Numerical Investigation of Heat Transfer and Flow Resistance of Fluoride Salt on Shell Side of Helically Coiled Heat Exchangers
Abstract
1. Introduction
2. Numerical Methods
2.1. Physical Model
2.2. Governing Equations and Boundary Conditions
2.3. Parameter Definition
2.4. Grid Generation and Independence Validation
2.5. Turbulence Model Validation
3. Results and Discussion
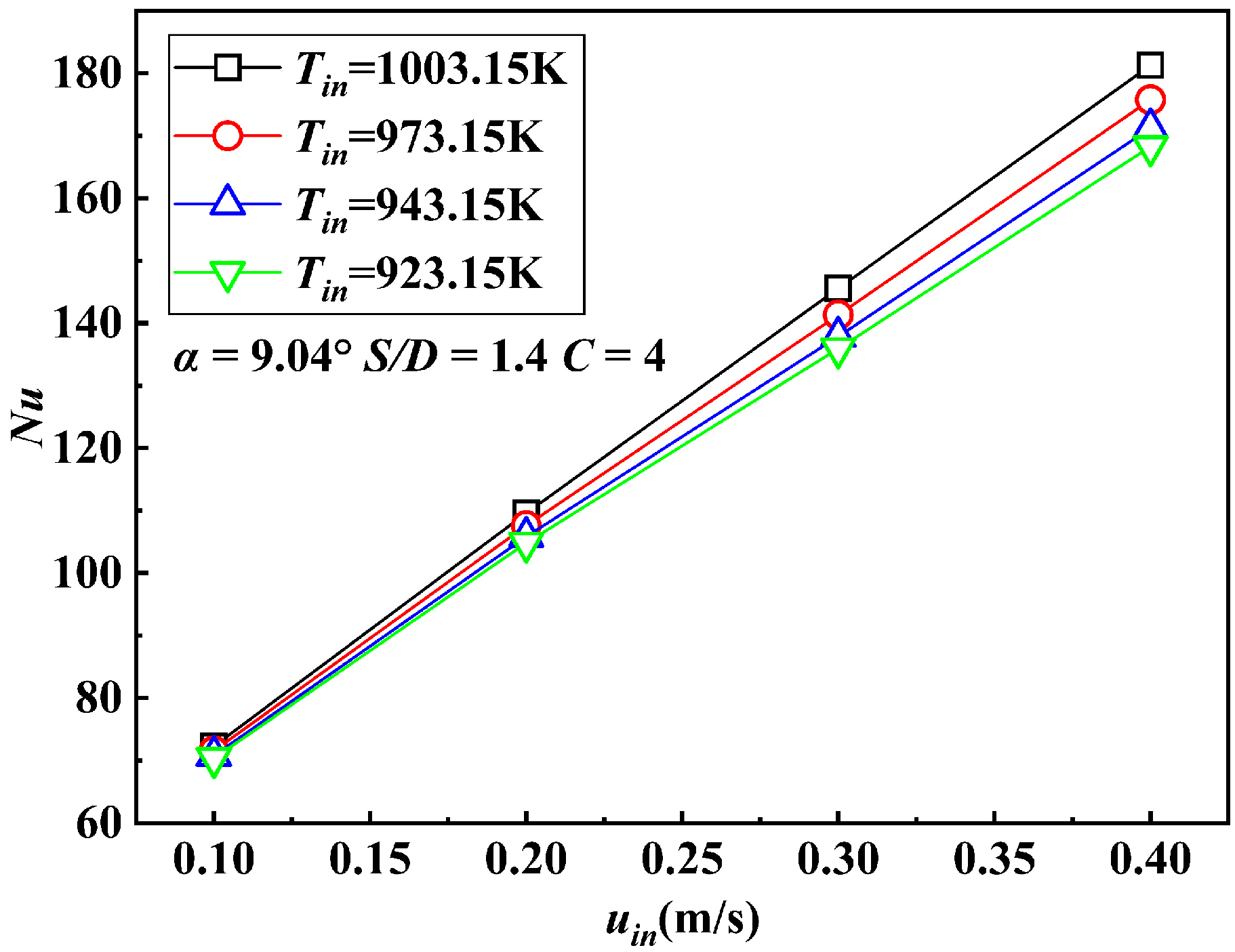
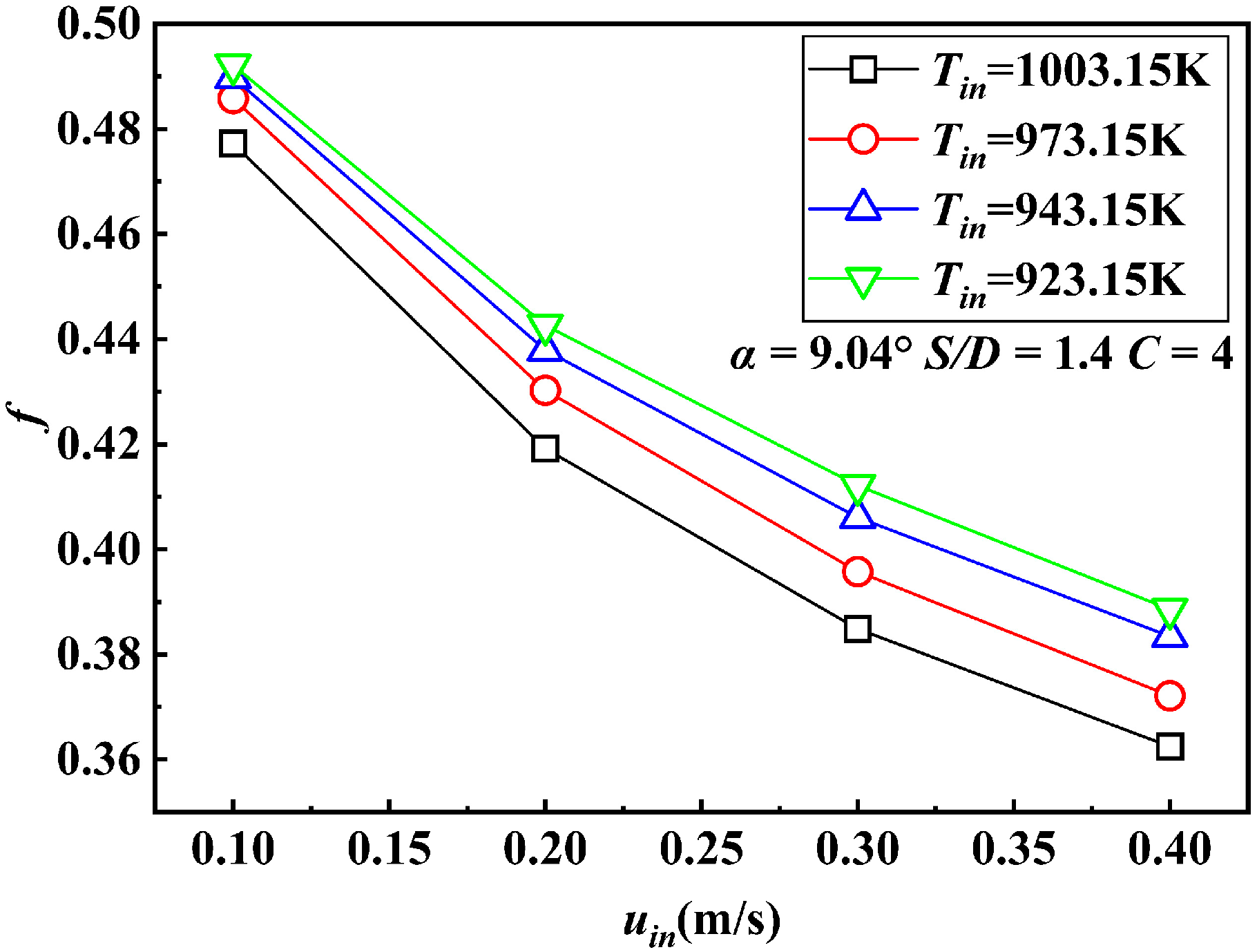
3.1. Effect of Inlet Conditions
3.2. Effects of Key Structural Parameters
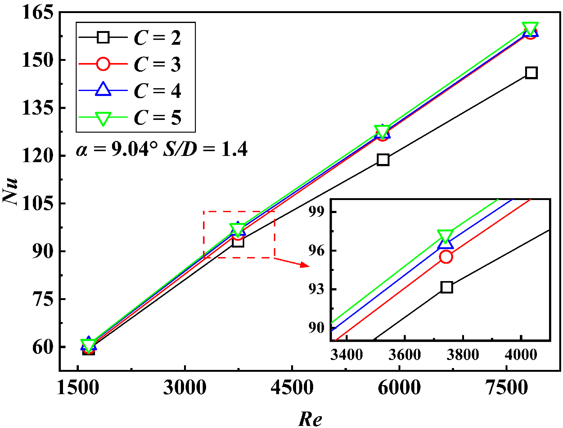
3.2.1. Effect of Layer Count
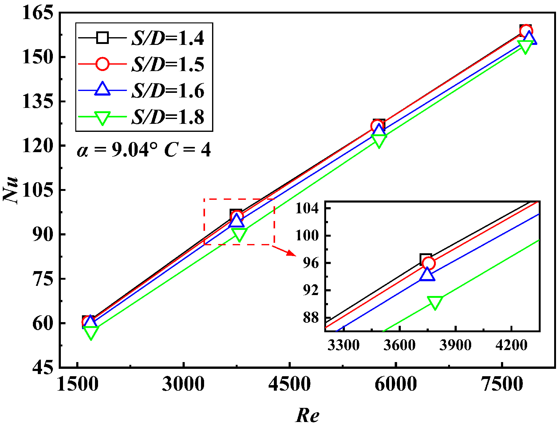
3.2.2. Effect of Tube Pitch
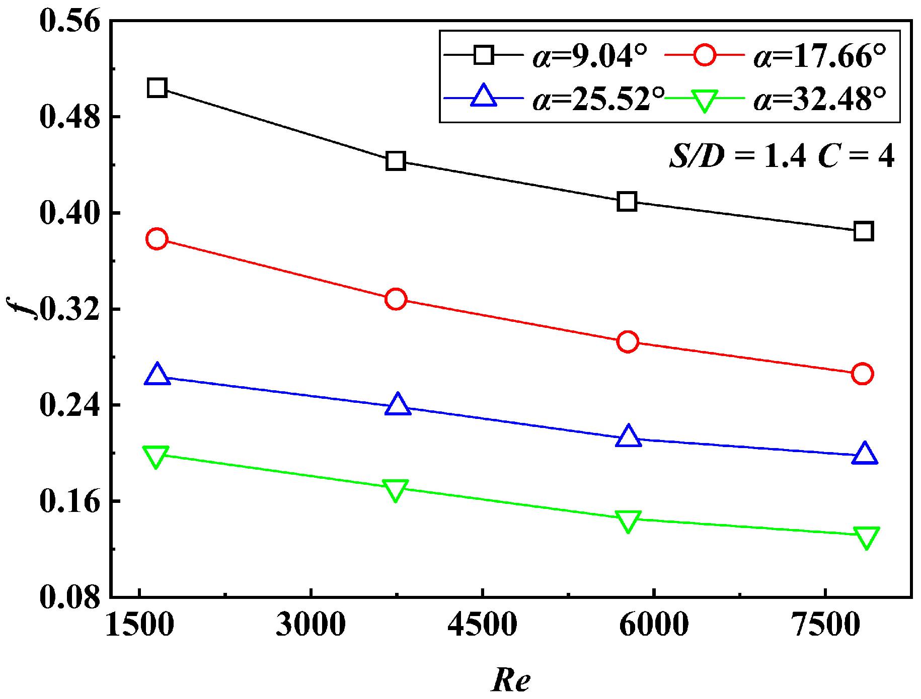
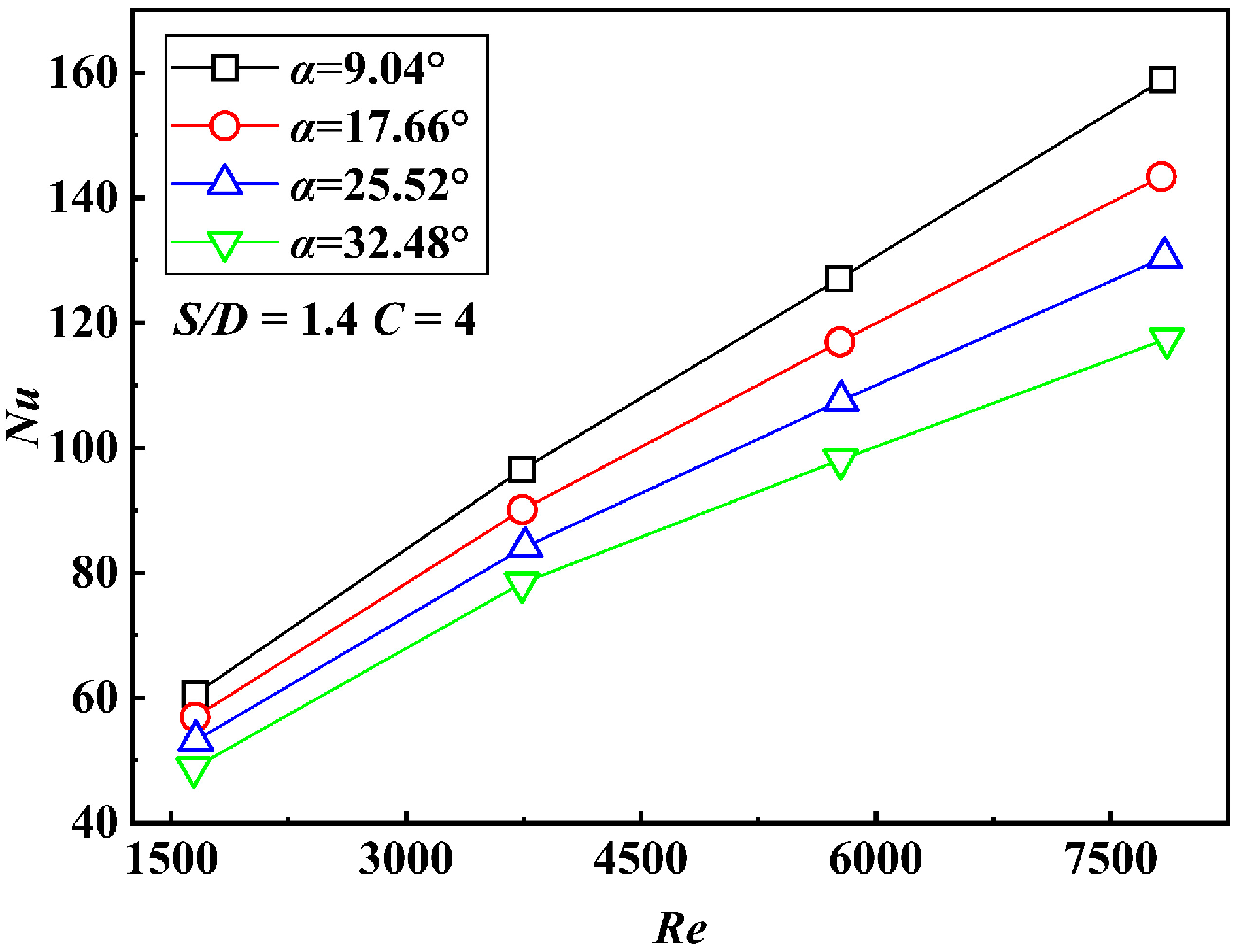
3.2.3. Effect of Helix Angle
4. Correlation Development for Nusselt Number and Friction Factor
5. Conclusions
- (1)
- A robust numerical framework was validated, demonstrating its capability to predict the heat transfer and flow resistance performance of high-Pr fluoride salt within helical tube bundles, with maximum deviations of 10% for Nu and 9% for f compared to available experimental data.
- (2)
- The influence of temperature is primarily mediated through its strong effect on viscosity. An increase in temperature significantly reduces viscosity, leading to a higher Re at a given velocity. This enhances convective heat transfer (increased Nu) while reducing fluid friction (decreased f).
- (3)
- The geometric parameters of the HCHX profoundly affect its performance: Both the Nu and f increase with the number of tube layers up to four, beyond which the effect saturates. A decrease in either the tube pitch or the helix angle enhances fluid mixing and heat transfer but incurs a substantially greater penalty in pressure drop. Notably, variations in these structural parameters have a more pronounced impact on the friction factor than on the Nusselt number, underscoring a critical trade-off in design.
- (4)
- The flow within the helical tube bundle fully developed after six tube rows in the flow direction.
- (5)
