Load Flexibilities from Charging Processes by Electric Vehicles at the Workplace: A Case Study in Southern Germany
Abstract
1. Introduction
- Which charging pattern clusters can be identified form empirical workplace charging patterns for providing a solid basis for providing optimal EVSE portfolios at workplaces?
- Do these empirically derived charging clusters support the predictability of load forecasting and identifying flexibility options for electricity markets?
2. Literature Review
3. Data and Methods
3.1. Empirical Data and Case Study
3.1.1. Data Records
3.1.2. Data Characteristics
3.1.3. Data Processing
| Algorithm 1: State Grouping Algorithm |
| Require: DataFrame with column EVSE_State function IDENTIFY_GROUPS(df) 1. states ← df[‘EVSE_State’] 2. grouped_states ← [ ] 3. current_group ← [ ] 4. for each state in states do 1. if state == ‘A’ then 1. if current_group is not empty then 1. grouped_states.append(current_group) 2. current_group ← [ ] end if else 2. current_group.append(state) end if end for 5. if current_group is not empty then 1. grouped_states.append(current_group) end if 6. return grouped_states end function |
3.1.4. Charging Behavior
3.2. Methods
3.2.1. Gaussian Mixture Model (GMM)
3.2.2. K-Means Clustering
4. Results
4.1. Identified Clusters
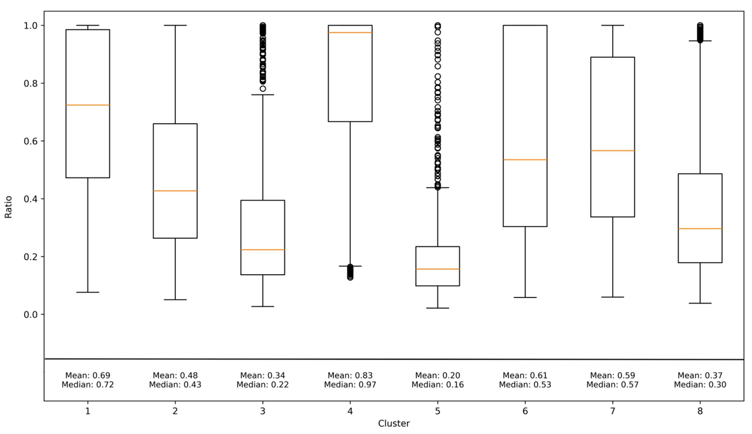
4.2. Charging-to-Parking Ratios Across Clusters
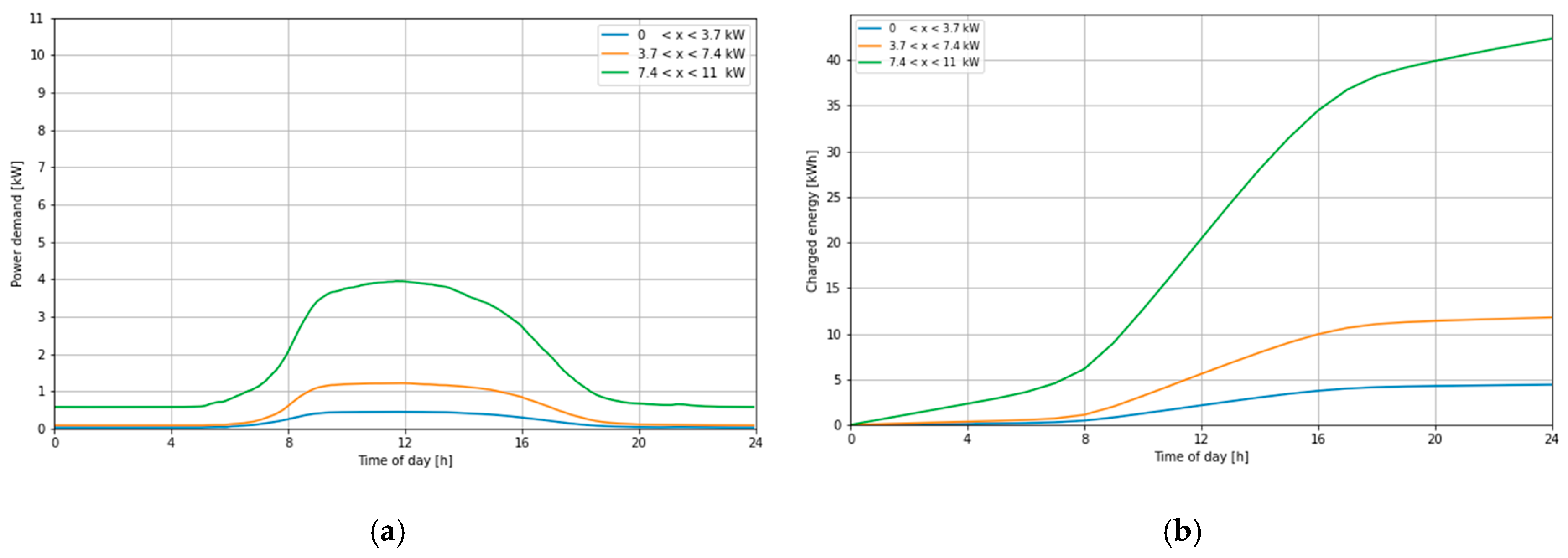
4.3. Potential Usage of Charging Flexibility: Arbitrage in the Wholesale Electricity Market
5. Discussion and Limitations
6. Conclusions
- The employees under consideration can be divided into three main groups: shift workers, part-time workers, and full-time workers. Shift workers are divided into 8 or 12 h shift systems.
- The group of full-time employees and shift workers (early) dominates and contributes mainly to peak power demand due to their typical arrival time and charging behavior.
- The ratio of charging duration to parking duration, across all parking and charging events, is 55%, indicating that parking duration is significantly longer than charging duration.
- A charging point is used, on average, only 1.16 times per day in the context of employee charging.
- During a charging event, an average of 25.03 kWh is consumed.
- The utilization rate and charging power of a charging point play a significant role in the economic efficiency of charging stations.
