address some of these problems. However, researchers still lack field-verified, side-by-side quantitative evidence of the combined (bio-solar) benefits under real-world weather, airflow, and irrigation constraints that determine performance. Such a knowledge gap restricts firm design choices and economic implementation of technology in the most critical climatic regions [6].
Bio-solar green roofs (PV arrays installed above vegetated substrates) are a promising way to achieve a synergistic response: direct short-wave shading reduces the sky-view factor (due to the array), enhances evapotranspirative cooling, increases heat capacity (due to the green layer), and improves ventilation (in the PV–canopy gap) [7,8]. In principle, the use of such mechanisms should (i) reduce and dampen the diurnal temperature wave of the roof, (ii) delay residual heating into the evening hours when the ambient air temperature is cooler and set-points for cooling are easier to maintain, and (iii) cool the PV modules sufficiently to compensate for at least part of the thermal derating penalty [9,10]. However, the magnitude and timing of these gains, along with their robustness, depend on the local irradiance, wind, humidity, roof build-up, panel height, and substrate moisture. These variables are hard to capture in simulations, are seldom reported as outcomes, and are rarely tested in controlled, side-by-side outdoor experiments. To determine whether bio-solar integration produces additive or truly synergistic benefits with respect to thermal and electrical performance goals, it is necessary to take quantitative, real-world measurements [11,12].
There are certain reasons why there is a need to establish a bio-solar integrated system to achieve synergistic benefits across thermal and electrical performance. First, cities in hot climates are growing rapidly, and cooling electricity demand is already at its peak; interventions that reduce peak loads and promote improved on-site generation are directly tied to grid stability and decarbonization goals [13,14,15]. Second, the PV systems currently mounted on existing buildings are often limited due to thermal and structural factors; the bio-solar system provides an opportunity to gain co-benefits without occupying additional roof space [16]. Third, there is increasing demand from both planners and building owners for evidence based on measurements to justify capital outlays, and the lack of side-by-side field data in representative UHI conditions has slowed the adoption of bio-solar solutions [17].
To meet this need, the present work was carried out as a well-managed outdoor experiment on an open roof in Lahore, Pakistan. This city has a hot semi-arid to humid subtropical climate, typical of high-UHI, high-solar summer conditions. Four roof assemblies were constructed atop identical insulated test cells, which were operated simultaneously to eliminate climatic bias between different periods: a conventional roof (CR), a standalone green roof (GR), a PV-only roof over the conventional assembly (pCR), and a bio-solar green roof (pGR) with PV over vegetation. The layer stacks, panel tilt angle (22°), and module clearances were standardized; meteorological, thermal, moisture, and PV power variables were recorded every minute and converted to hourly statistics. This design allows for the separation of the physical mechanisms involved in separating shading and evapotranspiration, and their combination, using consistent summer forcing.

Literature Review

The combination of photovoltaic (PV) panels with green roof systems, often referred to as bio-solar green roofs, has become one of the most important strategies for improving the sustainability of cities’ and buildings’ energy performance [18,19]. Over the past 10 years, the potential of this dual-function system for enhancing energy efficiency, thermal comfort, stormwater management, and urban microclimate regulation has been analyzed by a growing number of researchers [20]. This literature review synthesizes key experimental, numerical, and theoretical studies on PV–green roof integration, emphasizing their primary findings and methodological approaches. Particular emphasis is given to identifying limitations related to the scale, duration, and climatic scope of previous works.
Abdalazeem et al. performed small-scale summertime experiments on PV–green roof integration. They used two calibrated small-scale rooms and 11 scenarios in Egypt to validate the application of GR and PV/GR parameters for the study; they observed a reduction in indoor max temperature of ~7.8–11.85% (depending on soil/coverage) during the day, and PV output increased by up to ~2.27%, in addition to the modelled cooling energy savings of ~19.12%, with significant CO2 benefits. Their study did not include fully detailed vegetation and envelope interactions, and, thus, the combined thermal–electrical performance was not explored adequately [21]. Chen et al. conducted a 6-month full-scale rooftop experiment in the subtropical city of Hong Kong comparing bare, PV, and PV-integrated green roofs (PVIGRs) to quantify their microclimatic and heat transfer im-pacts. However, their analysis mainly focused on microclimate and calibration of the modelling, not on the full diurnal thermal–electrical synergy and energy yield optimization. Moreover, vegetation–PV feedbacks were restricted to one humid-climate context [22].
Elaouzy and El Fadar numerically analyzed the performance of PV, PVT, GSHP, and green roof systems for residential buildings in six Moroccan climates using EnergyPlus simulations with 3E (energy, environmental, economic) metrics. However, the study was only performed from a simulation viewpoint and was not validated by real-scale experiments, and the coupling between dynamic diurnal and microclimatic scales across technologies was also not analyzed [23]. Feng et al. performed a large-scale solar green roof (SGR) experiment in the Ubin Microgrid of Singapore, using a combination of 289 kWp PV arrays, multiple vegetation species, and PV heights (40–60 cm), to analyze microclimate–electricity interactions using dense sensor networks. However, it was context-specific to a tropical humid climate, had no annual or cross-climate validation, and focused on correlation analysis without developing a unified thermal–electrical coupling index and energy flux quantification [24]. Rajeh et al. experimentally investigated the integration of a hydroponic green roof with a photovoltaic panel in the hot-arid climate of Riyadh, Saudi Arabia. It included the study of panel surface temperature and output efficiency for one year (August 2024–August 2025). However, this study was restricted to one geographical locality, short-term (one year) monitoring, and lacked detailed economic, humidity, and long-term analysis of plant performance [25].
Chen et al. introduced the Sustainable Development Potential Assessment of Photovoltaic-Green Roofs (PV-GR) in Fuzhou’s High-Density Urban Core, based on the Multi-Scenario Sustainable Development Goal (SDG)-Based Simulation and Assessment Framework. However, the work was simulation-driven and based on spatial and statistical datasets, rather than on experimental results in real time, and the work was not validated experimentally for thermal–electrical coupling dynamics at the roof level [26]. Huang et al. conducted a comparative experimental study of four rooftop configurations, including bare roof, green roof, vertical PV-GR, and tilted PV-GR, under the subtropical climate of Shenzhen, to assess thermal and energy performance. However, the experiment was short term (three days) and conducted in small-scale insulated chambers, lacking year-round validation, climatic variability testing, and full building-scale energy modeling [27]. Brousse et al. conducted a mesoscale urban climate modeling study using the WRF BEP-BEM model, comparing cool roofs, green roofs, PV roofs, vegetation, and air-conditioning interventions over a baseline in London during two extreme hot summer days in 2018. However, the research was purely model-based, only included two hot days, and lacked real-scale experimental validation and continuous multi-roof thermal–electrical coupling analysis, which limits the model’s transferability to actual microclimates [28]. Hassoun et al. conducted a comparative study on combined photovoltaic, green, and cool roofs across different climatic zones worldwide, based on building energy simulations and cross-climate data. However, the research relied on models and climate simulations, rather than continuous empirical data, and did not quantify real-time PV–green thermal synergy or validate it with on-site experiments [29].
Chabada and Juras conducted a full-scale experimental study on an industrial building roof in Slovakia on the effect of drip irrigation on the cooling potential of extensive green roofs (EGRs) in contrast to photovoltaic (PV) and reflective roofs. However, there were limitations to the study: vegetation coverage was still developing, irrigation regimes were not optimized, and no long-term multi-roof PV-EGR thermal–electrical coupling or bio-solar performance quantification was included [30]. Zhao et al. proposed a 3Es static payback period framework (economic, energy, and environmental aspects) to compare cool roofs and photovoltaic (PV) roofs by using life cycle assessment (LCA) and EnergyPlus simulations in the city of Nanjing, China. However, the work was fully simulation-based, focusing on economic and environmental modeling without experimental validation at real scale and the analysis of dynamic coupling between PV and vegetation [31]. Knut and Vranay presented a review and planned field study on a bio-solar rooftop system in a parking house (NORDCITY) in Zilina, Slovakia, combining photovoltaic panels and sedum-based green roofs to increase thermal regulation and energy efficiency. However, the study is still at the planning and setup stage, lacking actual experimental data, quantitative synergy metrics, and validation of long-term diurnal coupling between PV and vegetation [32]. Karamanis et al. published a comprehensive study on Building-Integrated Photovoltaics with Greenery (BIPVGREEN), examining case studies from all over the world and the upscaling potential from formal to informal urban settlements. However, the work is still conceptual and literature-based, and it did not involve any empirical validation, quantitative coupling data, and full-scale performance metrics for real BIPV–Green systems in various climates [33]. Pirouz et al. performed a sophisticated study of water–energy interactions on bio-solar green roofs (BS-GRs) under Mediterranean climatic conditions by means of simulation. The study modeled 48 scenarios with PVSOL 2024 R3, PVGIS 5.3, and Vensim PLE 10.2.1, using image processing tools in Python (version 2024b of Matlab) to analyze shade frequency, evapotranspiration (ET), and PV efficiency. However, the analysis was purely simulation-driven, with no empirical validation or cross-seasonal validation. The research also did not cover plant species variability, irrigation techniques, or field performance metrics [34].
In summary, there are important insights in the existing literature on the thermal and electrical behavior of PV–green roof systems, but they are limited by an overreliance on simulations, short-term trials, and poor cross-climatic applicability. Few studies have empirically captured the real-time interactive coupling between vegetation cooling and PV energy yield under varying diurnal and environmental conditions. Tackling these important shortcomings, the current research aims at a full-scale, multi-roof experimental study with continuous monitoring of both thermal and electrical parameters under actual microclimate variations.