- New empirical correlations for the shell-side Nu and f are developed for fluoride salt flow in HCHXs. The correlations incorporate the Reynolds number (Re), Prandtl number (Pr), layer count (C), relative tube pitch (S/D), and helix angle (α), demonstrating excellent agreement with simulation data. Deviations range from −10% to 5% for Nu and −5% to 10% for f within the studied parameter space: 1644 < Re < 10,387, 7 < Pr < 12, 1.4 < S/D < 1.8, 9.04° < α < 32.48°, and 2 < C < 5.
Author Contributions
Funding
Data Availability Statement
Conflicts of Interest
Nomenclature
| Abbreviations | |
| CFD | Computational Fluid Dynamics |
| HCHX | Helically Coiled Heat Exchanger |
| LNG | Liquefied Natural Gas |
| MSR | Molten Salt Reactor |
| STHX | Shell and Tube Heat Exchanger |
| Symbols | |
| a | Radial pitch-to-diameter ratio |
| b | Longitudinal pitch-to-diameter ratio |
| C | Number of layers |
| cp | Specific heat at constant pressure, J·kg−1·K−1 |
| D | Tube diameter, mm |
| Di | Helical diameter of the i-th layer, mm |
| Dshell | Inner diameter of the outer shell, mm |
| Dcore | Outer diameter of the inner cylinder, mm |
| f | Friction factor |
| H | Effective heat transfer length, m |
| h | Convective heat transfer coefficient, W·m−1·K−1 |
| k | Turbulent kinetic energy |
| Mi | Number of tubes in the i-th layer |
| N | Number of tubes in the innermost layer |
| Nu | Nusselt number |
| p | Pressure, Pa |
| Pr | Prandtl number |
| q | Heat flux, W·m−2 |
| reff | Free-flow area coefficient |
| Re | Reynolds number |
| S | Tube pitch, mm |
| T | Temperature, K |
| u | Velocity, m·s−1 |
| z | Number of tube rows |
| Greek symbols | |
| α | Helix angle, ° |
| ρ | Density, kg·m−3 |
| μ | Dynamic viscosity, Pa·s |
| λ | Thermal conductivity, W·m−1·K−1 |
| ε | Turbulent dissipation rate |
| Ω | Vorticity tensor |
| Φ | Strain rate tensor |
| Subscripts | |
| in | Inlet |
| out | Outlet |
| max | Maximum |
| wall | Tube wall |
| fluid | Fluid in helical tube bundle |
| l | Longitudinal |
| r | Radial |
References
- Cai, X.; Dai, Z.; Xu, H. Thorium molten salt reactor nuclear energy system. Physics 2016, 45, 578–590. [Google Scholar] [CrossRef]
- Miao, H. Numerical Simulation of Molten Salt-Molten Salt Plate Heatexchanger and Plate Fin Heat Exchanger. Master’s Thesis, Shanghai Institute of Applied Physics, Chinese Academy of Sciences, Shanghai, China, 2018. [Google Scholar]
- Wang, Z.; Fu, Y.; Zou, Y.; Dai, Y.; Yu, X. Numerical Analysis of Baffle Opening on Shell and Tube Molten Salt Heat Exchanger. J. Eng. Thermophys. 2022, 43, 2790–2797. [Google Scholar]