- First estimates of potential revenues from bidding charging flexibility into electricity markets attract further analyses on V2G applications. Potential uses such as bidirectional charging or market-oriented operation, therefore, represent future research fields rather than validated outcomes of this study, as the underlying flexibility estimates are indicative and derived from an idealized assessment framework.
- Optimization of Charging Infrastructure: Employers should consider optimizing charging infrastructure to accommodate peak charging demands during typical arrival times of employees. This may involve increasing the number of charging stations or implementing smart charging solutions to manage charging load efficiently.
- Tailored Charging Solutions: Employers could offer tailored charging solutions to different user groups based on their charging patterns and requirements. This could include incentives for off-peak charging or reserved charging spaces for employees with longer charging needs, e.g., for Clusters 2, 3, 5, 6, and 8 (i.e., 63% of employers), single-phase charging operation per charging point is sufficient to adequately charge the vehicle. This results in economic potential for the establishment of charging stations while ensuring customer satisfaction.
Author Contributions
Funding
Data Availability Statement
Acknowledgments
Conflicts of Interest
Appendix A
| Mobility in Germany 2016 | German Mobility Panel 2022 | SrV | Mobility Survey of the Federal Environment Agency | |
|---|---|---|---|---|
| Country | GER | GER | GER | GER (Berlin, Dessau-Roßlau, Bad-Elster, Langen, Messstellen) |
| Participants | No age restriction | Persons aged 10 years and older | No age restriction | Employees of the Federal Environment Agency |
| Time period | May 2016 until October 2017 | September 2021 until March 2022 | February 2018 until March 2020 | Between September and October 2017 |
| Survey period | Diary of journeys on a specific date | Route diary for one week (7 days) | Journeys on a specific key date (working day) | Online survey over the measurement period |
| Study design | Cross-sectional study | Longitudinal survey | Cross-sectional study | Cross-sectional study |
| Number of participants | 316,000 | 3906 | 186,832 | 805 |
| Number of trips per day and person | 3.1 | 2.94 | 3.0–3.8 | 1.82 (Commuting—5 day week) |
| Traffic volumes MIV (absolute count) | 1.77 | 1.53 | 0.9–2.34 (2.7–3.4 passenger cars only) | 0.58 |
| Traffic volume (%) MIV | 57% | 52% | 25.9–73.3% | 32.1% |
| Average daily distance per person and day | 39 km | 36 km | 20.4–43.7 km | - |
| Traffic performance MIV | 29 km | 26.6 km | 8.4–37.5 km | - |
| Traffic performance (%) MIV | 75% | 73% | 41.2–90.9% | - |
