Next Article in Journal
Effect of Condenser Location and Geometry on Thermal Performance of a Vapor Chamber with Multiple Heat Sources
Previous Article in Journal
Phase Current Reconstruction of PMSG-Based Three-Phase PWM Rectifiers Using Linear Extended State Observer
 
 
Font Type:
Arial Georgia Verdana
Font Size:
Aa Aa Aa
Line Spacing:
Column Width:
Background:
Article

Controlling Effect of Seepage Channels in Tight Reservoirs on Fluid Flow Capacity Based on Pore–Throat Network Numerical Simulation and Fluid Injection Experiments

State Key Laboratory of Petroleum Resources and Engineering, China University of Petroleum (Beijing), Beijing 102249, China
*
Author to whom correspondence should be addressed.
Energies 2026, 19(3), 846; https://doi.org/10.3390/en19030846
Submission received: 14 December 2025 / Revised: 23 January 2026 / Accepted: 2 February 2026 / Published: 5 February 2026
(This article belongs to the Section H: Geo-Energy)

Abstract

Micron-scale pores and their connecting throats govern fluid transport in tight reservoirs, yet seepage channel differences among lithologies remain poorly quantified. This study uses scanning electron microscopy (SEM) images of shale, siltstone, carbonate rock, and conglomerate to extract pore–throat networks and simulate fluid invasion under different minimum throat radii. Flow capacity is quantified by the fluid-accessible pore volume fraction and validated with constant-rate mercury injection (CRMI) and nuclear magnetic resonance (NMR). Shale and siltstone are dominated by fine throats, with a mean throat radius of about 0.2 μm, and contain abundant narrow pathways that are difficult to connect. As the minimum throat radius increases from 0.05 μm to 1.00 μm, the accessible pore volume fraction decreases from about 0.9 to about 0.6, indicating strong sensitivity to throat size. Carbonate rock and conglomerate show larger throats, with a mean radius of about 0.35 to 0.45 μm, and a better-developed connected framework. Under the same conditions, the fluid flow capacity index (Ff) remains relatively stable from about 0.95 to 0.75. Based on these responses, two structure flow control types are proposed: a geometric homogeneity-dominated type for shale and siltstone, and a connectivity-dominated type for carbonate rock and conglomerate. These results quantitatively link microstructural attributes to flow capacity, supporting tight reservoir evaluation and differentiated stimulation strategies.

1. Introduction

In recent years, tight oil and gas resources have become one of the most important targets for unconventional hydrocarbon exploration and development worldwide [1]. Tight reservoirs are typically characterized by micron-scale pores, narrow and tortuous connecting throats, and a complex spatial configuration of the pore–throat system. As a result, they commonly exhibit low macroscopic permeability and highly variable production performance [2]. The space in which fluids can effectively participate in flow is not only constrained by the total porosity, but also jointly controlled by the geometric characteristics of pores and throats and their interconnection patterns at the microscale [3]. In tight reservoirs with heterogeneous lithologies and markedly different diagenetic evolution, the structure of seepage channels varies significantly among lithologies [4]. Clarifying the differences in the seepage channel structures of different lithologies is one of the key issues in current research. Furthermore, it is necessary to clarify the specific impact of these structural differences on fluid flow capacity. This is of great scientific significance for improving the development efficiency of tight oil and gas.
Previous studies have demonstrated that the spatial organization of pores and connecting throats in tight reservoirs governs not only fluid charging and preservation, but also the conductive behavior of fracture–pore systems [5,6,7,8]. Techniques such as thin-section petrography, scanning electron microscopy, constant-rate mercury injection, low-field nuclear magnetic resonance and X-ray computed tomography (CT) have been widely applied to characterize pore types, pore–throat size distributions and pore–throat connectivity in tight reservoirs [9,10,11,12]. These works have yielded substantial advances in describing pore–throat size spectra and porosity–permeability relationships. However, pores and throats are often treated as independent statistical entities, and connectivity is frequently described only qualitatively as “good” or “poor” [13,14,15]. Systematic and quantitative evaluations of how seepage channel affects fluid flow capacity, especially distinguishing between the geometric homogeneity within seepage channels and the overall connectivity of the pore–throat network, remain relatively rare. Furthermore, comparative studies that place multiple tight reservoir lithologies within a unified quantitative framework are still limited.
Recent advances in digital rock physics have improved the quantitative linkage between pore-scale geometry and transport behavior by integrating high-resolution imaging, robust image analysis, and pore-scale modeling. In particular, recent reviews summarized the opportunities and limitations of imaging-based pore-scale workflows and highlighted the importance of reproducibility and uncertainty control across segmentation and model assumptions [16,17]. In addition, imaging-informed pore-scale studies have demonstrated that pore connectivity across scales can strongly influence two-phase flow behavior in mixed-wet rocks, reinforcing the need to interpret connectivity descriptors together with experimental validation [18].
With the rapid development of digital rock physics, pore–throat network modeling has become an effective bridge linking microscopic structure to macroscopic flow behavior [19,20,21]. Pore–throat networks constructed from SEM or CT images can be used to perform simplified flow simulations, helping to elucidate the relationships among pore–throat structures, capillary displacement processes and relative permeability [22,23,24,25,26]. Network models have been utilized to estimate connectivity thresholds for seepage channels and to explore the evolution of fluid distributions under different displacement conditions [25,26,27]. However, such studies have primarily focused on single rock types, with relatively limited comparative research on multi-rock-type tight reservoirs such as shale, siltstone, carbonate, and conglomerate [28,29,30]. In addition, the quantitative correspondence between network simulation results and throat-scale spectra or movable fluid fractions derived from CRMI and NMR has rarely been verified on the same set of samples.
Tight reservoirs with different lithologies display pronounced differences in diagenetic evolution, grain composition, cementation styles and pore-filling processes [31,32]. These factors result in distinct pore and throat development patterns, scale spectra and spatial connectivity, ultimately controlling the extent and efficiency of fluid flow within the rock. Conventional evaluation methods based solely on porosity and permeability parameters are not sufficient to reveal the specific seepage pathways through which microscopic structural differences affect fluid flow capacity. Therefore, there is a need to quantitatively compare the seepage channel structures of four types of tight reservoirs under a unified imaging scale and parameter system, and to clarify how geometric homogeneity and network connectivity jointly regulate fluid flow capacity.
Simulation and assessment of fluid seepage and migration in reservoirs have been increasingly used to support engineering decisions in flow assurance, stimulation design, and subsurface energy storage. Recent studies have demonstrated that quantitative modeling frameworks, combined with experimental or field constraints, can improve the interpretability of transport-limiting mechanisms and provide more actionable guidance for reservoir operations [13,14,15,33].
Based on this understanding, this study focuses on four typical tight reservoir lithologies: shale, siltstone, carbonate rock and conglomerate. High-resolution backscattered electron imaging (HREI) was used to acquire microscopic pore–throat images. Through image processing and skeleton extraction, two-dimensional pore–throat networks are constructed within a unified field of view. Structural parameters such as throat-size distribution, pore coordination number, maximum connected cluster size and the fraction of isolated throats were systematically quantified. A simplified network flow simulation was then introduced. Under various minimum throat scale conditions, the fluid flow capacity was characterized by the pore volume fraction occupied by displaced phases. This was compared with the throat-scale spectrum inverted by CRMI and the movable fluid volume fraction measured by NMR. This validated the physical meaning and applicability of the pore–throat network model and flow capacity indices. Furthermore, this paper constructs sensitivity indices to characterize the geometric homogeneity of seepage channels and the connectivity of the pore–throat network. Two types of tight reservoir structure flow-dominant modes are proposed: homogeneity-dominant and connectivity-dominant. The differences in pore–throat structure among four types of tight reservoirs and their control mechanisms on fluid flow capacity were quantitatively classified. This research contributes to a unified understanding of the different mechanisms by which geometric constraints and the connectivity framework function in tight reservoirs at the microscale. It provides structural constraints and theoretical support for selecting optimal stimulation targets and optimizing fracturing parameters in tight reservoirs.
This study introduced a pore–throat network-based comparative framework to quantify seepage channel controls across tight reservoir lithologies. The main conceptual innovation was a homogeneity-dominated versus connectivity-dominated classification, established by linking throat-size heterogeneity and network connectivity descriptors to the sensitivity of flow capacity to throat-radius thresholds. Methodologically, two sensitivity indices were proposed to distinguish whether flow capacity was primarily constrained by geometric uniformity or by connected-pathway availability, providing an interpretable mechanism-oriented categorization for cross-lithology comparison.

2. Materials and Methods

2.1. Materials

The tight reservoirs investigated in this study include four typical lithologies: shale, siltstone, carbonate rock, and conglomerate. One representative rock sample was selected for each lithology. Each sample has clear lithologic characteristics, an intact rock fabric, and representative diagenetic overprinting. These rocks were used as representative samples to analyze the pore–throat structure and seepage characteristics of each lithology. For sample preparation, each rock was cut by mechanical cutting into blocks of approximately 2.0 cm × 2.0 cm × 1.0 cm. The blocks were then successively lapped and polished to obtain flat, mirror-like surfaces. To enhance pore visibility, the samples were vacuum impregnated with blue epoxy resin. This treatment allowed pores to be clearly distinguished from the mineral matrix in subsequent epoxy-impregnated thin sections and SEM images. Before SEM observation, all polished surfaces were coated with a conductive carbon film to reduce charge accumulation and improve image quality.
The microscopic image data used for pore–throat network modeling were mainly obtained from SEM images. All measurements were performed using an FEI Quanta 200F field-emission scanning electron microscope (FE-SEM) manufactured by FEI Company, Hillsboro, OR, USA, with an accelerating voltage typically set to 10–15 kV. Imaging was conducted primarily in backscattered electron mode to balance grayscale contrast at pore–mineral interfaces and image noise. For each lithologic sample, several representative areas were selected on the polished surface for area imaging. Macroscopic fractures, mineral-filled veins, and zones affected by polishing artifacts or contamination were deliberately avoided. For each lithology, multiple high-resolution SEM images that met the requirements for resolution and contrast were acquired. Part of this image set was used for qualitative identification of pore types and mineral assemblages. The remaining images, obtained under strictly uniform image quality criteria and parameter settings, were treated as quantitative fields of view for subsequent pore–throat network extraction. Each qualified SEM image contains 1348 × 1768 pixels, corresponding to a spatial resolution of approximately 0.04–0.08 μm/pixel. Across all lithologic fields of view, the identified total numbers of pores and throats reach the order of several thousands to tens of thousands, ensuring the representativeness and robustness of the statistical analysis of pore–throat structures.
For each lithology, one representative plug was used for pore–throat network modeling and experimental validation. Within that plug, 8 independent SEM imaging domains were acquired, and each imaging domain was treated as one repeated observation to quantify within-plug spatial variability under consistent imaging and processing settings. Accordingly, the statistical comparisons and the derived structure-dominance classification were interpreted at the SEM image-domain level for the analyzed representative plugs, rather than as formal population inference at the lithology level. Lithology-level inference would require additional independent plugs for each lithology and was considered a key direction for future work. The polished surface of each plug was spatially stratified into multiple zones, and SEM imaging domains were selected using a stratified spatial sampling approach to reduce sampling bias. Candidate locations were first generated to ensure broad surface coverage, and a minimum spacing criterion was enforced so that neighboring imaging domains did not overlap and were separated by at least one field width. Locations affected by macroscopic fractures, mineral-filled veins, polishing artifacts, or contamination were excluded; when a candidate location was excluded, an alternative location was selected within the same zone following the same criteria. This protocol ensured that the 8 SEM imaging domains were spatially dispersed and provided repeated observations to characterize within-plug spatial variability.