- Chen, Y.; Tian, J.; Fu, Y.; Tang, Z.; Zhu, H.; Wang, N. Experimental study of heat transfer enhancement for molten salt with transversely grooved tube heat exchanger in laminar-transition-turbulent regimes. Appl. Therm. Eng. 2018, 132, 95–101. [Google Scholar] [CrossRef]
- Chen, Y.; Tian, J.; Zhu, H.; Xue, J.; Tang, Z.; Fu, Y.; Wang, N. Thermal sizing design and experimental evaluation of molten salt-to-air heat exchanger. Ann. Nucl. Energy 2019, 132, 504–511. [Google Scholar] [CrossRef]
- Li, Q.; Fu, Y.; Tian, J.; Zhou, C.; Zou, Y.; Fu, Y.; Hou, J.; Yu, X.H.; Xu, H.J. Experimental heat transfer performance of a drainage-integrated fluoride salt-to-salt heat exchanger. Results Eng. 2025, 28, 107206. [Google Scholar] [CrossRef]
- Li, Q.; Tian, J.; Fu, Y.; Zhou, C.; Zou, Y.; Fu, Y.; Hou, J.; Yu, X. Experimental study on heat transfer and flow resistance performance of an air-cooled fluoride salt heat exchanger. Appl. Therm. Eng. 2025, 269, 126124. [Google Scholar] [CrossRef]
- Khairulmaini, M.; Michael, Z.; Hamid, M.F.A.; Abidin, N.A.Z.; Roslan, A. Analyzing The Influence of Diameter and Winding on Heat Transfer Efficiency in Spiral Tube Heat Exchangers. J. Phys. Conf. Ser. 2024, 2688, 012002. [Google Scholar] [CrossRef]
- Neeraas, B.O.; Fredheim, A.O.; Aunan, B. Experimental data and model for heat transfer, in liquid falling film flow on shell-side, for spiral-wound LNG heat exchanger. Int. J. Heat Mass Transfer 2004, 47, 3565–3572. [Google Scholar] [CrossRef]
- Neeraas, B.O.; Fredheim, A.O.; Aunan, B. Experimental shell-side heat transfer and pressure drop in gas flow for spiral-wound LNG heat exchanger. Int. J. Heat Mass Transfer 2004, 47, 353–361. [Google Scholar] [CrossRef]
- Tang, Q.; Chen, G.; Guo, H.; Shen, J.; Dong, X.; Gong, M. Experimental and numerical investigation on gas flow in shell side of spiral-wound heat exchangers. Cryogenics 2017, 5, 1–5+11. [Google Scholar] [CrossRef]
- Messa, C.J.; Foust, A.S.; Poehlein, G.W. Shell-Side Heat Transfer Coefficients in Helical Coil Heat Exchangers. Ind. Eng. Chem. Process Des. Dev. 1969, 8, 343–347. [Google Scholar] [CrossRef]
- Ghorbani, N.; Taherian, H.; Gorji, M.; Mirgolbabaei, H. Experimental study of mixed convection heat transfer in vertical helically coiled tube heat exchangers. Exp. Therm. Fluid Sci. 2010, 34, 900–905. [Google Scholar] [CrossRef]