2. Materials and Methods

The outdoor experiment was carried out on the flat reinforced concrete rooftop of an academic building in Lahore, Pakistan (31°35′ N, 74°21′ E), which is characterized by a hot semi-arid to humid subtropical summer climate, with daily maximum air temperatures of 35–42 °C, a mean relative humidity of 58–70%, and global horizontal irradiance greater than 900 W m−2 during July. The site provided unhindered solar exposure and sufficient ventilation in all directions. The conventional roof (CR) consists of a 20 mm cement–mortar screed, 7.5 mm bituminous waterproofing, 40 mm extruded-polystyrene (XPS) insulation board, and a 150 mm reinforced concrete slab. The green roof (GR) incorporated the following: 80 mm growing substrate (bulk density ≈ 900 kg m−3, thermal conductivity ≈ 0.6 W m−1 K−1) and a sedum-Callisia repens vegetation layer, which is adapted to high-temperature conditions. The photovoltaic roof (pCR) consisted of a crystalline–silicon-based PV module mounted directly on top of the CR layers, with a tilt of 22° facing south and a panel clearance of H = 0.5 m between the bottom edge of the PV module and the roof surface. The bio-solar green roof (pGR) was a combination of both systems; the PV array was installed 0.5 m above the vegetated substrate to favor airflow and evapotranspiration cooling. Each PV module had a nominal power of 330 W, an open-circuit voltage of 40.8 V, a short-circuit current of 11.75 A, and a module efficiency of 19 percent. They are in the shape of 60 monocrystalline Si cells (6 × 10 layout). The modules were mounted on anodized aluminum rails, affixed to galvanized frames embedded in the roof screed. The setup of the experiment is presented in Figure 1. The positions of the experimental instruments’ measurements are shown in Figure 2.
Four roof assemblies, including conventional roof (CR), green roof (GR), photovoltaic roof (pCR), and bio-solar green roof (pGR), were constructed on thermally insulated test cells (1.5 m × 1.5 m × 0.3 m), separated by 50 mm polystyrene partitions to prevent heat and moisture interference. There are four distinct test cells (i.e., one per roof), each representing a single-zone indoor cavity, with insulation partitions between them to prevent lateral coupling. The upper surface of each cell replicates the multilayer configurations shown in Table 1. Table 1 shows the complete multilayer setups of the conventional roof (CR), green roof (GR), photovoltaic roof (pCR), and bio-solar green roof (pGR). Starting from the roof surface and structural slab, each assembly is described in terms of its arrangement and function. The CR has a standard cement mortar screed, bituminous waterproofing, insulation, and reinforced concrete slab construction typical in Pakistan. The GR incorporates additional components, such as plants, soil, and protective layers, that allow water and air to move in and out. The pCR consists of crystalline silicon PV modules mounted above the roof, with specified air-gap heights for convective cooling. The pGR combines solar shading with the cooling benefits of vegetation and substrate.
The thermo-physical properties of all materials used in the roof assemblies are summarized in Table 2. The following parameters are essential for accurate modelling of conductive, radiative, and convective heat transfer: thickness, density, thermal conductivity, specific heat capacity, solar absorptance, and emissivity. Both the vegetation layer and geotextile, which initially had missing data, are now represented by standard values used in the modelling of green roofs and hygrothermal processes. The vegetation layer has moderate thermal conductivity and high heat capacity due to its moisture-holding capacity and biological activity. The geotextile has low thermal conductivity and mainly serves as a drainage and filtration layer. Building materials, such as bituminous waterproofing, cement mortar, XPS insulation, and reinforced concrete, generally follow established trends. For instance, structural concrete has high conductivity, insulation products exhibit low conductivity values, and asphaltic waterproofing has high absorptance.

2.1. Instrumentation and Data Acquisition

This section will detail the instruments used in the proposed research. Environmental and thermal parameters are measured based on the specifications shown in Table 3. The table covers a comprehensive list of sensors, including solar irradiance, ambient climatic parameters, wind parameters, surface temperature, heat flux, substrate moisture, and electrical output from PV. The table lists the model/class, measurement range, accuracy, resolution, mounting position, sampling interval, and data-logging interface for each instrument type. VWC sensors measure moisture in the growing medium. Electrical telemetry from the PV systems allows for the evaluation of their efficiency and performance improvements when shaded or vegetated.
Key instruments included the following:
Solar radiation: Class-B pyranometer (ISO 9060 Secondary Standard) [35] of a global horizontal irradiance (GHI) and a reference cell of a plane-of-array irradiance (POA), both of which are measured at 10 s intervals and recorded at intervals of 1 min.
Ambient conditions: Shielded temperature–humidity probe (±0.3 °C, ±2% RH) and ultrasonic anemometer (±0.2 m s−1, ±3°) at 2 m above the roof.
Surface temperatures: Type-T thermocouples (±0.5 °C) were applied to the outside and inside of the roof, the substrate in the middle of the depth and the PV module back-sheet.
Interior heat flux: Heat-flux plates (±5% accuracy) mounted under each roof to measure inward conductive flux (qin).
Soil moisture: Dielectric volumetric water content probes (0–0.7 m3 m−3 range) GR and pGR substrate.
Electrical output: MPPT controller and inverter telemetry product DC voltage/current and daily AC energy yield every 1 min.
All the sensors were connected via RS-485 to a central environmental logger with local SD/USB storage. Time synchronization and data quality checks were performed daily. Calibration was performed following manufacturer guidelines, and sensor placement was arranged to avoid PV shading and reflective interference.

2.2. Setup and Maintenance Procedures of the Green Roofs

The setup and maintenance procedures of the green roof are as follows:
Irrigation System: The irrigation system for the green roofs (GR and pGR) was designed to maintain optimal moisture levels in the substrate, ensure the health of the vegetation, and maximize the evapotranspirative cooling process. A drip irrigation system was used to provide a constant water supply to the vegetation. The irrigation is regulated to keep the moisture content of the substrate between 0.25 and 0.30 m3/m3. Depending on weather conditions, the irrigation is adjusted to avoid over- or under-watering.
Vegetation: The vegetation layer consisted of sedum and Callisia repens species, which are suitable for high temperatures and low-water conditions, as the study location is in Lahore, Pakistan. These species were chosen for their drought resistance and ease of survival in semi-arid environments.
Maintenance: The vegetation was regularly maintained throughout the study period, with watering carried out during the experiment to ensure proper growth and evapotranspiration. This is important for maintaining consistent cooling effects and avoiding con-founding variables.

2.3. Experimental Arrangement

The field campaign was continuous from 10 July to 14 July 2025, covering mainly clear-sky summer conditions that are representative of peak irradiance conditions in Lahore. The daily maximum ambient temperature during the campaign varied from 36 °C to 41 °C, relative humidity varied from 50% to 70%, and the average daytime solar irradiance varied between 820 and 980 W m−2. Natural ventilation under the PV modules was ensured by light south-westerly winds (1.2–2.8 m/s).
All four roof types were functioning simultaneously to eliminate bias from inter-period climatic variations. Measurements were recorded at 1-min intervals and processed as hourly average measurements for analysis. The monitoring focused on the following:
Thermal response: Exterior (Tsurf,out), substrate (Tsub) and interior (Tsurf,in) temperatures and interior heat flux (qin).
Microclimate variables: Adjacent-air temperature (Tmid), wind speed (WSmid), soil moisture (θv) and relative humidity.
PV performance: Instant DC power (P), energy daily (Eday), and back-surface temperature (TPV,back).
Daily maintenance was performed to ensure stable operation of the sensors, PV cleaning, and watering of the plants to maintain substrate moisture at 0.25–0.30 m3/m3. There were no rain events during the observation period and, hence, no confounding effect of latent cooling due to precipitation.

2.4. Processing and Analysis of the Data

Data were filtered to eliminate outliers and non-daylight observations (irradiance < 4 W m−2). Thermal indices such as damping factor (DF), time lag (TL) and thermal performance index (TPI) were calculated according to the definitions given in Equation (1)
D F = T out , m a x T out , m i n T in , m a x T in , m i n ,   T L = t T out , m a x t T in , m a x ,   T P I = 1.1628 × 2.5 × q in , m a x .
The calculation of PV electrical efficiency (η PV) was performed based on measured DC output as a ratio of incident POA irradiance and module area. The paired averages and percentage differences were used to compare the statistical results of CR, GR, pCR and pGR to determine the synergistic cooling and energy-yield optimization using the H = 0.5 m setup.