2.2. Model Construction

The pore–throat network extraction is based on SEM binarized images. All SEM image processing, pore–throat network extraction, parameter calculation, and numerical invasion simulation were implemented in MATLAB R2022b. Each grayscale SEM image was first contrast-normalized, followed by noise suppression using a median filter (3 × 3 pixels). Binary pore maps were obtained using Otsu global thresholding, and local manual correction was applied only when obvious mineral edge misclassification occurred. Small, isolated objects below a minimum area threshold were removed to reduce speckle noise. Morphological opening and closing were applied using a disk-shaped structuring element (radius 1–2 pixels) to smooth pore boundaries while preserving narrow connections. Pore bodies were then skeletonized to obtain centerlines, and a Euclidean distance transform was computed on the pore space to assign local radii along skeleton paths. No artificial “fracture bridging” or connectivity repair was performed; regions affected by macroscopic fractures, mineral-filled veins, polishing artifacts, or contamination were excluded during SEM field selection.
Based on this, the pore space is skeletonized, and the continuous pore channels are abstracted into a network structure composed of “nodes–connections” (Figure 1). The nodes of the skeleton are defined as pores, and the connections are defined as throats, resulting in a two-dimensional pore–throat network model. In this network, any path that is continuously connected by “pore–throat–pore” and can connect the injection side to the output side of the domain is considered a potential seepage channel (Figure 2).
The pore radius (Rp) is calculated based on the pore projection area (Ap), assuming that the pore is approximately a circle in the two-dimensional cross-section. The formula is defined as follows:
R p   =   A p π ,
The throat radius (Rt) is determined based on the distance transform results of the binary pore image. Rt was defined as the minimum local radius along each skeletonized connecting element to represent the controlling constriction for capillary entry along that pathway under the quasistatic invasion formulation. To evaluate robustness against an overly constriction-focused definition, an alternative percentile-based radius along the same element was also examined, and the resulting lithology ranking and dominance-type classification are summarized in the manuscript. The centerline of the pore skeleton is extracted, and the shortest distance from each point on the centerline to the pore–matrix interface is taken as the local radius. The minimum of these values is considered the equivalent radius of the throat. The throat’s length is given by the path length between the centers of the two connected pores along the centerline. The above pore and throat geometrical parameters serve as the basic data for subsequent statistical analysis. Pore radius was calculated as an equivalent circle radius from the projected pore area in each SEM section. Throat radius was obtained from the distance transform along the skeletonized pathways, and the throat radius for each connecting element was defined by the narrowest local radius (minimum distance transform value) along that element.
In the pore–throat network topology, the coordination number is introduced to represent the degree of connection between pores and throats. The coordination number of the i-th pore is defined as the number of throats connected to that pore. For the pore–throat network within a certain domain, the mean coordination number (Zmean) is defined as the arithmetic mean of the coordination numbers of all pores. The formula is defined as follows:
Z mean   =   1 N p i = 1 N p z i ,
The total number of pores in the network is denoted by NP. A larger mean coordination number indicates a more developed pore–throat network with more connected seepage channels.
The overall level and dispersion of throat size are described by the mean throat radius and the coefficient of variation in throat radius. The mean throat radius (Rmean) is defined as the arithmetic mean of all throat radii. The formula is defined as follows:
R mean   =   1 N t j = 1 N t R t , j ,
Nt is the total number of throats and Rt,j is the radius of the j-th throat. The coefficient of variation in throat radius (CVR) is defined as the ratio of the standard deviation (σR) of throat radius to its mean. The formula is defined as follows:
C V R   = σ R   R mean   ×   100 % ,
A larger CVR indicates a wider throat-size spectrum and stronger heterogeneity. In this study, CVR was calculated using the throat radii of all throats belonging to the largest connected cluster under a given Rth. This domain was selected because the largest connected cluster represents the flow-relevant backbone of the effective network, whereas disconnected clusters and isolated elements cannot form a continuous seepage pathway and may bias homogeneity statistics [34].
“Effective seepage channels” refers to the subset of accessible and connected pore–throat elements that contribute to connected pathways under a given Rth. To characterize network properties under different effective seepage channels sizes, a throat radius threshold (Rth) is introduced. For a given Rth, only throats with Rt ≥ Rth are retained. This yields an effective pore–throat network at that threshold. Within this network, connected clusters that span the field of view are identified by connected component searching. The total number of throats included in these spanning clusters is defined as the number of effective seepage channels (Nchannel). The number of pores within the largest connected cluster is defined as the maximum connected cluster size (Ncluster).
The homogeneity of the pore–throat network is characterized by the pore–throat radius ratio. For any throat j connecting two pores, let the pore radii be Rp,1 and Rp,2, and the throat radius be Rt,j. Then, the ratio of the two pore–throat radii can be defined as follows:
( R p R t ) j , 1   =   R p , 1 R t , j , ( R p R t ) j , 2   =   R p , 2 R t , j ,
Averaging the pore–throat radius ratios over all pore–throat connections in the network gives the average pore–throat radius ratio (Rp/Rt). A larger Rp/Rt means a more pronounced necking at the pore–throat interface.
Furthermore, the fraction of isolated throats (fisolated) is introduced to characterize the development degree of structurally “ineffective” or “partially closed” throats. Throats not belonging to the largest connected cluster are defined as isolated throats, and their number is denoted as Nt,isolated. The formula for disconnected throats is as follows:
f isolated   =   N t , isolated N t   ×   100 % ,
A larger fisolated indicates that more throats are confined to small local clusters and cannot participate in a continuous seepage backbone across the field of view.
Through pore–throat network modeling, the structure of seepage channels is summarized into two sets of mutually related but distinct characteristics. One set, represented by Rp/Rt and CVR, describes geometric homogeneity. The other set, represented by Zmean, Ncluster, fisolated, and Nchannel, describes network connectivity. These parameters provide the basic inputs for subsequent quantitative analysis of pore–throat structure and fluid flow capacity.
For each lithology, one representative plug was selected for pore–throat network modeling and experimental validation. Within each plug, 8 independent SEM fields of view were acquired for network extraction. The SEM fields of view were selected using a spatially dispersed strategy on the polished surface to reduce sampling bias. Regions affected by macroscopic fractures, mineral-filled veins, polishing artifacts, or contamination were excluded. Each qualified SEM field of view was treated as one independent network realization. The resulting network size statistics, including the number of pores (Np) and throats (Nt) reported as mean ± standard deviation and range (minmax) across the 8 SEM fields of view, are summarized in Table 1.

2.3. Numerical Simulation

To quantify how differences in pore–throat structures among four types of tight reservoirs affect fluid flow capacity, this study applies a simplified network flow simulation based on the pore–throat network model [35,36,37]. The pore–throat network simulation is used as a quantitative tool to directly link pore–throat network characteristics to fluid flow capacity [38].
For the boundary conditions, one side of the field of view is defined as the inlet boundary. Pores and throats on this side serve as entry points for the displacing phase. The opposite side is treated as the outlet boundary, and the other two sides are set as no-flow boundaries. Initially, all pores in the rock are assumed to be filled with the displaced phase (e.g., oil or gas). The displacing phase invades from the inlet along the pore–throat network. When a throat satisfies the prescribed geometric and connectivity criteria, the displacing phase is allowed to pass through this throat and enter the connected pore, which is then considered invaded.
For a given Rth, all pore–throat paths that connect the inlet and outlet and belong to the spanning connected cluster are collectively referred to as effective seepage channels (Figure 3). Gray paths in Figure 3 are shown for the extracted ineffective seepage channels. Throats with radii smaller than Rth are removed from the network. Throats that meet the size criterion but are confined to small local clusters and cannot form a continuous pathway between inlet and outlet are also regarded as ineffective seepage channels. Under the corresponding displacement strength, these ineffective channels make little contribution to fluid flow in the field of view. In this study, five representative thresholds, 0.05, 0.10, 0.20, 0.50, and 1.00 μm, are used to resolve the contributions of different throat-size ranges to the overall flow capacity. Rth was interpreted as an effective capillary entry criterion controlling access to throat constrictions, i.e., a capillary barrier for invasion into narrow pore–throat elements; molecular-scale boundary-layer effects were not explicitly resolved and were implicitly lumped into the effective entry criterion.
For each value of Rth, the invasion process is solved on the corresponding effective network. Starting from the inlet boundary, the displacing phase incrementally fills pore–throat elements that satisfy the connectivity rules. The five Rth values were selected to span the capillary pressure window covered by the CRMI measurements; their physical meaning as an equivalent capillary entry criterion was defined through the pressure–radius conversion described in Section 2.4. It first invades pores and throats directly connected to the inlet and then propagates along all accessible paths until no new pores can be invaded or a continuous pathway has already formed to the outlet. After the simulation, the ratio of the final pore volume occupied by the invaded phase (Vinv) to the total pore volume in the field of view (Vpore) is defined as the fluid flow capacity index (Ff):
F f   =   V inv V pore ,
The value range of Ff is 0 to 1. A higher value indicates that, under the current pore throat structure and Rth constraint, the displacing phase can reach and occupy a larger volume of pore space, reflecting stronger fluid mobility. A lower value indicates that, under these conditions, the volume fraction of pores participating in effective flow is limited, resulting in weaker fluid mobility.
The network simulation is based on the following key assumptions. The displacement process is modeled as a single-phase, incompressible, and constant-viscosity fluid invading the pore–throat network quasistatically. It only considers “connectivity” and throat size screening, without solving for the velocity field or pressure drop distribution. The throat radius threshold Rth corresponds to the minimum throat radius that can be activated under a given displacement pressure and is related to the capillary pressure threshold. Therefore, Ff reflects the fraction of accessible pore volume under different displacement intensities. The network is a two-dimensional model, assumed to statistically represent the three-dimensional pore–throat structure characteristics of the corresponding lithology. The impact of this assumption on the extrapolation of results will be further assessed in the discussion. The simulation does not account for factors such as fluid–rock interface wettability, interphase tension, or gravitational effects. The focus is on the dominant role of pore–throat geometry and connectivity in controlling the fraction of accessible pore volume. Under these assumptions, the pore–throat network flow simulation can be viewed as a structure-controlled invasion percolation process, used to quantify the impact of the pore–throat structure on fluid-accessible space in tight reservoirs of different lithologies, rather than a strict permeability or productivity simulation. The invasion simulation was implemented as a quasistatic, structure-controlled process and did not solve pressure or velocity fields. Gravity was neglected due to the micrometer-scale computational domain. Wettability heterogeneity and dynamic interfacial effects were not explicitly simulated; surface tension and contact angle were used only to relate an Rth access criterion to an equivalent capillary entry pressure. This formulation was expected to be most appropriate when capillary access to constrictions dominated pathway selection, and it could become less accurate when strong wettability contrasts, microfracture-dominated transport, or viscous and rate-dependent effects controlled flow. These assumptions were adopted to enable a consistent comparative assessment across lithologies, and the reliability of the comparative trends was supported by the validation using constant-rate mercury injection (CRMI) and low-field nuclear magnetic resonance (NMR) experiments.
For each lithology, networks extracted from 8 independent SEM fields of view were analyzed under the same set of throat radius thresholds. For a given threshold, an effective network was constructed by retaining only throats with radius ≥ Rth and the pores connected to these throats. The largest connected cluster was identified on the effective network, and the throat radii within this cluster were used to compute the homogeneity descriptor (e.g., CV of throat radius) for that threshold. The connectivity descriptor was obtained from the size of the largest connected cluster and the presence of spanning connectivity between inlet and outlet boundaries. The threshold-dependent descriptors were then aggregated according to the index definitions (Ihoge and Iconn) reported in the manuscript to quantify whether flow capacity was more sensitive to homogeneity or connectivity across thresholds.
The pore–throat networks were extracted from 2D SEM sections; out-of-plane connections were not sampled. This limitation could lead to systematic underestimation of connectivity-related descriptors relative to the true 3D pore system, particularly, coordination number and connected cluster size. In addition, throats intersected obliquely by a 2D section could appear narrower than their 3D counterparts, which may bias absolute throat-size estimates. Therefore, the analysis emphasized cross-lithology ranking and relative trends under consistent imaging and processing settings, while experimental validation was used to constrain the dominant throat-size spectrum. The proposed equations were intended for SEM image-based 2D pore–throat networks and were used for comparative assessment across lithologies under consistent imaging and processing settings. Their validity was primarily within the quasistatic, structure-controlled invasion framework adopted in this study, and the results were interpreted as relative trends rather than direct predictions of field-scale dynamic flow.

