Optimization of Isolated Microgrid Sizing Considering the Trade-Off Between Costs and Power Supply Reliability
Abstract
1. Introduction
2. Cost-Supply Interruption Trade-Off Method
2.1. Simulation Methodology—Isolated Microgrid Topology and Microgrid Management
2.2. Optimization Methodology—NSGA-II
2.3. Optimization Methodology—Objective Functions
2.3.1. Microgrid Cost
- : equipment index (1 for photovoltaic panels, 2 for wind turbines, 3 for batteries, 4 for hydrogen tank, 5 for electrolyzer, and 6 for fuel cells).
- : years of microgrid use.
- : useful life of the microgrid.
- : instant of analysis of the energy balance in hours.
- : total hours of the annual energy balance (8760 h)
- : nominal capacity of the equipment with index k that constitutes the microgrid.
2.3.2. Interruption Hours
- : load power at instant t;
- : available generated and stored power.
2.4. Optimization Methodology—Constraints
- : available power of equipment k, at instant t;
- : converter efficiency;
- : temperature coefficient of a photovoltaic module;
- : temperature at instant t;
- : nominal temperature (25 °C);
- : irradiance at instant t;
- : nominal irradiance;
- : wind turbine efficiency;
- : wind speed at instant t;
- : cut-in wind speed of the wind turbine;
- : cut-off wind speed of the wind turbine;
- : nominal operating wind speed of the wind turbine.
3. Case Studies
3.1. Loads and Locations—Fictitious Microgrid
3.2. Loads and Locations—Real Microgrids
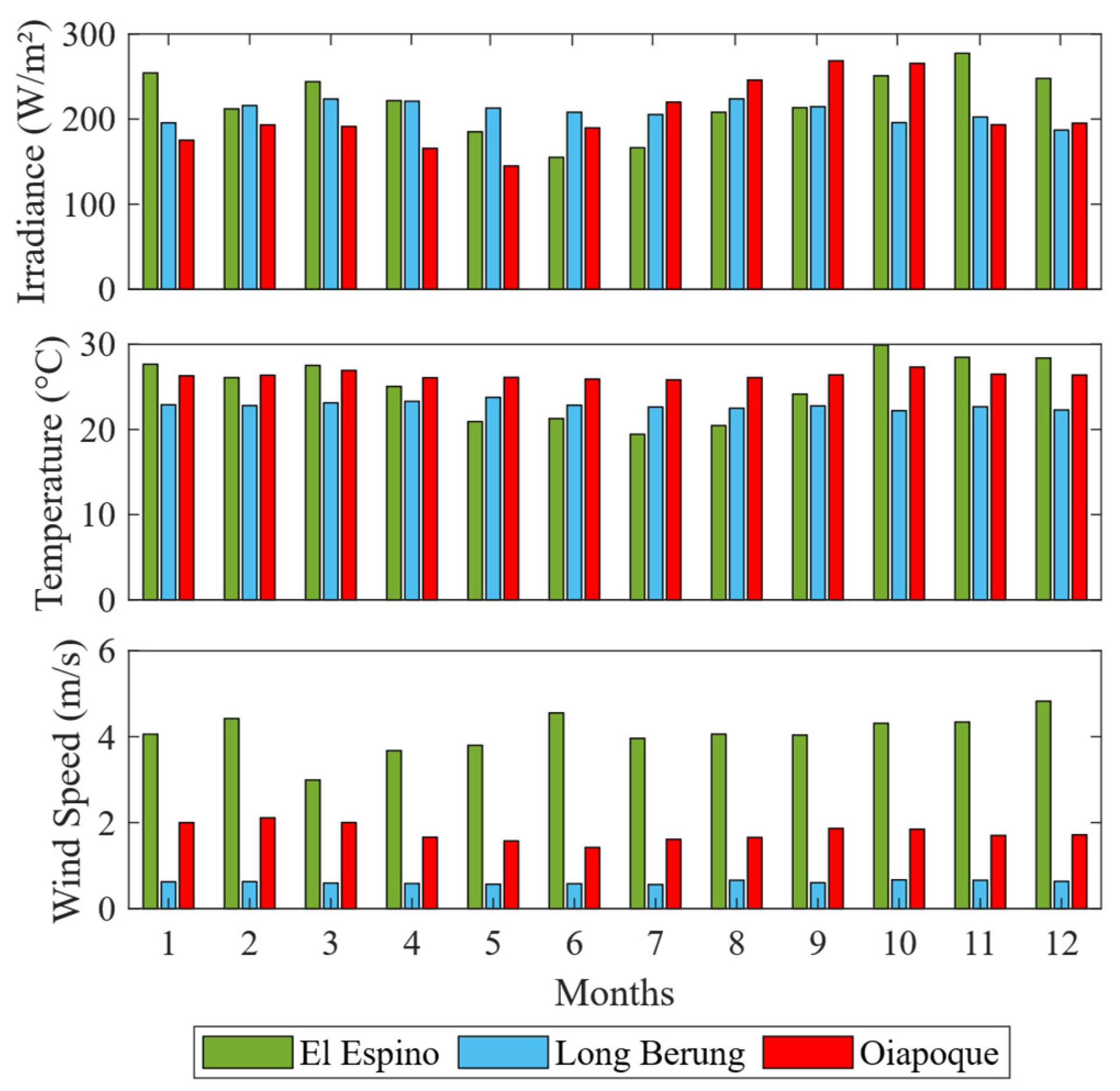
3.2.1. Oiapoque, Brazil
3.2.2. El Espino, Bolivia
3.2.3. Long Berung, Malaysia
3.3. Simulation Data
4. Results
4.1. Results Comparisons
4.2. Pareto Frontiers: Cost Versus Possible Interruption Hours
4.3. Load Growth Rates
4.4. Hydrogen Equipment Costs
5. Conclusions
Author Contributions
Funding
Data Availability Statement
Conflicts of Interest
Abbreviations
| AC | Alternating Current |
| BESS | Battery Energy Storage System |
| BFE | Stochastic Fractal Search |
| CSITM | Cost-Supply Interruption Trade-off Method |
| DC | Direct Current |
| DE | Differential Evolution |
| ELE | Electrolyzer |
| FC | Fuel Cell |
| GA | Genetic Algorithm |
| GH2 | Green hydrogen |
| GPOA | Gradient Pelican Optimization Algorithm |
| HS | Harmonic Search |
| H2 Tank | Hydrogen tank |
| Inv | Initial Investment |
| IT | Interruption hours |
| LCOE | Levelized Cost of Energy |
| LOLH | Loss of Load Hours |
| LPSP | Loss of Power Supply Probability |
| MFO | Moth–Flame Optimizer |
| MILP | Mixed-Integer Linear Programming |
| NASA | National Aeronautics and Space Administration |
| NPV | Net Present Value |
| NREL | National Renewable Energy Laboratory |
| NSGA-II | Non-dominated Sorting Genetic Algorithm II |
| O&M | Operation and Maintenance |
| POWER | Prediction Of Worldwide Energy Resources |
| PSO | Particle Swarm Optimization |
| PV | Photovoltaic |
| Rep | Replacement Costs |
| SOS | Symbiotic Organisms Search |
| TA-MaEA | Two-Archive Many-objective Evolutionary Algorithm |
| WOA | Whale Optimization Algorithm |
| WT | Wind Turbine |
References