- Genić, S.B.; Jaćimović, B.M.; Jarić, M.S.; Budimir, N.J.; Dobrnjac, M.M. Research on the shell-side thermal performances of heat exchangers with helical tube coils. Int. J. Heat Mass Transfer 2012, 55, 4295–4300. [Google Scholar] [CrossRef]
- Lu, X.; Du, X.; Zeng, M.; Zhang, S.; Wang, Q. Shell-side thermal-hydraulic performances of multilayer spiral-wound heat exchangers under different wall thermal boundary conditions. Appl. Therm. Eng. 2014, 70, 1216–1227. [Google Scholar] [CrossRef]
- Sun, C.; Li, Y.; Han, H.; Zhu, J.; Wang, S. Effect of compound sloshing conditions on pressure drop and heat transfer characteristics for FLNG spiral wound heat exchanger. Appl. Therm. Eng. 2019, 159, 113791. [Google Scholar] [CrossRef]
- Yan, Y.; Sun, C.; Han, H.; Li, Y. Experimental Study on Thermal Performance of FLNG Spiral Wound Heat Exchanger under Sloshing Conditions. J. Therm. Sci. 2019, 28, 1042–1053. [Google Scholar] [CrossRef]
- Lu, X.; Zhang, G.; Chen, Y.; Wang, Q.; Zeng, M. Effect of geometrical parameters on flow and heat transfer performances in multi-stream spiral-wound heat exchangers. Appl. Therm. Eng. 2015, 89, 1104–1116. [Google Scholar] [CrossRef]
- Zeng, M.; Zhang, G.; Li, Y.; Niu, Y.; Ma, Y.; Wang, Q. Geometrical Parametric Analysis of Flow and Heat Transfer in the Shell Side of a Spiral-Wound Heat Exchanger. Heat Transfer Eng. 2014, 36, 790–805. [Google Scholar] [CrossRef]
- Wang, S.; Jian, G.; Xiao, J.; Wen, J.; Zhang, Z. Optimization investigation on configuration parameters of spiral-wound heat exchanger using Genetic Aggregation response surface and Multi-Objective Genetic Algorithm. Appl. Therm. Eng. 2017, 119, 603–609. [Google Scholar] [CrossRef]
- Hessam, M. Numerical investigation of vertical helically coiled tube heat exchangers thermal performance. Appl. Therm. Eng. 2018, 136, 252–259. [Google Scholar] [CrossRef]
- Sami, M. Optimized shape design and thermal characteristics investigation of helically coiled tube type heat exchanger. Chem. Eng. Res. Des. 2024, 201, 96–107. [Google Scholar] [CrossRef]
- Wen, J.; Tong, X.; Yuan, H.; Wang, S.; Li, Y. Effects of Space Bars on the Shell-Side Performance of Spiral-Wound Heat Exchanger. J. Xi’an Jiaotong Univ. 2016, 50, 14–20. [Google Scholar] [CrossRef]
