Investigation of the Influence Mechanism and Analysis of Engineering Application of the Solar PVT Heat Pump Cogeneration System
Abstract
1. Introduction
2. System Description
2.1. PVT Module
2.2. Principle of Solar PVT Heat Pump System
2.3. Performance Evaluation of Solar PVT Heat Pump System
3. Establishment and Verification of Simulation Platform for Solar PVT Heat Pump System
3.1. Establishment of System Simulation Platform
3.1.1. Mathematical Model of Solar PVT Module
3.1.2. Simulation Platform of the PVT Heat Pump System
3.2. Verification of System Simulation Platform
4. Analysis of Performance Influence Mechanism of Solar PVT Heat Pump System
4.1. Analysis of Influence Mechanism of System Thermal Performance
4.1.1. Analysis of Influence Mechanism of System COPh
4.1.2. Analysis of Influence Mechanism of System Heating Capacity
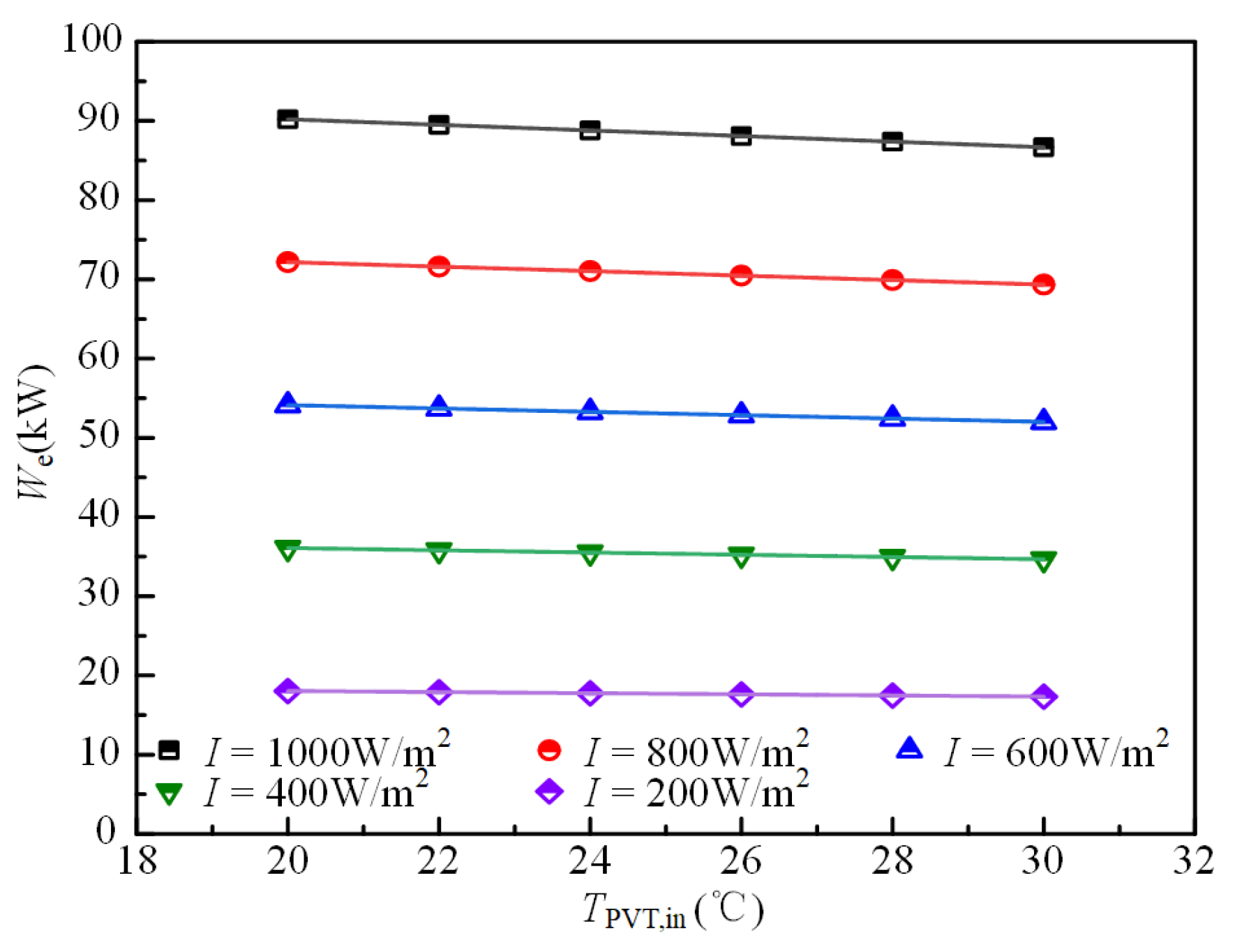
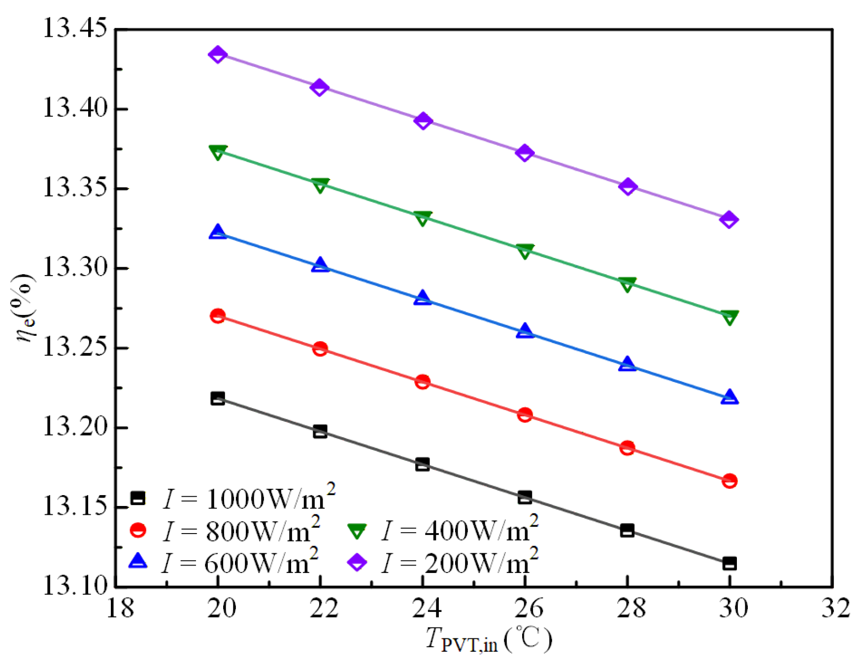
4.2. Analysis of Influence Mechanism of System Electrical Performance
4.3. Analysis of Influence Mechanism of System Thermoelectric Comprehensive Performance
5. Solar PVT Heat Pump System Engineering Application
5.1. Engineering Application Overview
5.2. Annual Production Capacity Analysis of Solar PVT Heat Pump System
5.3. Economic Analysis of Solar PVT Heat Pump System
5.4. Environmental Benefit Analysis of Solar PVT Heat Pump System
6. Summary and Conclusions
- (1)