2.4. Experimental Validation

To constrain the pore–throat size spectrum and fluid mobility characteristics from an experimental perspective and verify the validity of the pore–throat network simulation results, constant-rate mercury injection (CRMI) and low-field nuclear magnetic resonance (NMR) experiments were conducted on four types of lithologic samples. All experiments were performed on the same rock samples as the SEM observations to ensure the comparability of the pore–throat network parameters and experimental results at the sample scale.
The constant-rate mercury injection experiment was conducted using an AutoPore IV 9520 mercury intrusion porosimeter from Micromeritics Instrument Corporation, Norcross, GA, USA. The specimens were regular rock cylinders with a diameter of approximately 2.5 cm and a height of 2.5 cm. The samples were dried at 60 °C and degassed under vacuum before being placed in the sample chamber. The mercury injection pressure was gradually increased while maintaining a constant mercury injection rate, and the volume of mercury intrusion was recorded as the pressure changed. The experimental pressure range was from 0.01 to 6.2 MPa, covering pore–throat sizes from the micron to nanometer scale.
Using the mercury intrusion volume and capillary pressure data obtained from constant-rate mercury injection (CRMI), the Washburn equation was applied to convert capillary pressure P to an equivalent throat radius Rt [39]:
R t   =   2 γ cos θ P ,
where γ is the mercury–rock interfacial tension and θ is the contact angle. In this study, γ = 480 mN/m and θ = 140°.
In the network simulation, the throat radius threshold Rth was interpreted as an effective capillary entry radius. Therefore, Equation (8) was also used to relate the throat radius threshold Rth to an equivalent capillary entry pressure Pc.
P c ( MPa ) = 2 γ cos θ R t h ( μ m ) ,
where γ = 480 mN/m and θ = 140°, −2γcosθ = 0.735,
P c ( MPa ) = 0.735 R t h ( μ m ) ,
Accordingly, Rth = 0.05, 0.10, 0.20, 0.50, and 1.00 μm corresponded to Pc ≈ 14.71, 7.35, 3.68, 1.47, and 0.74 MPa, respectively.
Based on this, the incremental mercury intrusion volume in each throat radius range was normalized. This resulted in a probability density distribution of the throat radius for the four lithologic samples. This distribution will be directly compared with the throat radius distribution extracted from the pore–throat network model to verify the validity of the network model’s dominant throat-size spectrum.
NMR measurements were performed using a Macro MR 12-150H-I low-field NMR rock analyzer from Shanghai Niumag Corporation, Shanghai, China, with a working frequency of approximately 12 MHz. The experiment was conducted at room temperature, with samples being vacuum-saturated with deionized water before being placed into the sample chamber. The Carr–Purcell–Meiboom–Gill pulse sequence (CPMG) was used to measure the echo decay curve, from which the transverse relaxation time (T2) distribution was obtained. The T2 distribution reflects the constraint strength of different pore/throat sizes on fluid relaxation, indirectly characterizing the pore–throat structure and fluid-binding characteristics.
To quantitatively characterize the fraction of movable fluid volume, the T2 distribution was used to select a T2 cutoff value (T2cut). Fluids corresponding to T2 ≥ T2cut were defined as movable fluids, and fluids with T2 < T2cut were defined as bound fluids. This provided the movable fluid volume fraction (ϕm) for each lithologic sample:
ϕ m   =   V mov V tot ,
Vtot is the total pore fluid volume corresponding to the NMR signal, and Vmov is the movable fluid volume. In subsequent sections, ϕm will be compared with the Ff obtained from the pore–throat network simulation to experimentally validate the physical meaning and applicability of Ff.

3. Results

3.1. Characteristics of Pore–Throat Network

The statistical results of the pore–throat network constructed from SEM images indicate systematic differences in throat size, pore coordination number, and network connectivity among four types of tight reservoirs. This section focuses on comparing the four lithologies in terms of parameters such as throat radius distribution, coordination number, maximum connected-cluster size, pore–throat radius ratio, and the fraction of isolated throats. To evaluate whether pore–throat metrics differed among the analyzed SEM image domains of the four representative plugs, one-way ANOVA was applied using the eight SEM imaging domains per lithology as repeated observations within each plug; the resulting statistics were used to summarize image domain-level differences and within-plug variability under consistent processing settings, rather than to claim lithology population-level inference. Tukey’s HSD post hoc tests were applied for multiple comparisons.
The probability density peaks of throat radius for shale and siltstone are concentrated in the 0.1–0.2 μm range, with a general tendency toward thin throats. The main peak for carbonate rock is in the 0.3–0.5 μm range, with a clear dominance of medium-thick throats. Conglomerate lies between the two, with a main peak around 0.3 μm, containing a certain proportion of thin throats but also a significant number of medium-thick throats (Figure 4). The statistical results of the pore–throat network parameters show that the average throat radius for shale and siltstone are 0.18 μm and 0.22 μm, respectively, which are significantly smaller than the 0.40 μm level for carbonate rock and conglomerate. The CVR values for shale and siltstone are 0.65 and 0.55, respectively, higher than the 0.35 and 0.40 for carbonate rock and conglomerate. The Zmean values for shale samples are mostly around 2.0, with Ncluster in shale being as small as 80. The Zmean for siltstone is about 2.5, with the Ncluster around 125. This suggests that the number of throats connected to individual pores is limited, and the network is relatively sparse. In contrast, carbonate rock and conglomerate generally have Zmean values greater than 3.0, and Ncluster can reach approximately 200, indicating a higher degree of branching in the pore–throat network. The Rp/Rt for shale and siltstone are generally higher, reflecting stronger necking during the pore-to-throat transition. Carbonate rock and conglomerate have relatively lower Rp/Rt values, with more similar pore–throat sizes and smoother geometric transitions. The fisolated quantifies the degree of development of isolated throats that do not participate in the largest connected cluster. The fisolated in shale is 0.35, slightly lower in siltstone, while carbonate rock and conglomerate have smaller fisolated values, generally between 0.15 and 0.2 (Table 2).
Overall, shale is characterized by thin throats, lower coordination numbers, and a higher fraction of isolated throats. The pore–throat network presents a “small scale, locally scattered” structural feature. Siltstone performs slightly better than shale in terms of throat size and connectivity. Carbonate rock and conglomerate exhibit larger average throat radii, higher coordination numbers, and larger maximum connected cluster sizes. Their pore–throat network structure is more favorable for forming continuous seepage channels.

3.2. Homogeneity and Connectivity of Seepage Channels

Based on the statistical analysis of pore–throat geometric parameters, the microscopic seepage channels characteristics of four types of tight reservoirs are compared from two aspects: the homogeneity of seepage channels and the connectivity of pore–throat networks. Under different Rth conditions, the Ncluster and CVR of the largest connected cluster that spans the field of view are statistically analyzed (Figure 5 and Figure 6).
As the Rth increases, the Ncluster decreases for all four lithologies, but the magnitude of this decrease differs significantly (Figure 5). In shale and siltstone, connected clusters of a certain size can still form under small Rth. However, when Rth is raised to 0.2–0.5 μm, Ncluster drops rapidly, and in some fields of view there is no longer any connected cluster that spans the entire field of view. In contrast, carbonate rock and conglomerate show a much slower decline in Ncluster with increasing Rth, and can still maintain a relatively large connected cluster size within the 0.2–0.5 μm range.
The geometric homogeneity within seepage channels is characterized by the CVR inside the maximum connected cluster (Figure 6). Figure 6 shows CVR of throat radii computed within the largest connected cluster at each Rth for the four lithologies. In shale and siltstone, CVR is generally high under low Rth, reaching 0.75–0.85. As Rth increases and thin throats are progressively removed, CVR decreases to about 0.5. For carbonate rock and conglomerate, the initial CVR values are lower, around 0.55–0.62, and they gradually decrease to about 0.35–0.40 as Rth increases. Variations among different fields of view are small, indicating that the seepage backbone dominated by medium-thick throats has a more concentrated internal size distribution.
Based on the combined distribution of Ncluster and CVR, the seepage channels in shale and siltstone are relatively small in scale, highly sensitive to throat thresholds, and exhibit strong heterogeneity in size distribution. In contrast, the seepage channels in carbonate and conglomerate rocks are larger in scale, maintaining strong connectivity within a larger throat threshold range and exhibiting relatively uniform size distribution.

3.3. Characteristics of Fluid Flow Capacity

Based on the comparison of seepage channel homogeneity and connectivity, the differences among four types of tight reservoirs are further quantified. Pore–throat network simulations are performed for each field of view under the conditions of Rth = 0.05, 0.10, 0.20, 0.50, and 1.00 μm. The average value and standard deviation of Ff under each threshold were statistically analyzed to obtain the overall trend of fluid flow capacity of four types of tight reservoirs as a function of Rth (Figure 7, Table 3). The results show that Ff decreases monotonically as Rth increases. As the lower limit of the effective seepage channels increases, some small channels are gradually blocked, and Ff decreases. At the same Rth, carbonate rock and conglomerate generally exhibit the highest Ff, siltstone is intermediate, and shale is the lowest. When Rth increases from 0.05 μm to 0.5 μm, the reduction in Ff for shale and siltstone is significantly greater than that for carbonate rock and conglomerate. In terms of dispersion among fields of view, the standard deviations of Ff for carbonate rock and conglomerate are smaller than those for shale and siltstone at all thresholds, indicating that the seepage channel structures of the former are more uniform at the field-of-view scale, whereas those in shale and siltstone are more sensitive to local structural variations and are more heterogeneous. For each Rth, Ff was calculated for each SEM field of view, and the curve shows the mean value with error bars representing ±1 standard deviation across the eight SEM fields of view.
Overall, they maintain relatively high and stable Ff values across different throat radius thresholds, reflecting stronger and more spatially uniform fluid flow capacity. In contrast, shale and siltstone show a stronger sensitivity of Ff to Rth and larger differences among fields of view, indicating a more pronounced spatial heterogeneity in fluid flow capacity.

3.4. Contribution of Seepage Channels to Fluid Flow Capacity

To further clarify how seepage channel structure contributes to fluid flow capacity, Ff is decomposed into the contribution from the maximum connected cluster (Ff,cluster) and the contribution from all secondary channels (Ff,sed). For each lithology, the results are averaged over all fields of view to obtain the mean contribution ratios of the main seepage backbone and secondary channels to total Ff (Figure 8). The results indicate that in carbonate rock, the maximum connected cluster provides the dominant contribution to flow capacity, with Ff,cluster accounting for approximately 0.8 of total Ff. Conglomerate shows slightly lower values, but its flow capacity is still mainly controlled by the maximum connected cluster. In contrast, Ff,cluster in shale and siltstone typically accounts for only 0.5–0.6 of total Ff, and the remaining flow capacity is provided jointly by multiple medium–small-scale secondary channels. In summary, the fluid flow capacity of shale and siltstone tight reservoirs relies more on the combined contribution of numerous secondary channels. Tight reservoirs of carbonate rocks and conglomerates are mainly controlled by a few large, highly interconnected flow skeletons.

