Do Energy Security Crises Accelerate Decarbonisation? The Case of REPowerEU
Abstract
1. Introduction
2. Materials and Methods
2.1. Research Design
2.2. Scope
2.3. Analytical Elements
2.4. Data Sources and Calculations
- Official policy documents, including EU-level legislation and communications as well as National Energy and Climate Plans (NECPs) and non-binding agreements (NBAs) of EU Member States. NECPs and NBAs were retrieved from the European Commission’s website [33,34,35], while EU-level documents were collected via EUR-Lex [32].
- Historical data and projections on renewable energy deployment and fossil fuel consumption—sourced from Eurostat, the European Environment Agency (EEA), the International Energy Agency (IEA), the International Renewable Energy Agency (IRENA), and the Institute for Energy Economics and Financial Analysis (IEEFA).
- Growth rates calculations. We report growth rates as annual changes in shares of renewables in final energy consumption or as annual renewable energy capacity additions. To calculate the annual growth rate, we divide the change in targeted, forecasted, or actual shares/capacity by the number of years between the start and the end year (where the latter may be the target/forecast year and the former the year where the target/forecast was set).
- Media and industry reports, including analyses from Politico, Reuters, Carbon Brief, WindEurope, and SolarPower Europe, published between 2022 and 2025.
2.5. Limitations
3. Results
3.1. Securitisation of Renewables by REPowerEU Is Unprecedented for EU Policy
3.2. REPowerEU Aimed to Accelerate Historical Growth but Only Modestly Increased the Pre-War Targets
3.3. Post-Crisis, the Number of Renewable Policies Increased but Subsidies Declined
3.3.1. Declining Subsidies and the Shift in Policy Focus
3.3.2. Rising Volume and Changing Nature of Policies
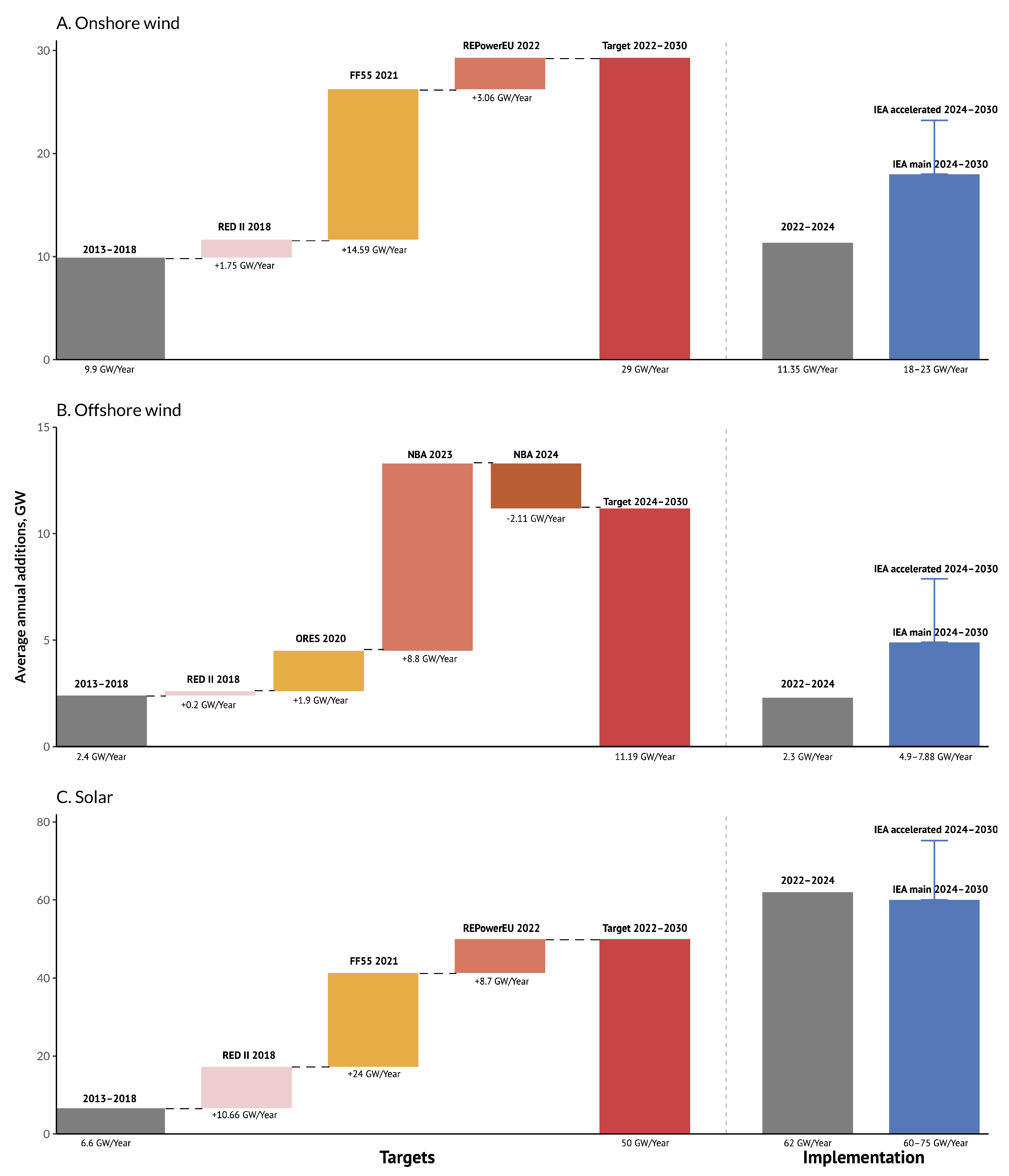
3.4. The Prospects for Achieving the Targets Are Uneven Across Renewable Technologies
3.5. Energy Security Crisis Did Not Affect Trends in Fossil Fuels Except for Gas Despite Increase in Fossil Fuel Expenditures and Subsidies
4. Discussion and Conclusions
4.1. Key Finding: The Energy Security Crisis Has Had Positive, Though Modest and Uneven, Effects on Low-Carbon Transitions in the EU
4.2. Broader Implications for Energy Transitions
4.3. Future Research and Policy Agenda
Author Contributions
Funding
Data Availability Statement
Acknowledgments
Conflicts of Interest
References
- Jewell, J.; Cherp, A.; Riahi, K. Energy security under de-carbonization scenarios: An assessment framework and evaluation under different technology and policy choices. Energy Policy 2014, 65, 743–760. [Google Scholar] [CrossRef]
- Cheon, A.; Urpelainen, J. Escaping Oil’s Stranglehold: When Do States Invest in Energy Security? J. Confl. Resolut. 2014, 59, 0022002713520529. [Google Scholar] [CrossRef]