- Solar irradiance and the circulating water temperature within the PVT module significantly influence the thermal and electrical performance of the solar PVT heat pump system, whereas ambient temperature has a relatively minor impact on its performance.
- (2)
- At lower solar irradiance intensities, for every 100 W/m2 increase in solar irradiance, COPh increases by 13.7% and COPco increases by 14.9%. At higher solar irradiance, for every 100 W/m2 increase in solar irradiance, COPh decreases by 10.0% and COPco decreases by 10.4%. For every 100 W/m2 increase in solar irradiance, the system’s heating capacity and power generation increase by 50.9% and 52.1%, respectively, while the electrical efficiency of the PVT array decreases by 0.05%.
- (3)
- For every 1 °C increase in the circulating water temperature within the PVT module, COPh increases by 11.8%, COPco increases by 12.3%, the heating capacity decreases by 2.2%, the power generation of the PVT array decreases by 0.80%, and the electrical efficiency of the PVT array decreases by 0.03%.
- (4)
- A solar PVT heat pump system with a rated heating capacity of 5500 kW, applied at a collaborative innovation center in Hainan Province, China, has an annual total heating capacity of 24,000 GJ and an annual total power generation of 1.11 million kWh. The annual total power consumption of the solar PVT heat pump system is 1.23 million kWh, with an annual average COPh of 5.30 and an annual average COPco of 7.60.
