Development and Evaluation of an Integrated Phase Change Material Oriented Strand Board for Thermal Energy Storage in Building Walls
Abstract
1. Introduction
2. Experimental Methods
2.1. Materials Used in OSB-PCM Panels
2.2. Preparation of Shape-Stabilized Phase Change Material (SSPCM)
- SSPCM mixture materials were weighted according to their percentage in the mixture.
- High-density polyethylene was melted in a pan.
- After all the HDPE melted, wax was added gradually and mixed manually in the melted HDPE using a motorized mixer. Manual mixing was continued until the mixture appeared homogeneous.
- The mixture was cast into a thin sheet using two flat plates lined with parchment paper by pouring the mixture and letting it cool till it solidified. The solidified sheet was crushed into small flakes, which can be seen in Figure 2.
- The addition of Epolene (C-26, or C70) was carried out by melting Epolene with HDPE before the addition of the paraffin. For the SSPCM containing expanded graphite, exfoliated graphite nanoplatelets (xGnP) or nano magnesium hydroxide, the addition of these materials was performed gradually to the molten HDPE after adding about half the amount of wax because the viscosity of the mixture at this stage is not too high and the mixing process is easier. These materials and wax were added alternatively until all the weighted materials had been added.
- First, 6 wt.% phenolic resin was applied on a solid basis compared to dry wood weight. The strands were sprayed with the binder and then mixed in a container by shaking for a few minutes to ensure even distribution of the binder.
- A wooden box-type mold with dimensions of 5 in × 5 in × 4 in was used to form mats. Randomly oriented mats with 80% by weight of wood strands and 20 wt.% SSPCM were laid up as shown in Figure 2.
- The layered mat of about 4-inch height was pressed for 4 min at a temperature of 415 °F and a load of 15,000 pounds using a hydraulic benchtop press, as shown in Figure 2, to produce the final specimen.
2.3. Experimental Testing Methods
3. Results and Discussion
3.1. Differential Scanning Calorimeter Tests
3.2. Heat Flow Properties
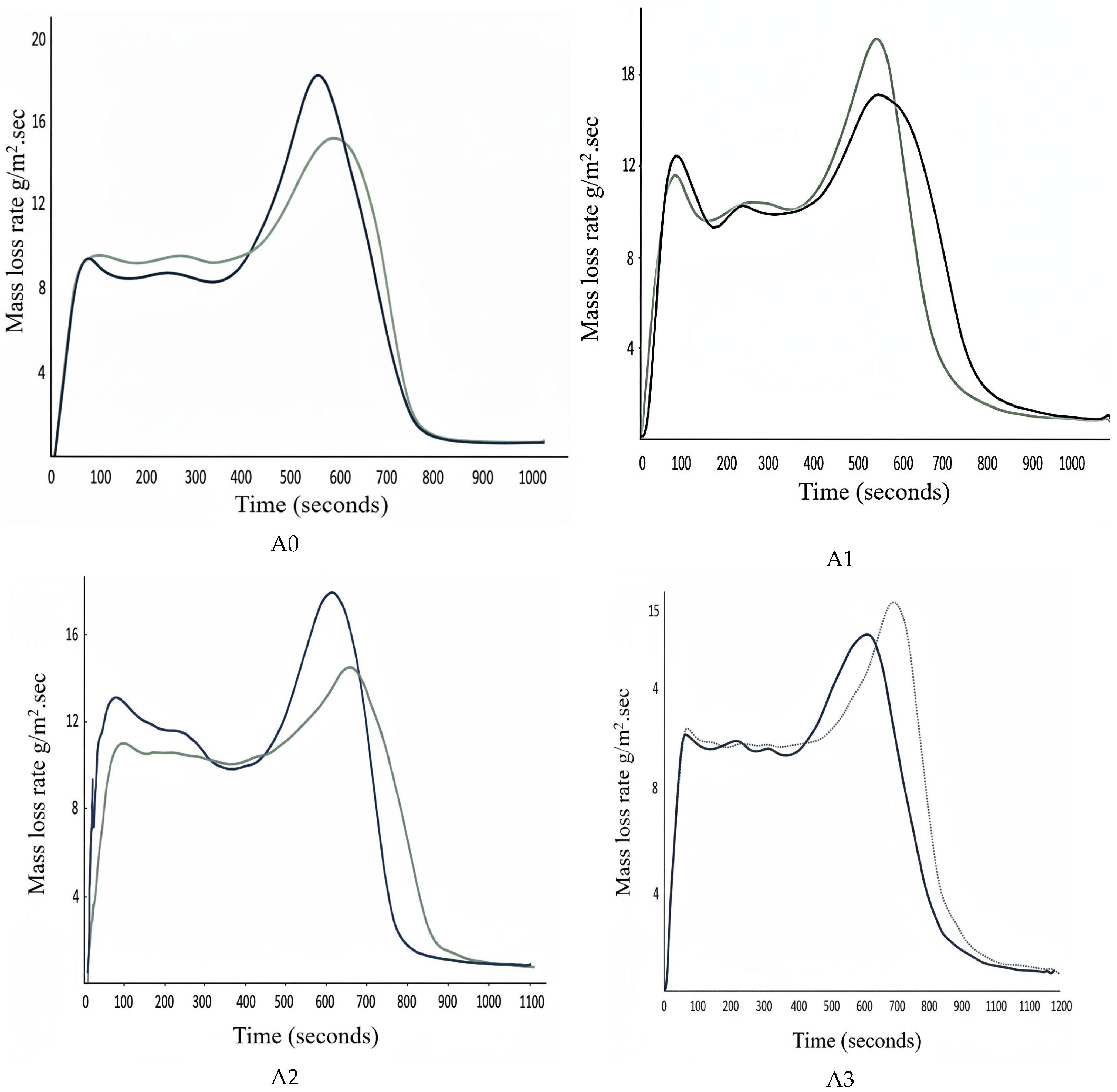
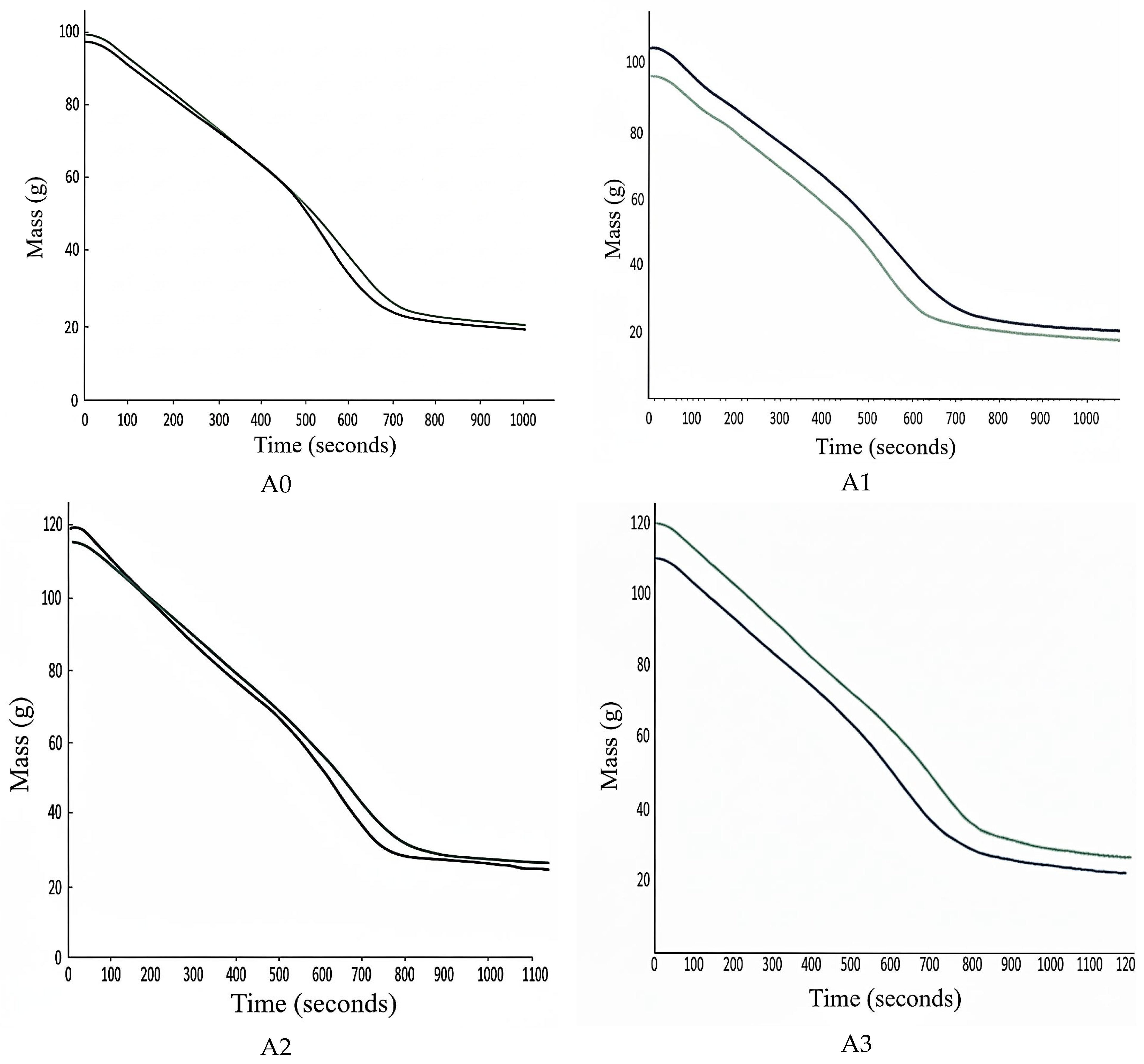
3.3. Flammability Properties
4. Conclusions
5. Future Research Directions
Author Contributions
Funding
Data Availability Statement
Acknowledgments
Conflicts of Interest
References