| Average path length | 12 km | 12.4 km | 5.3–13.7 km (6.4–19.5 km passenger cars only) | - |
| Average distance traveled to work | 16 km | 17 km | 7.3–28.8 km | 33.3 km |
| Activity duration per day | 6 h 12 min | - | - | - |
Appendix B

Appendix C

Appendix D
| Cluster | Mean Parking Start Hours (Decimal Hours) | Mean Parking Duration Hours (Decimal Hours) | Covariance Matrix | Group Size | Cluster Weight |
|---|---|---|---|---|---|
| 1 | 8.23 | 4.83 | [0.9712881 0.1067833] | 7287 | 0.20 |
| [0.1067833 3.04631808] | |||||
| 2 | 7.67 | 8.47 | [1.29978141 −0.23482241] | 17,330 | 0.38 |
| [−0.23482241 1.12172684] | |||||
| 3 | 17.60 | 14.06 | [5.13208749 −5.14764533] | 1174 | 0.03 |
| [−5.14764533 7.19472071] | |||||
| 4 | 13.75 | 2.81 | [6.81292893 −0.36802233] | 3912 | 0.10 |
| [−0.36802233 1.77298274] | |||||
| 5 | 15.72 | 19.97 | [13.36962643 −4.27822762] | 734 | 0.02 |
| [−4.27822762 5.8774549] | |||||
| 6 | 21.13 | 8.54 | [0.04726944 −0.04947566] | 718 | 0.02 |
| [−0.04947566 0.06546445] | |||||
| 7 | 12.33 | 5.50 | [1.32665871 0.47643928] | 2334 | 0.07 |
| [0.47643928 4.3962794] | |||||
| 8 | 7.65 | 10.03 | [1.25573887 −0.90669518] | 3749 | 0.18 |
| [−0.90669518 3.43151423] |
Appendix E

Appendix F
| Symbol | Meaning | Unit |
|---|---|---|
| x | Observation vector containing parking start time and parking duration | [h], [h] |
| K | Number of GMM components (“clusters”) | - |
| Mixture weight of component i | - | |
| Mean vector of component i | [h], [h] | |
| Covariance matrix of component i | [h2] | |
| Multivariate normal distribution of component i | - | |
| Modeled probability density for observation x | - |
| Symbol | Meaning | Unit |
|---|---|---|
| J | Total variance (cost function) to be minimized | [h2] |
| K | Number of clusters | - |
| Data point (parking start time, parking duration) | [h], [h] | |
| Set of data points assigned to cluster j | - | |
| Centroid of cluster j | [h], [h] | |
| Squared distance between data point i and its centroid j | [h2] |
Appendix G
| Cluster | emp_mean_ start [decimal hours] | syn_mean_ start [decimal hours] | emp_mean_ duration [decimal hours] | syn_mean_ duration [decimal hours] | emp_var_start [decimal hours] | syn_var_start [decimal hours] |
|---|---|---|---|---|---|---|
| 1 | 8.231 | 8.231 | 4.827 | 4.776 | 0.971 | 0.993 |
| 2 | 7.674 | 7.680 | 8.468 | 8.487 | 1.300 | 1.304 |
| 3 | 17.599 | 17.572 | 14.065 | 14.073 | 5.132 | 5.174 |
| 4 | 13.754 | 13.669 | 2.815 | 2.793 | 6.813 | 7.307 |
| 5 | 15.719 | 15.625 | 19.975 | 19.909 | 13.370 | 13.341 |