- (5)
- The LCC of the solar PVT heat pump system with a rated heating capacity of 5500 kW is CNY 92 million, which is a 13.2% reduction compared to the air-source heat pump system. Its dynamic investment payback period is 4–6 years. The annual power consumption and carbon dioxide emissions of the solar PVT heat pump cogeneration system are 116 thousand kWh and 48.5 tCO2, a 94.6% reduction compared to the air-source heat pump system, demonstrating significant energy conservation and carbon reduction effects.
- (6)
- This study primarily focuses on the modeling and engineering application of the system in the solar-rich region of Hainan. Future work could involve comparative investigations across different climatic regions to evaluate the applicability and performance of the system.
Author Contributions
Funding
Data Availability Statement
Conflicts of Interest
Nomenclature
| APVT | area of PVT module (m2) | ηe | electrical efficiency of PVT modules (%) |
| cp,w | specific heat capacity of water (kJ/kg∙°C) | ηth | thermal efficiency of PVT modules (%) |
| Cin | cash income (CNY) | ηref | electrical efficiency of solar cells under standard test conditions (%) |
| Cout | cash expenditure (CNY) | ηpower | thermoelectric conversion coefficient of conventional power plants (%) |
| CINV | initial investment (CNY) | β | temperature coefficient of PVT modules (%) |
| COPh | coefficient of heating performance | COP | coefficient of performance |
| COPco | coefficient of thermoelectric comprehensive performance | LCC | life cycle cost |
| ECO2 | CO2 emission (kg CO2) | INV | initial investment |
| f | power CO2 emission factor (kg CO2/kWh) | DR | discount rate |
| mw | circulating water flow at the condensing side of the system (kg/s) | DPP | dynamic payback period |
| mw,PVT | circulating water flow inside PVT modules (kg/s) | SR | salvage revenue from equipment disposal |
| n | number of PVT modules | OC | operating cost |
| N | operational lifespan of the system | MC | maintenance cost |
| QPVT | heat-absorbing quantity of PVT modules (kW) | SC | system disposal cost |
| Qc | heating capacity (kW) | BIPV | building-integrated photovoltaics |
| Ta | ambient temperature (°C) | PVT | photovoltaic thermal |
| Tw,con,in | inlet water temperature of the condenser (°C) | PV | photovoltaic |
| Tw,con,o | outlet water temperature of the condenser (°C) | ST | solar heat collection |
| TPVT | temperature of PVT modules (°C) | ||
| Tref | temperature of PVT modules under standard test conditions (°C) | ||
| TPVT,in | inlet water temperature of PVT modules (°C) | ||
| TPVT,o | outlet water temperature of PVT modules (°C) | ||
| Wa | annual power consumption of the system (kWh) | ||
| Wc | input power of the heat pump (kW) | ||
| We | power generation (kW) | ||
| I | solar irradiance (W/m2) |
References
- National Energy Administration. Energy Law of the People’s Republic of China; National Energy Administration: Beijing, China, 2024. [Google Scholar]
- National Energy Administration. 2023 National Electric Power Industry Statistical Data [R/OL]; National Energy Administration: Beijing, China, 2024. [Google Scholar]
- National Energy Administration. 2023 Statistical Bulletin on Renewable Energy Development; National Energy Administration: Beijing, China, 2024. [Google Scholar]
- Zhang, X.X.; Zhao, X.D.; Smith, S.; Xu, J.H.; Yu, X.T. Review of R&D progress and practical application of the solar photovoltaic/thermal (PV/T) technologies. Renew. Sustain. Energy Rev. 2012, 1, 599–617. [Google Scholar] [CrossRef]
- Kern, J.E.; Russell, M. Combined Photovoltaic and Thermal Hybrid Collector Systems; Massachusetts Institute of Lincoln Laboratory Technology: Lexington, KY, USA, 1978. [Google Scholar]