3.5. Comparison of Numerical Simulation with Fluid Injection Experiments

To validate the reliability of the pore–throat network simulation results and to establish a connection between the numerical characterization of pore–throat structure and fluid flow capacity and experimental observations, the network model results are comprehensively compared with CRMI and NMR experiments.
The probability density distributions of throat radii extracted from the pore–throat network models of the four types of lithological tight reservoirs are largely consistent with those obtained from CRMI experiments in terms of the location of the main peaks and their overall morphology (Figure 9). The main peaks of shale and siltstone are concentrated in the fine-throat region (0.1–0.3 μm). The main peaks of carbonate rocks are all shifted to the right to the medium-thick throat region (0.3–0.6 μm), while conglomerate falls in between. In some local details, the CRMI results show slight shifts in the large throat region (possibly related to the effective inlet throat effect). However, the high degree of consistency in the location of the main peaks and the overall morphology indicates that the pore–throat network models are in good agreement with the CRMI experiments in characterizing the dominant throat scale spectrum.
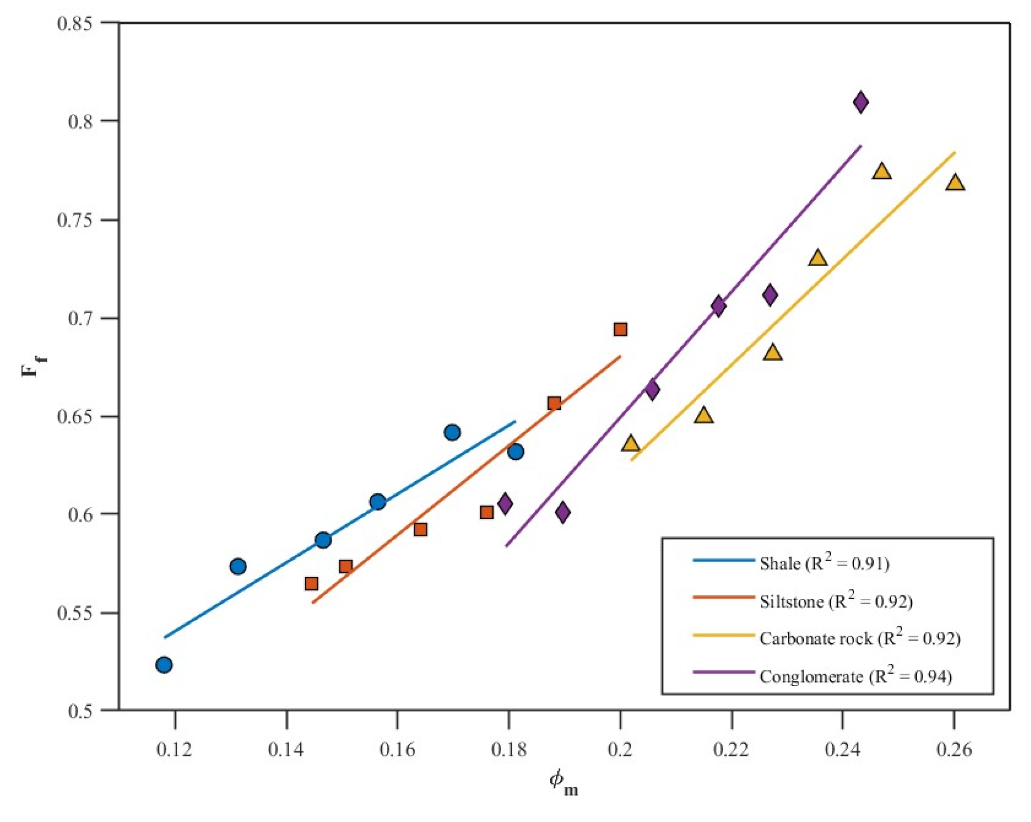
The Ff obtained from the pore–throat network simulation was compared with the movable fluid volume fraction (ϕm) obtained from NMR experiments (Figure 10). The parameter distributions of the four types of lithological tight reservoirs showed a clear positive correlation. Carbonate rocks and conglomerates with higher Ff corresponded to larger ϕm values, while shale and siltstone with lower Ff corresponded to smaller ϕm values. This indicates that the Ff controlled by the pore–throat network structure can effectively reflect the relative differences in movable fluid abundance among tight reservoirs of different lithologies. Overall, the pore–throat network simulation results are consistent with the CRMI and NMR experiments in terms of both the dominant throat scale distribution and the movable fluid volume fraction. This can serve as a reliable basis for discussing the differences in pore–throat structure in four types of tight reservoirs and their control mechanism on fluid flow capacity.
To quantify the similarity between the CRMI-derived and network-derived throat-radius distributions, the Earth Mover’s Distance was calculated on the normalized probability density functions, and the dominant peak position shift was reported as the difference between peak radii. To quantify the relationship between NMR-derived mobility indicators and the network-derived flow-capacity index Ff, Pearson’s correlation coefficient was calculated, and confidence intervals were estimated from repeated SEM fields of view. The Earth Mover’s Distance between the normalized CRMI-derived and network-derived throat radius distributions was 0.035 μm for shale, 0.028 μm for siltstone, 0.045 μm for carbonate rock, and 0.025 μm for conglomerate. The peak position shift was defined as the network-derived dominant peak radius minus the CRMI-derived dominant peak radius. The peak position shift was −0.010 μm for shale, 0.000 μm for siltstone, +0.015 μm for carbonate rock, and −0.005 μm for conglomerate. The relationship between the NMR-derived mobility indicator and the network-derived flow capacity index Ff was quantified using correlation coefficients with confidence intervals estimated from the eight SEM imaging domains. For shale, the correlation coefficient was 0.88 and the 95% confidence interval was 0.46 to 0.98. For siltstone, the correlation coefficient was 0.90 and the 95% confidence interval was 0.53 to 0.98. For carbonate rock, the correlation coefficient was 0.82 and the 95% confidence interval was 0.27 to 0.97. For conglomerate, the correlation coefficient was 0.86 and the 95% confidence interval was 0.39 to 0.97.
To provide a quantitative cross-check of the validation, the mean throat radius derived from the 2D network extraction, Rmean(network), was compared with a CRMI-based mean throat radius, Rmean(CRMI), obtained by converting capillary pressure to equivalent throat radius using the Washburn equation and then averaging over the CRMI-derived distribution. The relative error was calculated as RE = |Rmean(network) − Rmean(CRMI)|/Rmean(CRMI) × 100%. Together with the distribution-level agreement shown in Figure 9, this comparison supported that the 2D network extraction captured the dominant throat-size interval relevant to the CRMI pressure window.

4. Discussion

4.1. Control of Fluid Flow Capacity by Seepage Channel Homogeneity

Although the pore–throat networks were extracted from 2D SEM sections, the objective was a comparative assessment of lithology-dependent throat-size spectra and effective seepage pathway topology rather than an exact reconstruction of the full 3D pore system. It was acknowledged that 2D sections could bias absolute connectivity metrics relative to 3D pore volumes, especially for descriptors that directly depend on 3D coordination and spanning probability. In particular, coordination number (Zmean) and connected cluster size (Ncluster) derived from 2D sections could be systematically lower than their 3D counterparts because out-of-plane connections were not sampled [11]. Therefore, the interpretation emphasized lithology ranking and relative trends, while experimental validation results were used to support the robustness of the observed comparisons [40]. Rp/Rt was selected as a representative parameter of the geometric homogeneity within the seepage channels to analyze its control effect on Ff. A larger Rp/Rt indicates a greater scale difference in the transition from pores to the throat, and more pronounced local necking. To eliminate the influence of randomness under a single Rth condition, linear correlations were established with Rp/Rt at the field-of-view scale as the independent variable and Ff as the dependent variable under different Rth conditions. The coefficient of determination (R2) was calculated to evaluate the explanatory power of seepage channel homogeneity on fluid flow capacity (Figure 11).
The distribution and homogeneity of pore–throat radii in tight sandstone have been shown to control the saturation and permeability of mobile fluids. The more complex the pore–throat structure, the more discrete its radius spectrum, and the more difficult it is to fully utilize the movable fluid [41,42]. In this study, Rp/Rt and Ff showed a significant negative correlation under various Rth conditions in both shale and siltstone. The R2 for linear fitting under most threshold conditions can reach 0.82–0.95 for shale and approximately 0.40–0.95 for siltstone. This indicates that in tight reservoirs dominated by thin throats, the degree of pore–throat scale matching within the permeation channels has a strong controlling effect on the volume fraction of connectable pores. The larger the Rp/Rt, the more prominent the bottleneck. The stronger the geometric constraint on the displacing phase when crossing the throat, the more limited the reachable pore range, and the significantly lower the Ff value. A significant correlation exists between pore–throat homogeneity indices and porosity, permeability, and mobile fluid saturation. The more uniform the throat distribution, the stronger the overall fluid mobility of the system [34,43]. This is highly consistent with the homogeneous master control behavior obtained in this paper through the pore–throat network. Shale reservoir studies also show that the pore–throat size spectrum and connectivity state under different lithofacies jointly determine the occurrence mode of mobile fluid in nano-to-micro-sized pores. The more favorable the pore–throat structure, the more concentrated the distribution of mobile oil and the smoother the seepage channels [44,45], which indirectly proves the tight coupling relationship between the pore–throat structure and fluid mobility in the thin throat-dominated system.
The correlation between Rp/Rt and Ff is significantly weak in carbonate rocks and conglomerates. Under various Rth conditions, R2 in carbonate rocks is mostly only 0.0–0.05. Conglomerate has a slightly higher Rp/Rt, but it is still lower than those in shale and siltstone overall. Additionally, the distribution of the Rp/Rt is relatively scattered. This indicates that in tight carbonate reservoirs characterized by medium-thick throats and high connectivity, the geometric necking of the seepage channels has a relatively limited impact on the volume fraction of connectable pores. The volume distribution of movable fluid pores controlled by the pore–throat structure is highly consistent with the residual fluid space during the displacement process. When the heterogeneity of the pore–throat is enhanced, residual oil tends to accumulate in narrow throats or isolated pore domains [46,47].
Therefore, the homogeneity of seepage channels has a stronger controlling effect on the fluid flow capacity of shale and siltstone. This is because seepage channels in these lithologies are generally composed of thin throats, and local geometric bottlenecks significantly limit the depth of displacement facies advancement and flow rate. In contrast, in carbonate rocks and conglomerates, the throat scale within seepage channels is generally larger and relatively concentrated. The influence of local geometric heterogeneity on Ff is weakened. Additionally, the controlling effect of seepage channel homogeneity on fluid flow capacity is relatively weak.
It was acknowledged that a minimum radius definition for throat size emphasized constrictions and could systematically enhance a “bottleneck” signature, particularly in fine-throat systems. This definition was intentionally used to represent the limiting capillary access condition along a pathway. Alternative summarizations (e.g., median or percentile radius along the same throat element) would be expected to reduce the absolute contrast in Rp/Rt, but the lithology ranking and the relative sensitivity trends with Rth would remain governed by the same underlying throat size spectrum and connectivity.

