Cooling Strategies to Improve the Built Environment: Experimental Characterization, Model Calibration, and Multi-Climate Analysis of Innovative Ventilated and Air Permeable Roofs
Abstract
1. Introduction
- The translation of laboratory-measured tile air permeability into physical parameters required for building energy simulation tools, such as discharge coefficient and effective opening area;
- The limited availability of calibrated models describing the thermal and airflow behaviour of VPR systems;
- The lack of cross-climate comparative analyses assessing VPR effectiveness in present and future Mediterranean climate scenarios.
- Firstly, developing a machine-learning-based procedure for estimating discharge coefficients and effective opening areas from laboratory permeability tests and calibrating an ENVC-based VPR model using monitored data from a real demonstrator (see methodology in Section 2.1 and the related results in Section 3.1);
- Secondly, performing extensive iterative simulations across the Mediterranean urban context, future climate scenarios, and Representative Concentration Pathways, that describe possible future climate conditions arising from different levels of global greenhouse gas concentrations in order to quantify energy savings and climate-adaptation benefits (see Section 2.2 and the results in Section 3.2).
2. Methods
- Phase 1 focuses on the Building Energy Model (BEM) development and calibration, including the following: the definition of a representative residential building archetype for Mediterranean countries; the creation of a dynamic BEM in EnergyPlus based on a real case-study building corresponding to the identified archetype, where the roof is represented through the Exterior Naturally Vented Cavity (ENVC) model; the calibration of the BEM using real-time data from on-site measurements and laboratory experiments carried out within the European-funded LIFE SUPERHERO project [32,33].
- Phase 2 extends the analysis to multiple contexts and climate change scenarios: the definition of additional urban locations under Mediterranean climates; the selection of future climate change scenarios based on Representative Concentration Pathways to project future greenhouse gas concentrations; an iterative set of simulations to assess the energy benefits of the Ventilated and Permeable Roof (VPR) solution.
2.1. Development and Calibration of a Reference Building Energy Model
- The roof tile outdoor surface temperature (PT100 sensors, measurement range of −50–70 °C, accuracy of ±0.15 °C) to be compared with the Surface Exterior Cavity Baffle Surface Temperature EnergyPlus output;
- The heat flux across the roof (measurement range: −2000–20,000 W/m2; accuracy: ±3% of reading) to be compared with Surface Inside Face Conduction Heat Transfer Rate Per Area EnergyPlus output.
2.2. VPR Benefit Assessment Across Future Climate Scenarios
- BWh (hot desert-arid climate): Alicante.
- BSk (cold semi-arid climate): Madrid, Zaragoza.
- BSh (hot semi-arid climate): Valencia; Lefkosa.
- Cfa (temperate climate with hot summer and without dry season): Bologna and Ljubljana.
- Csa (temperate climate with dry and hot summer): Palermo, Rome, Sevilla, Athens, Nice, and Zadar.
- Csb (temperate climate with dry and warm summer): Santiago de Compostela.
3. Results
- Section 3.1 reports the outcomes of the BEM calibration, including the estimation of the HEROTILE parameters obtained by the Gradient Boosting Machine model for their implementation in the Exterior Natural Vented Cavity Energy Plus module. Then, the results of the iterative calibration of the dynamic Building Energy Model (BEM) are reported, demonstrating the ensuring consistency between simulated and measured heat fluxes and external roof surface temperature.
- Section 3.2 presents the benefit assessment of the VPR-HBR under current and future climatic conditions, depending on the building variants investigated. First, the results under the TMY dataset are discussed, highlighting the thermal and energy benefits of the VPR-HBR compared to a conventional non-ventilated roof. Subsequently, the benefits during future climate scenarios are analysed to evaluate how the magnitude of the HBR benefits evolves across different Representative Concentration Pathways and time horizons. While the Climate-Adaptive Energy Index is used in this study as a normalized indicator to enable consistent comparisons across roof classes, climates, and scenarios, the corresponding heat gain values for both ventilated and non-ventilated configurations are also provided in the Supplementary Materials.