- Abolmaali, A.M.; Afshin, H. Development of Nusselt number and friction factor correlations for the shell side of spiral-wound heat exchangers. Int. J. Therm. Sci. 2019, 139, 105–117. [Google Scholar] [CrossRef]
- Lei, Z.; Li, L.; Zhao, H.; Shi, S.; Xiang, Z.; Xu, X. Study on coupled heat transfer characteristics and performance optimization for a helical coil heat exchanger in the lead-cooled fast reactor. Prog. Nucl. Energy 2025, 180, 105583. [Google Scholar] [CrossRef]
- Wu, J.; Tian, Q.; Sun, X.; Zhao, J.; Wang, L.; Peng, X.; Liao, X. Numerical simulation and experimental research on the comprehensive performance of the shell side of the spiral wound heat exchanger. Appl. Therm. Eng. 2019, 163, 114381. [Google Scholar] [CrossRef]
- Shen, C.; Liu, L.; Xu, Z.; Gu, H.; Liu, M. Influence of helix angle on flow and heat transfer characteristics of lead-bismuth flow in helical-coiled tube bundles. Ann. Nucl. Energy 2023, 180, 109483. [Google Scholar] [CrossRef]
- Shen, C.; Liu, M.; Liu, L.; Xu, Z.; Zeng, C.; Liu, L.; Gu, H. Development of friction factor and heat transfer correlation of liquid metal flow in helical tube bundles. Ann. Nucl. Energy 2024, 201, 110442. [Google Scholar] [CrossRef]
- Jia, J. Numerical Analysis Geometry Parameters on Heat Transfer for Spiral-wound Heat Exchanger. Fluid Mach. 2011, 39, 33–37+13. [Google Scholar] [CrossRef]
- Tang, Q.; Chen, G.; Yang, Z.; Shen, J.; Gong, M. Numerical investigation on gas flow heat transfer and pressure drop in the shell side of spiral-wound heat exchangers. Sci. China Technol. Sci. 2017, 61, 506–515. [Google Scholar] [CrossRef]
- Duan, R.; Jiang, S. Numerical Investigation of Gas Flow Distribution and Thermal Mixing in Helically Coiled Tube Bundle. J. Nucl. Sci. Technol. 2012, 45, 704–711. [Google Scholar] [CrossRef]
- Duan, X.; Wen, J.; Wang, S. Enhanced flow and heat transfer performance of high viscosity fluid in shell side of spiral-winding tube heat exchangers. J. Chem. Eng. Chin. Univ. 2022, 36, 639–646. [Google Scholar]
- Liu, Y.; Kong, Q.; Huang, W.; Li, W. Experimental study for a spiral tube molten salt to helium gas heat exchanger. Acta Energ. Sol. Sin. 2019, 40, 2266–2271. [Google Scholar]