4.2. Control of Fluid Flow Capacity by Seepage Channel Connectivity

The connectivity of the seepage channels directly determines whether a large-scale seepage channel framework can be established on a visual scale [48]. Studies of tight reservoirs have shown that the better the pore–throat connectivity, the higher the macroscopic fluid flow capacity [49]. To quantitatively assess the impact of pore–throat network connectivity on fluid flow capacity, this paper selects Ncluster as a representative parameter and analyzes its correlation with Ff. The larger the Ncluster, the more interconnected the pores and throats in the network can be through larger-scale interconnected clusters, and the wider the number and spatial range of seepage channels that the fluid can reach.
Tight reservoirs with good connectivity often exhibit higher fluid mobility and lower residual saturation [50,51]. An increased proportion of isolated pores and blind throats significantly reduces the effective pore–throat volume fraction, thereby weakening macroscopic permeability and capillary conductivity [52,53]. Under different Rth conditions, Ncluster and Ff were calculated for multiple perspectives to establish a linear fit between Ncluster and Ff within the lithology, and the coefficient of determination R2 was calculated to assess the explanatory power of pore–throat network connectivity on fluid flow capacity (Figure 12). The correlation between Ncluster and Ff was most significant in carbonate rocks, with R2 reaching above 0.87 under most Rth conditions. While slightly lower in conglomerate, it remained at a relatively high level overall. This indicates that tight carbonate and conglomerate reservoirs are characterized by medium-thick throats and high connectivity. Once spatially continuous large connected clusters are formed, the displacement facies can spread to a wider pore space through multiple seepage channels. Ff is highly sensitive to pore–throat network connectivity. In contrast, the correlation between Ncluster and Ff is significantly weaker in shale and siltstone. The R2 for shale mostly falls in the range of 0.01–0.23, while for siltstone it is approximately 0.07–0.94. Even in some fields of view where Ncluster is relatively large, the increase in Ff is relatively limited. This indicates that in networks dominated by thin throats and with strong internal heterogeneity, simply increasing the size of connected clusters does not significantly improve the overall volume fraction of connectable pores; local pore throat constriction and other geometric factors still effectively constrain fluid propulsion.
Studies of tight reservoirs have shown that connectivity is related to physical properties and oil-bearing capacity [54,55]. Therefore, pore–throat network connectivity has a stronger controlling effect on fluid flow capacity in carbonate and conglomerate rocks. The fluid reachable space mainly depends on the formation of large-scale, pathway-rich, and relatively few isolated throats in the seepage framework. In shale and siltstone, although improved connectivity parameters can increase Ff to some extent, the overall fluid flow capacity is less sensitive to network connectivity. The controlling effect of connectivity on Ff is significantly weaker than in tight carbonate and siltstone reservoirs.

4.3. Control of Fluid Flow Capacity by Seepage Channel Sensitivity

In the study of four types of tight reservoirs, the geometric homogeneity sensitivity index (Ihoge) and the pore–throat network connectivity sensitivity index (Iconn) of seepage channels were constructed. Based on these, a framework for classifying tight reservoirs into two types—homogeneity-dominated and connectivity-dominated—is proposed. The geometric homogeneity sensitivity index Ihoge is defined as the average coefficient of determination of the correlation between the average Rp/Rt and Ff under each throat threshold condition, as shown in the following formula:
I hoge   =   1 n j = 1 n R 2 ( R p R t , F f ( R th , j ) ) ,
Rth,j is the j-th throat radius threshold. Iconn is defined as the average coefficient of determination of the correlation between the size of the largest connected cluster and Ff across all thresholds, as shown in the following formula:
I conn   =   1 n j = 1 n R 2 ( N cluster , F f ( R th , j ) ) ,
These two indices reflect the overall explanatory power of pore–throat geometric shrinkage and seepage network connectivity on Ff under multi-threshold conditions, respectively. The closer their values are to one, the stronger the influence of these structural parameters on Ff.
Sensitivity analysis results (Figure 13a) show that the Ihoge values for shale and siltstone are 0.88 and 0.70, respectively, both significantly greater than the corresponding Iconn values. This indicates that in tight reservoirs of shale and siltstone, changes in the geometric homogeneity of seepage channels contribute more to Ff. It can be considered that the development of thin throats, significant differences in pore–throat scale, and strong heterogeneity of throat scale spectra are key geometric constraints limiting the volume fraction of connectable pores in shale and siltstone. For this type of lithology, even if the overall network connectivity cluster size increases, the increase in Ff remains limited as long as local bottlenecks are not effectively improved. The type of pore–throat is an important geological basis for distinguishing between homogeneity-dominated and connectivity-dominated reservoirs [56,57]. Therefore, shale and siltstone can be classified as tight reservoirs dominated by homogeneity of seepage channels (Figure 13b), where fluid flow capacity is more sensitive to the optimization of pore–throat matching relationships and throat scale distribution. In contrast, the Iconn values for carbonate rocks and conglomerates reach 0.80 and 0.70, respectively, significantly higher than the corresponding Ihoge values. In tight reservoirs of carbonate rocks and conglomerates, as long as the overall scale of the throats within the seepage channels reaches a certain level, further improvements in geometric homogeneity have limited marginal effects on Ff [58,59]. However, changes in connectivity parameters such as the size of the maximum connected cluster can significantly alter the volume fraction of connectable pores [60,61]. Therefore, carbonate rocks and conglomerates can be classified as tight reservoirs dominated by pore–throat network connectivity. Their fluid flow capacity mainly depends on whether a sufficiently large and continuous seepage framework can be constructed [40,62].
To more intuitively identify the dominant structural types of tight reservoirs with different lithologies, the planar structure was divided into a homogeneous-dominant control region and connectivity-dominant control region using empirical thresholds of Ihoge = 0.65 and Iconn = 0.65. Areas below these thresholds were classified as weakly sensitive regions. Shale and siltstone, located in the quadrants of Ihoge > 0.65 and Iconn < 0.65, were classified as homogeneous-dominant control lithologies for seepage channels. Carbonate rocks and mixed sedimentary rocks, falling within the quadrants of Iconn > 0.65 and Ihoge < 0.65, belonged to the pore–throat network connectivity-dominant control lithology. None of the four lithologies studied fell into the weakly sensitive region, indicating that at least one structural feature, whether homogeneous or connectivity-based, significantly controls fluid flow capacity.
This dominant-type classification not only unifies the different ways in which geometric constraints and connectivity frameworks affect fluid flow capacity in four types of tight reservoirs, but also provides a structural and quantitative basis for subsequent differentiated stimulation and mobility enhancement measures for tight reservoirs of different lithologies. It should be noted that the above thresholds are mainly based on empirical statistical results of the sample in this study and are a working classification scheme. In the future, they can be further revised and extended based on more samples.
For shale and siltstone, the strong sensitivity of Ff to Rth indicated that a small fraction of fine-throat bottlenecks controlled the accessibility of a large pore volume fraction. In engineering terms, this implies that the effectiveness of displacement or stimulation would depend on whether the applied driving pressure could overcome the capillary entry constraints associated with these bottlenecks. This geometry-dominant behavior could be verified using routine measurements: a stimulation that effectively enlarges or reconnects bottlenecks would be expected to shift the MICP- and CRMI-derived dominant throat-size spectrum toward larger radii, increase the NMR derived movable fluid fraction, and yield a measurable permeability increase under comparable confining conditions. Therefore, the proposed indices and Ff- Rth curves provided a practical way to diagnose whether a tight reservoir was dominated by bottleneck-controlled access or by connectivity-limited pathways.
The dominance-type classification was formulated as a working and testable criterion for the analyzed representative plugs: homogeneity-dominated behavior was identified when Ihoge exceeded the empirical threshold and was greater than Iconn, whereas connectivity-dominated behavior was identified when Iconn exceeded the empirical threshold and was greater than Ihoge. Uncertainty bounds of Ihoge, Iconn, and the Ff–Rth response were estimated from the repeated SEM imaging domains (mean ± standard deviation). Using the Washburn-based conversion, the threshold response can be expressed in the pressure domain (Ff–Pc) for direct comparison with routine capillary pressure measurements. This criterion can be tested by conventional experiments: a process that primarily reduces constriction effects is expected to shift the dominant throat-size spectrum and increase NMR movable fluid fraction in homogeneity-dominated cases, whereas a process that primarily reconnects pathways is expected to increase connected-pathway accessibility and permeability in connectivity-dominated cases. The criterion was presented as a testable working hypothesis and requires multi-plug replication for lithology-level generalization.
In homogeneity-dominant cases, flow capacity was more sensitive to the distribution and mismatch of pore–throat sizes, suggesting that stimulation effectiveness would rely on enlarging critical constrictions and improving access to small throats. In connectivity-dominant cases, the limiting factor was the presence of spanning pathways, indicating that stimulation would be more effective when it increased connectivity among isolated clusters and promoted the formation of continuous seepage pathways. These implications were stated as qualitative guidance consistent with the microstructural trends observed in this study.

4.4. Limitations and Future Work

The pore and throat radii reported here were equivalent measures derived from 2D projections and distance transforms and did not explicitly resolve shape factors for strongly irregular or crevice-like pores. Consequently, corner-related retention mechanisms and thin-film effects were not represented in the present model. This simplification primarily affected absolute retention estimates, while the comparative lithology trends in dominant throat-size spectra and pathway accessibility remained the main focus. Wettability heterogeneity between organic and inorganic pore domains was not explicitly modeled in the present framework. The access criterion was formulated primarily to reflect geometric constrictions under a throat radius threshold. In systems with strong mixed-wet behavior, preferential occupancy and pathway selection could differ from purely geometry-controlled predictions, potentially shifting the effective seepage channels. This factor was considered a limitation of the current model and will be addressed in future extensions that incorporate wettability distributions. A limitation was that experimental validation was performed using one representative plug per lithology, so inter-plug variability within the same lithology was not fully captured. Future work will include multiple plugs per lithology to further evaluate the generality of inter-lithology trends. In addition, the repeated SEM imaging domains collected within each representative plug characterized within-plug spatial variability under consistent imaging and processing settings, but they did not constitute independent lithology-level replication. Therefore, statistical tests and the dominance-type classification derived from the eight imaging domains were interpreted at the SEM image-domain level for the analyzed representative plugs, rather than as population inference at the lithology level. Extending the present framework to multiple independent plugs per lithology was identified as a necessary step to quantify inter-plug variability, establish uncertainty bounds at the lithology level, and strengthen generalization of the proposed classification scheme. While a minimum radius definition emphasized bottlenecks in absolute terms, the comparative trends were governed by the lithology-dependent throat-size spectrum and connectivity framework and therefore remained consistent under reasonable alternative Rt summaries.
A further limitation was that a systematic segmentation threshold sensitivity analysis, including explicit perturbation magnitude and the resulting changes in key network descriptors with uncertainty bounds, was not fully performed in the present work. Future work will quantify this sensitivity by perturbing the binarization threshold in a controlled manner and reporting the metric-level responses to ensure robust reproducibility.

5. Conclusions

(1)
The differences in pore–throat network structure among four types of tight reservoirs exhibit clear quantitative characteristics. For shale and siltstone, the Rmean is approximately 0.18–0.22 μm, Zmean is approximately 2.0–2.5, and the fisolated value is mostly 0.25–0.35, with Rp/Rt generally between 3.0 and 3.6. For carbonate and conglomerate, the Rmean is approximately 0.35–0.45 μm, Zmean is approximately 3.0–3.3, the fisolated value is mostly less than 20%, and Rp/Rt drops to approximately 2.0–2.4. Tight reservoirs of shale and siltstone are characterized by thin throats, strong necking, and numerous ineffective seepage channels. Tight reservoirs of carbonate and conglomerate are characterized by medium-to-thick throats, higher coordination numbers, and interconnected seepage channels.
(2)
Within the Rth range of 0.05–1.00 μm, the Ff of tight reservoirs of all four lithologies decreases with increasing Rth. However, shale and siltstone showed the largest decreases, and the differences between viewpoints were also more pronounced. Under the same conditions, carbonate rocks and conglomerates maintained Ff in the range of approximately 0.95–0.75, with relatively small fluctuations. Furthermore, Ff was positively correlated with the volume fraction of mobile fluid under NMR, and the distribution of throat radius was basically consistent with the position of the main peak of CRMI, indicating that pore–throat network simulation can reasonably characterize the fluid reachable space in tight reservoirs.
(3)
The pore–throat geometric homogeneity and network connectivity have different controlling mechanisms for fluid flow capacity. Shale and siltstone showed significantly higher Ihoge (0.70–0.88) than Iconn, indicating that fluid flow capacity was more controlled by the matching of thin throats and the pore–throat scale, belonging to the type controlled by homogeneity of seepage channels. Carbonate rocks and conglomerates, on the other hand, showed Iconn (0.70–0.80) significantly higher than the geometric homogeneity sensitivity index. Once a large-scale, highly interconnected maximum connected cluster was formed, Ff significantly increased, belonging to the type controlled by pore–throat network connectivity.
(4)
The lithology-dependent dominance of homogeneity versus connectivity suggested that improving flow capacity could require different strategies in different tight reservoirs. In throat heterogeneity-dominated systems, enhancing the accessibility of narrow bottlenecks could be more critical, whereas in connectivity-dominated systems, increasing connected pathway availability could be more effective. Future work should extend the present 2D workflow to 3D imaging and multi-scale integration, and further test the proposed classification against additional samples and routine measurements (e.g., MICP/NMR/permeability) to strengthen field-scale translation.