3. Results

Figure 3a shows the ambient and indoor air temperatures during a period of clear sky (10–14 July). The ambient air temperature rises from cool pre-dawn temperatures below 24–25 °C to afternoon values around 39–41 °C, then drops rapidly after sunset. The indoor air follows the same pattern but with a noticeably smaller swing, with morning lows of ~24–25 °C and midday maxima of ~31–32 °C, and a discernible lag of roughly 1–2 h. Such a repetitive trend is precisely what we would anticipate under stable conditions (strong insulation, no rain, light winds). The indoor air is controlled by the mass of the roof and walls, causing the roof to first absorb and then release heat, meaning the building filters and delays the thermal signal from the outside. The morning ramp starts soon after sunrise when the elevation and sensible heating of the urban canopy increase. Indoors, the ramp is slower due to the lag time of heat transmission through the envelope before it mixes with the room air. This gives rise to the lower amplitude (7–8 °C indoors versus 16–17 °C outdoors) and time shift of the indoor ramp relative to the outdoor peak. Small shoulders and dents on the outdoor curve during the forenoon and early afternoon are signatures of short-term changes in the optical thickness of the clouds and convective cooling in response to gusts and are much less apparent inside the building because the thermal mass averages these out over time. During the evening, the ambient air curve and the indoor air curve approach each other more quickly. However, the ambient air curve descends to zero, the layer of forcing disappears, and the boundary layer becomes stable. The indoor air trace begins to drift more slowly, characteristic of an inertia-driven response. The fact that both traces closely aligned throughout the day confirms the stability of the meteorological conditions during the experiment, justifying cross-roof comparisons. It also provides a quantitative background for the damping factor and time-lag measures (the envelope is shearing about half the outdoor variance and introducing a lag of about one to two hours). It also shows that a useful practical insight is that the indoor air in the middle of the day is approximately 8–10 °C colder than the outdoor air under the same or very similar external forcing.
Figure 3b shows the ambient and indoor relative humidity across 10–14 July. The two curves show a sharp diurnal oscillation, with pre-dawn RH peaks (ambient 75–80%, with occasional spikes; indoor 70–76%), decreasing in the morning to early afternoon lows (ambient 55–60%), and returning to pre-evening highs as the air cools (indoor 48–55%). This shape is the direct result of the Clausius–Clapeyron relationship: as the temperature increases, the saturation vapor pressure increases exponentially. Therefore, although the absolute moisture remains nearly constant, the relative humidity drops; when the air cools after sunset, the relative humidity climbs back up. Indoors, the cycle is damped and delayed by about 1 h for the same reasons. Indoor temperature has thermal inertia and the moisture buffer of interior finishes, which smooth and delay the signal. The indoor curve is consistently a few percentage points lower than ambient due to infiltration/ventilation, which mixes in the drier room air, and the envelope decouples the room from the short, moist puffs from the outside. The small saw-tooth wiggles superimposed on both series are physically consistent: momentary dips in temperature (causing bumps in RH) due to a cloud passage or gust, and small midday increases in RH due to evapotranspiration by the vegetated roof. The effect can be felt outdoors but is mostly averaged out indoors. The nearly identical day-to-day envelopes provide a measure of a stable meteorological window and give confidence in the rest of the analysis. RH stays within a broadly comfortable 45–75% range indoors, regardless of hot afternoons outside. There is no long period above 80%, which would raise concerns about condensation/mold. The clean anti-correlation with the temperature series in Figure 3a lends confidence in the internal consistency of the measurements and processing (1-min sampling time aggregated to hourly).
Figure 3c shows the wind speed at roof level during one period of clear sky (10–14 July). The anemometer recorded a repetitive daytime bell-like pattern, with near-zero nighttime conditions. The wind speed rose before sunrise, reaching late morning/afternoon plateaus predominantly between 2 and 3.5 m/s, with gusts up to ~4 m/s on the 13th and 14th, before quickly decaying after sunset. This is typical of the surface layer’s response when synoptic forcing levels are low and collapse overnight due to convective mixing strengthening with solar heating, then collapsing at night. Minor variations during the day, e.g., the double-humped profile on the 12th (two mixing bursts with a short midday lull), and the most pronounced peak on the 13th (~4.1 m s−1), and slightly later on the 14th, are expected due to small cloud passages or shallow changes in the pressure gradient, which leave no significant change in the steady conditions of the period. This wind regime is important for the roof experiments, as the convective heat transfer coefficient is proportional to the wind speed (h = (5.8 + 4.1u) W m−2 K−1). The increase from ~0.5 to ~3 m s−1 from morning to afternoon roughly doubles (h), favoring the sensible cooling of exposed surfaces and flushing the PV roof gap. Meanwhile, the nocturnal lulls decouple and allow for a slower release of stored heat. In combination with the temperature and humidity plots, the smooth and nearly identical diurnal envelopes confirm a stable, clear-sky, semi-arid week. Winds increase predictably as the ground is heated during the day but do not become strong enough to affect near-surface flow due to microscale roughness and vegetation, which would reduce the value of comparing the three different configurations (conventional, PV-only, green roof, bio-solar green roof).
Figure 3d shows the solar irradiance from 10 to 14 July under clear-sky conditions. Each day from 10th to 14th July shows a nearly identical and smooth bell-shaped curve of solar irradiance, which rises sharply from near zero in the early morning, peaks around local solar noon at 800–900 W m−2, and drops back to zero in the late afternoon. This symmetry is the signature of stable atmospheric transmissivity, with only shallow dents in the morning and evening, caused by thin cumulus or wispy cirrus clouds. The morning slope is slightly steeper than the evening decline due to the common skew caused by the evolving air mass and aerosol/haze throughout the day. The tiny flickers on the shoulders are related to the influence of cloud edges, which temporarily concentrate or attenuate beam radiation. Because the curves overlap so tightly from day to day, it can be determined that there was little synoptic change, no significant change in turbidity or change in water vapor in the column. This is why the temperature, humidity, and wind series also repeat themselves so cleanly. This irradiance is the main driver of the outdoor heating cycle, the ET demand on the green and bio-solar green roofs, the onset of convective winds, and the magnitude of PV output. In other words, the daily insolation is 6–7 kWh m−2, which is sufficient to heat outdoor air to the low 40 °C range on a sunny afternoon, charge the building envelope during the forenoon, and support the reported linear PV-irradiance relationships. It also justifies the comparison of roofs between days, since the solar forcing and, therefore, the opportunity for shading, evapotranspiration, and ventilated-gap flushing were essentially equal in every cycle.
Figure 4 illustrates the hourly ambient (2 m AGL) and surface-adjacent (0.2 m AGL) air temperature over each roof (CR = conventional roof, GR = green roof, pCR = photovoltaic roof, pGR = bio-solar green roof) during 10–14 July. All five curves repeat the same clean diurnal cycle driven by the clear sky. The most important point here is that the air directly over the roofs largely follows the background atmosphere, with only minor departures, mostly within ±0.3–0.8 °C at the maximum, and not discernible at all at night. Around late morning to mid-afternoon, when irradiance and buoyancy are strongest, the CR curve is fractionally warmer than the rest because an unshaded high-temperature deck warms the air layer by sensible convection and long-wave emission. The GR line is generally cooler, as evapotranspiration removes energy from the surface. The pCR and, especially, the pGR lines tend to be the coolest, as panel shading reduces short-wave loading of the air layer. Ventilated gap flushing, in addition to pGR evapotranspiration (ET), makes their roof-adjacent air usually a degree or two cooler (0.2 to 0.5 °C). After sunset, all curves collapse together; mechanical mixing weakens, surface cooling takes place, ET stops, and the near-surface differences disappear within the instrument’s noise level. Two consequences follow: (i) the experiment observes a stable micro-meteorological regime (close to perfect day-to-day overlap), and (ii) roofs primarily affect surface temperature and conductive heat flux, rather than the bulk of outdoor air. This is why later figures show a large decrease in surface temperatures and interior heat flux for GR/pGR but only moderate changes in the overlying air temperature. In summary, both the pGR and pCR lower and slow the sensible plume immediately at the interface; however, the background atmosphere controls the diurnal envelope.
Table 4 shows the average thermal properties of the upper air temperature, outer sur-face, interior surface, and PV backside for each type of tested roof compared to the conventional roof (CR). Values are given as the daily average and maximum deviation during high irradiance (12:00–16:00). The results demonstrate the cooling effectiveness of green and PV-based systems. The GR’s outer-surface and interior temperatures are markedly lower thanks to evapotranspiration and substrate insulation. The pCR cools moderately due to PV shading. The pGR cools the most due to both PV shading and the cooling effect of the plants. The backside temperature of the PV drops considerably in the pGR compared to the pCR, confirming that vegetated surfaces reduce thermal stress on PV modules. This table shows how each roof intervention helps reduce heat during extreme summer conditions.
Figure 5 illustrates the hourly wind speeds at 2 m AGL (ambient) and at 0.2 m above each roof during 10–14 July for each of the roof surfaces: CR (conventional roof), GR (green roof), pCR (photovoltaic roof), and pGR (bio-solar green roof). The five clear days show a strong diurnal cycle: the speeds increase at the beginning of the day, when the convective boundary layer is formed, reach a maximum during the early to mid-afternoon, and decay after overcast conditions in the evening. The deepest nocturnal lulls are observed at roof level, around 0.5–0.8 m s−1 (ambient about 0.9–1.1 m s−1 at the same heights). Daytime ambient peaks are slightly higher, around 3.2–3.6 m s−1, with short-term gusts exceeding 3.8 m s−1 on 13–14 July. The peaks measured near the surfaces above the roofs are lower, around 2.0–2.6 m s−1, which is expected due to shear in the roughness sublayer and the shelter provided by parapets close to the deck. The four roof curves are clustered closely but are nonetheless ordered: CR (open, no deck smoothing) tends to show the highest wind speeds, followed by pCR (slightly lower due to blockage by panel frames), and GR and pGR are slightly lower due to the addition of dense vegetation and drag forces (e.g., around noon when buoyant updrafts are strongest). The differences are generally modest, around 0.1–0.3 m s−1, but are consistent across all days, suggesting that this is a real geo-metric and roughness effect, rather than a noise effect. Superposed spikes on 12–14 July are in phase with the peak of the ambient pulses and represent reflective bursts of convection, not instrument artifacts. They occur in all channels with attenuation towards the surface, which is physically consistent. Methodologically, this validates the location of the roof-adjacent anemometers: the ceiling anemometers never exceed the ambient mast, their phase aligns with the heating cycle, and the attenuation factor (roof/ambient ≈ 0.6–0.8 by days, 0.7–0.9 at nights) is within the canonical ranges of the roughness sublayer. Scientifically, these wind patterns become justifiable assumptions for heat transfer later on. Higher ambient/near-surface winds on 12–14 July increase the convective heat transfer coefficient, which sharpens the peaks in the surface temperature during the day. It also helps the PV-shade and bio-evaporative roofs (GR/pGR) reject heat efficiently. At night, under weak winds, convective cooling is limited, and the scenarios coincide. In short, the figure is internally consistent and supports the following claims: (i) the site was exposed to repeatable fair-weather boundary layer forcing, and (ii) the bio-solar roughness (pGR) has a slight damping effect on the near-surface wind, a small but systematic mechanism contributing to its different surface energy balance.