- Karamov, D.N.; Ilyushin, P.V.; Suslov, K.V. Electrification of Rural Remote Areas Using Renewable Energy Sources: Literature Review. Energies 2022, 15, 5881. [Google Scholar] [CrossRef]
- Jeyaprabha, S.B.; Milanović, J.V. Probabilistic Techno-Economic Design of Isolated Microgrid. IEEE Trans. Power Syst. 2023, 38, 5267–5277. [Google Scholar] [CrossRef]
- Picioroaga, I.; Luca, M.; Tudose, A.; Sidea, D.; Eremia, M.; Bulac, C. Resilience-Driven Optimal Sizing of Energy Storage Systems in Remote Microgrids. Sustainability 2023, 15, 16002. [Google Scholar] [CrossRef]
- Barbosa, M.O.; Peyerl, D.; Mendes, A.B. The Economic and Environmental Benefits of Adopting Natural Gas in Isolated Systems of Amazonas State, Brazil. Environ. Dev. 2023, 47, 100889. [Google Scholar] [CrossRef]
- Barbosa, L.T.; Vasconcelos, S.D.; Rosas, P.A.C.; Castro, J.F.C.; Barbosa, D.C.P. Assessment of Green Hydrogen as Energy Supply Alternative for Isolated Power Systems and Microgrids. Energies 2024, 17, 4774. [Google Scholar] [CrossRef]
- Marocco, P.; Ferrero, D.; Gandiglio, M.; Ortiz, M.M.; Sundseth, K.; Lanzini, A.; Santarelli, M. A Study of the Techno-Economic Feasibility of H2-Based Energy Storage Systems in Remote Areas. Energy Convers. Manag. 2020, 211, 112768. [Google Scholar] [CrossRef]
- Quispe, J.C.; Obispo, A.E.; Alcantara, F.J. Economic Feasibility Assessment of Microgrids with Renewable Energy Sources in Peruvian Rural Areas. Clean Technol. Environ. Policy 2024, 26, 1415–1438. [Google Scholar] [CrossRef]
- Pesantes, L.A.; Hidalgo-Leon, R.; Rengifo, J.; Torres, M.; Aragundi, J.; Cordova-Garcia, J.; Ugarte, L.F. Optimal Design of Hybrid Microgrid in Isolated Communities of Ecuador. J. Mod. Power Syst. Clean Energy 2024, 12, 488–499. [Google Scholar] [CrossRef]
- Kassab, F.A.; Celik, B.; Locment, F.; Sechilariu, M.; Liaquat, S.; Hansen, T.M. Optimal Sizing and Energy Management of a Microgrid: A Joint MILP Approach for Minimization of Energy Cost and Carbon Emission. Renew. Energy 2024, 224, 120186. [Google Scholar] [CrossRef]
- Zhu, X.; Ruan, G.; Geng, H.; Liu, H.; Bai, M.; Peng, C. Multi-Objective Sizing Optimization Method of Microgrid Considering Cost and Carbon Emissions. IEEE Trans. Ind. Appl. 2024, 60, 5565–5576. [Google Scholar] [CrossRef]
- Yadav, S.; Kumar, P.; Kumar, A. Excess Energy Management and Techno-Economic Analysis of Optimal Designed Isolated Microgrid with Reliability and Environmental Aspects. Energy Convers. Manag. 2025, 333, 119772. [Google Scholar] [CrossRef]
- Roberts, J.J. Otimização de Sistemas Híbridos de Geração de Energia Solar-Eólico-Diesel Através de Métodos Metaheurísticos e Função Multiobjetivos. Ph.D. Thesis, Universidade Estadual Paulista, Guaratinguetá, Brazil, 2016. [Google Scholar]
- Li, B.; Roche, R.; Paire, D.; Miraoui, A. Sizing of a stand-alone microgrid considering electric power, cooling/heating, hydrogen loads and hydrogen storage degradation. Appl. Energy 2017, 205, 1244–1259. [Google Scholar] [CrossRef]
- Qolipour, M.; Mostafaeipour, A.; Tousi, O.M. Techno-economic feasibility of a photovoltaic-wind power plant construction for electric and hydrogen production: A case study. Renew. Sustain. Energy Rev. 2017, 78, 113–123. [Google Scholar] [CrossRef]
