Halogen Doping in Na3PS4 Solid Electrolytes for High Performance All-Solid-State Sodium Batteries
Abstract
1. Introduction
2. Material and Experimental Method
2.1. Preparation of Halogen-Doped Na3PS4 Electrolytes
2.2. Cathode Preparation and Cell Assembly
2.3. Characterization Methods
2.4. Electrochemical Measurements
3. Results and Discussion
3.1. Structural, Transport, and Interfacial Properties of Halogen-Doped Na3PS4
3.2. Structure and Properties of Cl-Doped Na3PS4 Electrolytes
3.3. Electrochemical Performance of Cl-Doped Na3PS4 Electrolytes
4. Conclusions
Author Contributions
Funding
Data Availability Statement
Conflicts of Interest
References
- Janek, J.; Zeier, W.G. Challenges in speeding up solid-state battery development. Nat. Energy 2023, 8, 230–240. [Google Scholar] [CrossRef]
- Yang, Y.; Yang, S.; Xue, X.; Zhang, X.; Li, Q.; Yao, Y. Inorganic all-solid-state sodium batteries: Electrolyte designing and interface engineering. Adv. Mater. 2024, 36, 2308332. [Google Scholar] [CrossRef]
- Yang, Z.; Tang, B.; Ren, D.; Yu, X.; Gao, Y.; Wu, Y.; Yang, Y.; Chen, Z.; Zhou, Z. Advancing solid-state sodium batteries: Status quo of sulfide-based solid electrolytes. Mater. Today 2024, 80, 429–449. [Google Scholar] [CrossRef]
- Yang, D.; Zhang, D.; Ren, K.; Li, F.; Dong, P.; Zhang, J.; Yang, B.; Liang, F. All Solid-State Sodium Batteries and Its Interface Modification. Prog. Chem. 2023, 35, 1177–1190. [Google Scholar]
- Hayashi, A.; Masuzawa, N.; Yubuchi, S.; Tsuji, F.; Sakuda, A.; Tasumisago, M. A sodium-ion sulfide solid electrolyte with unprecedented conductivity at room temperature. Nat. Commun. 2019, 10, 5266. [Google Scholar] [CrossRef]
- Zhang, X.; Phuah, K.C.; Adams, S. Anion control of the electrolyte Na3–xSbS4–xBrx extends cycle life in solid-state sodium batteries. Chem. Mater. 2021, 33, 9184–9193. [Google Scholar] [CrossRef]
- de Klerk, N.J.J.; Wagemaker, M. Diffusion mechanism of the sodium-ion solid electrolyte Na3PS4 and potential improvements of halogen doping. Chem. Mater. 2016, 28, 3122–3130. [Google Scholar] [CrossRef]
- Cao, H.; Yu, M.; Zhang, L.; Zhang, Z.; Yan, X.; Li, P.; Yu, C. Stabilizing Na3SbS4/Na interface by rational design via Cl doping and aqueous processing. J. Mater. Sci. Technol. 2021, 70, 168–175. [Google Scholar] [CrossRef]
- Chu, I.H.; Kompella, C.S.; Nguyen, H.; Zhu, Z.; Hy, S.; Deng, Z.; Meng, Y.S.; Ong, S.P. Room-temperature all-solid-state rechargeable sodium-ion batteries with a Cl-doped Na3PS4 superionic conductor. Sci. Rep. 2016, 6, 33733. [Google Scholar] [CrossRef]
- Wu, E.A.; Kompella, C.S.; Zhu, Z.; Lee, J.Z.; Lee, S.C.; Chu, I.H.; Nguyen, H.; Ong, S.P.; Banerjee, A.; Meng, S.Y. New insights into the interphase between the na metal anode and sulfide solid-state electrolytes: A joint experimental and computational study. ACS Appl. Mater. Interfaces 2018, 10, 10076–10086. [Google Scholar] [CrossRef]