- Brutschin, E.; Pianta, S.; Tavoni, M.; Riahi, K.; Bosetti, V.; Marangoni, G.; van Ruijven, B.J. A multidimensional feasibility evaluation of low-carbon scenarios. Environ. Res. Lett. 2021, 16, 064069. [Google Scholar] [CrossRef]
- Hecht, G. The Radiance of France Nuclear Power and National Identity After World War II; The MIT Press: Cambridge, MA, USA, 2000. [Google Scholar]
- Jewell, J.; Vinichenko, V.; McCollum, D.; Bauer, N.; Riahi, K.; Aboumahboub, T.; Fricko, O.; Harmsen, M.; Kober, T.; Krey, V.; et al. Comparison and interactions between the long-term pursuit of energy independence and climate policies. Nat. Energy 2016, 1, 16073. [Google Scholar] [CrossRef]
- Oberthür, S.; Dupont, C. The European Union’s international climate leadership: Towards a grand climate strategy? J. Eur. Public Policy 2021, 28, 1095–1114. [Google Scholar] [CrossRef]
- Vinichenko, V.; Jewell, J.; Jacobsson, J.; Cherp, A. Historical diffusion of nuclear, wind and solar power in different national contexts: Implications for climate mitigation pathways. Environ. Res. Lett. 2023, 18, 094066. [Google Scholar] [CrossRef]
- Kemfert, C.; Präger, F.; Braunger, I.; Hoffart, F.M.; Brauers, H. The expansion of natural gas infrastructure puts energy transitions at risk. Nat. Energy 2022, 7, 582–587. [Google Scholar] [CrossRef]
- Council of the European Union. ‘I/A’ Item Note from the General Secretariat of the Council to the Permanent Representatives Committee/Council on the Draft DIRECTIVE OF THE EUROPEAN PARLIAMENT AND OF THE COUNCIL Amending Directive (EU) 2018/2001, Regulation (EU) 2018/1999 and Directive 98/70/EC as Regards the Promotion of Energy from Renewable Sources, and Repealing Council Directive (EU) 2015/652 (First Reading). Doc. 13188/23 ADD 1 REV 3. Brussels, 6 October 2023; Council of the European Union: Brussels, Belgium, 2023. [Google Scholar]
- Sobotta, C. REPowerEU—Rebalancing nature conservation and renewable energies. ERA Forum 2025, 26, 675–689. [Google Scholar] [CrossRef]
- Schramm, L.; Terranova, C. From NGEU to REPowerEU: Policy steering and budgetary innovation in the EU. J. Eur. Integr. 2024, 46, 943–961. [Google Scholar] [CrossRef]
- Kuzemko, C.; Blondeel, M.; Dupont, C.; Brisbois, M.C. Russia’s war on Ukraine, European energy policy responses & implications for sustainable transformations. Energy Res. Soc. Sci. 2022, 93, 102842. [Google Scholar] [CrossRef]
- Chyong, C.; Ah-Voun, D.; Li, C. Potential Implications of the Repowereu Plan on European Energy Security. SSRN Preprint. 2023. [Google Scholar] [CrossRef]
- Vezzoni, R. Green growth for whom, how and why? The REPowerEU Plan and the inconsistencies of European Union energy policy. Energy Res. Soc. Sci. 2023, 101, 103134. [Google Scholar] [CrossRef]