- Singh, A.; Baredar, P.; Gupta, B. Techno-economic feasibility analysis of hydrogen fuel cell and solar photovoltaic hybrid renewable energy system for academic research building. Energy Convers. Manag. 2017, 145, 398–414. [Google Scholar] [CrossRef]
- Gökçek, M.; Kale, C. Techno-economical evaluation of a hydrogen refuelling station powered by wind-pv hybrid power system: A case study for İzmir-çeşme. Int. J. Hydrogen Energy 2018, 43, 10615–10625. [Google Scholar] [CrossRef]
- Luta, D.N.; Raji, A.K. Decision-making between a grid extension and a rural renewable off-grid system with hydrogen generation. Int. J. Hydrogen Energy 2018, 43, 9535–9548. [Google Scholar] [CrossRef]
- Abdin, Z.; Mérida, W. Hybrid energy systems for off-grid power supply and hydrogen production based on renewable energy: A techno-economic analysis. Energy Convers. Manag. 2019, 196, 1068–1079. [Google Scholar] [CrossRef]
- Diab, A.A.Z.; Sultan, H.M.; Mohamed, I.S.; Kuznetsov, O.N.; Do, T.D. Application of different optimization algorithms for optimal sizing of pv/wind/diesel/battery storage stand-alone hybrid microgrid. IEEE Access 2019, 7, 119223–119245. [Google Scholar] [CrossRef]
- Bandyopadhyay, S.; Mouli, G.R.C.; Qin, Z.; Elizondo, L.R.; Bauer, P. Techno-economical model based optimal sizing of pv-battery systems for microgrids. IEEE Trans. Sustain. Energy 2020, 11, 1657–1668. [Google Scholar] [CrossRef]
- Cano, A.; Arevalo, P.; Jurado, F. Energy analysis and techno-economic assessment of a hybrid pv/hkt/bat system using biomass gasifier: Cuenca-ecuador case study. Energy 2020, 202, 117727. [Google Scholar] [CrossRef]
- Cao, B.; Dong, W.; Lv, Z.; Gu, Y.; Singh, S.; Kumar, P. Hybrid microgrid many-objective sizing optimization with fuzzy decision. IEEE Trans. Fuzzy Syst. 2020, 28, 2702–2710. [Google Scholar] [CrossRef]
- Jahangir, M.H.; Fakouriyan, S.; Rad, M.A.V.; Dehghan, H. Feasibility study of on/off grid large-scale pv/wt/wec hybrid energy system in coastal cities: A case-based research. Renew. Energy 2020, 162, 2075–2095. [Google Scholar] [CrossRef]
- Rad, M.A.V.; Ghasempour, R.; Rahdan, P.; Mousavi, S.; Arastounia, M. Techno-economic analysis of a hybrid power system based on the cost-effective hydrogen production method for rural electrification, a case study in Iran. Energy 2020, 190, 116421. [Google Scholar] [CrossRef]
- Ishraque, M.F.; Shezan, S.A.; Rashid, M.M.; Bhadra, A.B.; Hossain, M.A.; Chakrabortty, R.K.; Ryan, M.J.; Fahim, S.R.; Sarker, S.K.; Das, S.K. Techno-economic and power system optimization of a renewable rich islanded microgrid considering different dispatch strategies. IEEE Access 2021, 9, 77325–77340. [Google Scholar] [CrossRef]
- Babaei, R.; Ting, D.S.-K.; Carriveau, R. Optimization of hydrogen-producing sustainable island microgrids. Int. J. Hydrogen Energy 2022, 47, 14375–14392. [Google Scholar] [CrossRef]
- Hakimi, S.M.; Hasankhani, A.; Shafie-Khah, M.; Lotfi, M.; Catalão, J.P.S. Optimal sizing of renewable energy systems in a microgrid considering electricity market interaction and reliability analysis. Electr. Power Syst. Res. 2022, 203, 107678. [Google Scholar] [CrossRef]