- Florschuetz, L. Extension of the Hottel-Whillier model to the analysis of combined photovoltaic/thermal flat plate collectors. Sol. Energy 1979, 22, 361–366. [Google Scholar] [CrossRef]
- Raghuraman, P. Analytical predictions of liquid and air photovoltaic/thermal, flat-plate collector performance. J. Sol. Energy Eng. 1981, 103, 291–298. [Google Scholar] [CrossRef]
- Fujisawa, T.; Tani, T. Annual exergy evaluation on photovoltaic-thermal hybrid collector. Sol. Energy Mater. Sol. Cells 1997, 47, 135–148. [Google Scholar] [CrossRef]
- Brinkworth, B.; Cross, B.; Marshall, R.; Yang, H. Thermal regulation of photovoltaic cladding. Sol. Energy 1997, 61, 169–178. [Google Scholar] [CrossRef]
- Sandnes, B.R.; Rekstad, J. A photovoltaic/thermal (PV/T) collector with a polymer absorber plate. Experimental study and analytical model. Sol. Energy 2002, 72, 63–73. [Google Scholar] [CrossRef]
- Chow, T. Performance analysis of photovoltaic-thermal collector by explicit dynamic model. Sol. Energy 2003, 75, 143–152. [Google Scholar] [CrossRef]
- Chow, T.T.; Pei, G.; Fong, K.F.; Lin, Z.; Chan, A.L.S.; Ji, J. Energy and exergy analysis of photovoltaic–thermal collector with and without glass cover. Appl. Energy 2009, 86, 310–316. [Google Scholar] [CrossRef]
- Pei, G.; Zhou, T.T.; Ji, J.; He, W. Effect of glass cover on performance of PV/T system under different operating conditions. Acta Energiae Solaris Sin. 2009, 29, 1370–1374. [Google Scholar] [CrossRef]
- Liu, P.; Guan, X.; Cai, K.; Tang, Y.T. Theoretical study on natural circulation solar photovoltaic–thermal water heating system. Chem. Ind. Eng. Prog. 2008, 27, 617–619. Available online: https://xueshu.baidu.com/ndscholar/browse/detail?paperid=c8766b4b6ecdaf5d3d2dc0f24012cf5d&site=xueshu_se (accessed on 30 November 2025). (In Chinese)
- An, W.T. Study on Cooling Methods of Solar Photovoltaic Modules. Master’s Thesis, North China Electric Power University, Beijing, China, 2009. [Google Scholar]
- Imre, L.; Bitai, A.; Boehoenyer, F. PV-thermal combined building elements. In Proceedings of the ISES Solar World Congress, Budapest, Hungary, 23–27 August 1993. [Google Scholar]
- Bergene, T.; Lvvik, O.M. Model calculations on a flat-plate solar heat collector with integrated solar cells. Sol. Energy 1995, 55, 453–462. [Google Scholar] [CrossRef]
- Thomas, H.P.; Hayter, S.; Martin, R.; Pierce, L. PV and PV/Hybrid Products for Buildings: Citeseer; National Renewable Energy Lab. (NREL): Golden, CO, USA, 2000. [Google Scholar]
- Kalogirou, S.A.; Tripanagnostopoulos, Y. Hybrid PV/T solar systems for domestic hot water and electricity production. Energy Convers. Manag. 2006, 47, 3368–3382. [Google Scholar] [CrossRef]
- Tripanagnostopoulos, Y.; Nousia, T.; Souliotis, M.; Yianoulis, P. Hybrid photovoltaic/thermal solar systems. Sol. Energy 2002, 72, 217–234. [Google Scholar] [CrossRef]
- Zakharchenko, R.; Licea-Jiménez, L.; Pérez-Garca, S.A.; Vorobiev, P.; Dehesa-Carrasco, U.; Pérez-Robles, J.F.; González-Hernández, J.; Vorobiev, Y. Photovoltaic solar panel for a hybrid PV/thermal system. Sol. Energy Mater. Sol. Cells 2004, 82, 253–261. [Google Scholar] [CrossRef]
- Ji, J.; Han, J.; Chow, T.T.; Yi, H.; Lu, J.; He, W.; Sun, W. Effect of fluid flow and packing factor on energy performance of a wall-mounted hybrid photovoltaic/water-heating collector system. Energy Build. 2006, 38, 1380–1387. [Google Scholar] [CrossRef]
- Ji, J.; Lu, J.P.; Chow, T.T.; He, W.; Pei, G. A sensitivity study of a hybrid photovoltaic/thermal water-heating system with natural circulation. Appl. Energy 2007, 84, 222–237. [Google Scholar] [CrossRef]
- Ji, J.; Chow, T.T.; He, W. Dynamic performance of hybrid photovoltaic/thermal collector wall in Hong Kong. Build. Environ. 2003, 38, 1327–1334. [Google Scholar] [CrossRef]