Table 5 contains the thermal performance values achieved for each roof type over the monitoring period. The damping factor (DF) measures the roof’s ability to reduce the impact of outdoor temperature changes. Time lag (TL) refers to the delay between peak outdoor and indoor temperatures, while the thermal performance index (TPI) refers to overall thermal resistance and heat-flux suppression. The performance of the CR is the lowest and serves as the benchmark. The GR enhances the damping factor and lowers the peak load transmitted to the interior through its bio-system, which includes multiple layers. The pCR provides intermediate benefits from shading by the PV structure. The pGR provides the highest DF and the greatest TL reduction for insulation and cooling synergy applications. The efficiency gains of the green and bio-solar green roof designs relative to the CR are expressed as percentage differences. The table quantifies the extent to which each system enhances building thermal behavior.
Figure 6 depicts the boxplots of outer-surface temperature from 10 to 14 July for GR, pCR, and pGR, breaking down the distribution metrics and making the ranking statistically clear. pGR is the coolest, GR is intermediate, and pCR is the warmest. The medians are close to 43 °C (pGR), 47 °C (GR), and 50 °C (pCR), with their interquartile ranges shifted accordingly. The difference between the pGR and pCR medians (7–8 °C) is physically appropriate because the extra evapotranspiration and damp substrate under the pGR panels allow it to siphon latent heat during peak hours. The pCR roof cannot achieve the same because it is covered with panels that do not allow for evaporative cooling. The upper tails are depicted in whiskers (daily minima and maxima): pCR is the highest (usually low to mid-60s °C), GR is a few degrees lower, and pGR is the lowest (usually ≤ 61 °C), following the daily patterns. The means (triangles) follow the medians with very slight offsets, indicating near-symmetric day–night cycles (rather than skewed outliers). The combination of these distributions is twofold: (i) pCR cools the surface temperature compared to a conventional roof, but the bio-solar green roof (pGR) achieves the most stable and significant reduction in the total distribution of the diurnal pattern; and (ii) this separation is not limited to noontime but is sustained over many hours and days, helping explain the smaller interior heat fluxes due to the lower surface temperature of pGR.
Figure 7 shows the wind rose from 10 to 14 July, depicting a strongly south-western to westerly flow (210–270°) dominating the campaign, in line with the light SW winds (1.2–2.8 m/s) reported, providing stable, comparable ventilation conditions across all roofs. It shows an extremely stable westerly regime. Nearly the entire distribution is between WSW and WNW (≈240–290°), with the 260–280° bins being the sole contributors (~0.35–0.40) of all samples. Some of the adjacent bins are the next most important (another ~0.25–0.30); outside this sector, there is virtually no frequency (nearly zero frequency in other directions). Practically, the site was dominated by continuous flow to the west–east for most of the campaign. This persistence is important for the analysis in three ways. First, it suggests stable synoptic forcing over the five clear days. Second, it suggests a relatively constant upstream fetch for the roofs, which tends to keep roughness and the effects induced by the building edges similar across the different scenarios, making the slight and systematic attenuation observed just above the GR/pGR surfaces physically convincing, rather than being caused by noise from directional sampling. Third, westerly winds in a semi-arid July environment usually bring dry and warm boundary layer air in the afternoon. This increases the near-surface vapor pressure deficit, which boosts the evaporative cooling potential on vegetated roofs (GR/pGR) when solar loading is greatest, typically during the midday/afternoon peak. In short, this rise demonstrates that the experiment was conducted under repeatable west-sector winds, providing a clean aerodynamic background for comparing the thermal performance.
Figure 8a illustrates the percent improvement in damping factor compared to the conventional roof (CR) from 10 to 14 July. DF measures the degree to which the diurnal variation in the roof skin temperature is softened. A higher positive DDF results in a surface with a smaller day–night amplitude than CR under the same weather conditions. The bars indicate a clear hierarchy, with the pGR providing the highest enhancement (~+19% vs. CR). However, the variability in this value from day to day is still higher than the other two. The pCR gives a slight gain of ~+7%, and the full green roof (GR) shows a gain of ~+9–10%. Mechanistically, this order is precisely what the physics predicts and what we observe in the raw time series: (i) the green layer (GR and pGR) adds latent cooling (through transpiration), which preferentially reduces the maximum temperature; (ii) the PV array (pCR and pGR) provides direct short-wave shading, reducing the sky view factor; and (iii) pGR is a combination of both, gaining the advantage of synergy. The consistently clear, west-sector winds observed in the wind rose, along with the near-surface wind speeds, help explain the small error bars. Meteorology was consistent from one day to the next, indicating that these DDF separations represent roof physics rather than weather-related noise. Simply put, pGR is most effective in flattening the diurnal thermal cycle. GR offers a significant but lesser benefit in terms of bio-evaporation and thermal inertia. The improvement with pCR is real but limited to the benefits of shading alone, in the absence of latent cooling.
Figure 8b shows the relative change in time lag (outer-interior surface) compared to the CR for 10–14 July. The bars represent the percent change in TL vs. CR (DTL), with negative values indicating that the peak (and trough) in roof-surface temperature occurs later than for CR, i.e., a greater delay between the external forcing (irradiance/ambient) and the surface response. All three systems result in a delay but to varying extents: pGR ≈ −21%, pCR ≈ −14%, and GR ≈ −10%. The vegetated substrate (GR, pGR) has a higher volumetric heat capacity, remains wet, and, thus, warms up more slowly. Evaporative cooling persists into the afternoon, contributing to the later maximum. The PV canopy (pCR, pGR) offers direct shading and reduces the sky view factor, resulting in a reduction in the midday net short-wave load. Consequently, the surface maximum is reached later. In pGR, both of the above mechanisms combine, and the vertical whiskers (day-to-day variability) are small and almost all on the negative side, suggesting a good lag increase under the repeatable, consistent westerly conditions of the campaign. In practice, a longer TL is preferable, as it transfers residual heat to the evening/night period, when ambient air is colder and cooling setpoints are more easily controlled. Therefore, the pGR provides the greatest decoupling of roof temperature from daytime heat forces. pCR offers a smaller but still significant benefit through shading alone, and GR provides a smaller but still significant delay through thermal inertia and evapotranspiration.
Figure 8c illustrates the change in the thermal performance index compared to the control roof from 10 to 14 July. More negative ΔTPI values correspond to better performance, i.e., the roof more effectively attenuates the diurnal heating signal and delays the peak of temperature/heat flux. The bio-solar green roof pGR provides the greatest improvement, with ΔTPI ≈ −6½ to −7% on average and day-to-day variability reaching about −10% on the coolest/clearest days. The pCR stands second at ≈−5% (whisker down to ~−8%), and the standalone green roof (GR) has a smaller but still significant gain of ≈−3% (materially close to −6%). The physical ordering is pGR (combines direct PV shading, which reduces short-wave gains and sky view, evaporative cooling by the vegetation/substrate, which reduces daytime skin temperatures and delays post-noon cooling, and additional heat capacity, which reduces heating/cooling). These three processes cause both an amplitude decrease and a later peak, making the composite index the most negative. pCR captures this synergy of shading/radiation (minus evapotranspiration), hence a moderate improvement. GR is based on evapotranspiration and thermal inertia, without the shading of the PV canopy, so its integrated impact is smaller. The thin, downward-pointing whiskers show that the effect is robust across the campaign; there is no degradation compared to CR for any of the systems. In short, the combination of amplitude and timing in one measure confirms the previous results: pGR > pCR > GR for thermal decoupling of the roof from daytime temperature forcing. This accounts for the lower interior heat fluxes and reductions in heat gain during the day.
Figure 9 shows the interior surface heat flux of CR, GR, pCR, and pGR during 10–14 July. The conventional roof (CR) has the sharpest and largest pulses during the day, with midday peaks always in the range of 120–125 W m−2 and short nighttime negative pulses (−20 to −25 W m−2), as the deck radiates the stored heat back outwards. The addition of vegetation (GR) only lowers the midday peaks (by 25–30 W m−2) through spectral shading and causes a cooler radiative sky below the modules. The shape of the curve is more or less spiky, since it does not include evapotranspiration, but the magnitude is clearly smaller than that of CR. The most stable, i.e., lowest and blunted, daytime fluxes are routinely observed for the bio-solar green roof, where midday peaks are typically ~70–80 W m−2, about 35–45% less compared to CR. Nighttime negative fluxes are also reduced in magnitude, indicating that less heat is stored in the assembly during the day. Over the five days, the rank order remains stable (pGR < GR ≲ pCR < CR at the peak), with small variations from day to day following cloud cover and wind. Physically, the hierarchy is based on the available mechanisms: PV shading minimizes short-wave gains; evapotranspiration by the green roof actively lowers surface temperatures during the hottest times of the day; and additional heat storage smoothest and delays the response. In combination, these effects under pGR most effectively attenuate and phase shift the interior heat flux wave, leading to reduced instantaneous cooling loads and, when integrated over the day, decreased interior heat gains.
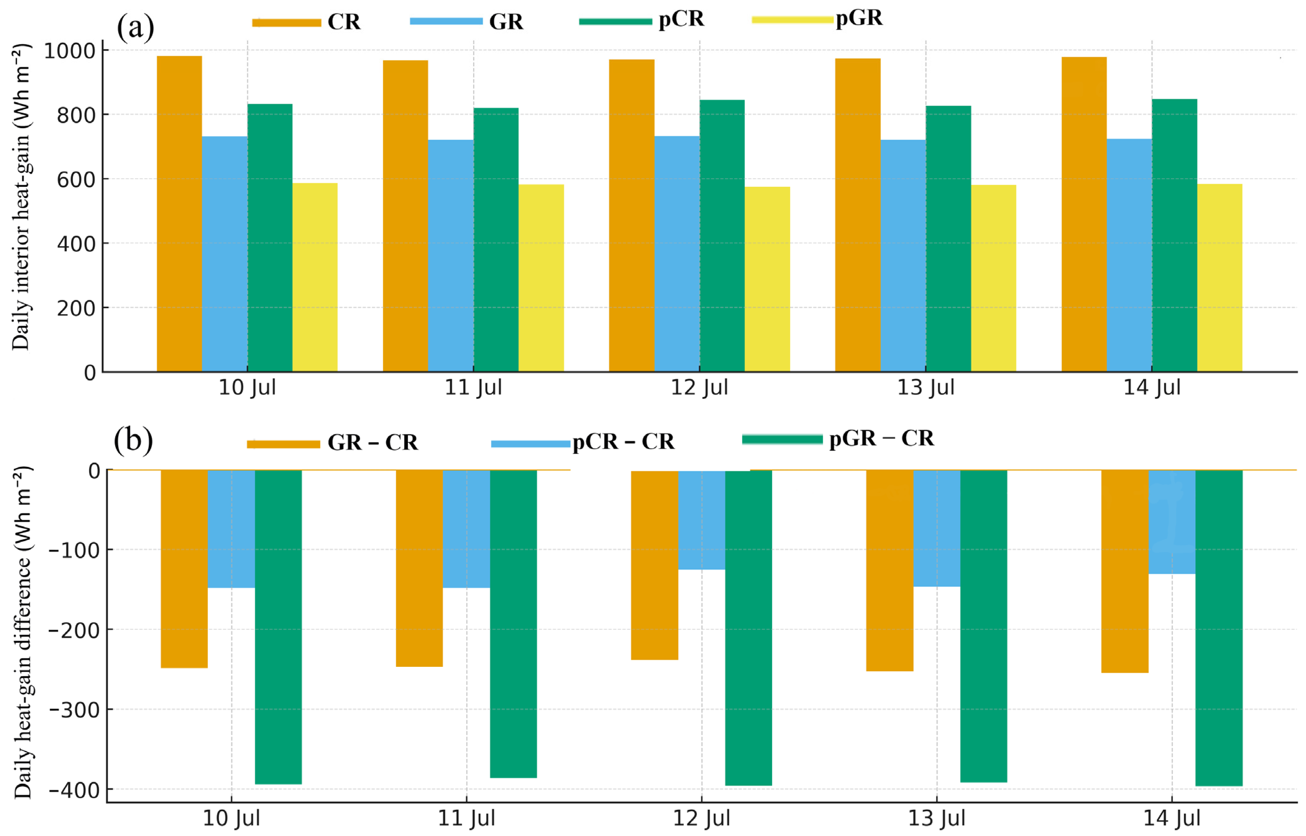
Figure 10a presents the daily interior heat gain (Wh m−2) transmitted through each roof assembly by integrating only the positive portion of the interior surface heat flux (positive qin) over the day for 10–14 July. Over the five days, the order remains the same, with CR consistently the greatest, pCR second, GR third, and pGR the lowest. This indicates that each mitigation step reduces the net heat admitted indoors daily, with the bio-solar configuration providing the greatest benefit. Numerically, CR is around 970–990 Whm−2day−1, pCR is 820–850, GR is 720–740, and pGR is 580–590. Using mid-range values, the average reductions relative to CR are about −14 to −15% for pCR, −25 to −26% for GR, and −40 to −41% for pGR. Day-to-day variation is low and follows the diurnal forcing (on clear, high-irradiance days, all bars shift slightly upward). However, the relative gaps remain stable, suggesting robust performance that is not affected by small weather changes. Physically, the savings from pCR are mainly due to spectral shading that reduces the short-wave load on the roof from the PV canopy. GR provides evapotranspirative cooling and thermal capacitance, both of which help reduce the peak and phase shift the heatwave, making the daily integral of the heatwave smaller than pCR. The pGR roof integrates both approaches: PV shading, plant evapotranspiration, and additional mass. This means less energy is stored in the deck and even less is released into the building during the evening hours, resulting in the lowest daily cooling demand. The height of these bars is an operational proxy for cooling energy demand through the roof: a change from CR → pCR → GR → pGR is directly proportional to increasingly larger cooling energy offsets.