- Alluraiah, N.C.; Vijayapriya, P. Optimization, design, and feasibility analysis of a grid integrated hybrid ac/dc microgrid system for rural electrification. IEEE Access 2023, 11, 67013–67029. [Google Scholar] [CrossRef]
- Kamal, M.M.; Ashraf, I.; Fernandez, E. Optimal sizing of standalone rural microgrid for sustainable electrification with renewable energy resources. Sustain. Cities Soc. 2023, 88, 104298. [Google Scholar] [CrossRef]
- Adedoja, O.S.; Sadiku, E.R.; Hamam, Y. A techno-economic assessment of the viability of a photovoltaic-wind-battery storage-hydrogen energy system for electrifying primary healthcare centre in sub-saharan africa. Energy Convers. Manag. X 2024, 23, 100643. [Google Scholar] [CrossRef]
- Bacha, B.; Ghodbane, H.; Dahmani, H.; Betka, A.; Toumi, A.; Chouder, A. Optimal sizing of a hybrid microgrid system using solar, wind, diesel, and battery energy storage to alleviate energy poverty in a rural area of Biskra, Algeria. J. Energy Storage 2024, 84, 110651. [Google Scholar] [CrossRef]
- El-Sattar, H.A.; Hassan, M.H.; Vera, D.; Jurado, F.; Kamel, S. Maximizing hybrid microgrid system performance: A comparative analysis and optimization using a gradient pelican algorithm. Renew. Energy 2024, 227, 120480. [Google Scholar] [CrossRef]
- Hussain, S.; Sharma, S.K.; Lal, S. Feasible synergy between hybrid solar pv and wind system for energy supply of a green building in kota (india): A case study using ihoga. Energy Convers. Manag. 2024, 315, 118783. [Google Scholar] [CrossRef]
- Oyewole, O.; Nwulu, N.; Okampo, E.J. Multi-objective optimal sizing and design of renewable and diesel-based autonomous microgrids with hydrogen storage considering economic, environmental, and social uncertainties. Renew. Energy 2024, 231, 120987. [Google Scholar] [CrossRef]
- Raza, A.; Chen, Y.; Li, M.; Abouzeid, S.I.; Abdelhameed, E.H. Feasibility and optimal size analysis of off grid hybrid ac-dc microgrid system: Case study of El Kharga Oasis, Egypt. J. Energy Storage 2024, 97, 101127. [Google Scholar] [CrossRef]
- Rowe, K.; Mokryani, G.; Cooke, K.; Campean, F.; Chambers, T. Bi-level optimal sizing, siting and operation of utility-scale multi-energy storage system to reduce power losses with peer-to-peer trading in an electricity/heat/gas integrated network. J. Energy Storage 2024, 83, 110609. [Google Scholar] [CrossRef]
- Sun, X.; He, H.; Ma, L. Harmony search meta-heuristic algorithm based on the optimal sizing of wind-battery hybrid micro-grid power system with different battery technologies. J. Energy Storage 2024, 75, 109312. [Google Scholar] [CrossRef]
- Ahmed, F.; Zhu, S.; Yu, G.; Luo, E. A Potent Numerical Model Coupled with Multi-Objective NSGA-II Algorithm for the Optimal Design of Stirling Engine. Energy 2022, 247, 123468. [Google Scholar] [CrossRef]
- Deb, K.; Agrawal, S.; Pratap, A.; Meyarivan, T. A Fast Elitist Non-Dominated Sorting Genetic Algorithm for Multi-Objective Optimization: NSGA-II. In Proceedings of the 6th International Conference on Parallel Problem Solving from Nature (PPSN VI), Paris, France, 18–20 September 2000; pp. 849–858. [Google Scholar]