- Hayashi, A.; Noi, K.; Sakuda, A.; Tastumisago, M. Superionic glass-ceramic electrolytes for room-temperature rechargeable sodium batteries. Nat. Commun. 2012, 3, 856. [Google Scholar] [CrossRef] [PubMed]
- Radjendirane, A.C.; Maurya, D.K.; Ren, J.; Hou, H.; Algadi, H.; Xu, B.B.; Guo, Z.; Angaiah, S. Overview of Inorganic Electrolytes for All-Solid-State Sodium Batteries. Langmuir 2024, 40, 16690–16712. [Google Scholar] [CrossRef]
- Bekaert, L.; Akatsuka, S.; Tanibata, N.; Proft, F.D.; Hubin, A.; Mamme, M.H.; Nakayama, M. Assessing the Reactivity of the Na3PS4 Solid-State Electrolyte with the Sodium Metal Negative Electrode Using Total Trajectory Analysis with Neural-Network Potential Molecular Dynamics. J. Phys. Chem. C 2023, 127, 8503–8514. [Google Scholar] [CrossRef]
- He, R.; Hu, Z.; Gao, J.; Zhang, G.; Shen, K. Role of Halogen Doping on Ionic Diffusion in the Grain Boundary Structure of Cubic Na3PS4: Ab Initio Molecular Dynamic Study. J. Phys. Chem. C 2022, 126, 10593–10600. [Google Scholar] [CrossRef]
- Hogrefe, K.; Konigsreiter, J.; Bernroitner, A.; Gadermaier, B.; Ashbrook, S.E.; Wilkening, M. Length-Scale-Dependent Ion Dynamics in Ca-Doped Na3PS4. Chem. Mater. 2024, 36, 980–993. [Google Scholar] [CrossRef]
- Shu, L.; Gao, C.; Liu, Y.; Zhou, X.; Ma, H.; Zhang, X.; Shen, X.; Dai, S.; Lin, C.; Jiao, Q. Enhancing Interface Stability and Ionic Conductivity in the Designed Na3SbP0.4xS4-xOx Sulfide Solid Electrolyte Through Bridging Oxygen. J. Colloid Interface Sci. 2025, 652, 2042–2053. [Google Scholar] [CrossRef] [PubMed]
- Mwemezi, M.; Ikhe, A.B.; Park, W.B. Improvement of Interfacial Stability Between Na Metal and Na3PS4 Family Solid Electrolyte for All-Solid-state Sodium Metal Batteries. Electrochim. Acta 2024, 480, 143919. [Google Scholar] [CrossRef]
- Ma, A.; Liu, S.; Li, D.; Gu, B.; Li, S.; Wang, J. Fabrication and Electrochemical Performance of Br-Doped Na3PS4 Solid-State Electrolyte for Sodium–Sulfur Batteries via Melt-Quenching and Hot-Pressing. Inorganics 2025, 13, 73. [Google Scholar] [CrossRef]
- Wu, M.; Liu, H.; Qi, X.; Li, D.; Wang, C.; Nan, C.; Fan, L. Structure designing, interface engineering, and application prospects for sodium-ion inorganic solid electrolytes. InfoMat 2024, 6, 12606. [Google Scholar] [CrossRef]
- Ganesan, B.K.; Lee, Y.; Kim, D. Tailoring defects and interfaces in sulfide solid electrolytes for high-performance solid-state sodium batteries. Chem. Commun. 2025, 61, 12232. [Google Scholar] [CrossRef] [PubMed]
- Yang, S.; Tang, Y.; Yao, Y.; He, S.; Wu, Z.; Yang, Y.; Pan, H.; Rui, X.; Yu, Y. Sulfide Electrolytes for All-Solid-state Sodium Batteries: Fundamentals and Modification Strategies. Mater. Horiz. 2025, 12, 1058–1083. [Google Scholar] [CrossRef]