- Zhou, D.; Zhao, C.Y.; Tian, Y. Review on thermal energy storage with phase change materials (PCMs) in building applications. Appl. Energy 2012, 92, 593–605. [Google Scholar] [CrossRef]
- Davis, L.W.; Gertler, P.J. Contribution of air conditioning adoption to future energy use under global warming. Proc. Natl. Acad. Sci. USA 2015, 112, 5962–5967. [Google Scholar] [CrossRef] [PubMed]
- Halford, C.K.; Boehm, R.F. Modeling of phase change material peak load shifting. Energy Build. 2007, 39, 298–305. [Google Scholar] [CrossRef]
- Farid, M.; Khudhair, A.M.; Razack, S.A.K.; Al-Hallaj, S. A Review on Phase Change Energy Storage: Materials and Applications. In Thermal Energy Storage with Phase Change Materials; CRC Press: Boca Raton, FL, USA, 2024; pp. 4–23. [Google Scholar] [CrossRef]
- Sánchez, L.; Sánchez, P.; de Lucas, A.; Carmona, M.; Rodríguez, J.F. Microencapsulation of PCMs with a polystyrene shell. Colloid Polym. Sci. 2007, 285, 1377–1385. [Google Scholar] [CrossRef]
- Cheng, W.L.; Zhang, R.M.; Xie, K.; Liu, N.; Wang, J. Heat conduction enhanced shape-stabilized paraffin/HDPE composite PCMs by graphite addition: Preparation and thermal properties. Sol. Energy Mater. Sol. Cells 2010, 94, 1636–1642. [Google Scholar] [CrossRef]
- Kuznik, F.; David, D.; Johannes, K.; Roux, J.J. A review on phase change materials integrated in building walls. Renew. Sustain. Energy Rev. 2011, 15, 379–391. [Google Scholar] [CrossRef]
- Krupa, I.; Miková, G.; Luyt, A.S. Polypropylene as a potential matrix for the creation of shape stabilized phase change materials. Eur. Polym. J. 2007, 43, 895–907. [Google Scholar] [CrossRef]
- Xu, X.; Zhang, Y.; Lin, K.; Di, H.; Yang, R. Modeling and simulation on the thermal performance of shape-stabilized phase change material floor used in passive solar buildings. Energy Build. 2005, 37, 1084–1091. [Google Scholar] [CrossRef]
- Morchid, F.E.; Elfarissi, L.; Zamma, A.; Idiri, M.; Jammoukh, M. 6th International conference on energy, materials and environmental science: Enhancing thermal properties of wood–plastic composites through incorporation of phase change materials: A short review. Euro-Mediterr. J. Environ. Integr. 2024, 10, 1555–1562. [Google Scholar] [CrossRef]
- Li, J.; Xue, P.; Ding, W.; Han, J.; Sun, G. Micro-encapsulated paraffin/high-density polyethylene/wood flour composite as form-stable phase change material for thermal energy storage. Sol. Energy Mater. Sol. Cells 2009, 93, 1761–1767. [Google Scholar] [CrossRef]