3.1. Reference Building Energy Model Calibration
3.2. VPR Benefits Assessment Across Future Climate Scenarios
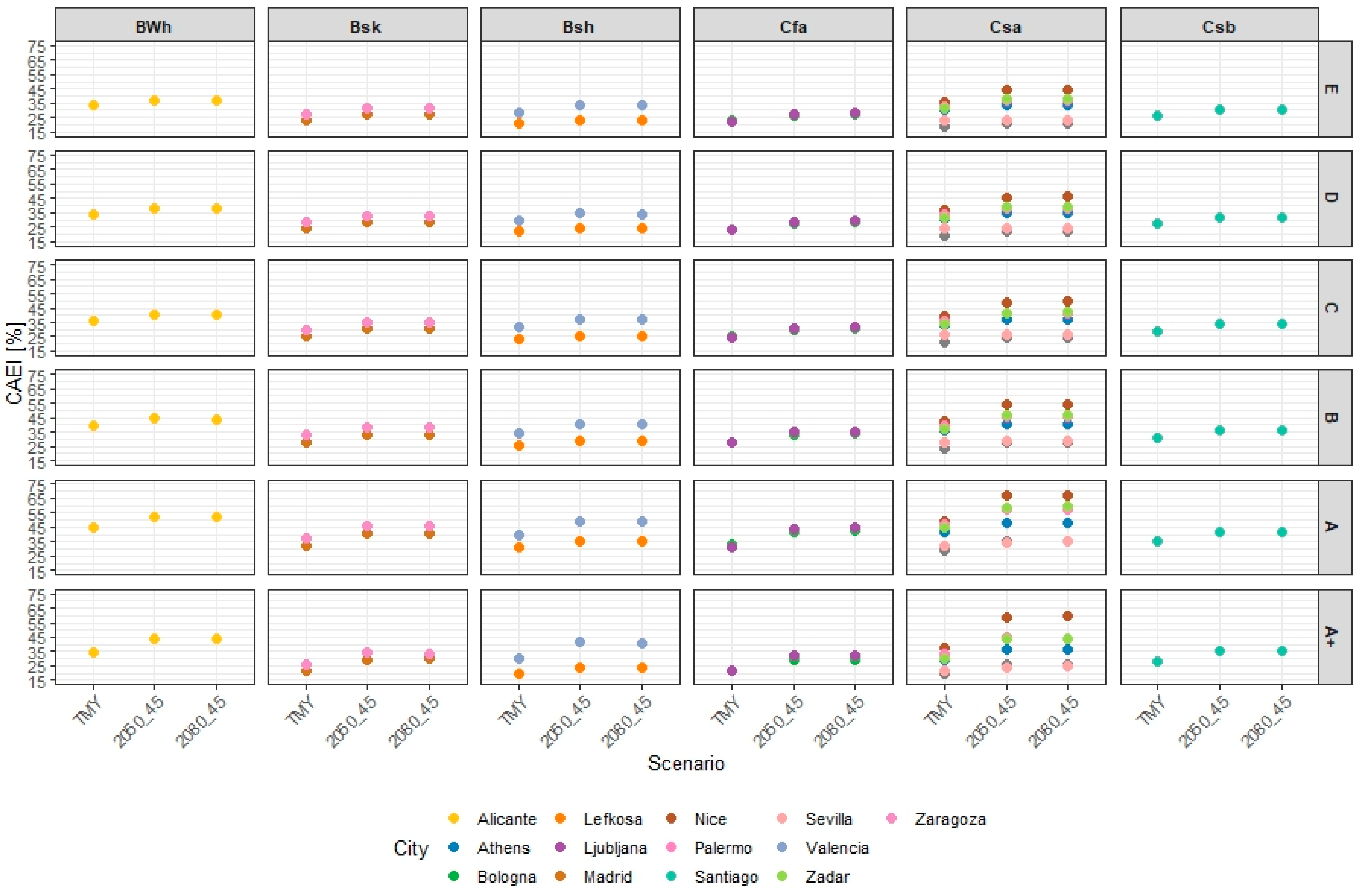
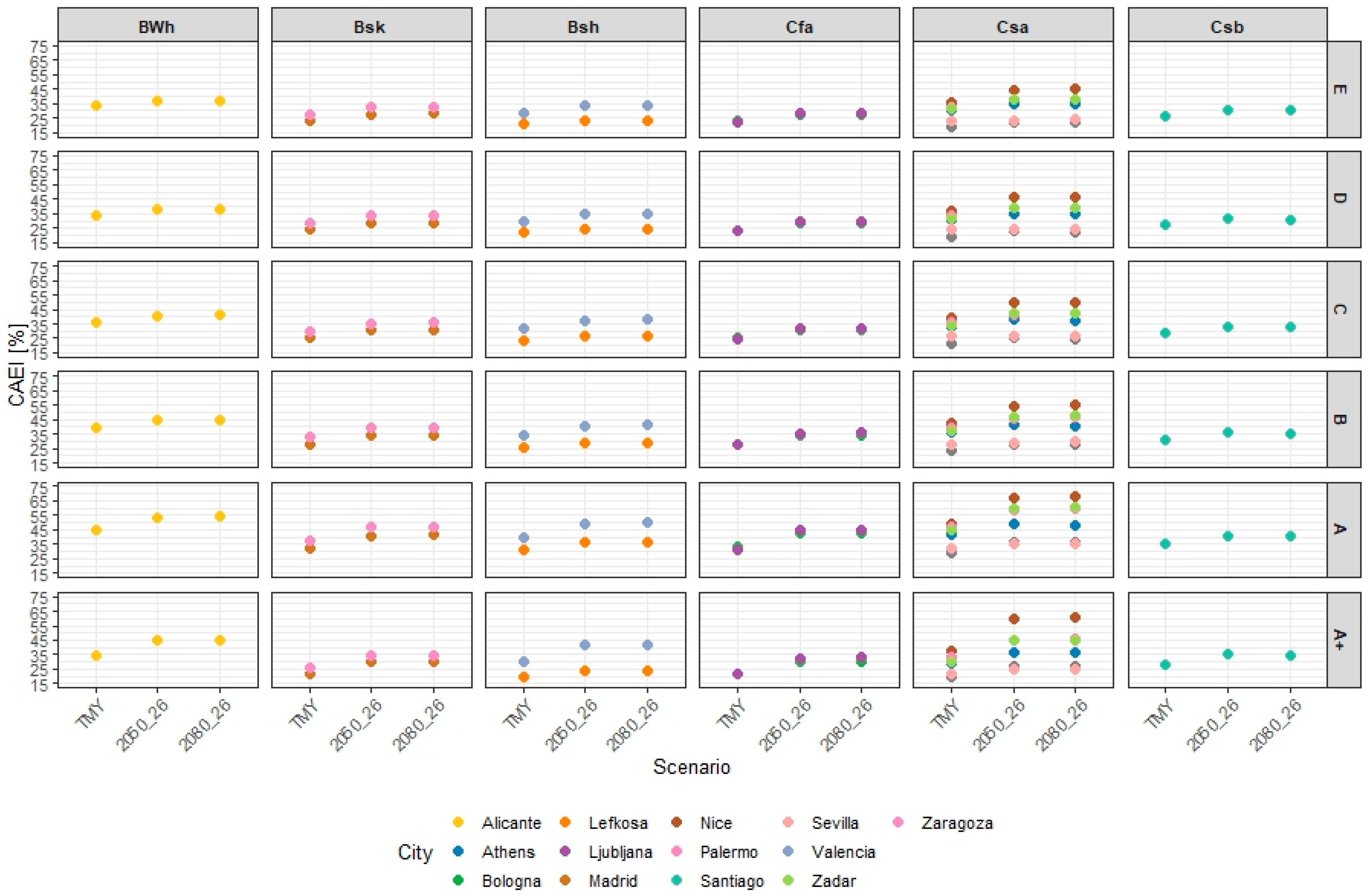
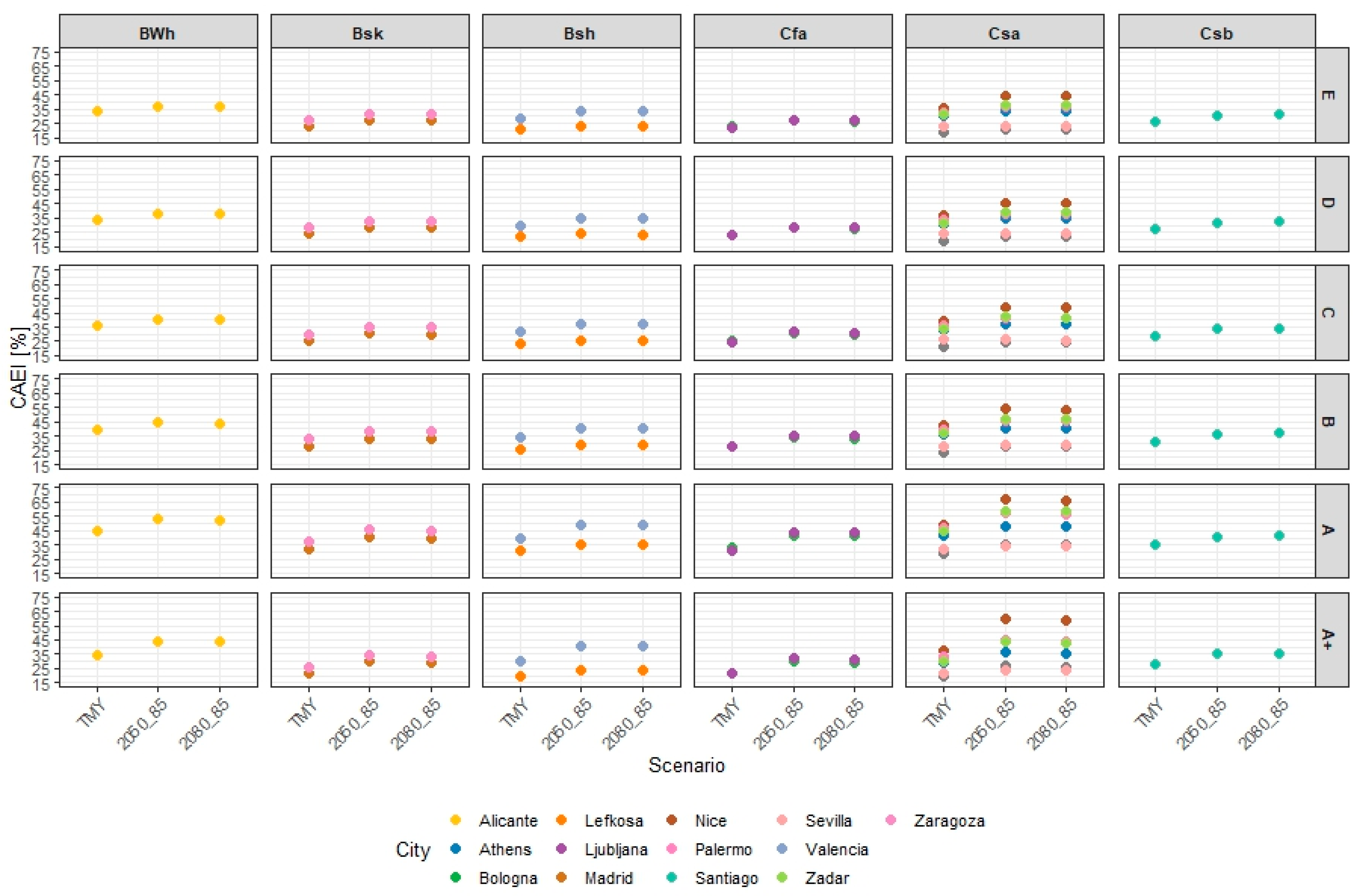
3.2.1. TMY Scenario
- From class E (uninsulated VPR-HBR) to class A (≈0.10 m of insulation layer), the CAEI increases for every city and climate. Indeed, the benefit increases on average by +5 percentage points for a class B roof compared with the uninsulated-roof class E and reaches about +10 percentage points for a class A roof.
- As expected, the maximum benefit is obtained for class A, where CAEI values typically range from 28 to 33% in cooler/temperate contexts (i.e., Cfa, Csb) up to 45–50% in hot Mediterranean and arid climates (i.e., Csa, BWh);
- Interestingly, in the A+ configuration (≈0.22 m of insulation layer), the CAEI decreases again, and the index is more similar to class B than to class A. This indicates that the benefits of the VPR-HBR solution are maximized for a standard insulated roof while using a super-insulated roof does not provide additional adaptation gains and can even reduce the relative impact of the ventilated roof technology.