- Osička, J.; Černoch, F. European energy politics after Ukraine: The road ahead. Energy Res. Soc. Sci. 2022, 91, 102757. [Google Scholar] [CrossRef]
- Grubb, M.; Hourcade, J.C.; Neuhoff, K. The Three Domains structure of energy-climate transitions. Technol. Forecast. Soc. Change 2015, 98, 290–302. [Google Scholar] [CrossRef]
- Cherp, A.; Vinichenko, V.; Jewell, J.; Brutschin, E.; Sovacool, B.K. Integrating techno-economic, socio-technical and political perspectives on national energy transitions: A meta-theoretical framework. Energy Res. Soc. Sci. 2018, 37, 175–190. [Google Scholar] [CrossRef]
- Pahle, M.; Burtraw, D.; Flachsland, C.; Kelsey, N.; Biber, E.; Meckling, J.; Edenhofer, O.; Zysman, J. Sequencing to ratchet up climate policy stringency. Nat. Clim. Change 2018, 8, 861–867. [Google Scholar] [CrossRef]
- Edmondson, D.L.; Kern, F.; Rogge, K.S. The co-evolution of policy mixes and socio-technical systems: Towards a conceptual framework of policy mix feedback in sustainability transitions. Res. Policy 2019, 48, 103555. [Google Scholar] [CrossRef]
- Cherp, A.; Vinichenko, V.; Tosun, J.; Gordon, J.A.; Jewell, J. National growth dynamics of wind and solar power compared to the growth required for global climate targets. Nat. Energy 2021, 6, 742–754. [Google Scholar] [CrossRef]
- Kazlou, T.; Cherp, A.; Jewell, J. Feasible deployment of carbon capture and storage and the requirements of climate targets. Nat. Clim. Change 2024, 14, 1047–1055. [Google Scholar] [CrossRef]
- Leipprand, A.; Flachsland, C.; Pahle, M. Starting low, reaching high? Sequencing in EU climate and energy policies. Environ. Innov. Soc. Transitions 2020, 37, 140–155. [Google Scholar] [CrossRef]
- Dupont, C.; Moore, B.; Boasson, E.L.; Gravey, V.; Jordan, A.; Kivimaa, P.; Kulovesi, K.; Kuzemko, C.; Oberthür, S.; Panchuk, D.; et al. Three decades of EU climate policy: Racing toward climate neutrality? Wiley Interdiscip. Rev. Clim. Change 2024, 15, e863. [Google Scholar] [CrossRef]
- Pavlenko, A.; Jewell, J.; Suzuki, M.; Cherp, A. Between Ambition and Feasibility: Changes in the EU Renewable Energy Policy, 1990–2024; European Consortium for Political Research: Thessaloniki, Greece, 2025. [Google Scholar]
- Easton, D. An approach to the analysis of political systems. World Politics 1957, 9, 383–400. [Google Scholar] [CrossRef]
- Creswell, J.W.; Clark, V.L.P. Designing and Conducting Mixed Methods Research, 3rd ed.; SAGE Publications: Thousand Oaks, CA, USA, 2018. [Google Scholar]
- European Commission. Communication from the Commission to the European Parliament, the Council, the European Economic and Social Committee and the Committee of the Regions ’Fit for 55’: Delivering the EU’s 2030 Climate Target on the Way to Climate Neutrality. COM/2021/550 Final of 14.7.2021; European Commission: Brussels, Belgium, 2021. [Google Scholar]