Figure 10b illustrates the difference in interior heat gain from 10 to 14 July compared to the conventional roof (CR). Each date (10–14 July) represents three bars: GR − CR (orange), pCR/PV − CR (blue), and pGR − CR (green). The pattern is remarkably stable over the five days: pCR reduces the positive daily heat gain by a significant −145 to −160 Wh m−2 day−1, i.e., [14–16% vs. a ~980 Wh m−2 CR baseline]. GR reduces heat gain by −250 to −270 Wh m−2 (i.e., [25–27%]), and the bio-solar green roof (pGR) reduces heat gain the most, at −380 to −395 Wh m−2 (≈39–41%). The radiative forcing is followed by small day-to-day fluctuations, with slightly hotter days showing slightly deeper bars. However, the ranking order remains consistent. PV shading alone helps, but evapotranspiration from the green roof, combined with the thermal mass of the green roof, helps more by lowering and delaying the heatwave at the roof. Together, these two factors (pGR) provide the greatest daily energy relief. In absolute terms, those offsets represent approximately 0.15, 0.26, and 0.39 kWh m−2 day−1 for pCR, GR, and pGR. For a 1000 m2 roof, this amounts to avoiding approximately 150, 260, and 390 kWh of cooling load per hot day. Notably, the pGR savings are close to (but slightly less than) the sum of PV and GR taken separately, as the two mechanisms partially overlap. The key takeaway is that all strategies reduce indoor heat gain, but the bio-solar combination is the proven method that halves the difference between CR and the best single strategy, offering the best and largest daily cooling energy offset.
Figure 11 presents the daily PV energy for pCR and pGR from 10 to 14 July. There are bars around the level of 19–20 kWhday-1, with noticeable day-to-day and day–night variations reflecting the irradiance cycle (see the solar irradiance plot). When irradiance is slightly obscured, the day is closer to 18.8–19.2 kWh, and when it is clearer, the day is closer to 20 kWh. Across all days, the blue pGR bar is consistently longer by ~0.2–0.5 kWhday−1, i.e., about 1–2% more energy. That minor but consistent increase is physically justified by the panel-level regression, which represents a ~1–1.5% temperature-driven efficiency benefit. It is supported by the lower operating temperatures of the cooler modules, both on the backside of the PV panel and on the near-surface layer. Evapotranspiration and a marginally more ventilated near-surface layer lower the temperature of the PV backside and reduce thermal performance. This mechanism is demonstrated by the fact that the pGR-pCR gap does not disappear on any day. The absolute totals vary with sunshine, and the relative difference in module temperature provides the bio-solar setup with a small, reliable increase in PV production.
Figure 12 presents the regression of 1-min PV output as a function of plane-of-array irradiance for pCR and pGR (10–14 July). This scatter-with-fit plot measures the performance (quantified as the percentage of the bio-solar array’s performance, with PV above the green roof, pGR, represented by light-blue points and the blue line) compared to the same array above a conventional roof (pCR/PV, gold points, orange line) at a given solar irradiance. Thousands of 1-min samples fall almost perfectly on straight lines (R2 ≈ 0.998 for both), confirming that irradiance explains nearly all of the instantaneous PV power, with the effects of second-order factors (module temperature, wind, angle-of-incidence, MPPT behavior, etc.) contributing only a very small scatter. The fitted relationships are essentially the same in slope (≈0.0027 kW per W/m2, or ~2.7 kW at W m−2, which is consistent with the nameplate of the array). However, the pGR line is consistently above the pCR line throughout the range, giving an ≈0.04 kW advantage at 1000 W m−2 (~1.5%), as highlighted in the figure. That nearly persistent uplift with irradiance is exactly what you would expect from cooler operating modules with the evapotranspiration of the green roof. The more favorable near-surface microclimate lowers Tmod, reducing thermal derating (a typical power temperature coefficient is ~−0.3 to −0.45% °C−1). As a result, a few degrees of cooling would lead to a few percent of increased power. The small positive intercept (approximately 0.02 kW) is a regression artifact, as low-light values around sunrise/sunset cause the output to drop to zero as irradiance decreases. In general, the results of the regression confirm the daily energy bars: equal irradiance provides slightly more power through the bio-solar system, and this effect is consistent.
Figure 13 presents the relationship between the Bio-Solar Coupling Index (BSCI) and solar irradiance from 10 to 14 July. This scatter plot demonstrates the variation in the Bio-Solar Coupling Index (BSCI), a nondimensional index for the strength of synergy be-tween the green layer (evapotranspiration/cooling) and the solar layer (power generation), with the instantaneous solar irradiance. Each blue point represents a paired observation, and the orange line is a least-squares fit: BSCI = −0.0004 × I + 0.60 with (R2 = 0.70), showing a well-defined and physically meaningful trend. As irradiance increases, the coupling decreases. At low to moderate irradiance (100–300 Wm−2), many points fall between 0.5 and 0.8, meaning the bio component (cooling by plants) and solar component strongly cooperate. In contrast, during peak sun, the index drops to 0.2–0.3 (the predicted value at 1000 Wm−2 is ≈0.20), showing less synergy when the roof is most strongly forced. The dashed horizontal line at BSCI ≈ 0.33 represents a practical threshold. Solving (0.60–0.0004I = 0.33) gives around 675 Wm−2. Below this threshold, the system is typically in the ‘high-coupling’ regime, while above it, the coupling falls below the target. This behavior aligns with plant physiology and the mechanics of heat transfer at the roof, including midday stomatal regulation. Soil moisture limitations prevent transpiration when it is most needed. When irradiance (and leaf temperature) is highest, PV modules operate hotter and extract a higher percentage of the energy, both of which lower the BSCI. The spread around the line indicates how time-varying wind, humidity, and irrigation state modulate the effectiveness of evaporation. Ultimately, the figure suggests possible evapotranspiration facilitation at high irradiance through irrigation management, substrate choice, or convectional improvement to maintain elevated BSCI during the hours associated with the greatest heat mitigation and PV effectiveness.
Determination of Bio-Solar Coupling Index (BSCI)
ΔPbio(t) = PpGR(t) − PpCR(t)
  • ΔPbio = PV benefit attributable to the “bio” layer (green roof beneath PV)
  • PpGR = PV power above the green roof
  • PpCR = PV power above the conventional roof
Δqbio(t) = qin,pCR(t) − qin,pGR(t)
  • Δqbio = Thermal (cooling/heat mitigation) benefit attributable to the “bio” layer beneath
  • qin = Measured inward (positive) heat flux at the interior surface.
Normalization to obtain a nondimensional index and avoid scaling dependence
p*(t) = ΔPbio(t)/max(ΔPbio)
q*(t) = Δqbio(t)/max(Δqbio)
Bio-Solar Coupling Index at time t
BSCI(t) = {p*(t) + q*(t)}/2
Thus, BSCI varies between 0 and 1, where higher values indicate stronger simultaneous enhancement in PV output and reduction in inward heat flux due to the bio-solar coupling.
We now state clearly that each point in Figure 12 is built as follows:
  • Use the 1 min time series for the campaign window (10–14 July).
  • Apply the same daylight filtering used elsewhere (irradiance threshold) to ensure meaningful coupling points.
  • For each 1 min timestamp (t), compute ΔPbio(t) and Δqbio(t).
  • Normalize using the campaign maxima (computed over the filtered dataset).
  • Compute BSCI(t).
  • Plot BSCI(t) against the simultaneously measured instantaneous solar irradiance (I(t)) to obtain the scatter.
  • Fit the least-squares trendline (as already reported in the manuscript: BSCI = −0.0004·I + 0.60, (R2 = 0.70)).
“Paired observation” explicitly means the following: the PV and heat-flux values are paired at the same timestamp and then paired with the irradiance at that timestamp for the x-axis.
From an application perspective, BSCI is a feasible coupling KPI for bio-solar roof de-sign and operation. First, it allows for a comparative screening of alternative geometries (PV clearance, row spacing, edge ventilation) and planting/substrate strategies based on their capacity to provide simultaneous PV performance and heat mitigation benefits. Second, the fact that BSCI decreases with an increase in irradiance provides an operational signal for moisture management. Specifically, when BSCI drops below the high-coupling regime (≈0.33, corresponding to ~675 W/m2 in this study), irrigation and substrate strategies can be adjusted to maintain evapotranspiration during peak load hours. Third, BSCI can be used in deployed systems for performance diagnostics to assist in distinguishing between bio-layer limitation effects (vegetation stress, inadequate moisture, drainage problems) and PV side effects (soiling, electrical mismatch), helping to improve maintenance decisions and long-term reliability.
Figure 14 shows the diurnal cumulative reduction in inward heat flux and associated cooling energy offset for a bio-solar (pGR) and a conventional roof during clear summer days. The bio-solar roof achieves ≈2.3–2.4 MJm−2 in thermal savings by midnight, about 0.9–1.1 MJm−2 more than the conventional roof, with ~60–70% of the daily benefit attained between 12:00 and 18:00 due to the synergy of shading, evapotranspiration, and ventilated gap flushing. This two-panel graphic tracks the time-integrated cooling benefit of the roof throughout the day and expresses the same benefit as equivalent cooling energy savings. In the top panel, the y-axis shows the cumulative reduction in inward (positive) heat flux with respect to the reference of the (bare) roof, in units of MJm−2. Two integrals are plotted: the bio-solar roof (blue) and the conventional green roof (orange). Overnight, both curves are flat (indicating little or no inward heat), then start rising after sunrise and accelerate rapidly after solar noon (first dashed line). The blue curve is steeper and occurs earlier than the orange one due to shading from the PV layer on the membrane, while the plants provide evapotranspirative cooling of the membrane. Every minute past noon adds to the “avoided heat” under the bio-solar assembly. By the peak of the late afternoon (second dashed line), most of the day’s benefit has been accumulated, and by evening, the integrals flatten out as surface heat flux declines. The label ‘2.4’ represents the end-of-day cumulative avoided heat for the bio-solar roof (≈2.3–2.4 MJm−2). Although the conventional roof has a lower final value (≈1.2–1.3 MJm−2), it is primarily accrued during the afternoon (blue shading), when outdoor temperatures and building cooling loads are highest. The lower panel converts the same integrals into an HVAC cooling energy offset (kWhm−2), i.e., how much less compressor work the building needs because the roof kept heat out. The blue curve (bio-solar) leads the way and reaches about 0.43 kWhm−2 faster (annotation), finishing the day at about 0.5 kWhm−2. The orange curve (conventional) trails behind, finishing at a lower level (≈0.44–0.46 kWhm−2). The key takeaway is twofold: (i) a bio-solar roof not only augments the overall daily cooling payoff but also preloads that payoff into the hot afternoon peak period, and (ii) the additional payoff, which is time-shifted, directly translates to cooling energy savings, useful not only for managing peak demand but also for improving thermal comfort.