- Deb, K.; Pratap, A.; Agarwal, S.; Meyarivan, T. A Fast and Elitist Multiobjective Genetic Algorithm: NSGA-II. IEEE Trans. Evol. Comput. 2002, 6, 182–197. [Google Scholar] [CrossRef]
- NASA. Prediction of Worldwide Energy Resources (POWER). 2025. Available online: https://power.larc.nasa.gov/ (accessed on 15 October 2025).
- de Sá Leitão, A.H.; Rosas, P.A.C.; Júnior, G.L.M.; Cunha, M.; Giribola, N. Economic Load Dispatch in Brazilian Isolated Electricity System: A Case Study of Oiapoque. Renew. Energy 2025, 245, 122695. [Google Scholar] [CrossRef]
- Lorenzoni, L.; Cherubini, P.; Fioriti, D.; Poli, D.; Micangeli, A.; Giglioli, R. Classification and Modeling of Load Profiles of Isolated Mini-Grids in Developing Countries: A Data-Driven Approach. Energy Sustain. Dev. 2020, 59, 208–225. [Google Scholar] [CrossRef]
- Wong, S.Y.; Chai, A. An Off-Grid Solar System for Rural Village in Malaysia. In Proceedings of the 2012 Asia-Pacific Power and Energy Engineering Conference, Shanghai, China, 27–29 March 2012; pp. 1–4. [Google Scholar]
- Artaş, S.B.; Kocaman, E.; Bilgiç, H.H.; Tutumlu, H.; Yağlı, H.; Yumrutaş, R. Why PV Panels Must Be Recycled at the End of Their Economic Life Span? A Case Study on Recycling Together with the Global Situation. Process Saf. Environ. Prot. 2023, 174, 63–78. [Google Scholar] [CrossRef]
- Delaney, E.L.; Leahy, P.G.; McKinley, J.M.; Gentry, T.R.; Nagle, A.J.; Elberling, J.; Bank, L.C. Sustainability Implications of Current Approaches to End-of-Life of Wind Turbine Blades—A Review. Sustainability 2023, 15, 12557. [Google Scholar] [CrossRef]
- Akinyele, D.; Olabode, E.; Amole, A. Review of Fuel Cell Technologies and Applications for Sustainable Microgrid Systems. Inventions 2020, 5, 42. [Google Scholar] [CrossRef]
- Tomić, A.Z.; Pivac, I.; Barbir, F. A Review of Testing Procedures for Proton Exchange Membrane Electrolyzer Degradation. J. Power Sources 2023, 557, 232569. [Google Scholar] [CrossRef]
- Li, R.; Bao, L.; Chen, L.; Zha, C.; Dong, J.; Qi, N.; Tang, R.; Lu, Y.; Wang, M.; Huang, R.; et al. Accelerated Aging of Lithium-Ion Batteries: Bridging Battery Aging Analysis and Operational Lifetime Prediction. Sci. Bull. 2023, 68, 3055–3079. [Google Scholar] [CrossRef]
- Fazelpour, F.; Soltani, N.; Rosen, M.A. Economic Analysis of Standalone Hybrid Energy Systems for Application in Tehran, Iran. Int. J. Hydrogen Energy 2016, 41, 7732–7743. [Google Scholar] [CrossRef]
- Zine, Y.; Benmouna, A.; Becherif, M.; Hissel, D. Towards Maximum Efficiency of an Open-Cathode PEM Fuel Cell System: A Comparative Experimental Demonstration. Int. J. Hydrogen Energy 2024, 86, 72–85. [Google Scholar] [CrossRef]
- Virah-Sawmy, D.; Beck, F.J.; Sturmberg, B. Ignore Variability, Overestimate Hydrogen Production–Quantifying the Effects of Electrolyzer Efficiency Curves on Hydrogen Production from Renewable Energy Sources. Int. J. Hydrogen Energy 2024, 72, 49–59. [Google Scholar] [CrossRef]