- European Commission. Communication from the Commission to the European Parliament, the European Council, the Council, the European Economic and Social Committee and the Committee of the Regions REPowerEU Plan. COM(2022) 230 Final of 18.05.2022; European Commission: Brussels, Belgium, 2022. [Google Scholar]
- European Parliament; Council of the European Union. Directive (EU) 2023/2413 of the European Parliament and of the Council of 18 October 2023 Amending Directive (EU) 2018/2001, Regulation (EU) 2018/1999 and Directive 98/70/EC as Regards the Promotion of Energy from Renewable Sources, and Repealing Council Directive (EU) 2015/652 PE/36/2023/REV/2; Council of the European Union.: Brussels, Belgium, 2023. [Google Scholar]
- European Commission: Directorate-General for Energy; Trinomics. Energy Investments: Energy Costs, Taxes and the Impact of Government Interventions on Investments: Final Report; Technical Report; Publications Office: Luxembourg, 2020. [Google Scholar]
- European Commission: Directorate-General for Energy. Study on Energy Subsidies and Other Government Interventions in the European Union: 2024 Edition: Final Report; Technical Report; Publications Office of the European Union: Luxembourg, 2025. [Google Scholar]
- European Union. EUR-Lex. Access to European Union Law. European Union. 2025. Available online: https://eur-lex.europa.eu/homepage.html (accessed on 28 November 2025).
- European Commission. National Energy and Climate Plans; European Commission. 2025. Available online: https://commission.europa.eu/energy-climate-change-environment/implementation-eu-countries/energy-and-climate-governance-and-reporting/national-energy-and-climate-plans_en (accessed on 28 November 2025).
- EC Directorate-General for Energy. Member States Agree New Ambition for Expanding Offshore Renewable Energy; EC Directorate-General for Energy. 2023. Available online: https://energy.ec.europa.eu/news/member-states-agree-new-ambition-expanding-offshore-renewable-energy-2023-01-19_en (accessed on 28 November 2025).
- EC Directorate-General for Energy. Member States Agree New Ambition for Expanding Offshore Renewable Energy; EC Directorate-General for Energy. 2024. Available online: https://energy.ec.europa.eu/news/member-states-agree-new-ambition-expanding-offshore-renewable-energy-2024-12-18_en (accessed on 28 November 2025).
- European Commission. REPowerEU: Joint European Action for More Affordable, Secure and Sustainable Energy; European Commission. 2022. Available online: https://ec.europa.eu/commission/presscorner/api/files/document/print/en/ip_22_1511/IP_22_1511_EN.pdf (accessed on 28 November 2025).
- Weise, Z.; Wanat, Z. Commission Plans to Get EU off Russian Gas Before 2030 Politico. 2022. Available online: https://www.politico.eu/article/commission-plan-eu-russia-gas-2030/ (accessed on 28 November 2025).