| 6 | 21.131 | 21.127 | 8.544 | 8.551 | 0.047 | 0.047 |
| 7 | 12.327 | 12.306 | 5.505 | 5.399 | 1.327 | 1.310 |
| 8 | 7.649 | 7.597 | 10.027 | 10.108 | 1.256 | 1.490 |
| Cluster | emp_var_duration [decimal hours] | syn_var_duration [decimal hours] | emp_corr | syn_corr | KS_p_start | KS_p_duration |
|---|---|---|---|---|---|---|
| 1 | 3.046 | 3.053 | 0.062 | 0.104 | 0.915 | 0.221 |
| 2 | 1.122 | 1.085 | −0.194 | −0.132 | 0.371 | 0.553 |
| 3 | 7.195 | 7.098 | −0.847 | −0.845 | 0.293 | 0.313 |
| 4 | 1.773 | 1.694 | −0.106 | −0.175 | 0.826 | 0.964 |
| 5 | 5.877 | 6.401 | −0.483 | −0.480 | 0.678 | 0.610 |
| 6 | 0.065 | 0.067 | −0.889 | −0.889 | 0.562 | 0.306 |
| 7 | 4.396 | 4.032 | 0.197 | 0.179 | 0.639 | 0.306 |
| 8 | 3.432 | 3.613 | 0.605 | −0.132 | 0.007 | 0.707 |
References
- Press and Information Office of the Federal Government. Nachhaltige Mobilität. Available online: https://www.bundesregierung.de/breg-de/schwerpunkte/klimaschutz/nachhaltige-mobilitaet-2044132 (accessed on 1 December 2025).
- International Energy Agency. Global EV Outlook 2025. Available online: https://iea.blob.core.windows.net/assets/7ea38b60-3033-42a6-9589-71134f4229f4/GlobalEVOutlook2025.pdf (accessed on 1 December 2025).
- Jochem, P.; Gnann, T.; Anderson, J.E.; Bergfeld, M.; Plötz, P. Where Should Electric Vehicle Users Without Home Charging Charge Their Vehicle? Transp. Res. D Transp. Environ. 2022, 113, 103526. [Google Scholar] [CrossRef]
- Zugehör, D. E-Mobilität BDEW Warnt: 15-Millionen-Ziel Wird Verfehlt; Energate GmbH: Essen, Germany, 2023; p. 1. [Google Scholar]
- Heinen, R.-D. DIW-Studie Ampel-Ziele für E-Autos und Elektrolyseure Weit Entfernt. Available online: https://www.energate-messenger.de/news/238697/ampel-ziele-fuer-e-autos-und-elektrolyseure-weit-entfernt (accessed on 1 December 2025).
- Guo, F.; Yang, J.; Lu, J. The Battery Charging Station Location Problem: Impact of Users’ Range Anxiety and Distance Convenience. Transp. Res. E Logist. Transp. Rev. 2018, 114, 1–18. [Google Scholar] [CrossRef]
- Dong, J.; Liu, C.; Lin, Z. Charging Infrastructure Planning for Promoting Battery Electric Vehicles: An Activity-Based Approach Using Multiday Travel Data. Transp. Res. C Emerg. Technol. 2014, 38, 44–55. [Google Scholar] [CrossRef]
- The National Centre for Charging Infrastructure. Einfach Laden Das Ladeerlebnis als User Journey an Öffentlichen Ladestationen für Elektrofahrzeuge Jetzt und 2025. Available online: https://nationale-leitstelle.de/wp-content/uploads/2020/12/Thesenpapier_Einfach-laden.pdf (accessed on 28 June 2023).