3.2.2. Climate Change RCP 8.5 Scenario (Worst Scenario)
3.2.3. Climate Change RCP 4.5 Scenario (Intermediate Scenario)
3.2.4. Climate Change RCP 2.6 Scenario (Best Scenario)
4. Discussion
5. Conclusions
Supplementary Materials
Author Contributions
Funding
Data Availability Statement
Conflicts of Interest
References
- Magrini, A.; Lisot, A. Noise reduction interventions in the urban environment as a form of control of indoor noise levels. Energy Procedia 2015, 78, 1653–1658. [Google Scholar] [CrossRef]
- Eurostat Housing in Europe. Available online: https://ec.europa.eu/eurostat/web/interactive-publications/housing-2025 (accessed on 1 December 2025).
- Council of the European Union. One Roof, Many Realities: Europe’s Complex Housing Crisis; Council of the European Union: Brussels, Belgium, 2025. [Google Scholar]
- Salata, F.; Falasca, S.; Ciancio, V.; Curci, G.; de Wilde, P. Climate-change related evolution of future building cooling energy demand in a Mediterranean Country. Energy Build. 2023, 290, 113112. [Google Scholar] [CrossRef]
- Raimundo, A.M.; Oliveira, A.V.M. Assessing the Impact of Climate Changes, Building Characteristics, and HVAC Control on Energy Requirements under a Mediterranean Climate. Energies 2024, 17, 2362. [Google Scholar] [CrossRef]
- European Commission. Assessing the Impact of Climate Change on Energy Demand in European Buildings; European Commission: Brussels, Belgium, 2024. [Google Scholar]
- Salvati, A.; Roura, H.C.; Cecere, C. Assessing the urban heat island and its energy impact on residential buildings in Mediterranean climate: Barcelona case study. Energy Build. 2017, 146, 38–54. [Google Scholar] [CrossRef]
- Santamouris, M. Cooling the cities—A review of reflective and green roof mitigation technologies to fight heat island and improve comfort in urban environments. Sol. Energy 2014, 103, 682–703. [Google Scholar] [CrossRef]
- Chen, Y.; Xiao, L.; Xu, H.; Wang, Z.; Mei, G.; Jiang, M.; Huang, S. Experimental and numerical analysis of thermal performance and energy consumption of ventilated green roof. Energy Build. 2025, 330, 115330. [Google Scholar] [CrossRef]
- Gagliano, A.; Patania, F.; Nocera, F.; Galesi, A. Thermal performance of ventilated roofs during summer period. Energy Build. 2012, 49, 611–618. [Google Scholar] [CrossRef]
- Di Giuseppe, E.; Pergolini, M.; Stazi, F. Numerical assessment of the impact of roof reflectivity and building envelope thermal transmittance on the UHI effect. Energy Procedia 2017, 134, 404–413. [Google Scholar] [CrossRef]
- De Cristo, E.; Evangelisti, L.; Barbaro, L.; De Lieto Vollaro, R.; Asdrubali, F. A Systematic Review of Green Roofs’ Thermal and Energy Performance in the Mediterranean Region. Energies 2025, 18, 2517. [Google Scholar] [CrossRef]
- Cascone, S.; Rosso, F. Green roof as a passive cooling technique for the Mediterranean climate: An experimental study. Riv. Tema 2023, 9. [Google Scholar] [CrossRef]
- Abu Qadourah, J. Energy efficiency evaluation of green roofs as a passive strategy in the mediterranean climate. Results Eng. 2024, 23, 102519. [Google Scholar] [CrossRef]
- Di Giuseppe, E.; D’Orazio, M. Assessment of the effectiveness of cool and green roofs for the mitigation of the Heat Island effect and for the improvement of thermal comfort in Nearly Zero Energy Building. Archit. Sci. Rev. 2015, 58, 134–143. [Google Scholar] [CrossRef]
- Di Giuseppe, E.; Sabbatini, S.; Cozzolino, N.; Stipa, P.; D’Orazio, M. Optical properties of traditional clay tiles for ventilated roofs and implication on roof thermal performance. J. Build. Phys. 2018, 42, 484–505. [Google Scholar] [CrossRef]
- D’Orazio, M.; Di Perna, C.; Di Giuseppe, E. The effects of roof covering on the thermal performance of highly insulated roofs in Mediterranean climates. Energy Build. 2010, 42, 1619–1627. [Google Scholar] [CrossRef]
- Lee, S.; Park, S.H.; Yeo, M.S.; Kim, K.W. An experimental study on airflow in the cavity of a ventilated roof. Build. Environ. 2009, 44, 1431–1439. [Google Scholar] [CrossRef]