- European Commission. Communication from the Commission Energy for the Future: Renewable Sources of Energy. White Paper for a Community Strategy and Action Plan. COM(97)599 Final of 26.11.1997; European Commission: Brussels, Belgium, 1997. [Google Scholar]
- European Parliament; Council of the European Union. Directive 2009/28/EC of the European Parliament and of the Council of 23 April 2009 on the Promotion of the Use of Energy from Renewable Sources and Amending and Subsequently Repealing Directives 2001/77/EC and 2003/30/EC (Text with EEA Relevance); Council of the European Union.: Brussels, Belgium, 2009. [Google Scholar]
- European Parliament; Council of the European Union. Directive (EU) 2018/2001 of the European Parliament and of the Council of 11 December 2018 on the Promotion of the Use of Energy from Renewable Sources (Recast); European Commission: Brussels, Belgium, 2018. [Google Scholar]
- European Commission. Communication from the Commission to the European Parliament, the European Council, the Council, the European Economic and Social Committee and the Committee of the Regions The European Green Deal. COM/2019/640 Final of 11.12.2019; European Commission: Brussels, Belgium, 2019. [Google Scholar]
- Cherp, A.; Jewell, J. The concept of energy security: Beyond the four as. Energy Policy 2014, 75, 415–421. [Google Scholar] [CrossRef]
- Vatansever, A.; Goldthau, A.C. The political economy of breaking European dependence on Russian gas. Resour. Policy 2025, 109, 105696. [Google Scholar] [CrossRef]
- Buzan, B. People, States, and Fear. The National Security Problem in International Relations; WHEATSHEAF BOOKS LTD.: Tewkesbury, UK, 1983. [Google Scholar]
- Buzan, B.; Wæver, O.; Wilde, J.d. Security: A New Framework for Analysis; Lynne Rienner Publishers, Inc.: Boulder, CO, USA, 1998. [Google Scholar]
- Buzan, B.; Wæver, O. Regions and Powers: The Structure of International Security; Cambridge University Press: Cambridge, UK, 2003. [Google Scholar]
- European Commission. Communication from the Commission to the European Parliament, the Council, the European Economic and Social Committee and the Committee of the Regions EU Solar Energy Strategy. COM(2022) 221 Final of 18.5.2022; European Commission: Brussels, Belgium, 2022. [Google Scholar]
- European Commission. Communication from the Commission to the European Parliament, the Council, the European Economic and Social Committee and the Committee of the Regions An EU Strategy to Harness the Potential of Offshore Renewable Energy for a Climate Neutral Future. COM/2020/741 Final of 19.11.2020; European Commission: Brussels, Belgium, 2020. [Google Scholar]
- European Commission. Council, the European Economic And Social Committee and the Committee of the Regions Delivering on the EU Offshore Renewable Energy Ambitions. COM(2023) 668 Final of 24.10.2023; European Commission: Brussels, Belgium, 2023. [Google Scholar]
- Council of the European Union. Council Regulation (EU) 2022/2577 of 22 December 2022 Laying down a Framework to Accelerate the Deployment of Renewable Energy; Council of the European Union.: Brussels, Belgium, 2022. [Google Scholar]
- Council of the European Union. Council Regulation (EU) 2024/223 of 22 December 2023 Amending Regulation (EU) 2022/2577 Laying down a Framework to Accelerate the Deployment of Renewable Energy; Council of the European Union.: Brussels, Belgium, 2023. [Google Scholar]
- European Commission. Directorate-General for Internal Market, Industry, European Solar Photovoltaic Industry Alliance; European Commission: Brussels, Belgium, 2025. [Google Scholar]
- European Commission. Communication from the Commission to the European Parliament, the European Council, the Council, the European Economic and Social Committee and the Committee of the Regions European Wind Power Action Plan. COM(2023) 669 Final of 24.10.2023; European Commission: Brussels, Belgium, 2023. [Google Scholar]
- EC Directorate-General for Energy. New Wind Charter and National Wind Pledges Underline Ambition for Wind Power in Europe; EC Directorate-General for Energy. 2023. Available online: https://energy.ec.europa.eu/news/new-wind-charter-and-national-wind-pledges-underline-ambition-wind-power-europe-2023-12-19_en (accessed on 28 November 2025).
- European Commission. Communication from the Commission to the European Parliament, the Council, the European Economic and Social Committee and the Committee of the Regions EU-Wide Assessment of the Final Updated National Energy and Climate Plans Delivering the Union’s 2030 Energy and Climate Objectives. COM(2025) 274 Final of 27.5.2025; European Commission: Brussels, Belgium, 2025. [Google Scholar]
- European Commission. Commission Decides to Refer SWEDEN to the Court of Justice of the European Union in Order to Ensure Accelerated Permitting Procedures for Renewable Energy Installations; European Commission. 2025. Available online: https://ec.europa.eu/commission/presscorner/detail/en/ip_25_2155 (accessed on 27 December 2025).