- Nobis, C.; Kuhnimhof, T. Mobilität in Deutschland—MiD Ergebnisbericht; Bundesministers für Verkehr und digitale Infrastruktur: Berlin, Germany, 2018; pp. 1–136. [Google Scholar]
- Schaeuble, J.; Kaschub, T.; Ensslen, A.; Jochem, P.; Fichtner, W. Generating Electric Vehicle Load Profiles from Empirical Data of Three EV Fleets in Southwest Germany. J. Clean. Prod. 2017, 150, 253–266. [Google Scholar] [CrossRef]
- Schücking, M.; Jochem, P.; Fichtner, W.; Wollersheim, O.; Stella, K. Charging Strategies for Economic Operations of Electric Vehicles in Commercial Applications. Transp. Res. D Transp. Environ. 2017, 51, 173–189. [Google Scholar] [CrossRef]
- Märtz, A.; Langenmayr, U.; Ried, S.; Seddig, K.; Jochem, P. Charging Behavior of Electric Vehicles: Temporal Clustering Based on Real-World Data. Energies 2022, 15, 6575. [Google Scholar] [CrossRef]
- Friese, P.A.; Michalk, W.; Fischer, M.; Hardt, C.; Bogenberger, K. Charging Point Usage in Germany—Automated Retrieval, Analysis, and Usage Types Explained. Sustainability 2021, 13, 13046. [Google Scholar] [CrossRef]
- Hecht, C.; Das, S.; Bussar, C.; Sauer, D.U. Representative, Empirical, Real-World Charging Station Usage Characteristics and Data in Germany. eTransportation 2020, 6, 100079. [Google Scholar] [CrossRef]
- Helmus, J.R.; Lees, M.H.; Van Den Hoed, R. A Data Driven Typology of Electric Vehicle User Types and Charging Sessions. Transp. Res. C Emerg. Technol. 2020, 115, 102637. [Google Scholar] [CrossRef]
- Straka, M.; Buzna, L. Clustering Algorithms Applied to Usage Related Segments of Electric Vehicle Charging Stations. Transp. Res. Procedia 2019, 40, 1576–1582. [Google Scholar] [CrossRef]
- Crozier, C.; Apostolopoulou, D.; McCulloch, M. Clustering of Usage Profiles for Electric Vehicle Behaviour Analysis. In Proceedings of the 2018 IEEE PES Innovative Smart Grid Technologies Conference Europe (ISGT-Europe), Sarajevo, Bosnia and Herzegovina, 21–25 October 2018; pp. 1–6. [Google Scholar]
- Flammini, M.G.; Prettico, G.; Julea, A.; Fulli, G.; Mazza, A.; Chicco, G. Statistical Characterisation of the Real Transaction Data Gathered from Electric Vehicle Charging Stations. Electr. Power Syst. Res. 2019, 166, 136–150. [Google Scholar] [CrossRef]
- Wolbertus, R.; Van Den Hoed, R.; Maase, S. Benchmarking Charging Infrastructure Utilization. World Electr. Veh. J. 2016, 8, 754–771. [Google Scholar] [CrossRef]
- Usmani, O.A.; Morales-España, G. ChaProEV: Generating Charging Profiles for Electric Vehicles. SSRN 2025. [Google Scholar] [CrossRef]
- Gaete-Morales, C.; Kramer, H.; Schill, W.-P.; Zerrahn, A. An Open Tool for Creating Battery-Electric Vehicle Time Series from Empirical Data, Emobpy. Sci. Data 2021, 8, 152. [Google Scholar] [CrossRef]
- Pagani, M.; Korosec, W.; Chokani, N.; Abhari, R.S. User Behaviour and Electric Vehicle Charging Infrastructure: An Agent-Based Model Assessment. Appl. Energy 2019, 254, 113680. [Google Scholar] [CrossRef]
- Seddig, K.; Jochem, P.; Fichtner, W. Two-Stage Stochastic Optimization for Cost-Minimal Charging of Electric Vehicles at Public Charging Stations with Photovoltaics. Appl. Energy 2019, 242, 769–781. [Google Scholar] [CrossRef]
- IEC 61851-1; Electric Vehicle Conductive Charging System—Part 1: General Requirements (Publication No. 33644). IEC: Geneva, Switzerland, 2019. Available online: https://webstore.iec.ch/publication/33644 (accessed on 1 December 2025).