- Li, H.; Wang, Y.; Yu, H.; Zhang, H.; Ding, Y.; Wang, P. Hidden Markov Jump System Based Robust Control of Inverter-Fed Power Systems with Asynchronous Sliding Mode Observer. IEEE Trans. Ind. Electron. 2025, in press. [Google Scholar]












| Ref. | Equipment | Grid | Optimization | Objective |
|---|---|---|---|---|
| [12] | PV, WT, BESS, Diesel | Isolated | GA | Cost min. and reliability max. |
| [13] | PV, FC, BESS, H2 Tank, ELE | Connected | MILP | Cost min. |
| [14] | PV, FC, WT, BESS, H2 Tank, ELE, Diesel | Connected | HOMER | Economic viability |
| [15] | PV, FC, BESS, H2 Tank, ELE | Isolated | HOMER | Cost min. |
| [16] | PV, WT, FC, H2 Tank, ELE | Isolated | HOMER | Cost min. |
| [17] | PV, WT, BESS, FC, H2 Tank, ELE | Connected | HOMER | Cost min. |
| [18] | PV, WT, BESS, Diesel | Isolated | HOMER | Cost min. |
| [19] | PV & BESS | Isolated | WOA, WSE, PSO, MFO | Cost min. and reliability max. |
| [20] | PV, BESS, Hydrokinetic | Isolated | PSO | Cost min. |
| [21] | PV, WT, BESS, Diesel | Connected | HOMER | Cost min., CO2 min. and reliability max. |
| [22] | PV, WT, BESS, Diesel, Tidal | Isolated & Connected | TA-MaEA | Cost min. |
| Ref. | Equipment | Grid | Optimization | Objective |
|---|---|---|---|---|
| [9] | PV & BESS | Connected | MILP | Cost min. and CO2 min. |
| [23] | PV, WT, BESS, FC, H2 Tank, ELE, Biogas | Connected | HOMER | Cost min. |
| [24] | PV, WT, BESS, Diesel | Isolated | HOMER | Cost min. and CO2 min. |
| [25] | PV, WT, BESS, FC, H2 Tank, ELE | Isolated | HOMER | Cost min. |
| [26] | PV, WT, FC, H2 Tank, ELE | Isolated | HOMER | Cost min. |
| [27] | PV, WT, FC, H2 Tank, ELE | Connected | Equations | Cost min. and reliability max. |
| [28] | PV, WT, H2 Tank, ELE, Diesel | Connected | HOMER | Cost min. and CO2 min. |
| [29] | PV, WT, BESS, Biomass, Hydro, Biogas | Isolated | PSO, GA, DE | Cost min. |
| [30] | PV, WT, BESS, FC, H2 Tank, ELE | Isolated | HOMER | Cost min. |
| [31] | PV, WT, BESS, Diesel | Isolated | PSO, SOS, BFE | Cost min. and energy access max. |
| [32] | PV, BESS, Biomass, Diesel | Isolated | GPOA | Efficiency max. |
| [33] | PV, WT, BESS | Isolated | iHOGA | Cost min. |
| [34] | PV, WT, FC, H2 Tank, ELE, Diesel | Isolated | MILP | Cost, CO2 min. and energy access max. |
| [35] | PV, WT, BESS, Diesel | Isolated | HOMER | Cost min. and CO2 min. |
| [36] | WT, BESS, FC, ELE, H2 Tank | Isolated | MILP | Cost min. |
| [37] | WT & BESS | Isolated | HS | Cost min. and reliability max. |
| Month | Gain Factor | Justification |
|---|---|---|
| January | 1.15 | Summer peak |
| February | 1.12 | Summer, consumption is still high with air conditioning |
| March | 1.05 | Transition to autumn, milder temperatures |
| April | 0.95 | Autumn, low consumption |
| May | 0.9 | Consumption valley, mild temperatures before the cold |
| June | 1.15 | Beginning of winter, significant increase due to heaters |
| July | 1.2 | Peak of the year, intense use of showers and heaters |
| August | 1.18 | Harsh winter, consumption remains very high |
| September | 0.98 | Transition to spring, consumption starts to drop |
| October | 1 | Pleasant temperatures |
| November | 1.02 | Spring, heat starts to increase the air conditioning load |