Author Contributions

Conceptualization, Z.Y.; methodology, X.T.; software, Z.J.; validation, S.J., Z.L. and S.N.; formal analysis, X.Y.; investigation, S.N.; resources, X.T.; data curation, X.T.; writing—original draft preparation, Z.Y. and X.T.; writing—review and editing, Z.J. and S.N.; visualization, X.Y.; supervision, C.L.; project administration, C.L.; funding acquisition, C.L. All authors have read and agreed to the published version of the manuscript.

Funding

This research was funded by the Natural Science Foundation of Xinjiang Uygur Autonomous Region, grant number 2024D01E09.

Data Availability Statement

Representative processed outputs (binary pore maps and skeleton maps) and the summary statistics of extracted pore–throat networks are included in the main text and tables. Raw SEM images, full node-edge topology files, and implementation scripts are not publicly available at this stage because related intellectual property is under active patent application and institutional confidentiality constraints apply. A stepwise workflow description for key calculations is provided in the Methods section to support reproducibility. Additional derived summaries or anonymized, non-sensitive outputs may be provided by the corresponding author upon reasonable request after publication or subject to IP approval.

Conflicts of Interest

The authors declare no conflicts of interest.

Abbreviations

The following abbreviations are used in this manuscript:
AcronymDescription
ApPore Projection Area
CTX-ray Computed Tomography
CVRCoefficient of Variation in Throat Radius
CRMIConstant-Rate Mercury Injection
CPMGCarr–Purcell–Meiboom–Gill Pulse Sequence
FE-SEMField-Emission Scanning Electron Microscope
FfFluid Flow Capacity Index
Ff,clusterFluid Flow Capacity Contributed from Maximum Connected Cluster
Ff,sedFluid Flow Capacity Contributed from all Secondary Channels
fisolatedFraction of Isolated Throats
IhogeGeometric Homogeneity Sensitivity Index
IconnPore–Throat Network Connectivity Sensitivity Index
NclusterNumber of the Maximum Connected Cluster
NchannelNumber of Effective Seepage Channels
Nt,isolatedNumber of Isolated Throats
NPNumber of Pores
NtNumber of Throats
NMRNuclear Magnetic Resonance
R2Coefficient of Determination
RpPore Radius
RtThroat Radius
RmeanMean Throat Radius
RthThroat Radius Threshold
Rp/RtPore–Throat Radius Ratio
SEMScanning Electron Microscopy
T2Transverse Relaxation Time
T2cutCut off Transverse Relaxation Time
VmovMovable Fluid Volume
VtotTotal Pore Fluid Volume Measured by NMR
VinvPore Volume Occupied by the Invaded Phase
VporeTotal Pore Volume
ZmeanMean Coordination Number
σR The Ratio of Standard Deviation
ϕmMovable Fluid Volume Fraction