- Zhang, Y.P.; Lin, K.P.; Yang, R.; Di, H.F.; Jiang, Y. Preparation, thermal performance and application of shape-stabilized PCM in energy efficient buildings. Energy Build. 2006, 38, 1262–1269. [Google Scholar] [CrossRef]
- Lin, K.; Zhang, Y.; Xu, X.; Di, H.; Yang, R.; Qin, P. Experimental study of under-floor electric heating system with shape-stabilized PCM plates. Energy Build. 2005, 37, 215–220. [Google Scholar] [CrossRef]
- Barreneche, C.; Vecstaudza, J.; Bajare, D.; Fernandez, A.I. PCM/wood composite to store thermal energy in passive building envelopes. IOP Conf. Ser. Mater. Sci. Eng. 2017, 251, 012111. [Google Scholar] [CrossRef]
- Guo, X.; Zhang, L.; Cao, J.; Peng, Y. Paraffin/wood flour/high-density polyethylene composites for thermal energy storage material in buildings: A morphology, thermal performance, and mechanical property study. Polym. Compos. 2018, 39, E1643–E1652. [Google Scholar] [CrossRef]
- Can, A.; Lee, S.H.; Antov, P.; Ghani, M.A.A. Phase-Change-Material-Impregnated Wood for Potential Energy-Saving Building Materials. Forests 2023, 14, 514. [Google Scholar] [CrossRef]
- Liu, Y.; Lv, Z.; Zhou, J.; Cui, Z.; Li, W.; Yu, J.; Chen, L.; Wang, X.; Wang, M.; Liu, K.; et al. Muscle-Inspired Formable Wood-Based Phase Change Materials. Adv. Mater. 2024, 36, 2406915. [Google Scholar] [CrossRef]
- Can, A.; Özlüsoylu, İ.; Sözen, E.; Ergün, M.E. Properties of Pinus nigra Arn. wood impregnated with phase change materials for potential energy-saving building material. J. Energy Storage 2024, 83, 110687. [Google Scholar] [CrossRef]
- Zhang, Z.; Zhao, X.; Zhang, R.; Cao, J. Novel phase change materials with superior thermal conductivity and photothermal efficiency derived from preservative-treated wood biochar. Renew. Energy 2024, 237, 121724. [Google Scholar] [CrossRef]
- Deng, X.; Li, C.; Sun, X.; Wang, C.; Liu, B.; Li, Y.; Yang, H. Flame-retardant wood-based composite phase change materials based on PDMS/expanded graphite coating for efficient solar-to-thermal energy storage. Appl. Energy 2024, 368, 123454. [Google Scholar] [CrossRef]
- Lopes, L.; Dauari, H.; Mendonça, P.; Almeida, M. Marine Plastic Waste in Construction: A Systematic Review of Applications in the Built Environment. Polymers 2025, 17, 1729. [Google Scholar] [CrossRef] [PubMed]
- Liu, S.; Li, Y.; Zhang, Y. Mathematical solutions and numerical models employed for the investigations of PCMs׳ phase transformations. Renew. Sustain. Energy Rev. 2014, 33, 659–674. [Google Scholar] [CrossRef]