- European Commission. Joint Statement Between the European Commission and the United States on European Energy Security. Brussels, 25 March 2022; European Commission. 2022. Available online: https://ec.europa.eu/commission/presscorner/api/files/document/print/en/statement_22_2041/STATEMENT_22_2041_EN.pdf (accessed on 27 December 2025).
- IEA. Renewable Energy Progress Tracker; IEA. 2025. Available online: https://www.iea.org/data-and-statistics/data-tools/renewable-energy-progress-tracker (accessed on 27 December 2025).
- SolarPower Europe. EU Market Outlook for Solar Power 2024–2028; Technical Report; SolarPower Europe. 2024. Available online: https://www.solarpowereurope.org/insights/outlooks/eu-market-outlook-for-solar-power-2024-2028/detail (accessed on 27 December 2025).
- SVT. Kommuner Stoppar 78 Procent av Alla Vindkraftverk (Municipalities Stop 78% of All Wind Power Plants). SVT. 2022. Available online: https://www.svt.se/nyheter/inrikes/kommuner-stoppar-78-procent-av-alla-vindkraftverk (accessed on 27 December 2025).
- Gorman, W.; Kemp, J.M.; Rand, J.; Seel, J.; Wiser, R.; Manderlink, N.; Kahrl, F.; Porter, K.; Cotton, W. Grid connection barriers to renewable energy deployment in the United States. Joule 2025, 9, 101791. [Google Scholar] [CrossRef]
- Heptonstall, P.J.; Gross, R.J.K. A systematic review of the costs and impacts of integrating variable renewables into power grids. Nat. Energy 2021, 6, 72–83. [Google Scholar] [CrossRef]
- WindEurope. Wind Energy in Europe 2024. Statistics and the Outlook for 2025–2030; Technical Report. WindEurope. 2025. Available online: https://windeurope.org/data/products/wind-energy-in-europe-2024-statistics-and-the-outlook-for-2025-2030/ (accessed on 27 December 2025).
- Vetier, M.; Vinichenko, V.; Jewell, J.; Pavlenko, A.; Cherp, A. Conceptualising and Measuring Acceleration of Mature Policy-Driven Technologies: The Case of Onshore Wind Power in Europe. SSRN. Available online: https://ssrn.com/abstract=5988136 (accessed on 27 December 2025).
- Strategic Energy Europe. Europe Moves Away from Negative Bidding: Contracts for Difference Take the Lead in Offshore Wind; Strategic Energy Europe. 2025. Available online: https://strategicenergy.eu/europe-moves-away-from-negative-bidding-contracts-for-difference-take-the-lead-in-offshore-wind/ (accessed on 28 November 2025).
- S&P Global. Swedish Government Denies 13 Offshore Wind Permits over Defense Concerns; S&P Global. 2024. Available online: https://www.spglobal.com/energy/en/news-research/latest-news/electric-power/110524-swedish-government-denies-13-offshore-wind-permits-over-defense-concerns (accessed on 28 November 2025).
- Bento, N.; Wilson, C.; Anadon, L.D. Time to get ready: Conceptualizing the temporal and spatial dynamics of formative phases for energy technologies. Energy Policy 2018, 119, 282–293. [Google Scholar] [CrossRef]
- Kazlou, T.; Nacke, L.; Cherp, A.; Pavlenko, A.; Jewell, J. Assessing the Feasible Expansion of Offshore Wind in Europe Through Diffusion Heterogeneity; International Sustainability Transitions: Lisbon, Portugal, 2025. [Google Scholar]
- European Commission. REPowerEU 3 Years on: Commission Takes Stock of Progress to Phase out Russian Fossil Fuels; European Commission. 2025. Available online: https://energy.ec.europa.eu/news/repowereu-3-years-commission-takes-stock-progress-phase-out-russian-fossil-fuels-2025-05-16_en (accessed on 28 November 2025).