- Qian, J.; Kong, Q.-L.; Zhang, H.-W.; Zhu, Z.-H.; Huang, W.G.; Li, W.H. Experimental study for shell-and-tube molten salt heat exchangers. Appl. Therm. Eng. 2017, 124, 616–623. [Google Scholar] [CrossRef]
- Xue, S.; Zhou, C.; Zou, Y.; Xu, H. Natural circulation characteristics of main loop after shutdown of liquid-fuel molten salt reactor. Nucl. Tech. 2024, 47, 127–136. [Google Scholar] [CrossRef]
- Yang, Z.; Zhao, Z.; Liu, Y.; Chang, Y.; Cao, Z. Convective heat transfer characteristics of high-pressure gas in heat exchanger with membrane helical coils and membrane serpentine tubes. Exp. Therm. Fluid Sci. 2011, 35, 1427–1434. [Google Scholar] [CrossRef]
- Lu, X.; Du, X.; Zhang, S.; Zeng, M.; Wang, Q. Experimental and Numerical Investigation on Shell-side Performance of Multilayer Spiral-Wound Heat Exchangers. In Proceedings of the 16th International Conference on Process Integration, Modelling and Optimisation for Energy Saving and Pollution Reduction (PRES), Rhodes, Greece, 29 September–2 October 2013. [Google Scholar]
- Fan, H.; Li, X.; Wu, X.; Sun, L. Thermal-hydraulic Code Development and Analysis of HTGR Helical Tube Supercritical Steam Generator. At. Energy Sci. Technol. 2022, 56, 2343–2353. [Google Scholar] [CrossRef]
- Gilli, P.V. Heat Transfer and Pressure Drop for Cross Flow Through Banks of Multistart Helical Tubes with Uniform Inclinations and Uniform Longitudinal Pitches. Nucl. Sci. Eng. 1965, 22, 298–314. [Google Scholar] [CrossRef]
- Zhang, X.; Chen, Y.; Wang, J. Engineering application of wrap-round tubular heat exchanger. Large Scale Nitrogenous Fertil. Ind. 2004, 27, 9–11. [Google Scholar] [CrossRef]
- Smith, E.E.M. Advances in Thermal Design of Heat Exchangers; Wiley: Hoboken, NJ, USA, 2005. [Google Scholar]
- Tao, W. Numerical Heat Transfer, 2nd ed.; Xi’an Jiaotong University Press: Xi’an, China, 2001. [Google Scholar]
- Yakhot, V.; Orszag, S.A. Renormalization-Group Analysis of Turbulence. Phys. Rev. Lett. 1986, 57, 1722–1724. [Google Scholar] [CrossRef]
- Department, M.S.C. (Shanghai Institute of Applied Physics, Chinese Academy of Sciences, Shanghai, China). Thermal-Physical Properties of FNaBe Salt. 2025; (Unpublished work). [Google Scholar]
- Idelchik, I.E. Handbook of Hydraulic Resistance, 4th ed.; Revised and Augmented; Begell House: Danbury, CT, USA, 2007. [Google Scholar]