- Song, G.; Ma, S.; Tang, G.; Yin, Z.; Wang, X. Preparation and characterization of flame retardant form-stable phase change materials composed by EPDM, paraffin and nano magnesium hydroxide. Energy 2010, 35, 2179–2183. [Google Scholar] [CrossRef]
- Mirski, R.; Dziurka, D. The Utilization of Chips from Comminuted Wood Waste as a Substitute for Flakes in the Oriented Strand Board Core. For. Prod. J. 2011, 61, 473–477. [Google Scholar] [CrossRef]
- Hasan, L.M. Development of Phase Change Material Integrated Oriented Strand Board for Thermal Energy Storage. Ph.D. Thesis, University of Missouri, Columbia, MO, USA, 2017. [Google Scholar] [CrossRef]
- Lai, S.M.; Yeh, F.C.; Wang, Y.; Chan, H.C.; Shen, H.F. Comparative study of maleated polyolefins as compatibilizers for polyethylene/wood flour composites. J. Appl. Polym. Sci. 2003, 87, 487–496. [Google Scholar] [CrossRef]
- Cai, Y.; Wei, Q.; Huang, F.; Lin, S.; Chen, F.; Gao, W. Thermal stability, latent heat and flame retardant properties of the thermal energy storage phase change materials based on paraffin/high density polyethylene composites. Renew. Energy 2009, 34, 2117–2123. [Google Scholar] [CrossRef]
- Wu, Z.; Hu, N.; Wu, Y.; Wu, S.; Qin, Z. The effect of ultrafine magnesium hydroxide on the tensile properties and flame retardancy of wood plastic composites. J. Nanomater. 2014, 2014, 945308. [Google Scholar] [CrossRef]
- ASTM E793-06; Standard Test Method for Enthalpies of Fusion and Crystallization by Differential Scanning Calorimetry. ASTM: West Conshohocken, PA, USA, 2018. Available online: https://store.astm.org/e0793-06r18.html (accessed on 15 January 2026).
- ASTM E1354-99; Standard Test Method for Heat and Visible Smoke Release Rates for Materials and Products Using an Oxygen Consumption Calorimeter. ASTM: West Conshohocken, PA, USA, 1999.
- Zhang, P.; Song, L.; Lu, H.; Wang, J.; Hu, Y. The influence of expanded graphite on thermal properties for paraffin/high density polyethylene/chlorinated paraffin/antimony trioxide as a flame retardant phase change material. Energy Convers. Manag. 2010, 51, 2733–2737. [Google Scholar] [CrossRef]
- Chen, M.; Zheng, S.; Wu, S.; Xu, G. Melting intercalation method to prepare lauric acid/organophilic montmorillonite shape-stabilized phase change material. J. Wuhan Univ. Technol.-Mater. Sci. Ed. 2010, 25, 674–677. [Google Scholar] [CrossRef]
- Biswas, K.; Abhari, R. Low-cost phase change material as an energy storage medium in building envelopes: Experimental and numerical analyses. Energy Convers. Manag. 2014, 88, 1020–1031. [Google Scholar] [CrossRef]