3.1. Economic Aspects

3.1.1. Initial Capital Cost

The initial capital cost includes the expense of installing the roof assemblies, which consists of several components: materials, labor, and infrastructure. The analysis of initial cost is given in Table 6.

3.1.2. Operational and Maintenance Costs

The operational and maintenance costs vary, depending on the roof system and the level of maintenance required. The operation and maintenance cost is given in Table 7.

3.1.3. Energy Savings and Return on Investment (ROI)

The energy saving is mainly through reduced cooling load risks because of the thermal performance of the green roofs and the energy generated from the PV modules.
Energy savings from cooling: Bio-solar green roofs (pGR) lower the need for air conditioning and cooling, by lowering roof temperatures, particularly in summer peak months.
(i) Approximate reduction in cooling load: pGR will reduce cooling load between 30 and 40 percent, versus conventional roofs.
(ii) Energy savings per year: For a typical commercial building of 100 m2, the energy savings could be in the range of 5–7000 kWh/year, depending on the local climate.
Energy production from PV: 1 kW PV system usually produces 1200–1500 kWh/year according to the location and system orientation.
For a 100 m2 bio-solar green roof, with the assumption of a 1 kW PV system, the energy production could be 1200–1500 kWh/year.
Annual energy savings: Depending on electricity rates (e.g., USD 0.10 per kWh), this works out to USD 500–750/year.
Return on Investment (ROI):
Initial capital cost for pGR (as estimated above): USD 190–240/m2
Annual savings (energy saving + reduction in cooling loads): USD 700–1000 per year for a 100 m2 roof.
ROI payback period:
For the pGR, since the return on investment in energy saving and reduced cooling load is 20–25%, the payback period could be 8–12 years.

3.1.4. Economic Benefits of UHI Mitigation

Bio-solar green roofs have many economic advantages beyond the short-term savings in energy:
Reduction in urban heat island (UHI) effects: The cooling effects from green roofs, especially the bio-solar roofs, are part of a reduction in the UHI effects, which results in a reduced ambient temperature in the urban areas.
Health-related savings: Reduced UHI can diminish heat-related health problems such as heat strokes and respiratory problems, which will otherwise result in increased healthcare expenditure. This could save local governments and residents a lot of money in health-related expenditure.
Reduced heat-related morbidity and mortality: Cooler cities reduce heat-related risks for people working or living in the area, resulting in economic benefits in terms of reductions in heat-related mortality and morbidity.
Stormwater management: Green roofs are a source of stormwater suppression, which minimizes the cost of the drainage system and removes the risk of flooding.

3.1.5. Cost–Benefit Analysis:

The cost–benefit analysis compares the initial investment and ongoing costs to the savings generated over the lifetime of the system. The cost benefit analysis is given in Table 8.
The bio-solar green roof (pGR) is a compelling proposition in terms of cost–benefit, energy savings, UHI mitigation, and sustainability for the longer term. While the initial capital cost is higher than conventional roofs, combined with the benefit of energy savings, reductions in cooling load and environmental impact, it is an investment worth making for buildings in hot climates.

4. Conclusions

This study shows that bio-solar green roofs perform better than other types of green roofs and bare roofs. It demonstrates that pGR has significantly better temperature-regulating capacity than CR, GR, and pCR when evaluated under the same external atmospheric conditions for 5 days at ambient temperature. Firstly, a physical model of the bio-solar green roof (pGR) is developed and empirically validated to alleviate the lack of actual side-by-side evidence on integrated bio-solar systems in HSA regions. This setup avoids weather variations over time and provides an initial comparison of thermal and electrical performance in high definition. This model can be applied to reduce cooling energy demand and mitigate urban heat islands. Secondly, a multi-metric thermal evaluation framework, consisting of damping factor (DF), time lag (TL), and an overall Thermal Performance Index (TPI), is introduced. The pGR system achieves the greatest gain and improvement across all competition indices, empirically establishing superior thermal decoupling capability. Thirdly, we provide new evidence that cooler vegetation improves the heat performance of photovoltaics and enhances their electrical efficiency. The pGR configuration is observed to have an uplift of ~1–2% during the monitored period under the tested configuration and conditions. Finally, this study presents and uses the Bio-Solar Coupling Index (BSCI), a new index to quantify the synergistic real-time vegetation cooling and PV energy production. The analysis identifies a critical threshold (about 675 Wm−2) for irradiance, below which the strength of the coupling decreases. It provides useful insights for irrigation schemes, substrate design, and performance optimization of bio-solar roofs in high-irradiance cities.

5. Future Outlook and Limitations

The present study provides valuable insights into the functioning of the roof systems during peak summer conditions. However, it is necessary to monitor the roofs over the long term, including different seasons, rainy days, and overcast conditions, for a complete evaluation. Future studies could extend the length of the experiment and include a wider variety of meteorological conditions to reflect the full range of challenges and benefits associated with bio-solar green roofs in urban environments.

Author Contributions

Conceptualization, A.I.; methodology, A.I.; software, A.I.; validation, A.I. and S.R.; formal analysis, A.I.; investigation, S.R.; resources, A.I.; data curation, A.I.; writing—original draft preparation, A.I.; writing—review and editing, A.I.; visualization, A.I.; supervision, S.R.; project administration, S.R.; funding acquisition, A.I. All authors have read and agreed to the published version of the manuscript.

Funding

This research received no external funding.

Data Availability Statement

The original contributions presented in this study are included in the article. Further inquiries can be directed to the corresponding author.

Conflicts of Interest

The authors declare no conflicts of interest.