- Santoso, H.A.; Haw, S.-C. Improvement of K-Means Clustering Performance on Disease Clustering Using Gaussian Mixture Model. J. Syst. Manag. Sci. 2023, 13, 169–179. [Google Scholar] [CrossRef]
- Patel, E.; Kushwaha, D.S. Clustering Cloud Workloads: K-Means vs Gaussian Mixture Model. Procedia Comput. Sci. 2020, 171, 158–167. [Google Scholar] [CrossRef]
- Shaik, T.; Tao, X.; Li, L.; Higgins, N.; Gururajan, R.; Zhou, X.; Yong, J. Clustered FedStack: Intermediate Global Models with Bayesian Information Criterion. Pattern Recognit. Lett. 2024, 177, 121–127. [Google Scholar] [CrossRef]
- Bonakdari, H.; Zeynoddin, M. Goodness-of-Fit & Precision Criteria. In Stochastic Modeling; Elsevier: Amsterdam, The Netherlands, 2022; pp. 187–264. ISBN 978-0-323-91748-3. [Google Scholar]
- Cordeiro De Amorim, R.; Makarenkov, V. On K-Means Iterations and Gaussian Clusters. Neurocomputing 2023, 553, 126547. [Google Scholar] [CrossRef]
- Federal Motor Transport Authority. Bestand an Kraftfahrzeugen und Kraftfahrzeuganhängern nach Herstellern und Handelsnamen, 1. Januar 2023 (FZ 2). Available online: https://www.kba.de/DE/Statistik/Fahrzeuge/Bestand/MarkenHersteller/marken_hersteller_node.html (accessed on 1 December 2025).
- Ballester, C.; Furió, D. Effects of Renewables on the Stylized Facts of Electricity Prices. Renew. Sustain. Energy Rev. 2015, 52, 1596–1609. [Google Scholar] [CrossRef]
- Rintamäki, T.; Siddiqui, A.S.; Salo, A. Does Renewable Energy Generation Decrease the Volatility of Electricity Prices? An Analysis of Denmark and Germany. Energy Econ. 2017, 62, 270–282. [Google Scholar] [CrossRef]









| Charge_point_id | Time (YYYY-MM-DD HH:MM:SS ± HH:MM) | EVSE_state | Energy Meter Reading [Wh] | Amperes I1 | Amperes I2 | Amperes I3 |
|---|---|---|---|---|---|---|
| 21 | 2023-06-01 00:00:00 + 00:00 | A | 0 | 0 | 0 | 0 |
| 21 | 2023-06-01 00:05:00 + 00:00 | A | 0 | 0 | 0 | 0 |
| 21 | 2023-06-01 00:10:00 + 00:00 | C | 100 | 5 | 0 | 0 |
| 21 | 2023-06-01 00:15:00 + 00:00 | C | 380 | 15 | 0 | 0 |
| 21 | 2023-06-01 00:20:00 + 00:00 | C | 640 | 15 | 0 | 0 |
| 21 | 2023-06-01 00:25:00 + 00:00 | B | 640 | 0 | 0 | 0 |
| 21 | 2023-06-01 00:30:00 + 00:00 | A | 0 | 0 | 0 | 0 |
| Monday | Tuesday | Wednesday | Thursday | Friday | Saturday | Sunday | |
|---|---|---|---|---|---|---|---|
| NWH (Numbers) | 1042 | 1072 | 1076 | 1061 | 826 | 340 | 303 |
| NWH (Share) | 18.22% | 18.74% | 18.81% | 18.55% | 14.44% | 5.94% | 5.30% |
| STU (Numbers) | 2956 | 3712 | 3835 | 3623 | 2097 | 148 | 65 |
| STU (Share) | 17.98% | 22.58% | 23.33% | 22.04% | 12.76% | 0.90% | 0.40% |
| KAR (Numbers) | 2536 | 3654 | 3730 | 3218 | 1736 | 137 | 71 |
| KAR (Share) | 16.81% | 24.23% | 24.73% | 21.34% | 11.51% | 0.91% | 0.47% |
| Holidays in Baden-Württemberg 2023 | 01.01 | 06.01 | 07.04 | 10.04 | 01.05 | 18.05 | 29.05 | 08.06 | 03.10 | 01.11 | 25.12 | 26.12 |
|---|---|---|---|---|---|---|---|---|---|---|---|---|
| NWH | 25 | 22 | 8 | 8 | 11 | 9 | 7 | 6 | 1 | 2 | 3 | 2 |
| STU | 1 | 0 | 3 | 1 | 2 | 1 | 2 | 1 | 1 | 0 | 0 | 0 |
| KAR | 1 | 2 | 3 | 3 | 3 | 4 | 2 | 1 | 2 | 2 | 1 | 1 |