- Mollah, M.T.I. Experimental Study on Temperature Regulating Bi-Component Fibres Containing paraffin Wax in the Core. Master’s Thesis, The Swedish School of Textile, Borås, Sweden, 2010. [Google Scholar]
- Estep, G.D. The Influence of Extrusion Processing and Formulation on Form-Stable Phase Change Material. Master’s Thesis, Washington State University, Pullman, WA, USA, 2010. [Google Scholar]
- Jeon, J.; Jeong, S.G.; Lee, J.H.; Seo, J.; Kim, S. High thermal performance composite PCMs loading xGnP for application to building using radiant floor heating system. Sol. Energy Mater. Sol. Cells 2012, 101, 51–56. [Google Scholar] [CrossRef]
- Karaipekli, A.; Sari, A.; Kaygusuz, K. Thermal conductivity improvement of stearic acid using expanded graphite and carbon fiber for energy storage applications. Renew. Energy 2007, 32, 2201–2210. [Google Scholar] [CrossRef]
- Sari, A. Form-stable paraffin/high density polyethylene composites as solid–liquid phase change material for thermal energy storage: Preparation and thermal properties. Energy Convers. Manag. 2004, 45, 2033–2042. [Google Scholar] [CrossRef]
- Lee, K.O.; Medina, M.A.; Raith, E.; Sun, X. Assessing the integration of a thin phase change material (PCM) layer in a residential building wall for heat transfer reduction and management. Appl. Energy 2015, 137, 699–706. [Google Scholar] [CrossRef]
- Li, Z.X.; Al-Rashed, A.A.A.A.; Rostamzadeh, M.; Kalbasi, R.; Shahsavar, A.; Afrand, M. Heat transfer reduction in buildings by embedding phase change material in multi-layer walls: Effects of repositioning, thermophysical properties and thickness of PCM. Energy Convers. Manag. 2019, 195, 43–56. [Google Scholar] [CrossRef]
- Jin, X.; Medina, M.A.; Zhang, X. On the placement of a phase change material thermal shield within the cavity of buildings walls for heat transfer rate reduction. Energy 2014, 73, 780–786. [Google Scholar] [CrossRef]
- Jin, J.; Dong, Q.X.; Shu, Z.J.; Wang, W.J.; He, K. Flame retardant Properties of Polyurethane/expandable Praphite Composites. Procedia Eng. 2014, 71, 304–309. [Google Scholar] [CrossRef]
- Wang, J.; Wang, Y.; Yang, R. Flame retardance property of shape-stabilized phase change materials. Sol. Energy Mater. Sol. Cells 2015, 140, 439–445. [Google Scholar] [CrossRef]
- Wang, Z.; Huang, P.; Fan, W.; Wang, Q. Measurements on the Fire Behaviour of PVC Sheets Using the Cone Calorimeter. Fire Saf. Sci. 1988, 3, 221–227. [Google Scholar]