- Ji, J.; Hua, Y.; Gang, P.; Bin, J.; Wei, H. Study of PV-Trombe wall assisted with DC fan. Build. Environ. 2007, 42, 3529–3539. [Google Scholar] [CrossRef]
- Ji, J.; Hua, Y.; Gang, P.; Jianping, L. Study of PV-Trombe wall installed in a fenestrated room with heat storage. Appl. Therm. Eng. 2007, 27, 1507–1515. [Google Scholar] [CrossRef]
- Xu, G.; Zhang, X.; Deng, S. Experimental study on the operating characteristics of a novel low-concentrating solar photovoltaic/thermal integrated heat pump water heating system. Appl. Therm. Eng. 2011, 31, 3689–3695. [Google Scholar] [CrossRef]
- Cui, W.Z.; Yu, S.Q.; Liao, Q. Thermoelectric performance analysis of concentrating photovoltaic–thermal hybrid system. J. Chongqing Univ. Nat. Sci. Ed. 2009, 32, 86–90. [Google Scholar] [CrossRef]
- Luz, A.P.; Diniz, G.A.H.; Duarte, W.M.; Machado, L. Experimental study and semi-empirical model of a thermostatic expansion valve of a R290 direct-expansion solar heat pump. Int. J. Refrig. 2024, 163, 15. [Google Scholar] [CrossRef]
- Guo, X.C.; Zhang, J.L.; Han, Y.H. Thermoelectric performance analysis of the novel direct-expansion photovoltaic thermal heat pump/power heat pipe compound cycle system in summer. Appl. Energy 2024, 362, 122969. [Google Scholar] [CrossRef]
- Guo, X.C.; Wu, Y.P.; Deng, J.W.; Peng, C.W.; Qiang, W.B.; Wei, Q.P. Investigation into the switching mechanism of photovoltaic thermal power heat pipe/heat pump composite cycle system in cogeneration mode. Energy 2025, 340, 139258. [Google Scholar] [CrossRef]
- Lu, W.L.; Shi, Y.; Bao, J.Q.; Liu, W.J.; Dai, Y.J. Simulation and analysis of operating performance of direct-expansion solar PVT heat pump water heating system in different cities. J. Chin. Soc. Power Eng. 2023, 43, 1607–1614. [Google Scholar] [CrossRef]
- Jiang, D.; Zhang, J.; Lou, L.; Lou, L.L.; Zhu, K.; Dai, J.S. Experimental investigation of the performance of a PVT heat pump soil cross-seasonal energy storage system across various operation modes. Energy 2025, 322, 135656. [Google Scholar] [CrossRef]
- Dwaikat, N.L.; Ali, N.K. Green buildings life cycle cost analysis and life cycle budget development: Practical applications. J. Build. Eng. 2018, 18, 303–311. [Google Scholar] [CrossRef]
- Stec, A.; Kordana, S.; Słyś, D. Analysing the financial efficiency of use of water and energy saving systems in single-family homes. J. Clean. Prod. 2017, 151, 193–205. [Google Scholar] [CrossRef]
- Guo, X.C. Study on the Operating Characteristic and Climate Suitability of the Compressor-Pump Compound PVT Heat Pump System for Heating, Power Generation, and Refrigerating. Ph.D. Thesis, Dalian University of Technology, Dalian, China, 2024. [Google Scholar]
- Wang, D.; Zhou, R.; Sun, Z.Y.; Zhang, K.K.; Lu, J.L.; Li, G.Q.; Ji, J. Comprehensive evaluation of energy, exergy and economic performance of transcritical CO2/R41 air-source heat pump water heater based on entropy weight method. Energy 2025, 332, 137235. [Google Scholar] [CrossRef]
- Gholami, H.; Røstvik, N.H.; Kumar, M.N.; Chopra, S.S. Lifecycle cost analysis (LCCA) of tailor-made building integrated photovoltaics (BIPV) façade: Solsmaragden case study in Norway. Sol. Energy 2020, 211, 488–502. [Google Scholar] [CrossRef]
- Liu, Z.; Hu, B.; Wu, D.; Wang, R.Z. Electrification and decarbonization in global brewing industry driven by industrial heat pumps. Energy 2025, 325, 136184. [Google Scholar] [CrossRef]
- National Greenhouse Gas Emission Factors Database. Industrial Enterprise Emission Factors [DB/OL]. 2024. Available online: https://data.ncsc.org.cn/factories/indexMod/indexModIlibrary?templateName=%E8%A1%8C%E4%B8%9A%E4%BC%81%E4%B8%9A%E6%8E%92%E6%94%BE%E5%9B%A0%E5%AD%90 (accessed on 26 May 2025).