- Dimoudi, A.; Androutsopoulos, A.; Lykoudis, S. Summer performance of a ventilated roof component. Energy Build. 2006, 38, 610–617. [Google Scholar] [CrossRef]
- Bottarelli, M.; Bortoloni, M.; Dino, G. Experimental analysis of an innovative tile covering for ventilated roofs (HERO tile). Int. J. Low-Carbon Technol. 2017, 13, 6–14. [Google Scholar] [CrossRef]
- Baccega, E.; Bortoloni, M.; Bottarelli, M.; Dino, G.E.; Zannoni, G. Improving the Air Permeability of Ventilated Roofs. Futur. Cities Environ. 2022, 8, 8. [Google Scholar] [CrossRef]
- Life Herotile. High Energy Resolution Tiles for Ventilated Roofs. 2016. Available online: https://www.lifeherotile.eu/it/ (accessed on 1 January 2024).
- Life Superhero. Permeable and Ventilated Roofs for Sustainable Buildings. 2023. Available online: https://www.lifesuperhero.eu/ (accessed on 1 January 2024).
- Griffith, B. A model for naturally ventilated cavities on the exteriors of opaque building thermal envelopes. In Proceedings of the Simbuilding Conference, Cambridge, MA, USA, 2–4 August 2006. [Google Scholar]
- U.S. Department of Energy. EnergyPlus Engineering Reference: Exterior Naturally Vented Cavity; U.S. Department of Energy: Washington, DC, USA, 2024. [Google Scholar]
- Walton, G.N. Airflow Network Models for Element-Based Building Airflow Modeling. ASHRAE Trans. 1989, 95, 611–620. [Google Scholar]
- Di Giuseppe, E.; Maracchini, G.; D’Orazio, M. Implementation of Ventilated Permeable Roof Solutions in Urban Microclimate Models: A Preliminary Study. In Proceedings of the International Conference on Sustainability in Energy and Buildings, Madeira, Portugal, 18–20 September 2024; pp. 435–445. [Google Scholar] [CrossRef]
- Heiranipour, M.; Favoino, F.; Gutierrez, M.J.; Avesani, S. Future Weather Dataset for Building Energy Simulations and Climate Resilience. 2024. Available online: https://build-up.ec.europa.eu/en/resources-and-tools/publications/future-weather-dataset-building-energy-simulations-and-climate (accessed on 1 January 2025).
- Rodrigues, E.; Fernandes, M.S.; Carvalho, D. Future weather generator for building performance research: An open-source morphing tool and an application. Build. Environ. 2023, 233, 110104. [Google Scholar] [CrossRef]
- Weathershift Inc. Weathershift Heat: Adjusting Weather Files for Future Climatic Conditions; Weathershift Inc.: Johns Creek, GA, USA, 2023. [Google Scholar]
- Teixeira, J.P.; Silva, P.D.; da Pires, L.C.; Gaspar, P.D. Comparative Analysis of Passive Thermal Solutions for Building Resilience Under Future Climate Scenarios. Energies 2025, 18, 5693. [Google Scholar] [CrossRef]
- Di Giuseppe, E.; Gianangeli, A.; Ferrari, B.; Latini, A.; D’Orazio, M. Roofs Passive Cooling Performance Through Air Permeability of Tiles: Development of a Standardized Laboratory Assessment Method. In Proceedings of the Lecture Notes in Civil Engineering, Singapore, 22–24 March 2025; Volume 2, pp. 564–570. [Google Scholar]
- Di Giuseppe, E.; Maracchini, G.; Latini, A.; Bernardini, G.; D’Orazio, M. Building Management System and Data Sharing Platform for Passive Cooling Strategies Assessment and Users’ Awareness Increase: Design and Application to a Social Housing Context in Italy. In Sustainability in Energy and Buildings; Littlewood, J.R., Jain, L., Howlett, R.J., Eds.; Springer Nature: Singapore, 2024; pp. 225–235. [Google Scholar] [CrossRef]
- Loga, T.; Stein, B.; Diefenbach, N. TABULA building typologies in 20 European countries—Making energy-related features of residential building stocks comparable. Energy Build. 2016, 132, 4–12. [Google Scholar] [CrossRef]
- Rosales, M.; Efthymiou, C.; Barmparesos, N.; Tasios, P.; Lissén, J.M.S.; Assimakopoulos, M.N. Identification of Reference Buildings in Mediterranean Countries: The HAPPEN Project Approach. Appl. Sci. 2022, 12, 5638. [Google Scholar] [CrossRef]
- UNI/TS 11300-1:2014; Energy Performance of Buildings—Part 1: Evaluation of Energy Need for Space Heating and Cooling. ISO—International Organization for Standardization: Geneva, Switzerland, 2014. Available online: https://store.uni.com/en/uni-ts-11300-1-2014 (accessed on 1 January 2025).