- Sittisart, P.; Farid, M.M. Fire retardants for phase change materials. Appl. Energy 2011, 88, 3140–3145. [Google Scholar] [CrossRef]
- Gui, H.; Zhang, X.; Liu, Y.; Dong, W.; Wang, Q.; Gao, J.; Song, Z.; Lai, J.; Qiao, J. Effect of dispersion of nano-magnesium hydroxide on the flammability of flame retardant ternary composites. Compos. Sci. Technol. 2007, 67, 974–980. [Google Scholar] [CrossRef]
- Mouritz, A.P.; Mathys, Z. Heat release of polymer composites in fire. In Proceedings of the International SAMPE Technical Conference, Long Beach, CA, USA, 16–20 May 2004; pp. 1557–1568. [Google Scholar]
- Zhou, R.; Ming, Z.; He, J.; Ding, Y.; Jiang, J. Effect of magnesium hydroxide and aluminum hydroxide on the thermal stability, latent heat and flammability properties of paran/HDPE phase change blends. Polymers 2020, 12, 180. [Google Scholar] [CrossRef] [PubMed]
- Grexa, O.; Lübke, H. Flammability parameters of wood tested on a cone calorimeter. Polym. Degrad. Stab. 2001, 74, 427–432. [Google Scholar] [CrossRef]
- Genovese, A.; Shanks, R.A. Structural and thermal interpretation of the synergy and interactions between the fire retardants magnesium hydroxide and zinc borate. Polym. Degrad. Stab. 2007, 92, 2–13. [Google Scholar] [CrossRef]
























| Sample Designation | Wood % | SSPCM % | SSPCM Composition | % Composition of SSPCM |
|---|---|---|---|---|
| Group C (control) | 100 | 0 | - | - |
| Group 1 | 80 | 20 | PCM-HPDE | 80-20 75-25 70-30 |
| Group 2 | 80 | 20 | PCM-HPDE-Epolene C70 | 72-24-4 73.5-24.5-2 |
| PCM-HPDE-Epolene C26 | 72-24-4 73.5-24.5-2 | |||
| Group 3 | 80 | 20 | PCM-HPDE-xGnP | 74-25-1 74.5-25-0.5 80-19.5-0.5 |
| Group 4 | 80 | 20 | PCM-HDPE-EG | 74.75-25-0.25 74.5-25-0.5 |
| Group 5 | 80 | 20 | PCM-HDPE-Epolene C70-EG | 74-21-4-1 74-20-4-2 74-19.5-4-2.5 80-15-4-1 80-18-1-1 |
| Group 6 | 80 | 20 | PCM-HDPE-nano magnesium hydroxide | 60-20-20 |
| Sample Designation | SSPCM Composition | % Composition of SSPCM |
|---|---|---|
| A0 | None (commercial OSB) | None |
| A1 | PCM-HPDE-Epolene C26 | 72-24-4 |
| A2 | PCM-HDPE-Nano magnesium hydroxide-Epolene C26 | 60-24-10-6 |
| A3 | PCM-HDPE-nano magnesium Hydroxide | 60-20-20 |
| Sample Composition | Tm* (°F) | ΔHm* (BTU/lb) | Ts* (°F) | ΔHs* (BTU/lb) |
|---|---|---|---|---|
| Octadecane (PCM) | 80.1 | 89.6 | 74.1 | 90.4 |
| 75%PCM-25% HDPE | 79.6 | 67.5 | 73.4 | 66.6 |
| 74.75 PCM-25%HDPE-0.25% expanded graphite | 83.1 | 54.9 | 72.8 | 56.7 |
| 80% PCM-15% HDPE-1% expanded graphite-4% Epolene C70 | 81.32 | 66.9 | 69.8 | 66.7 |