- Yao, F.; Bi, Q.; Dong, X. Convective heat transfer of high temperature molten salt flowing across tube bundles of steam generator in a solar thermal plant. Appl. Therm. Eng. 2018, 141, 858–865. [Google Scholar] [CrossRef]
- Ahn, J.; Sparrow, E.M.; Gorman, J.M. Turbulence intensity effects on heat transfer and fluid-flow for a circular cylinder in crossflow. Int. J. Heat Mass Transfer 2017, 113, 613–621. [Google Scholar] [CrossRef]
- Hunt, J.C.R.; Wray, A.A.; Moin, P. Eddies, stream, and convergence zones in turbulent flows. In Studying Turbulence Using Numerical Simulation Databases; NASA: San Francisco, CA, USA, 1988. [Google Scholar]



























| Author | Medium | Correlations | Applicability | Structure |
|---|---|---|---|---|
| Yang et al. [36] | Helium, nitrogen | Nu = 0.2861 Re0.7217Pr0.85 | 3900 < Re < 3,000,000 | C = 3, Sl/D = 2, Sr/D = 1.6 |
| Messa et al. [12] | Air, water | Nu = cReaPrb, f1 | 400 < Re < 10,000 0.7 < Pr < 7.8 | C = 3 |
| Genic et al. [14] | Water | Nu = 0.5 Re0.55Pr1/3(μ/μw)0.14 | 1000 < Re < 9000 2.6 < Pr < 6.0 | C = 2, 4 |
| Lu et al. [37] | Air | Nu = 0.0193 Re0.816 f = 0.401 Re−0.197 | 1500 < Re < 5500 | C = 3, 1.8 < Sl/D < 2, Sr/D = 2.6 |
| Ghorbani et al. [13] | Water | Nu = 0.0041 Ra0.4533Re0.2Pr0.3 | 120 < Re < 1200 | C = 1, 1.74 < Sl/D < 1.87 |
| Tang et al. [30] | Hydrocarbons | Nu = 0.308 Re0.64Pr0.36(1 + sin α)−1.38 f = 0.435 Re−0.133(sin α)−0.36 | 10,000 < Re < 100,000 | C = 4, Sl/D = 1.66, Sr/D = 1.33 |
| Zeng et al. [18] | Methanol | Nu = 0.1038 Re0.8902C0.2851(Sl/D)−0.5898(1 + B/D)−1.8017(Dshell/Dcore)−0.4501 f = 17.187 Re0.0703C0.1649(Sl/D)−2.5593(1 + B/D)−11.1536(Dshell/Dcore)1638 | 10,000 < Re < 120,000 Pr = 6.88 | 1 < C < 5, 1.8 < Sl/D < 2.9, 1.2 < Sr/D < 1.4 |
| Fan et al. [38] | Helium | Nu = 0.167 Re0.65Pr0.33 f = 0.4 Re−0.06 | 7500 < Re < 46,000 | |
| Abolmaali et al. [24] | Helium | Nu = 0.0417 Re0.869C0.157(Sl/D)−0.149(Sr/D)−1.558 f = 2.2248 Re−0.024C0.174(Sl/D)−0.593(Sr/D)−5.914 | 20,000 < Re < 350,000 | 1 < C < 7, 1.2 < Sl/D < 1.8, 1.25 < Sr/D < 1.5 |
| Shen et al. [27,28] | Liquid metal | Nu = 0.31(ϕ1/d)0.5Pe0.57(cos ε)−(2.5 +1.7) f = (209.8/Re + 0.598/Re0.037)(SrSl/D2)−0.69(cos ε)−(4.2K+3) | 2500 < Re < 120,000 60 < Pe < 3500 | C = 6, 1.4 < Sl/D < 1.6, 1.4 < Sr/D < 1.6, 2° < α < 15° |