- Eurostat. EU Coal Production and Consumption Reach Historical Low; Eurostat. 2025. Available online: https://ec.europa.eu/eurostat/web/products-eurostat-news/w/ddn-20250703-1 (accessed on 28 November 2025).
- Jewell, J.; Vinichenko, V.; Nacke, L.; Cherp, A. Prospects for powering past coal. Nat. Clim. Change 2019, 9, 592–597. [Google Scholar] [CrossRef]
- IEA. Coal 2022. Analysis and Forecast to 2025; Technical report; IEA: Paris, France, 2022. [Google Scholar]
- Beyond Fossil Fuels. Europe’s Coal Exit. Overview of National Coal Phase-Out Commitments; Beyond Fossil Fuels. 2024. Available online: https://beyondfossilfuels.org/wp-content/uploads/2022/01/overview-of-national-coal-phase-out-commitments-13-January-2022.pdf (accessed on 28 November 2025).
- von der Leyen, U. Today We Are Doubling Our Gas Imports from Azerbaijan [Tweet]; Ursula von der Leyen. 2022. Available online: https://x.com/vonderleyen/status/1549008925806268416?s=20&t=E43pufM7YnKynwg2lDkvvQ (accessed on 28 November 2025).
- European Commission. The Baltic Pipe: A Subsea Pipeline to Transport Natural Gas Under the North Sea; European Commission. 2022. Available online: https://cinea.ec.europa.eu/featured-projects/baltic-pipe-subsea-pipeline-transport-natural-gas-under-north-sea_en (accessed on 28 November 2025).
- DEPA International Projects. Interconnecting Pipeline Greece-Bulgaria (IGB); DEPA International Projects. 2022. Available online: https://depa-int.gr/en/greece-bulgaria-igb/ (accessed on 28 November 2025).
- Liboreiro, J. Which EU Countries Have Been Totally or Partially Cut off from Russian Gas? Euronews. 2022. Available online: https://www.euronews.com/my-europe/2022/07/07/which-eu-countries-have-been-totally-or-partially-cut-off-from-russian-gas (accessed on 28 November 2025).
- Institute for Energy Economics and Financial Analysis. Europe’s LNG Buildout Slows Amid Anticipated Decline in Gas Demand; Technical Report; Institute for Energy Economics and Financial Analysis. 2025. Available online: https://ieefa.org/articles/europes-lng-buildout-slows-amid-anticipated-decline-gas-demand (accessed on 28 November 2025).
- Institute for Energy Economics and Financial Analysis. European LNG Tracker; Institute for Energy Economics and Financial Analysis. 2025. Available online: https://ieefa.org/european-lng-tracker (accessed on 28 November 2025).
- Institute for Energy Economics and Financial Analysis. EU Gas Flows Tracker; Institute for Energy Economics and Financial Analysis. 2025. Available online: https://ieefa.org/eu-gas-flows-tracker (accessed on 28 November 2025).
- Reuters. Netherlands, Germany to Jointly Develop New Gas Field in North Sea; Reuters: London, UK, 2022. [Google Scholar]
- Reuters. Germany Backs Cross-Border Gas Agreement with Netherlands; Reuters: London, UK, 2025. [Google Scholar]
- OMV Petrom. Neptun Deep—A stronger Romania. With energy from the Black Sea OMV Petrom. Available online: https://www.omvpetrom.com/en/about-us/what-we-do/our-projects/neptun-deep (accessed on 28 November 2025).
- IEA. Assessing Emissions from LNG Supply and Abatement Options; Technical report; IEA: Paris, France, 2025. [Google Scholar]
- Greenpeace. SOS Black Sea: Greenpeace’s Giant Lifering Demands End to Oil and Gas Drilling. Greenpeace Österreich. Available online: https://greenpeace.at/cee-press-hub/sos-black-sea/ (accessed on 28 November 2025).
- Clean Energy Wire. Germany Agrees to Joint Gas Extraction Project with the Netherlands in Wadden Sea; Clean Energy Wire. 2025. Available online: https://www.cleanenergywire.org/news/germany-agrees-joint-gas-extraction-project-netherlands-wadden-sea (accessed on 27 December 2025).