| December | 1.1 | Beginning of summer, end-of-year holidays and heat |
| Parameters | Value per Load | ||
|---|---|---|---|
| Oiapoque | Osório/El Espino | Long Berung | |
| Max. and min. PV panels (kW) | 0–90,000 | 0–300 | 0–30 |
| Max. and min. wind turbine (kW) | 0–90,000 | 0–300 | 0–30 |
| Max. and min. FC (kW) | 0–30,000 | 0–100 | 0–10 |
| Max. and min. electrolyzer (kW) | 0–30,000 | 0–100 | 0–10 |
| Max. and min. BESS (kWh) | 0–300,000 | 0–1000 | 0–100 |
| Max. and min. H2 tank (kg) | 0–60,000 | 0–200 | 0–20 |
| Useful lives [45,46,47,48,49,50] | |||
| Microgrid | 20 years | ||
| Photovoltaic panel | 25 years | ||
| Wind turbine | 20 years | ||
| FC | 20,000 h | ||
| Electrolyzer | 30,000 h | ||
| BESS | 15 years | ||
| Tank | 25 years | ||
| Converter | 15 years | ||
| Efficiencies (%) [51,52] | |||
| FC | 50 | ||
| Electrolyzer | 60 | ||
| Converter | 97 | ||
| Units cost [26,34] | |||
| WT installation (USD/kW) | 1000 | ||
| WT O&M (USD/year.kW) | 20 | ||
| WT replacement (USD/kW) | 1000 | ||
| PV installation (USD/kW) | 2000 | ||
| PV O&M (USD/year.kW) | 50 | ||
| PV replacement (USD/kW) | 2000 | ||
| Electrolyzer installation (USD/kW) | 1500 | ||
| Electrolyzer O&M (USD/year) | 20 | ||
| Electrolyzer replacement (USD/kW) | 1500 | ||
| H2 tank installation (USD/kg) | 665 | ||
| H2 tank O&M (USD/year.kg) | 10 | ||
| H2 tank replacement (USD/kg) | 400 | ||
| FC installation (USD/kW) | 3000 | ||
| FC O&M (USD/op/h) | 0.02 | ||
| FC replacement (USD/kW) | 2500 | ||
| BESS installation (USD/kW) | 200 | ||
| BESS O&M (USD/year.kW) | 10 | ||
| BESS replacement (USD/kW) | 180 | ||
| Converter installation (USD/kW) | 625 | ||
| Converter O&M (USD/year.kW) | 10 | ||
| Converter replacement (USD/kW) | 625 | ||
| General variables | |||
| Inflation rate (%) | 10.5 | ||
| Temperature coefficient (%) | −0.43 | ||
| Battery self-discharge | 6% per month | ||
| (m/s) | 3 | ||
| (m/s) | 25 | ||
| Nominal wind speed (m/s) | 14 | ||
| Osório | Oiapoque | El Espino | Long Berung | ||
|---|---|---|---|---|---|
| Total costs (USD) | CSITM | 755.12 k | 144.9 M | 315.364 k | 2637.4 |
| HOMER | 847 k | 170.5 M | 323.59 k | 3023.81 | |
| PV Panels (kW) | CSITM | 59 | 29,500 | 56 | 0.325 |
| HOMER | 95 | 29,512 | 52.3 | 0.245 | |
| WT (kW) | CSITM | 155 | 0 | 0 | 0 |
| HOMER | 177 | 3809 | 72 | 0 | |
| Fuel Cell (kW) | CSITM | 60 | 6000 | 20 | 0 |
| HOMER | 60 | 0 | 0 | 0 | |
| Electrolyzer (kW) | CSITM | 45 | 12,000 | 25 | 0 |
| HOMER | 40 | 0 | 0 | 0 | |
| BESS (kWh) | CSITM | 245 | 73,000 | 175 | 1.7 |
| HOMER | 434 | 250,000 | 250 | 5 | |
| H2 Tank (kg) | CSITM | 110 | 27,624 | 37 | 0 |
| HOMER | 68 | 0 | 0 | 0 |
| Osório | Oiapoque | El Espino | Long Berung | ||
|---|---|---|---|---|---|
| Total costs (USD) | Highest Cost | 755.12 k | 149.9 M | 315.364 k | 2637.4 |
| Intermediate | 698.97 k | 137.413 M | 291.687 k | 1745.52 | |
| Highest interruption | 622.42 k | 129.1 M | 266.085 k | 1683.82 | |
| PV Panels (kW) | Highest Cost | 59 | 29,500 | 56 | 0.325 |
| Intermediate | 53 | 30,000 | 74 | 0.315 | |
| Highest interruption | 57 | 35,000 | 71 | 0.3 | |