| Gilli et al. [39] | Nu = 0.388 FaeffFiFnRe0.61Pr0.33 f = CiCnfeff | 2000 < Re < 40,000 0.1 < Pr < 10 |
| Structural Parameter | Variation Range |
|---|---|
| Number of layers (C) | 2, 3, 4, 5 |
| Tube pitch (S, mm) | 21.0, 22.5, 24.0, 27.0 |
| Helix angle (α, °) | 9.04, 17.66, 25.52, 32.48 |
| Thermal Property | FNaBe | Uncertainty |
|---|---|---|
| Density/kg·m−3 | 2609 − 0.54 (T − 273.15) | ±3% |
| Specific heat at constant pressure/J·(kg·K)−1 | 1202 + 0.52 (T − 273.15) | ±15% |
| Viscosity/Pa·s | 0.0199 − 2.24 (T − 273.15)/100,000 | ±25% |
| Thermal conductivity/W·(m·K)−1 | 0.76 1 | ±25% |
| Mesh Number (104) | ||||
|---|---|---|---|---|
| 268 | 533 | 802 | 990 | |
| Nu | 75.92 | 76.66 | 77.29 | 77.48 |
| f | 0.4737 | 0.4845 | 0.4861 | 0.4869 |
| D (mm) | C | Sl (mm) | Sr (mm) | α (°) |
|---|---|---|---|---|
| 12 | 3 | 13.94 | 15.91 | 7.94 |
Disclaimer/Publisher’s Note: The statements, opinions and data contained in all publications are solely those of the individual author(s) and contributor(s) and not of MDPI and/or the editor(s). MDPI and/or the editor(s) disclaim responsibility for any injury to people or property resulting from any ideas, methods, instructions or products referred to in the content. |
© 2025 by the authors. Licensee MDPI, Basel, Switzerland. This article is an open access article distributed under the terms and conditions of the Creative Commons Attribution (CC BY) license.
Share and Cite
Wang, Y.; Li, Q.-M.; Zou, Y. Numerical Investigation of Heat Transfer and Flow Resistance of Fluoride Salt on Shell Side of Helically Coiled Heat Exchangers. Energies 2026, 19, 90. https://doi.org/10.3390/en19010090
Wang Y, Li Q-M, Zou Y. Numerical Investigation of Heat Transfer and Flow Resistance of Fluoride Salt on Shell Side of Helically Coiled Heat Exchangers. Energies. 2026; 19(1):90. https://doi.org/10.3390/en19010090
Chicago/Turabian StyleWang, Yu, Qi-Ming Li, and Yang Zou. 2026. "Numerical Investigation of Heat Transfer and Flow Resistance of Fluoride Salt on Shell Side of Helically Coiled Heat Exchangers" Energies 19, no. 1: 90. https://doi.org/10.3390/en19010090
APA StyleWang, Y., Li, Q.-M., & Zou, Y. (2026). Numerical Investigation of Heat Transfer and Flow Resistance of Fluoride Salt on Shell Side of Helically Coiled Heat Exchangers. Energies, 19(1), 90. https://doi.org/10.3390/en19010090