- ISO 17772-1; Energy Performance of Buildings—Indoor Environmental Quality—Part 1: Indoor Environmental Input Parameters for the Design and Assessment of Energy Performance of Buildings. ISO—International Organization for Standardization: Geneva, Switzerland, 2017.
- BS 5534:2014; Slating and Tiling for Pitched Roofs and Vertical Cladding—Code of Practice. British Standard Institute: London, UK, 2014.
- ASTM C1570-22; Standard Test Method for Wind Resistance of Concrete and Clay Roof Tiles (Air Permeability Method). ASTM: West Conshohocken, PA, USA, 2022. [CrossRef]
- ASHRAE. The 2001 ASHRAE Handbook; Baird, J., Comstock, S., Eds.; ASHRAE: Atlanta, GA, USA, 2001. [Google Scholar]
- D’Orazio, M.; Bernardini, G.; Di Giuseppe, E. Predict the priority of end-users’ maintenance requests and the required technical staff through LSTM and Bi-LSTM recurrent neural networks. Facilities 2023, 41, 38–51. [Google Scholar] [CrossRef]
- Manfren, M.; James, P.A.; Tronchin, L. Data-driven building energy modelling—An analysis of the potential for generalisation through interpretable machine learning. Renew. Sustain. Energy Rev. 2022, 167, 112686. [Google Scholar] [CrossRef]
- Chen, Y.; Guo, M.; Chen, Z.; Chen, Z.; Ji, Y. Physical energy and data-driven models in building energy prediction: A review. Energy Rep. 2022, 8, 2656–2671. [Google Scholar] [CrossRef]
- Nie, P.; Roccotelli, M.; Fanti, M.P.; Ming, Z.; Li, Z. Prediction of home energy consumption based on Gradient Boosting regression tree. Energy Rep. 2021, 7, 1246–1255. [Google Scholar] [CrossRef]
- Di Persio, L.; Fraccarolo, N. Energy Consumption Forecasts by Gradient Boosting Regression Trees. Mathematics 2023, 11, 1068. [Google Scholar] [CrossRef]
- Sauer, J.; Mariani, V.C.; dos Santos Coelho, L.; Ribeiro, M.H.D.M.; Rampazzo, M. Extreme gradient boosting model based on improved Jaya optimizer applied to forecasting energy consumption in residential buildings. Evol. Syst. 2022, 13, 577–588. [Google Scholar] [CrossRef]
- R Studio. Available online: https://www.rstudio.com (accessed on 31 May 2021).
- Martinez-Viol, V.; Urbano, E.M.; Delgado-Prieto, M.; Romeral, L. Automatic model calibration for coupled HVAC and building dynamics using Modelica and Bayesian optimization. Build. Environ. 2022, 226, 109693. [Google Scholar] [CrossRef]
- Von Krannichfeldt, L.; Orehounig, K.; Fink, O. Integrating Physics-Based and Data-Driven Approaches for Probabilistic Building Energy Modeling. Energy Build. 2025, 353, 116838. [Google Scholar] [CrossRef]
- UNI EN ISO 6946:2018; Building Components and Building Elements—Thermal Resistance and Thermal Transmittance—Calculation Methods. CEN—European Committe for Standardization: Brussels, Belgium, 2018. Available online: https://store.uni.com/en/uni-en-iso-6946-2018 (accessed on 1 June 2025).