- Wang, Y.; You, S.J.; Sun, Y.K.; Li, Z.Q. Performance testing and operation evaluation of air source heat pump water heaters. Fluid Mach. 2017, 45, 77–82. [Google Scholar]















| Equipment | Parameter | Value |
|---|---|---|
| PVT module | Dimensions | 1950 × 986 × 25 mm |
| Flow channel configuration | Honeycomb type | |
| Effective flow channel volume | 3.0 L | |
| Flow channel width | 10 mm | |
| Flow channel height | 2.5 mm | |
| Photovoltaic cell type | Monocrystalline silicon | |
| Rated peak electrical power | 330 W | |
| Photovoltaic conversion efficiency | 17.1% | |
| Temperature coefficient | −0.4%/°C | |
| Installation tilt angle | 40° | |
| Quantity of modules | 330 | |
| Heat pump unit | Refrigerant type | R290 |
| Rated heating capacity | 550 kW | |
| Rated input power | 105.2 kW | |
| Rated coefficient of performance (COP) | 5.23 | |
| Refrigerant mass flow rate | 5700 kg/h | |
| Water flow rate on evaporator side | 77 m3/h | |
| Inlet water temperature on evaporator side | 20 °C | |
| Outlet water temperature on evaporator side | 25 °C | |
| Water flow rate on condenser side | 95 m3/h | |
| Inlet water temperature on condenser side | 45 °C | |
| Outlet water temperature on condenser side | 50 °C |
Disclaimer/Publisher’s Note: The statements, opinions and data contained in all publications are solely those of the individual author(s) and contributor(s) and not of MDPI and/or the editor(s). MDPI and/or the editor(s) disclaim responsibility for any injury to people or property resulting from any ideas, methods, instructions or products referred to in the content. |
© 2026 by the authors. Licensee MDPI, Basel, Switzerland. This article is an open access article distributed under the terms and conditions of the Creative Commons Attribution (CC BY) license.
Share and Cite
Wu, Y.; Li, Z.; Zhang, Y.; Chen, G.; Zhang, G.; Wang, X.; Zhang, X.; Li, Z. Investigation of the Influence Mechanism and Analysis of Engineering Application of the Solar PVT Heat Pump Cogeneration System. Energies 2026, 19, 450. https://doi.org/10.3390/en19020450
Wu Y, Li Z, Zhang Y, Chen G, Zhang G, Wang X, Zhang X, Li Z. Investigation of the Influence Mechanism and Analysis of Engineering Application of the Solar PVT Heat Pump Cogeneration System. Energies. 2026; 19(2):450. https://doi.org/10.3390/en19020450
Chicago/Turabian StyleWu, Yujia, Zihua Li, Yixian Zhang, Gang Chen, Gang Zhang, Xiaolan Wang, Xuanyue Zhang, and Zhiyan Li. 2026. "Investigation of the Influence Mechanism and Analysis of Engineering Application of the Solar PVT Heat Pump Cogeneration System" Energies 19, no. 2: 450. https://doi.org/10.3390/en19020450
APA StyleWu, Y., Li, Z., Zhang, Y., Chen, G., Zhang, G., Wang, X., Zhang, X., & Li, Z. (2026). Investigation of the Influence Mechanism and Analysis of Engineering Application of the Solar PVT Heat Pump Cogeneration System. Energies, 19(2), 450. https://doi.org/10.3390/en19020450