References

  1. Davies, R.J.; Almond, S.; Ward, R.S.; Jackson, R.B.; Adams, C.; Worrall, F.; Whitehead, M.A. Oil and gas wells and their integrity: Implications for shale and unconventional resource exploitation. Mar. Pet. Geol. 2014, 56, 239–254. [Google Scholar] [CrossRef]
  2. Xiong, Q.; Baychev, T.G.; Jivkov, A.P. Review of Pore Network Modelling of Porous Media: Experimental Characterisations, Network Constructions and Applications to Reactive Transport. J. Contam. Hydrol. 2016, 192, 101–117. [Google Scholar] [CrossRef]
  3. Dong, J.; Huang, Z.; Chen, J.; Li, T.; Zhao, J.; Pan, Y.; Qu, T. Pore Structure and Fractal Characteristics of Tight Sandstone: A Case Study for Huagang Formation in the Xihu Sag, East China Sea Basin, China. Energies 2023, 16, 2013. [Google Scholar] [CrossRef]
  4. Foroughi, S.; Shojaei, M.J.; Lane, N.; Rashid, B.; Lakshtanov, D.; Ning, Y.; Zapata, Y.; Bijeljic, B.; Blunt, M.J. A Framework for Multiphase Pore-Scale Modeling Based on Micro-CT Imaging. Transp. Porous Media 2025, 152, 18. [Google Scholar] [CrossRef]
  5. Menke, H.P.; Bijeljic, B.; Andrew, M.G.; Blunt, M.J. Dynamic Three-Dimensional Pore-Scale Imaging of Reaction in a Carbonate at Reservoir Conditions. Environ. Sci. Technol. 2015, 49, 4407–4414. [Google Scholar] [CrossRef] [PubMed]
  6. Raeini, A.Q.; Bijeljic, B.; Blunt, M.J. Generalized Network Modeling of Capillary-Dominated Two-Phase Flow. Phys. Rev. E 2018, 97, 023308. [Google Scholar] [CrossRef] [PubMed]
  7. Bijeljic, B.; Raeini, A.; Mostaghimi, P.; Blunt, M.J. Predictions of Non-Fickian Solute Transport in Different Classes of Porous Media Using Direct Simulation on Pore-Scale Images. Phys. Rev. E 2013, 87, 013011. [Google Scholar] [CrossRef]
  8. Qiao, J.; Zeng, J.; Chen, D.; Sen, F. Permeability estimation of tight sandstone from pore structure characterization. Mar. Pet. Geol. 2022, 135, 105382. [Google Scholar] [CrossRef]
  9. Gao, J.; Wei, H.; Zhou, R.; Ren, Q.; Tian, T.; Ning, B.; Ding, X.; Zhang, Z. Study on the Coupling Law between Pore-Scale Fluid Flow Capacity and Pore-Throat Configuration in Tight Sandstone Reservoirs. Geofluids 2023, 2023, 1693773. [Google Scholar] [CrossRef]
  10. Sun, H.; Duan, L.; Liu, L.; Fan, W.; Fan, D.; Yao, J.; Zhang, L.; Yang, Y.; Zhao, J. The Influence of Micro-Fractures on the Flow in Tight Oil Reservoirs Based on Pore-Network Models. Energies 2019, 12, 4104. [Google Scholar] [CrossRef]
  11. Bakke, S.; Øren, P.E. 3-D Pore-Scale Modelling of Sandstones and Flow Simulations in the Pore Networks. SPE J. 1997, 2, 136–149. [Google Scholar] [CrossRef]
  12. Øren, P.E.; Bakke, S. Process Based Reconstruction of Sandstones and Prediction of Transport Properties. Transp. Porous Media 2002, 46, 311–343. [Google Scholar] [CrossRef]
  13. Li, Q.; You, D.; Li, Q.; Wang, F.; Wang, Y.; Yang, Y. Analysis of sedimentation behavior and influencing factors of solid particles in CO2 fracturing fluid. Processes 2025, 13, 4049. [Google Scholar] [CrossRef]
  14. Cao, L.; Lv, M.; Li, C.; Sun, Q.; Wu, M.; Xu, C.; Dou, J. Effects of crosslinking agents and reservoir conditions on the propagation of fractures in coal reservoirs during hydraulic fracturing. Reserv. Sci. 2025, 1, 36–51. [Google Scholar] [CrossRef]
  15. Li, M.; Liu, J.; Xia, Y. Risk prediction of gas hydrate formation in the wellbore and subsea gathering system of deep-water turbidite reservoirs: Case analysis from the South China Sea. Reserv. Sci. 2025, 1, 52–72. [Google Scholar] [CrossRef]
  16. Sadeghnejad, S.; Enzmann, F.; Kersten, M. Digital rock physics, chemistry, and biology: Challenges and prospects of pore-scale modelling approach. Appl. Geochem. 2021, 131, 105028. [Google Scholar] [CrossRef]
  17. Nabipour, I.; Raoof, A.; Cnudde, V.; Aghaei, H.; Qajar, J. A computationally efficient modeling of flow in complex porous media by coupling multiscale digital rock physics and deep learning: Improving the tradeoff between resolution and field-of-view. Adv. Water Resour. 2024, 188, 104695. [Google Scholar] [CrossRef]
  18. Wang, S.; Mascini, A.; Ruspini, L.C.; Øren, P.-E.; Bultreys, T. Imaging and modeling the impact of multi-scale pore connectivity on two-phase flow in mixed-wet rock. Water Resour. Res. 2023, 59, e2022WR034308. [Google Scholar] [CrossRef]
  19. Øren, P.E.; Bakke, S. Reconstruction of Berea Sandstone and Pore-Scale Modelling of Wettability Effects. J. Pet. Sci. Eng. 2003, 39, 177–199. [Google Scholar] [CrossRef]
  20. Valvatne, P.H.; Blunt, M.J. Predictive Pore-Scale Modeling of Two-Phase Flow in Mixed Wet Media. Water Resour. Res. 2004, 40, W07406. [Google Scholar] [CrossRef]
  21. Piri, M.; Blunt, M.J. Three-Dimensional Mixed-Wet Random Pore-Scale Network Modeling of Two- and Three-Phase Flow in Porous Media. I. Model Description. Phys. Rev. E 2005, 71, 026301. [Google Scholar] [CrossRef] [PubMed]
  22. Piri, M.; Blunt, M.J. Three-Dimensional Mixed-Wet Random Pore-Scale Network Modeling of Two- and Three-Phase Flow in Porous Media. II. Results. Phys. Rev. E 2005, 71, 026302. [Google Scholar] [CrossRef]
  23. Ketcham, R.A.; Carlson, W.D. Acquisition, Optimization and Interpretation of X-Ray Computed Tomographic Imagery: Applications to the Geosciences. Comput. Geosci. 2001, 27, 381–400. [Google Scholar] [CrossRef]
  24. Spanne, P.; Thovert, J.F.; Jacquin, C.J.; Lindquist, W.B.; Jones, K.W.; Adler, P.M. Synchrotron Computed Microtomography of Porous Media: Topology and Transports. Phys. Rev. Lett. 1994, 73, 2001–2004. [Google Scholar] [CrossRef]
  25. Hazlett, R.D. Simulation of Capillary-Dominated Displacements in Microtomographic Images of Reservoir Rocks. Transp. Porous Media 1995, 20, 21–35. [Google Scholar] [CrossRef]
  26. Prodanović, M.; Lindquist, W.B.; Seright, R.S. Porous Structure and Fluid Partitioning in Polyethylene Cores from 3D X-Ray Microtomographic Imaging. J. Colloid Interface Sci. 2006, 298, 282–297. [Google Scholar] [CrossRef]
  27. Zhang, Y.; Liu, L.; Luo, L.; Ma, J.; Ji, Y.; Xiao, T.; Wu, N. Permeability Prediction in Hydrate-Bearing Sediments via Pore Network Modeling. Adv. Geo-Energy Res. 2025, 16, 158–170. [Google Scholar] [CrossRef]
  28. Lin, W.; Wu, Z.; Li, X.; Yang, Z.; Hu, M.; Han, D.; Wang, C.; Zhang, J. Digital Characterization and Fractal Quantification of the Pore Structures of Tight Sandstone at Multiple Scales. J. Pet. Explor. Prod. Technol. 2022, 12, 2565–2575. [Google Scholar] [CrossRef]
  29. Baiyegunhi, C.; Liu, K.; Gwavava, O. Diagenesis and Reservoir Properties of the Permian Ecca Group Sandstones and Mudrocks in the Eastern Cape Province, South Africa. Minerals 2017, 7, 88. [Google Scholar] [CrossRef]
  30. Liu, K.; Wang, R.; Shi, W.; Travé, A.; Martín-Martín, J.D.; Baqués, V.; Qi, R.; Lin, J.; Ye, H. Diagenetic Controls on Reservoir Quality and Heterogeneity of the Triassic Chang 8 Tight Sandstones in the Binchang Area (Ordos Basin, China). Mar. Pet. Geol. 2022, 146, 105974. [Google Scholar] [CrossRef]
  31. Jiang, L.; Sun, X.; Chen, D.; Lei, W.; Yang, H.; Deng, Y.; Wang, Z.; Li, C.; Liu, T.; Geng, C. Tight Sandstone Gas Reservoir Types and Formation Mechanisms in the Second Member of the Xujiahe Formation in the Anyue Area, Sichuan Basin. Energies 2025, 18, 3009. [Google Scholar] [CrossRef]
  32. Sakhaee-Pour, A.; Bryant, S.L. Effect of pore structure on the producibility of tight-gas sandstones. AAPG Bull. 2014, 98, 663–694. [Google Scholar] [CrossRef]
  33. Wu, J.; Ansari, U. From CO2 Sequestration to Hydrogen Storage: Further Utilization of Depleted Gas Reservoirs. Reserv. Sci. 2025, 1, 19–35. [Google Scholar] [CrossRef]
  34. Dong, F.; Sun, Z.; Gao, Z.; Lu, X.; Chen, Y.; Huang, H.; Ren, D. Quantitative characterization of micro-scale pore-throat heterogeneity in tight sandstone reservoir. Appl. Sci. 2022, 12, 6758. [Google Scholar] [CrossRef]
  35. Yang, Y.B.; Xiao, W.L.; Zheng, L.L.; Lei, Q.H.; Qin, C.Z.; He, Y.A.; Liu, S.; Li, M.; Li, Y.; Zhao, J.; et al. Pore throat structure heterogeneity and its effect on gas-phase seepage capacity in tight sandstone reservoirs: A case study from the Triassic Yanchang Formation, Ordos Basin. Pet. Sci. 2023, 20, 2892–2907. [Google Scholar] [CrossRef]
  36. Li, C.; Wang, H.; Wang, L.; Kang, Y.; Hu, K.; Zhu, Y. Characteristics of tight oil sandstone reservoirs: A case study from the Upper Triassic Chang 7 Member in Zhenyuan area, Ordos Basin, China. Arab. J. Geosci. 2020, 13, 78. [Google Scholar] [CrossRef]
  37. Zhang, Q.; Li, Y.; Bai, Y.; Liu, J.; Zhao, J.; Ren, J.; Zhang, H. Effects of pore-throat structures on the fluid mobility in Chang 7 tight sandstone reservoirs, Ordos Basin, China. Mar. Pet. Geol. 2022, 135, 105407. [Google Scholar] [CrossRef]
  38. Xu, Y.; Wang, Y.; Yuan, H.; Zhang, D.; Agostini, F.; Skoczylas, F. Pore structure characterization of tight sandstone from Sbaa Basin, Algeria: Investigations using multiple fluid invasion methods. J. Nat. Gas Sci. Eng. 2018, 59, 414–426. [Google Scholar] [CrossRef]
  39. Washburn, E.W. The Dynamics of Capillary Flow. Phys. Rev. 1921, 17, 273–283. [Google Scholar] [CrossRef]
  40. Blunt, M.J.; Bijeljic, B.; Dong, H.; Gharbi, O.; Iglauer, S.; Mostaghimi, P.; Paluszny, A.; Pentland, C. Pore-Scale Imaging and Modelling. Adv. Water Resour. 2013, 51, 197–216. [Google Scholar] [CrossRef]
  41. Wang, W.; Lin, C.; Zhang, X. Fractal dimension analysis of pore throat structure in tight sandstone reservoirs of Huagang formation: Jiaxing area of east China sea basin. Fractal Fract. 2024, 8, 374. [Google Scholar] [CrossRef]
  42. Wu, K.; Chen, D.; Zhang, W.; Yang, H.; Wu, H.; Cheng, X.; Qu, Y.; He, M. Movable Fluid Distribution Characteristics and Microscopic Mechanism of Tight Reservoir in Yanchang Formation, Ordos Basin. Front. Earth Sci. 2022, 10, 840875. [Google Scholar] [CrossRef]
  43. Gao, Y.; Li, T.; Zhang, Z.; Yu, J.; Zhang, Y.; Li, X.; Zhao, H. Research on Fluid Mobility in Tight-Sandstone with a NMR Fractal Theory Pore Classification Method. Front. Earth Sci. 2023, 10, 1035702. [Google Scholar] [CrossRef]
  44. Xiao, Y.; Ye, Z.; Wang, H.; Yang, H.; Mu, N.; Ji, X.; Zhao, H. Pore Structure Characteristics of Shale Oil Reservoirs with Different Lithofacies and Their Effects on Mobility of Movable Fluids: A Case Study of the Chang 7 Member in the Ordos Basin, China. Energies 2024, 17, 862. [Google Scholar] [CrossRef]
  45. Yuan, Y.; Rezaee, R. Comparative Porosity and Pore Structure Assessment in Shales: Measurement Techniques, Influencing Factors and Implications for Reservoir Characterization. Energies 2019, 12, 2094. [Google Scholar] [CrossRef]
  46. Chang, B.; Tong, Q.; Cao, C.; Zhang, Y. Effect of Pore-Throat Structure on Movable Fluid and Gas-Water Seepage in Tight Sandstone from the Southeastern Ordos Basin, China. Sci. Rep. 2025, 15, 7714. [Google Scholar] [CrossRef] [PubMed]
  47. Wang, T.; Zhang, D.; Wang, X.; Wang, Z.; Zhang, W.; Sun, W.; Ma, M. Characterization of Movable Fluid Distribution in Tight Oil Reservoirs by NMR and Centrifugation. Geofluids 2023, 2023, 1668663. [Google Scholar] [CrossRef]
  48. Qin, Y.; Yao, S.; Xiao, H.; Cao, J.; Hu, W.; Sun, L.; Tao, K.; Liu, X. Pore Structure and Connectivity of Tight Sandstone Reservoirs in Petroleum Basins: A Review and Application of New Methodologies to the Late Triassic Ordos Basin, China. Mar. Pet. Geol. 2021, 129, 105084. [Google Scholar] [CrossRef]
  49. Guo, Q.; Dong, M.; Mao, H.; Ju, J. Micro-Scale Pore-Throat Heterogeneity of Tight Oil Sandstone Reservoirs and Its Influence on Fluid Occurrence State. Front. Earth Sci. 2022, 10, 959796. [Google Scholar] [CrossRef]
  50. Chen, X.; Zheng, Y.; Wang, G.; Wang, Y.; Luo, X.; Pan, Q.; Wang, Z.; Ping, W. Pore Structure and Fluid Mobility of Tight Carbonate Reservoirs in the Western Qaidam Basin, China. Energy Sci. Eng. 2023, 11, 3397–3412. [Google Scholar] [CrossRef]
  51. Noiriel, C.; Soulaine, C. Pore-scale imaging and modelling of reactive flow in evolving porous media: Tracking the dynamics of the fluid-rock interface. Transp. Porous Media 2021, 140, 181–213. [Google Scholar] [CrossRef]
  52. Klaver, J.; Hemes, S.; Houben, M.; Desbois, G.; Radi, Z.; Urai, J.L. The Connectivity of Pore Space in Mudstones: Insights from High-Pressure Wood’s Metal Injection, BIB-SEM Imaging, and Mercury Intrusion Porosimetry. Geofluids 2015, 15, 577–591. [Google Scholar] [CrossRef]
  53. Nelson, P.H. Pore-Throat Sizes in Sandstones, Tight Sandstones, and Shales. AAPG Bull. 2009, 93, 329–340. [Google Scholar] [CrossRef]
  54. Xi, K.; Cao, Y.; Haile, B.G.; Zhu, R.; Jahren, J.; Bjørlykke, K.; Zhang, X.; Hellevang, H. How Does the Pore-Throat Size Control the Reservoir Quality and Oiliness of Tight Sandstones? The Case of the Lower Cretaceous Quantou Formation in the Southern Songliao Basin, China. Mar. Pet. Geol. 2016, 76, 1–15. [Google Scholar] [CrossRef]
  55. Hosseinzadeh, S.; Mollajan, A.; Akbarzadeh, S.; Kadkhodaie, A. Rock type based-estimation of pore throat size distribution in carbonate reservoirs using integrated analysis of well logs and seismic attributes. Carbonates Evaporites 2024, 39, 46. [Google Scholar] [CrossRef]
  56. Loucks, R.G.; Reed, R.M.; Ruppel, S.C.; Jarvie, D.M. Morphology, genesis, and distribution of nanometer-scale pores in siliceous mudstones of the Mississippian Barnett Shale. J. Sediment. Res. 2009, 79, 848–861. [Google Scholar] [CrossRef]
  57. Zhang, L.; Liu, X.; Zhao, Y.; Zhou, Y.; Shan, B. Effect of pore throat structure on micro-scale seepage characteristics of tight gas reservoirs. Nat. Gas Ind. B 2020, 7, 160–167. [Google Scholar] [CrossRef]
  58. Dong, F.; Lu, X.; Cao, Y.; Rao, X.; Sun, Z. Microscale Pore Throat Differentiation and Its Influence on the Distribution of Movable Fluid in Tight Sandstone Reservoirs. Geofluids 2021, 1, 6654773. [Google Scholar] [CrossRef]
  59. Zhou, Y.; Han, G.; Liu, Y.; Mou, L.; Wang, K.; Yang, P.; Yan, K. Fractal Characteristics and Controlling Factors of Pore-Throat Structure in Tight Sandstone Reservoirs: A Case Study of the 2nd Member of the Kongdian Formation in the Nanpi Slope, Cangdong Sag, Bohai Bay Basin. Fractal Fract. 2025, 9, 608. [Google Scholar] [CrossRef]
  60. Li, H.; Guo, H.; Yang, Z.; Wang, X.; Sun, Y.; Xu, H.; Zhang, H.; Lu, H.; Meng, H. Boundary Retention Layer Influence on Permeability of Tight Reservoir. J. Pet. Sci. Eng. 2018, 168, 562–568. [Google Scholar] [CrossRef]
  61. Li, P.; Ou, Y.; Chen, H.; Li, Q.; Zhao, L.; Yan, J. Pore Throat Distributions and Movable Fluid Occurrences in Different Diagenetic Facies of Tight Sandstone Reservoirs in the Triassic Chang 6 Reservoirs, Wuqi Area, Ordos Basin, China. J. Pet. Explor. Prod. Technol. 2024, 14, 1783–1797. [Google Scholar] [CrossRef]
  62. Wang, M.; Chen, K.; Geng, B.; Liang, Q. Pore Structure Characterization of Low-Permeability Sandstone by Dual LNMR T2 Cutoff Values: A Case Study of the Fourth Member of Shahejie Formation, Dongying Sag, Jiyang Depression. Front. Earth Sci. 2025, 13, 1610926. [Google Scholar] [CrossRef]
Figure 1. Extraction process of pore–throat network in four types of tight reservoirs. This figure illustrates the extraction process of the pore–throat network, including data acquisition from SEM images, binarization processing, noise reduction, identification of pores and throats, and the final pore–throat network topology diagram.
Figure 1. Extraction process of pore–throat network in four types of tight reservoirs. This figure illustrates the extraction process of the pore–throat network, including data acquisition from SEM images, binarization processing, noise reduction, identification of pores and throats, and the final pore–throat network topology diagram.
Energies 19 00846 g001
Figure 2. Conceptual schematic defining effective seepage channels.
Figure 2. Conceptual schematic defining effective seepage channels.
Energies 19 00846 g002
Figure 3. Results of seepage channel extraction in four types of tight reservoirs. This figure displays the distribution of effective seepage channels and ineffective seepage channels extracted from the throat network.
Figure 3. Results of seepage channel extraction in four types of tight reservoirs. This figure displays the distribution of effective seepage channels and ineffective seepage channels extracted from the throat network.
Energies 19 00846 g003
Figure 4. The probability density distribution of throat radii for tight reservoirs is shown. (a) is shale, (b) is siltstone, (c) is carbonate rock, and (d) is conglomerate. This figure illustrates the probability distribution of throat radii for shale, siltstone, carbonate rock, and conglomerate. The differences in throat scale among these four types of lithological tight reservoirs can be compared through this figure.
Figure 4. The probability density distribution of throat radii for tight reservoirs is shown. (a) is shale, (b) is siltstone, (c) is carbonate rock, and (d) is conglomerate. This figure illustrates the probability distribution of throat radii for shale, siltstone, carbonate rock, and conglomerate. The differences in throat scale among these four types of lithological tight reservoirs can be compared through this figure.
Energies 19 00846 g004
Figure 5. Ncluster distribution characteristics of tight reservoirs under different Rth values. (a) is shale, (b) is siltstone, (c) is carbonate rock, and (d) is conglomerate. The figure shows the Ncluster variation trend of the four types of lithology under different Rth values, which can be used to analyze the connectivity differences in reservoirs of different lithologies.
Figure 5. Ncluster distribution characteristics of tight reservoirs under different Rth values. (a) is shale, (b) is siltstone, (c) is carbonate rock, and (d) is conglomerate. The figure shows the Ncluster variation trend of the four types of lithology under different Rth values, which can be used to analyze the connectivity differences in reservoirs of different lithologies.
Energies 19 00846 g005
Figure 6. The CVR variation characteristics of seepage channels in tight reservoirs under different Rth values are shown. The coefficient of variation in the throat radius inside the seepage channels is presented under different throat radius thresholds for the four lithologies, which can be used to analyze the geometric homogeneity of the seepage channels.
Figure 6. The CVR variation characteristics of seepage channels in tight reservoirs under different Rth values are shown. The coefficient of variation in the throat radius inside the seepage channels is presented under different throat radius thresholds for the four lithologies, which can be used to analyze the geometric homogeneity of the seepage channels.
Energies 19 00846 g006
Figure 7. Fluid flow capacity of tight reservoirs varies with throat radius threshold. The figure shows the variation in fluid flow capacity in reservoirs of different lithologies under different throat radius thresholds, revealing the influence of seepage channels size on flow capacity.
Figure 7. Fluid flow capacity of tight reservoirs varies with throat radius threshold. The figure shows the variation in fluid flow capacity in reservoirs of different lithologies under different throat radius thresholds, revealing the influence of seepage channels size on flow capacity.
Energies 19 00846 g007
Figure 8. The segmented contributions of the largest connected clusters and secondary channels to fluid flow rate in tight reservoirs. The proportions of contributions from the largest connected clusters and secondary channels in tight reservoirs of different lithologies are shown to quantify the impact of seepage channel structure on fluid flow capacity.
Figure 8. The segmented contributions of the largest connected clusters and secondary channels to fluid flow rate in tight reservoirs. The proportions of contributions from the largest connected clusters and secondary channels in tight reservoirs of different lithologies are shown to quantify the impact of seepage channel structure on fluid flow capacity.
Energies 19 00846 g008
Figure 9. A comparison of pore–throat network models of tight reservoirs with CRMI data. (a) is shale, (b) is siltstone, (c) is carbonate rock, and (d) is conglomerate. The throat radius distribution extracted by the pore–throat network model was compared with that obtained from the CRMI experiment, verifying the accuracy of the model.
Figure 9. A comparison of pore–throat network models of tight reservoirs with CRMI data. (a) is shale, (b) is siltstone, (c) is carbonate rock, and (d) is conglomerate. The throat radius distribution extracted by the pore–throat network model was compared with that obtained from the CRMI experiment, verifying the accuracy of the model.
Energies 19 00846 g009
Figure 10. Comparison of pore–throat network simulation and NMR experimental data of tight reservoirs. The fluid flow capacity simulated by the pore–throat network was compared with the movable fluid volume fraction obtained from nuclear magnetic resonance testing, verifying the positive correlation between them.
Figure 10. Comparison of pore–throat network simulation and NMR experimental data of tight reservoirs. The fluid flow capacity simulated by the pore–throat network was compared with the movable fluid volume fraction obtained from nuclear magnetic resonance testing, verifying the positive correlation between them.
Energies 19 00846 g010
Figure 11. The correlation between Rp/Rt and fluid flow capacity Ff in tight reservoirs is shown. (a) is shale, (b) is siltstone, (c) is carbonate, and (d) is conglomerate. The relationship between the average pore–throat ratio and fluid flow capacity is illustrated, and the controlling effect of the geometric homogeneity of the pore-to-throat transition on flow capacity is analyzed.
Figure 11. The correlation between Rp/Rt and fluid flow capacity Ff in tight reservoirs is shown. (a) is shale, (b) is siltstone, (c) is carbonate, and (d) is conglomerate. The relationship between the average pore–throat ratio and fluid flow capacity is illustrated, and the controlling effect of the geometric homogeneity of the pore-to-throat transition on flow capacity is analyzed.
Energies 19 00846 g011
Figure 12. The correlation between pore–throat network parameters and fluid flow capacity in tight reservoirs. (a) is shale, (b) is siltstone, (c) is carbonate rock, and (d) is conglomerate. The correlation between pore–throat network parameters and fluid flow capacity in four types of tight reservoirs is illustrated, and the influence of pore–throat network connectivity on flow capacity is discussed.
Figure 12. The correlation between pore–throat network parameters and fluid flow capacity in tight reservoirs. (a) is shale, (b) is siltstone, (c) is carbonate rock, and (d) is conglomerate. The correlation between pore–throat network parameters and fluid flow capacity in four types of tight reservoirs is illustrated, and the influence of pore–throat network connectivity on flow capacity is discussed.
Energies 19 00846 g012
Figure 13. A comparison of the sensitivity indices of seepage channels structure in tight reservoirs and the classification of the dominant control types. (a) compares the pore–throat ratio with the connectivity sensitivity index, and (b) is a classification diagram of the dominant control types of seepage channels. The comparison of the sensitivity indices of geometric homogeneity of seepage channels and pore–throat network connectivity sensitivity indices is presented, and based on this, the dominant control types of homogeneous-dominant and connectivity-dominant tight reservoirs are classified.
Figure 13. A comparison of the sensitivity indices of seepage channels structure in tight reservoirs and the classification of the dominant control types. (a) compares the pore–throat ratio with the connectivity sensitivity index, and (b) is a classification diagram of the dominant control types of seepage channels. The comparison of the sensitivity indices of geometric homogeneity of seepage channels and pore–throat network connectivity sensitivity indices is presented, and based on this, the dominant control types of homogeneous-dominant and connectivity-dominant tight reservoirs are classified.
Energies 19 00846 g013
Table 1. Summary of SEM imaging settings, SEM field-of-view sampling, and pore–throat network size statistics for four lithologies.
Table 1. Summary of SEM imaging settings, SEM field-of-view sampling, and pore–throat network size statistics for four lithologies.
ParameterShaleSiltstoneCarbonate RockConglomerate
Representative plug1
Number of SEM fields of view used for network extraction8
SEM field-of-view selection ruleSpatially dispersed selection on polished surface
Exclusion ruleMacroscopic fractures, mineral-filled veins,
polishing artifacts, contamination
Np (mean ± SD)1600 ± 3002000 ± 5001850 ± 2602200 ± 270
Np range (min–max)1500–20001800–25001600–22001900–2500
Nt (mean ± SD)3000 ± 5003500 ± 4002900 ± 4803700 ± 350
Nt range (min–max)2500–35003100–39002400–32003500–4000
Table 2. Key statistical parameters of pore–throat network in tight reservoirs.
Table 2. Key statistical parameters of pore–throat network in tight reservoirs.
ParameterShaleSiltstoneCarbonate RockConglomerate
Rmean/μm0.180.220.450.35
CVR0.650.550.350.40
Zmean2.12.63.33
Ncluster80125210190
fisolated0.350.250.180.17
Rp/Rt3.63.02.02.4
Table 3. Fluid flow capacity range of tight reservoirs under different Rth conditions.
Table 3. Fluid flow capacity range of tight reservoirs under different Rth conditions.
ParameterShaleSiltstoneCarbonate Rock Conglomerate
Rth = 0.05 μmFf0.880.900.950.93
σ0.020.020.010.02
Rth = 0.10 μmFf0.840.860.920.89
σ0.020.020.010.02
Rth = 0.20 μmFf0.780.800.880.84
σ0.030.030.020.02
Rth = 0.50 μmFf0.700.740.820.78
σ0.030.030.020.02
Rth = 1.00 μmFf0.620.660.760.70
σ0.030.030.020.02
Disclaimer/Publisher’s Note: The statements, opinions and data contained in all publications are solely those of the individual author(s) and contributor(s) and not of MDPI and/or the editor(s). MDPI and/or the editor(s) disclaim responsibility for any injury to people or property resulting from any ideas, methods, instructions or products referred to in the content.