- Palyvos, J.A. A survey of wind convection coefficient correlations for building envelope energy systems’ modeling. Appl. Therm. Eng. 2008, 28, 801–808. [Google Scholar] [CrossRef]
- Lawrie, L.K.; Crawley, D.B. Development of Global Typical Meteorological Years (TMYx). 2022. Available online: https://climate.onebuilding.org/ (accessed on 1 June 2025).
- Masoso, O.T.; Grobler, L.J. A new and innovative look at anti-insulation behaviour in building energy consumption. Energy Build. 2008, 40, 1889–1894. [Google Scholar] [CrossRef]
- Gupta, V.; Deb, C. Envelope design for low-energy buildings in the tropics: A review. Renew. Sustain. Energy Rev. 2023, 186, 113650. [Google Scholar] [CrossRef]
- Baba, F.M.; Ge, H.; Wang, L.; Zmeureanu, R. Do high energy-efficient buildings increase overheating risk in cold climates? Causes and mitigation measures required under recent and future climates. Build. Environ. 2022, 219, 109230. [Google Scholar] [CrossRef]
- Beck, H.E.; McVicar, T.R.; Vergopolan, N.; Berg, A.; Lutsko, N.J.; Dufour, A.; Zeng, Z.; Jiang, X.; van Dijk, A.I.J.M.; Miralles, D.G. High-resolution (1 km) Köppen-Geiger maps for 1901–2099 based on constrained CMIP6 projections. Sci. Data 2023, 10, 724. [Google Scholar] [CrossRef] [PubMed]
- Kottek, M.; Grieser, J.; Beck, C.; Rudolf, B.; Rubel, F. World map of the Köppen-Geiger climate classification updated. Meteorol. Z. 2006, 15, 259–263. [Google Scholar] [CrossRef] [PubMed]
- Carver, S.; Mikkelsen, N.; Woodward, J. Long-term rates of mass wasting in Mesters Vig, northeast Greenland: Notes on a re-survey. Permafr. Periglac. Process. 2002, 13, 243–249. [Google Scholar] [CrossRef]









Disclaimer/Publisher’s Note: The statements, opinions and data contained in all publications are solely those of the individual author(s) and contributor(s) and not of MDPI and/or the editor(s). MDPI and/or the editor(s) disclaim responsibility for any injury to people or property resulting from any ideas, methods, instructions or products referred to in the content. |
© 2026 by the authors. Licensee MDPI, Basel, Switzerland. This article is an open access article distributed under the terms and conditions of the Creative Commons Attribution (CC BY) license.
Share and Cite
D’Orazio, M.; Latini, A.; Gianangeli, A.; Di Giuseppe, E. Cooling Strategies to Improve the Built Environment: Experimental Characterization, Model Calibration, and Multi-Climate Analysis of Innovative Ventilated and Air Permeable Roofs. Energies 2026, 19, 670. https://doi.org/10.3390/en19030670
D’Orazio M, Latini A, Gianangeli A, Di Giuseppe E. Cooling Strategies to Improve the Built Environment: Experimental Characterization, Model Calibration, and Multi-Climate Analysis of Innovative Ventilated and Air Permeable Roofs. Energies. 2026; 19(3):670. https://doi.org/10.3390/en19030670
Chicago/Turabian StyleD’Orazio, Marco, Arianna Latini, Andrea Gianangeli, and Elisa Di Giuseppe. 2026. "Cooling Strategies to Improve the Built Environment: Experimental Characterization, Model Calibration, and Multi-Climate Analysis of Innovative Ventilated and Air Permeable Roofs" Energies 19, no. 3: 670. https://doi.org/10.3390/en19030670
APA StyleD’Orazio, M., Latini, A., Gianangeli, A., & Di Giuseppe, E. (2026). Cooling Strategies to Improve the Built Environment: Experimental Characterization, Model Calibration, and Multi-Climate Analysis of Innovative Ventilated and Air Permeable Roofs. Energies, 19(3), 670. https://doi.org/10.3390/en19030670