- Yang, S.; Tang, Y.; Yab, Y.; He, S.; Wu, Z.; Yang, Y.; Pan, H.; Rui, X.; Yu, Y. Amorphous Sulfide Solid Electrolytes Based on Na3PS4–NaxMOy (M = P and S) for All-Solid-State Sodium Batteries. ACS Appl. Energy Mater. 2025, 8, 8216–8223. [Google Scholar]
- Deysher, G.; Chen, Y.; Sayahpour, B.; Lin, S.W.; Ham, S.Y.; Ridley, P.; Cronk, A.; Wu, E.A.; Tan, D.; Doux, J.M.; et al. Evaluating electrolyte–anode interface stability in sodium all-solid-state batteries. ACS Appl. Mater. Interfaces 2022, 14, 47706–47715. [Google Scholar] [CrossRef] [PubMed]
- Azmi, Z.; Goswami, A.K.; Mohapatra, S.R. Sulfide Based Solid Electrolytes for Sodium-Ion Battery: Synthesis, Structure Design, Stability, and Cell Performance. Sustain. Mater. Technol. 2024, 4, 01176. [Google Scholar] [CrossRef]
- Dey, S.; Singh, G. Differentiating cyclability and kinetics of Na+ ions in surface-functionalized and nanostructured graphite using electrochemical impedance spectroscopy. Batteries 2023, 9, 534. [Google Scholar] [CrossRef]











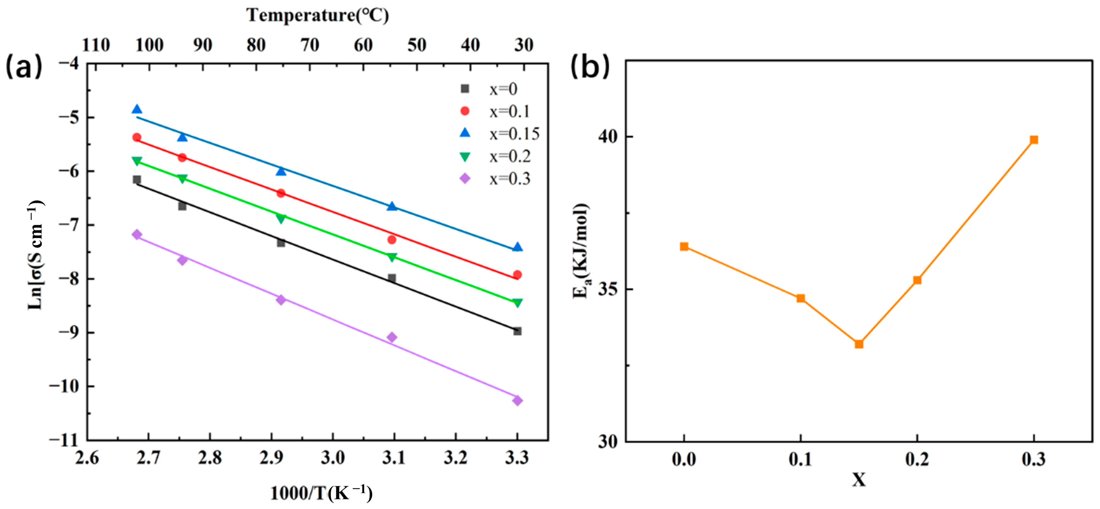
| Activation Energy (KJ/mol) | |
|---|---|
| Na3PS4 | 36.4 |
| Na2.9PS3.9M0.1 | 34.7 |
| Na2.85PS3.85M0.15 | 33.3 |
| Na2.8PS3.8M0.2 | 35.3 |
| Na2.7PS3.7M0.3 | 39.9 |
Disclaimer/Publisher’s Note: The statements, opinions and data contained in all publications are solely those of the individual author(s) and contributor(s) and not of MDPI and/or the editor(s). MDPI and/or the editor(s) disclaim responsibility for any injury to people or property resulting from any ideas, methods, instructions or products referred to in the content. |
© 2026 by the authors. Licensee MDPI, Basel, Switzerland. This article is an open access article distributed under the terms and conditions of the Creative Commons Attribution (CC BY) license.
Share and Cite
Miao, L.; Cao, L.; Zhou, Y.; Wang, W.; Luo, Y.; Jiao, S. Halogen Doping in Na3PS4 Solid Electrolytes for High Performance All-Solid-State Sodium Batteries. Energies 2026, 19, 850. https://doi.org/10.3390/en19030850
Miao L, Cao L, Zhou Y, Wang W, Luo Y, Jiao S. Halogen Doping in Na3PS4 Solid Electrolytes for High Performance All-Solid-State Sodium Batteries. Energies. 2026; 19(3):850. https://doi.org/10.3390/en19030850
Chicago/Turabian StyleMiao, Liang, Linxi Cao, Yaxian Zhou, Wei Wang, Yiwa Luo, and Shuqiang Jiao. 2026. "Halogen Doping in Na3PS4 Solid Electrolytes for High Performance All-Solid-State Sodium Batteries" Energies 19, no. 3: 850. https://doi.org/10.3390/en19030850
APA StyleMiao, L., Cao, L., Zhou, Y., Wang, W., Luo, Y., & Jiao, S. (2026). Halogen Doping in Na3PS4 Solid Electrolytes for High Performance All-Solid-State Sodium Batteries. Energies, 19(3), 850. https://doi.org/10.3390/en19030850