Share and Cite

MDPI and ACS Style

Yuan, Z.; Tang, X.; Jiang, Z.; Jiang, S.; Li, Z.; Ning, S.; Yan, X.; Lin, C. Controlling Effect of Seepage Channels in Tight Reservoirs on Fluid Flow Capacity Based on Pore–Throat Network Numerical Simulation and Fluid Injection Experiments. Energies 2026, 19, 846. https://doi.org/10.3390/en19030846

AMA Style

Yuan Z, Tang X, Jiang Z, Jiang S, Li Z, Ning S, Yan X, Lin C. Controlling Effect of Seepage Channels in Tight Reservoirs on Fluid Flow Capacity Based on Pore–Throat Network Numerical Simulation and Fluid Injection Experiments. Energies. 2026; 19(3):846. https://doi.org/10.3390/en19030846

Chicago/Turabian Style

Yuan, Zhenglian, Xianglu Tang, Zhenxue Jiang, Shu Jiang, Ze Li, Shitan Ning, Xiaolong Yan, and Caihua Lin. 2026. "Controlling Effect of Seepage Channels in Tight Reservoirs on Fluid Flow Capacity Based on Pore–Throat Network Numerical Simulation and Fluid Injection Experiments" Energies 19, no. 3: 846. https://doi.org/10.3390/en19030846

APA Style

Yuan, Z., Tang, X., Jiang, Z., Jiang, S., Li, Z., Ning, S., Yan, X., & Lin, C. (2026). Controlling Effect of Seepage Channels in Tight Reservoirs on Fluid Flow Capacity Based on Pore–Throat Network Numerical Simulation and Fluid Injection Experiments. Energies, 19(3), 846. https://doi.org/10.3390/en19030846

Note that from the first issue of 2016, this journal uses article numbers instead of page numbers. See further details here.

Article Metrics

Back to TopTop