References

  1. Yang, Y.; Pan, Z.; Zhang, B.; Huang, S.; Chen, X.; Hong, T. Review of Cooling Effects from Roof Mitigation Strategies Against Urban Heat Island Effects. Buildings 2025, 15, 3835. [Google Scholar] [CrossRef]
  2. Joshi, K.; Khan, A.; Anand, P.; Sen, J. Understanding the synergy between heat waves and the built environment: A three-decade systematic review informing policies for mitigating urban heat island in cities. Sustain. Earth Rev. 2024, 7, 25. [Google Scholar] [CrossRef]
  3. Carlsson, J.; Taylor, N.; Georgakaki, A.; Letout, S.; Mountraki, A.; Ince, E.; Schmitz, A.; Gea Bermudez, J. Clean Energy Technology Observatory: Solar Thermal Energy in the European Union-2024 Status Report on Technology Development, Trends, Value Chains and Markets; Publications Office of the European Union: Luxembourg, 2024.
  4. Wang, Y.; Wang, Z.-H.; Rahmatollahi, N.; Hou, H. The impact of roof systems on cooling and building energy efficiency. Appl. Energy 2024, 376, 124339. [Google Scholar] [CrossRef]
  5. Visvanathan, G.; Patil, K.; Suryawanshi, Y.; Meshram, V.; Jadhav, S. Mitigating urban heat island and enhancing indoor thermal comfort using terrace garden. Sci. Rep. 2024, 14, 9697. [Google Scholar] [CrossRef]
  6. Liao, X.; Ali, A.B.; Singh, N.S.S.; Baghoolizadeh, M.; Alam, M.M.; Orlova, T.; Salahshour, S.; Alizadeh, A. Comprehensive review of green roof and photovoltaic-green roof systems for different climates to examine the energy-saving and indoor thermal comfort. Int. Commun. Heat Mass Transf. 2025, 164, 108946. [Google Scholar] [CrossRef]
  7. Žižak, T.; Medved, S.; Arkar, C. Effect of solar photovoltaics on green roof energy balance and evapotranspiration. Sustain. Cities Soc. 2025, 121, 106206. [Google Scholar] [CrossRef]
  8. Kazemian, A.; Xiang, C. Synergizing photovoltaic-thermal systems with green roofs: A pathway to enhanced urban sustainability and energy efficiency. Renew. Sustain. Energy Rev. 2025, 222, 116002. [Google Scholar] [CrossRef]
  9. Houchmand, L.J.; Martí, M.M.; Gassó-Domingo, S. Photovoltaics and green roofs: Holistic analysis in built environments. Renew. Sustain. Energy Rev. 2025, 207, 114987. [Google Scholar] [CrossRef]
  10. Garcia-Gutierrez, L.; Aillerie, M.; Sawicki, J.; Zheng, Z.; Claverie, R. Evaluation of solar photovoltaic efficiency on green and flat roofs: Experimental and comprehensive numerical analysis. Sol. Energy 2024, 278, 112750. [Google Scholar] [CrossRef]
  11. Xu, H.; Chen, H.; Qian, C.; Li, J. The Evapotranspiration Characteristics and Evaporative Cooling Effects of Different Vegetation Types on an Intensive Green Roof: Dynamic Performance Under Different Weather Conditions. Sustainability 2024, 16, 10812. [Google Scholar] [CrossRef]
  12. Möslinger, L.; Streit, E.; Korjenic, A.; Sulejmanoski, A. Microclimatic Effects of Retrofitting a Green Roof Beneath an East–West PV Array: A Two-Year Field Study in Austria. Sustainability 2025, 17, 7495. [Google Scholar] [CrossRef]
  13. Lei, Y. World Energy Investment Report 2025 of International Energy Agency Launched in Beijing. China Oil Gas 2025, 32, 61. [Google Scholar]
  14. Riahi, L.; Abdelaziz, O.; Gluckman, R.; Hamilton, I.; Chow, W.T. Global Cooling Watch 2025. 2025. Available online: https://www.unep.org/resources/global-cooling-watch-2025 (accessed on 28 December 2025).
  15. Khan, A.; Anand, P.; Garshasbi, S.; Khatun, R.; Khorat, S.; Hamdi, R.; Niyogi, D.; Santamouris, M. Rooftop photovoltaic solar panels warm up and cool down cities. Nat. Cities 2024, 1, 780–790. [Google Scholar] [CrossRef]
  16. Nazififard, M.; Franquet, E. Systematic analysis of roof-mounted photovoltaic systems for achieving net-zero energy in urban historic buildings in hot and arid climates: Potential and challenges. Energy Build. 2025, 348, 116394. [Google Scholar] [CrossRef]
  17. Clement, F.D.; Yan, J.; Zhou, S. Integrated Assessment of sustainable roofing technologies for urban heat island mitigation: A data-driven case study in Nantong, China. J. Asian Archit. Build. Eng. 2025, 1–19. [Google Scholar] [CrossRef]
  18. Li, H.; Xiang, Y.; Yang, W.; Lin, T.; Xiao, Q.; Zhang, G. Green roof development knowledge map: A review of visual analysis using CiteSpace and VOSviewer. Heliyon 2024, 10, e24958. [Google Scholar] [CrossRef]
  19. Kokkoris, I.P.; Skandalos, N.; Karamanis, D. An urban integration approach of green roofs and rooftop photovoltaics towards carbon neutrality and biodiversity enhancement. Energy Build. 2025, 349, 116585. [Google Scholar] [CrossRef]
  20. De Cristo, E.; Evangelisti, L.; Barbaro, L.; De Lieto Vollaro, R.; Asdrubali, F. A Systematic Review of Green Roofs’ Thermal and Energy Performance in the Mediterranean Region. Energies 2025, 18, 2517. [Google Scholar] [CrossRef]
  21. Abdalazeem, M.E.; Hassan, H.; Asawa, T.; Mahmoud, H. Enhancing energy efficiency in hot climate buildings through integrated photovoltaic panels and green roofs: An experimental study. Sol. Energy 2024, 270, 112419. [Google Scholar] [CrossRef]
  22. Chen, L.; Lin, Z.; Zhou, Q.; Zhang, S.; Li, M.; Wang, Z. Impacts of photovoltaics and integrated green roofs on urban climate: Experimental insights for urban land surface modelling. Renew. Sustain. Energy Rev. 2025, 217, 115709. [Google Scholar] [CrossRef]
  23. Elaouzy, Y.; El Fadar, A. Investigation of building-integrated photovoltaic, photovoltaic thermal, ground source heat pump and green roof systems. Energy Convers. Manag. 2023, 283, 116926. [Google Scholar] [CrossRef]
  24. Feng, X.; Zeng, G.; Ying, C.; Bin Zainudin, E.; Jusuf, S.K.; Soh, C.B.; Ann, K.L.C. Analysis of microclimate and electrical performance of solar green roofs through a Large-Scale experimental study in a tropical microgrid. Energy Build. 2025, 344, 115957. [Google Scholar] [CrossRef]
  25. Rajeh, A.; Elbakheit, A.R.; Alabdullatief, A. Optimizing PV performance with hydroponic green roofs in hot Climates, the case of Riyadh. Energy Build. 2025, 349, 116527. [Google Scholar] [CrossRef]
  26. Chen, T.; Li, Y.; Zhang, Y.; Ji, H.; Wang, X.; He, J.; Liu, Q.; Zhang, H. Coupling renewable energy with urban greening: Quantifying the sustainable development potential of photovoltaic-green roofs. Sustain. Cities Soc. 2025, 133, 106866. [Google Scholar] [CrossRef]
  27. Huang, G.; Li, C.; Tan, J.; Tang, H.; Wan, W.; Xie, J.; Zhu, X. Enhancing energy performance and thermal regulation through the integration of green roofs and photovoltaics under a subtropical climate. J. Build. Eng. 2025, 112, 113730. [Google Scholar] [CrossRef]
  28. Brousse, O.; Simpson, C.; Zonato, A.; Martilli, A.; Taylor, J.; Davies, M.; Heaviside, C. Cool Roofs Could Be Most Effective at Reducing Outdoor Urban Temperatures in London (United Kingdom) Compared with Other Roof Top and Vegetation Interventions: A Mesoscale Urban Climate Modeling Study. Geophys. Res. Lett. 2024, 51, e2024GL109634. [Google Scholar] [CrossRef]
  29. Hassoun, L.; Lauren, M. Global Analysis of Combined Photovoltaic Green and Cool Roofs Under Climate Change. Adv. Sustain. Syst. 2024, 8, 2400097. [Google Scholar] [CrossRef]
  30. Chabada, M.; Juras, P. Experimental Investigation of the Impact of Drip Irrigation on the Cooling Potential of Extensive Green Roofs. Buildings 2025, 15, 3430. [Google Scholar] [CrossRef]
  31. Zhao, S.; Zhang, X.; Jin, X. Comparative Evaluation of Cool Roofs and Photovoltaic Roofs in Sustainable Buildings Within the Scope of the 3-E Static Payback Period Framework. Buildings 2025, 15, 3500. [Google Scholar] [CrossRef]
  32. Knut, P.; Vranay, F. Evaluation of biosolar roofs: Global insights and planned research in Slovakia. E3S Web Conf. 2025, 641, 01007. [Google Scholar] [CrossRef]
  33. Karamanis, D.; Liu, H.-Y.; Skandalos, N.; Makis, A.; Kapsalis, V.; D’aGostino, D.; Maduta, C.; Tolis, A.; Trandafir, S.; Parker, D. Transitioning to building integration of photovoltaics and greenery (BIPVGREEN): Case studies up-scaling from cities informal settlements. Environ. Res. Infrastruct. Sustain. 2024, 4, 042001. [Google Scholar] [CrossRef]
  34. Pirouz, B.; Naghib, S.N.; Kontoleon, K.J.; Bibin, B.S.; Nejad, H.J.; Piro, P. Investigation of the Interaction of Water and Energy in Multipurpose Bio-Solar Green Roofs in Mediterranean Climatic Conditions. Water 2025, 17, 950. [Google Scholar] [CrossRef]
  35. Organización Internacional de Normalización. Solar Energy: Specification and Classification of Instruments for Measuring Hemispherical Solar and Direct Solar Radiation; ISO: Geneva, Switzerland, 2018. [Google Scholar]
Figure 1. Experimental setup.
Figure 1. Experimental setup.
Energies 19 01089 g001
Figure 2. Experimental instruments’ measurement positions.
Figure 2. Experimental instruments’ measurement positions.
Energies 19 01089 g002
Figure 3. (a) Ambient and indoor air temperature. (b) Ambient and indoor relative humidity. (c) Wind speed at the roof level. (d) Solar irradiance.
Figure 3. (a) Ambient and indoor air temperature. (b) Ambient and indoor relative humidity. (c) Wind speed at the roof level. (d) Solar irradiance.
Energies 19 01089 g003
Figure 4. Hourly ambient and surface-adjacent temperature over each roof.
Figure 4. Hourly ambient and surface-adjacent temperature over each roof.
Energies 19 01089 g004
Figure 5. Wind speed for each roof.
Figure 5. Wind speed for each roof.
Energies 19 01089 g005
Figure 6. Outer surface temperature for GR, pCR and pGR.
Figure 6. Outer surface temperature for GR, pCR and pGR.
Energies 19 01089 g006
Figure 7. Wind rise in the ambient environment.
Figure 7. Wind rise in the ambient environment.
Energies 19 01089 g007
Figure 8. (a) Difference in damping factors. (b) Difference in time lags. (c) Difference in thermal performance indices.
Figure 8. (a) Difference in damping factors. (b) Difference in time lags. (c) Difference in thermal performance indices.
Energies 19 01089 g008
Figure 9. Interior surface heat flux for each roof.
Figure 9. Interior surface heat flux for each roof.
Energies 19 01089 g009
Figure 10. (a) Daily interior heat gain for each roof. (b) Daily heat gain difference.
Figure 10. (a) Daily interior heat gain for each roof. (b) Daily heat gain difference.
Energies 19 01089 g010
Figure 11. Daily PV energy for pCR and pGR.
Figure 11. Daily PV energy for pCR and pGR.
Energies 19 01089 g011
Figure 12. Regression of PV output on the basis of solar irradiance for pCR and pGR.
Figure 12. Regression of PV output on the basis of solar irradiance for pCR and pGR.
Energies 19 01089 g012