| Charging Power | <3.7 kW | 3.7 ≤ x < 7.4 kW | 7.4 ≤ x < 11 kW |
|---|---|---|---|
| Number | 7988 | 8982 | 20,273 |
| Charging demand [MWh] | 97.55 | 189.52 | 645.28 |
| Share | 21.5% | 24.1% | 54.4% |
| Parking Start Mean | Parking Duration (hh:mm) Mean | Size | Share | Charing Duration (hh:mm) | Energy Charged (kWh) | Description of Main Charging Behavior | |
|---|---|---|---|---|---|---|---|
| Cluster 1 | 8:14 a.m. | 04:50 | 7287 | 20% | 02:59 01:25 02:55 | 22.44 14.16 19.39 | Part-time morning shift (4 h) |
| Cluster 2 | 7:40 a.m. | 08:28 | 17,330 | 38% | 04:04 02:16 03:35 | 27.16 17.30 23.56 | Full-time (9-to-5)/ Morning shift (8 h) |
| Cluster 3 | 5:36 p.m. | 14:04 | 1174 | 3% | 04:28 03:46 03:10 | 28.10 15.48 26.88 | Night shift (12 h)/ Pool vehicles |
| Cluster 4 | 1:45 p.m. | 02:49 | 3912 | 10% | 02:04 01:02 01:55 | 17.42 11.33 14.31 | Part-time late shift (4 h)/ Pool vehicles |
| Cluster 5 | 3:43 p.m. | 19:58 | 734 | 2% | 04:04 02:25 03:10 | 28.85 15.62 27.93 | Pool vehicles/Opportunist |
| Cluster 6 | 9:08 p.m. | 08:33 | 718 | 2% | 05:15 02:54 04:30 | 27.13 15.23 25.16 | Night shift (8 h) |
| Cluster 7 | 12:20 p.m. | 05:30 | 2334 | 7% | 03:29 01:48 03:18 | 27.15 16.26 24.62 | Late shift (8 h)/ Pool vehicles |
| Cluster 8 | 07:39 a.m. | 10:02 | 3749 | 18% | 04:13 02:58 03:25 | 24.76 16.82 21.08 | Day shift (12 h)/ Full-time (12 h) |
| Cluster | 1 | 2 | 3 | 4 | 5 | 6 | 7 | 8 |
|---|---|---|---|---|---|---|---|---|
| Maximum average power [kW] | 5.6 | 5.5 | 4.1 | 3.1 | 3.2 | 6.5 | 6.6 | 5.0 |
| time [h] | 9:30 a.m. | 9:15 a.m. | 6:50 p.m. | 2:50 p.m. | 6:55 p.m. | 9:30 p.m. | 1:30 p.m. | 8:45 a.m. |
Disclaimer/Publisher’s Note: The statements, opinions and data contained in all publications are solely those of the individual author(s) and contributor(s) and not of MDPI and/or the editor(s). MDPI and/or the editor(s) disclaim responsibility for any injury to people or property resulting from any ideas, methods, instructions or products referred to in the content. |
© 2025 by the authors. Licensee MDPI, Basel, Switzerland. This article is an open access article distributed under the terms and conditions of the Creative Commons Attribution (CC BY) license.
Share and Cite
Opoku, R.; Jochem, P. Load Flexibilities from Charging Processes by Electric Vehicles at the Workplace: A Case Study in Southern Germany. Energies 2026, 19, 42. https://doi.org/10.3390/en19010042
Opoku R, Jochem P. Load Flexibilities from Charging Processes by Electric Vehicles at the Workplace: A Case Study in Southern Germany. Energies. 2026; 19(1):42. https://doi.org/10.3390/en19010042
Chicago/Turabian StyleOpoku, Ronald, and Patrick Jochem. 2026. "Load Flexibilities from Charging Processes by Electric Vehicles at the Workplace: A Case Study in Southern Germany" Energies 19, no. 1: 42. https://doi.org/10.3390/en19010042
APA StyleOpoku, R., & Jochem, P. (2026). Load Flexibilities from Charging Processes by Electric Vehicles at the Workplace: A Case Study in Southern Germany. Energies, 19(1), 42. https://doi.org/10.3390/en19010042