| 60% PCM-20% HDPE-20% nano magnesium hydroxide | 81.32 | 53.3 | 73.4 | 51.3 |
| Property | SSPCM Composition | |||
|---|---|---|---|---|
| Sample A0 | Sample A1 | Sample A2 | Sample A3 | |
| OSB with no SSPCM | 72% PCM-24% HPDE-4% Epolene C26 | 60% PCM-24% HDPE-10% Nano Magnesium Hydroxide-6% Epolene C26 | 60% PCM-20% HDPE-20% Nano Magnesium Hydroxide | |
| Time to ignition (s) | 35 | 23 | 23 | 24 |
| Test end (s) | 1055 | 1088 | 1132 | 1196 |
| Peak heat release rate (KW/m2) | 220 | 251 | 231.7 | 223.4 |
| Average heat release rate at KW/m2 | ||||
| Sec 60 | 85.9 | 117.8 | 106.4 | 103.8 |
| Sec 180 | 96.2 | 149 | 158.7 | 137.9 |
| Sec 300 | 97.4 | 150 | 169.8 | 147.1 |
| Average mass loss Rate (g/m2 s) | 11.4 | 11.8 | 12 | 10.8 |
| Total heat release (KW/m2) | 100.3 | 134.2 | 158 | 162.7 |
| Visible smoke development of material (SEA) at m2/kg | ||||
| Sec 180 | 40 | 90 | 124 | 98 |
| Test end | 78 | 114 | 150 | 149 |
| Effective heat of combustion (MJ/kg) | 12.8 | 16.4 | 17 | 18.1 |
Disclaimer/Publisher’s Note: The statements, opinions and data contained in all publications are solely those of the individual author(s) and contributor(s) and not of MDPI and/or the editor(s). MDPI and/or the editor(s) disclaim responsibility for any injury to people or property resulting from any ideas, methods, instructions or products referred to in the content. |
© 2026 by the authors. Licensee MDPI, Basel, Switzerland. This article is an open access article distributed under the terms and conditions of the Creative Commons Attribution (CC BY) license.
Share and Cite
Hasan, L.M.; Khanna, S. Development and Evaluation of an Integrated Phase Change Material Oriented Strand Board for Thermal Energy Storage in Building Walls. Energies 2026, 19, 773. https://doi.org/10.3390/en19030773
Hasan LM, Khanna S. Development and Evaluation of an Integrated Phase Change Material Oriented Strand Board for Thermal Energy Storage in Building Walls. Energies. 2026; 19(3):773. https://doi.org/10.3390/en19030773
Chicago/Turabian StyleHasan, Layla Muhsan, and Sanjeev Khanna. 2026. "Development and Evaluation of an Integrated Phase Change Material Oriented Strand Board for Thermal Energy Storage in Building Walls" Energies 19, no. 3: 773. https://doi.org/10.3390/en19030773
APA StyleHasan, L. M., & Khanna, S. (2026). Development and Evaluation of an Integrated Phase Change Material Oriented Strand Board for Thermal Energy Storage in Building Walls. Energies, 19(3), 773. https://doi.org/10.3390/en19030773