Figure 13. Relationship between Bio-Solar Coupling Index (BSCI) and solar irradiance.
Figure 13. Relationship between Bio-Solar Coupling Index (BSCI) and solar irradiance.
Energies 19 01089 g013
Figure 14. Cumulative heat flux reduction.
Figure 14. Cumulative heat flux reduction.
Energies 19 01089 g014
Table 1. Configurations (top and bottom).
Table 1. Configurations (top and bottom).
Roof ConfigurationOrder (Top → Bottom)LayerSpecification
Conventional roof (CR)1Cement mortar screed1:3 cement mortar
2Waterproofing3-layer bituminous (equiv. 7.5 mm)
3Thermal insulationXPS board, 40 mm
4Structural slabReinforced concrete, 150 mm
Green roof (GR)1Vegetation layerSedum/native mix
2Growing substrate/containersFlat planting containers, 80 mm
3Geotextile & drainageNon-woven geotextile, 300 g m−2
4Waterproofing3-layer bituminous (equiv. 7.5 mm)
5Cement mortar screed1:3 cement mortar, 20 mm
6Thermal insulationXPS board, 40 mm
7Structural slabReinforced concrete, 150 mm
Photovoltaic roof (pCR)0PV modules (tilt 22°)Crystalline Si
0.5Air gap/clearanceH = 0.5
1Cement mortar screed1:3 cement mortar
2Waterproofing3-layer bituminous (equiv. 7.5 mm)
3Thermal insulationXPS board, 40 mm
4Structural slabReinforced concrete, 150 mm
Bio-Solar green roof (pGR)0PV modules (tilt 22°)Crystalline Si
0.5Air gap/clearanceH = 0.5 m
1Vegetation layerSedum/native mix
2Growing substrate/containersFlat planting containers, 80 mm
3Geotextile & drainageNon-woven geotextile, 300 g m−2
4Waterproofing3-layer bituminous (equiv. 7.5 mm)
5Cement mortar screed1:3 cement mortar, 20 mm
6Thermal insulationXPS board, 40 mm
7Structural slabReinforced concrete, 150 mm
Table 2. Material properties (typical values).
Table 2. Material properties (typical values).
Material/LayerThickness (mm)Density (kg m−3)Thermal Conductivity k (W m−1 K−1)Specific Heat cp (J kg−1 K−1)Solar Absorptance (α)Emissivity (ε)
Vegetation layer30250.00.3530000.250.95
Growing substrate (80 mm)80.0900.00.612000.30.95
Geotextile (300 g m−2)3150.00.310000.60.9
Bituminous waterproofing7.51100.00.1710000.90.9
Cement mortar (1:3)20.01850.01.08400.60.9
XPS insulation40.035.00.0314000.60.9
Reinforced concrete150.02400.01.78800.60.9
PV module (glass/EVA/cell)4.02500.01.07500.90.85
Air gap under PV300.01.20.0261007nannan
Indoor plaster/finish (opt.)10.01200.00.78400.70.9
Table 3. Experimental instruments and measurement parameters.
Table 3. Experimental instruments and measurement parameters.
CategoryInstrument/Model Measurement Parameter(s)RangeAccuracy (Typ.)ResolutionMounting/LocationSampling/LoggingInterface/Logger
Solar irradiance (GHI)Pyranometer (ISO 9060 Class B/Secondary Std) CMP11Global horizontal irradiance, GHI (W m−2)0–1400 W m−2±5% daily total (typ.)1 W m−2Weather mast, 1–2 m AGL; leveled1-min avg (10-s samples)RS-485 to env. host
POA irradiance (PV plane)Pyranometer/reference cell—RC18Plane-of-array irradiance, POA (W m−2)0–1400 W m−2±5% daily total (typ.)1 W m−2Near PV module plane on pCR & pGR1-min avg (10-s samples)RS-485 to env. host
Ambient air (T, RH)Shielded temp/RH probe (aspirated) Vaisala HMP155AAir temp Tout (°C); RHout (%)−20–60 °C; 0–100% RH±0.3 °C; ±2% RH0.1 °C; 0.1%Weather mast at 1–2 m1-min avgRS-485 to env. host
Wind (speed/dir)Cup/ultrasonic anemometer + wind vane—Thies first class advancedWSout (m s−1); WDout (°)0–60 m s−1; 0–360°±(0.3 m s−1 or 2%); ±3°0.1 m s−1; 1°Weather mast at roof level (≥2 m AGL)1-min avg (vector)RS-485 to env. host
Surface-adjacent airMini shielded Temp probe/micro-anemometer—thin-film RTD+ micro fanTmid (°C); WSmid (m s−1)−20–60 °C; 0–20 m s−1±0.3 °C; ±(0.2 m s−1 or 2%)0.1 °C; 0.1 m s−10.2 m above roof surface for each bay1-min avgRS-485 to env. host
Outer surface temperatureSurface thermocouple (Type T)—Omega 5TC seriesTsurf,out (°C)−10–100 °C±0.5–1.0 °C (contact-grade)0.1 °CAffixed to outer protective layer (each bay)1-minTemp/heat-flux inspector
Interior surface temperatureContact PT100 RTD sensors—PT100 Class ATsurf,in (°C)−10–80 °C±0.2–0.3 °C0.01–0.1 °CCeiling interior surface (each bay)1-minTemp/heat-flux inspector
Interior heat fluxHeat-flux plate—Hukseflux HFP01qin (W m−2)±200 W m−2±5% of reading (typ.)0.1 W m−2Interior surface of roof (each bay)1-min avgTemp/heat-flux inspector
PV backside temperatureBack-of-module type T thermocouples—Omega 5TC seriesTPV,back (°C)−10–100 °C±0.5–1.0 °C0.1 °CCenter-back of representative PV module (pCR & pGR)1-minEnv. host/temp inspector
Substrate temperatureThermistor probe—Campbell scientific 107-LTsub (°C)−10–80 °C±0.2–0.3 °C0.01–0.1 °CGreen roof substrate mid-depth (GR & pGR)5-min or 1-minRS-485 to env. host
Soil moistureDielectric VWC probe—Meter Group 5TEθv (m3 m−3)0–0.7 m3 m−3±0.03 m3 m−3 (typ.)0.001 m3 m−3Green roof substrate mid-depth (GR & pGR)5-min or 1-minRS-485 to env. host
PV electrical (DC/AC)MPPT controller/inverter telemetry—SMA Sunny Tripower with data managerDC P, V, I; AC P, E_day (kWh)Per system ratingPer manufacturerInverter room/rooftop panel1-min logs; daily totalsModbus/RS-485; Wi-Fi RTU
Data acquisitionEnvironmental monitoring host (RS-485) + Temp/Heat-flux inspector − Campbell Scientific CR1000X + AM16/32BMulti-channel loggingControl cabinet1-min scan; 10-s raw if neededRS-485; local SD/USB
Table 4. Differences between specific air or surface temperatures (°C).
Table 4. Differences between specific air or surface temperatures (°C).
Parameter/HeightPairΔT Daily Mean (°C)ΔT Peak 12–16 h (°C)N Days
Near-surface air (0.2 m)GR − CR−1.43 ± 0.02−0.83 ± 0.055
Near-surface air (0.2 m)pCR − CR−0.63 ± 0.00−0.37 ± 0.055
Near-surface air (0.2 m)pGR − CR−1.73 ± 0.03−1.07 ± 0.045
Outer surface (protective layer)GR − CR−8.02 ± 0.04−8.04 ± 0.175
Outer surface (protective layer)pCR − CR−5.02 ± 0.04−5.02 ± 0.125
Outer surface (protective layer)pGR − CR−12.01 ± 0.07−12.05 ± 0.095
Interior surfaceGR − CR−7.51 ± 0.08−7.56 ± 0.165
Interior surfacepCR − CR−4.82 ± 0.05−4.83 ± 0.135
Interior surfacepGR − CR−12.50 ± 0.06−12.54 ± 0.185
PV backsidepGR − pCR−3.18 ± 0.04−3.24 ± 0.065
Table 5. Average DF, TL, TPI and differences vs. CR.
Table 5. Average DF, TL, TPI and differences vs. CR.
Roof ConfigurationN (Days/Records)Damping Factor, DF Time Lag, TL (h)Thermal Performance Index, TPI ΔDF vs. CR (abs)ΔDF vs. CR (%)ΔTL vs. CR (h)ΔTL vs. CR (%)ΔTPI vs. CR (abs)ΔTPI vs. CR (%)
CR50.42 ± 0.025.82 ± 0.131.01 ± 0.030.0+0.0%0.0+0.0%0.0+0.0%
GR50.47 ± 0.015.35 ± 0.150.97 ± 0.040.05+12.5%−0.47−8.2%−0.04−3.9%
pCR (PV-only)50.45 ± 0.035.03 ± 0.230.95 ± 0.030.03+7.2%−0.79−13.6%−0.05−5.3%
pGR (PV + green)50.50 ± 0.034.56 ± 0.080.93 ± 0.020.08+19.4%−1.27−21.7%−0.08−7.7%
Table 6. Initial capital cost.
Table 6. Initial capital cost.
Roof TypeMaterialsEstimated CostLabor and InstallationTotal Estimated Cost
Conventional RoofCement mortar, waterproofing membrane, insulation, and concrete slabUSD 35 per m2USD 15 per m2USD 50 per m2.
Green RoofVegetation layer (sedum), growing substrate, geotextile, bituminous waterproofing, insulationUSD 90 per m2USD 25 per m2USD 115 per m2.
Photovoltaic Roof (pCR)PV modules, mounting system, wiring, and electrical componentsUSD 225 per m2USD 60 per m2USD 285 per m2
Bio-Solar Green Roof (pGR)Combination of green roof materials (vegetation, substrate, geotextile) and PV modulesUSD 165 per m2USD 50 per m2USD 215 per m2
Table 7. Operational and maintenance costs.
Table 7. Operational and maintenance costs.
Roof TypeMaintenanceEstimated Annual Cost
Conventional Roof Maintenance is minimal, mainly focused on periodic inspection and waterproofingUSD 8 per m2
Green RoofMaintenanceIrrigation System and Water BillsLabor and InstallationTotal Annual Maintenance Cost
Vegetation needs regular irrigation and periodic plant maintenance (e.g., replacement of plants, soil checks)USD 7 per m2 per yearUSD 12 per m2 per yearUSD 19 per m2 per year
Photovoltaic Roof (pCR)MaintenanceDurabilityEstimated Annual Cost
Regular cleaning of PV modules, inspection of wiring, and inverter maintenance.PV module life expectancy is around 20–25 years, with minimal annual maintenance costs after installation.USD 15 per m2 for cleaning and inspection.
Bio-Solar Green Roof (pGR)MaintenanceIrrigation System and Plant MaintenancePV Module CleaningTotal Annual Maintenance Cost
Maintenance includes irrigation, plant health checks, cleaning of PV panels, and substrate care.USD 17 per m2 per yearUSD 13 per m2 per yearUSD 30 per m2 per year
Table 8. Cost–benefit analysis.
Table 8. Cost–benefit analysis.
Roof TypeInitial CostMaintenance CostEnergy SavingsBenefit
Conventional Roof (CR)USD 50 per m2USD 7 per m2 annually No significant energy savings or UHI mitigation benefits.Basic roofing with minimal operational costs.
Green Roof (GR)USD 115 per m2USD 20 per m2 annually~USD 400 per year (due to cooling).Reduced cooling energy costs, and stormwater management.
Photovoltaic Roof (pCR)USD 285 per m2USD 15 per m2 annually~1400 kWh per year, generating USD 625 in savings annually.Energy generation offsets utility costs, providing long-term energy savings.
Bio-Solar Green Roof (pGR)USD 215 per m2USD 30 per m2 annually~1400 kWh per year, generating USD 625 in savings annually.Combined energy savings from PV and cooling load reduction, UHI mitigation, and stormwater management. Long-term benefits from integrated systems.
Disclaimer/Publisher’s Note: The statements, opinions and data contained in all publications are solely those of the individual author(s) and contributor(s) and not of MDPI and/or the editor(s). MDPI and/or the editor(s) disclaim responsibility for any injury to people or property resulting from any ideas, methods, instructions or products referred to in the content.

Share and Cite

MDPI and ACS Style

Iqbal, A.; Rauf, S. Bio-Solar Green Roofs for Urban Heat Adaptation: A Case in Point. Energies 2026, 19, 1089. https://doi.org/10.3390/en19041089

AMA Style

Iqbal A, Rauf S. Bio-Solar Green Roofs for Urban Heat Adaptation: A Case in Point. Energies. 2026; 19(4):1089. https://doi.org/10.3390/en19041089

Chicago/Turabian Style

Iqbal, Azhar, and Shoaib Rauf. 2026. "Bio-Solar Green Roofs for Urban Heat Adaptation: A Case in Point" Energies 19, no. 4: 1089. https://doi.org/10.3390/en19041089

APA Style

Iqbal, A., & Rauf, S. (2026). Bio-Solar Green Roofs for Urban Heat Adaptation: A Case in Point. Energies, 19(4), 1089. https://doi.org/10.3390/en19041089

Note that from the first issue of 2016, this journal uses article numbers instead of page numbers. See further details here.

Article Metrics

Back to TopTop