| WT (kW) | Highest Cost | 154 | 0 | 0 | 0 |
| Intermediate | 163 | 0 | 0 | 0 | |
| Highest interruption | 168 | 0 | 0 | 0 | |
| Fuel Cell (kW) | Highest Cost | 60 | 6000 | 20 | 0 |
| Intermediate | 42 | 6000 | 0 | 0 | |
| Highest interruption | 35 | 0 | 0 | 0 | |
| Electrolyzer (kW) | Highest Cost | 45 | 12,000 | 25 | 0 |
| Intermediate | 38 | 10,000 | 0 | 0 | |
| Highest interruption | 25 | 0 | 0 | 0 | |
| BESS (kWh) | Highest Cost | 245 | 73,000 | 175 | 1.7 |
| Intermediate | 258 | 73,000 | 341 | 1.16 | |
| Highest interruption | 276 | 12,700 | 279 | 1.16 | |
| H2 Tank (kg) | Highest Cost | 110 | 27,624 | 37 | 0 |
| Intermediate | 84 | 9481 | 0 | 0 | |
| Highest interruption | 46 | 0 | 0 | 0 |
| Location | LGR 0% | LGR 2% | LGR 5% |
|---|---|---|---|
| Osório | 755.12 k | 1.18 M | 2.05 M |
| Oiapoque | 149.9 M | 225.1 M | 387.5 M |
| El Espino | 315.36 k | 453.27 k | 810.5 k |
| Long Berung | 2637 | 2905 | 4486 |
| Location | 50% H2 | 100% H2 | 150% H2 |
|---|---|---|---|
| Osório | 598.72 k | 755.12 k | 1.73 M |
| Oiapoque | 118.9 M | 149.9 M | 177.5 M |
| El Espino | 242.05 k | 315.36 k | 343.5 k |
| Long Berung | 2637 | 2637 | 2637 |
Disclaimer/Publisher’s Note: The statements, opinions and data contained in all publications are solely those of the individual author(s) and contributor(s) and not of MDPI and/or the editor(s). MDPI and/or the editor(s) disclaim responsibility for any injury to people or property resulting from any ideas, methods, instructions or products referred to in the content. |
© 2025 by the authors. Licensee MDPI, Basel, Switzerland. This article is an open access article distributed under the terms and conditions of the Creative Commons Attribution (CC BY) license.
Share and Cite
Ramos, C.; Marchesan, G.; Cardoso, G., Jr.; Dal Forno, I.; Mroginski, T.P.; Araújo, O.; Costa, W.; Gadelha, R.; Batista, V.; Leão, A.P.; et al. Optimization of Isolated Microgrid Sizing Considering the Trade-Off Between Costs and Power Supply Reliability. Energies 2026, 19, 195. https://doi.org/10.3390/en19010195
Ramos C, Marchesan G, Cardoso G Jr., Dal Forno I, Mroginski TP, Araújo O, Costa W, Gadelha R, Batista V, Leão AP, et al. Optimization of Isolated Microgrid Sizing Considering the Trade-Off Between Costs and Power Supply Reliability. Energies. 2026; 19(1):195. https://doi.org/10.3390/en19010195
Chicago/Turabian StyleRamos, Caison, Gustavo Marchesan, Ghendy Cardoso, Jr., Igor Dal Forno, Tiago Pitol Mroginski, Olinto Araújo, Welisson Costa, Rodrigo Gadelha, Vitor Batista, André P. Leão, and et al. 2026. "Optimization of Isolated Microgrid Sizing Considering the Trade-Off Between Costs and Power Supply Reliability" Energies 19, no. 1: 195. https://doi.org/10.3390/en19010195
APA StyleRamos, C., Marchesan, G., Cardoso, G., Jr., Dal Forno, I., Mroginski, T. P., Araújo, O., Costa, W., Gadelha, R., Batista, V., Leão, A. P., Vieira, J. P., de Campos, E., Barroso, C., & Resener, M. (2026). Optimization of Isolated Microgrid Sizing Considering the Trade-Off Between Costs and Power Supply Reliability. Energies, 19(1), 195. https://doi.org/10.3390/en19010195