- Enerdata. European Union Energy Report; Technical Report. 2025. Available online: https://www.enerdata.net/estore/country-profiles/european-union.html (accessed on 27 December 2025).
- Jewell, J.; McCollum, D.; Emmerling, J.; Bertram, C.; Gernaat, D.E.H.J.; Krey, V.; Paroussos, L.; Berger, L.; Fragkiadakis, K.; Keppo, I.; et al. Limited emission reductions from fuel subsidy removal except in energy-exporting regions. Nature 2018, 554, 229–233. [Google Scholar] [CrossRef]
- Eurostat. Natural Gas Price Statistics; Eurostat. 2025. Available online: https://ec.europa.eu/eurostat/statistics-explained/index.php?title=Natural_gas_price_statistics (accessed on 27 December 2025).
- Markard, J.; Geels, F.W.; Raven, R. Challenges in the acceleration of sustainability transitions. Environ. Res. Lett. 2020, 15, 081001. [Google Scholar] [CrossRef]
- Lieberman, E.; Ross, M. Government Responses to Climate Change. World Politics 2024, 77, 1. [Google Scholar] [CrossRef]
- Bersalli, G.; Tröndle, T.; Heckmann, L.; Lilliestam, J. Economic crises as critical junctures for policy and structural changes towards decarbonization—The cases of Spain and Germany. Clim. Policy 2024, 24, 410–427. [Google Scholar] [CrossRef]
- Patterson; James, J. Backlash to Climate Policy. Glob. Environ. Politics 2023, 23, 68–90. [Google Scholar] [CrossRef]
- Bocquillon, P. Climate and Energy Transitions in Times of Environmental Backlash? The European Union ‘Green Deal’ From Adoption to Implementation. JCMS J. Common Mark. Stud. 2024, 62, 124–134. [Google Scholar] [CrossRef]
- Pavlenko, A. Political Limits to Green Energy Transitions: Lessons from 30 Years of EU Renewable Energy Policy; Sciences Po, Centre for European Studies and Comparative Politics (CEE) and Institute for Environmental Transformations: Paris, France, 2025. [Google Scholar]
- Lockwood, M. Right-wing populism and the climate change agenda: Exploring the linkages. Environ. Politics 2018, 27, 712–732. [Google Scholar] [CrossRef]
- Schulze, K. Policy Characteristics, Electoral Cycles, and the Partisan Politics of Climate Change. Glob. Environ. Politics 2021, 21, 44–72. [Google Scholar] [CrossRef]
- Politico. Bears, Cars and Angry Farmers Fuel Green Backlash. A 28-Country Guide to How Climate Policies Are Splitting Europe; Politico. 2024. Available online: https://www.politico.eu/article/bears-cars-angry-farmers-fuel-green-deal-backlash-eu-agenda-european-commission-ursula-von-der-leyen/ (accessed on 28 November 2025).



Disclaimer/Publisher’s Note: The statements, opinions and data contained in all publications are solely those of the individual author(s) and contributor(s) and not of MDPI and/or the editor(s). MDPI and/or the editor(s) disclaim responsibility for any injury to people or property resulting from any ideas, methods, instructions or products referred to in the content. |
© 2025 by the authors. Licensee MDPI, Basel, Switzerland. This article is an open access article distributed under the terms and conditions of the Creative Commons Attribution (CC BY) license.
Share and Cite
Pavlenko, A.; Cherp, A. Do Energy Security Crises Accelerate Decarbonisation? The Case of REPowerEU. Energies 2026, 19, 200. https://doi.org/10.3390/en19010200
Pavlenko A, Cherp A. Do Energy Security Crises Accelerate Decarbonisation? The Case of REPowerEU. Energies. 2026; 19(1):200. https://doi.org/10.3390/en19010200
Chicago/Turabian StylePavlenko, Anastasia, and Aleh Cherp. 2026. "Do Energy Security Crises Accelerate Decarbonisation? The Case of REPowerEU" Energies 19, no. 1: 200. https://doi.org/10.3390/en19010200
APA StylePavlenko, A., & Cherp, A. (2026). Do Energy Security Crises Accelerate Decarbonisation? The Case of REPowerEU. Energies, 19(1), 200. https://doi.org/10.3390/en19010200

