SOC Balancing Scheme of Microgrid Lithium Battery Energy Storage System Considering SOH
Abstract
1. Introduction
- The scheme proposed in this article further optimizes the SOC balance factor while achieving SOC balancing, reducing the SOH balancing difference, and overcoming the disadvantage of traditional SOC balance schemes that cannot reduce the SOH balancing difference.
- The proposed solution in this article addresses the limitation that traditional SOH balancing schemes cannot balance SOC, further extending the service life of lithium batteries.
- The proposed scheme in this article considers the impact of the balancing factor on frequency during the design process, ensuring that there is no frequency offset phenomenon in the SOC balancing process.
2. Estimation of SOC and SOH of LBESS
3. Mechanism Analysis of Droop Control for Regulating SOC and SOH
4. SOC Balancing Scheme of Microgrid LBESS Considering SOH
5. Analysis of System Small Signal Model
6. Simulation and Verification of the Proposed Scheme Under Multiple Work Conditions
6.1. Simulation Analysis of SOC Balancing Control Scheme Based on Droop Control
6.2. Analysis of SOC Balancing Control Scheme Based on Distributed Control
6.3. Analysis of SOH Balancing Control Scheme Based on Droop Control
6.4. Analysis of SOC Balancing Scheme Considering SOH
6.5. Different Load Work Conditions
6.6. Simulation Analysis of Parallel Operation of Multiple LBESS
6.7. Comparative Analysis Between Different Schemes
6.8. Simulation Verification of the Proposed Scheme During the Charging Process
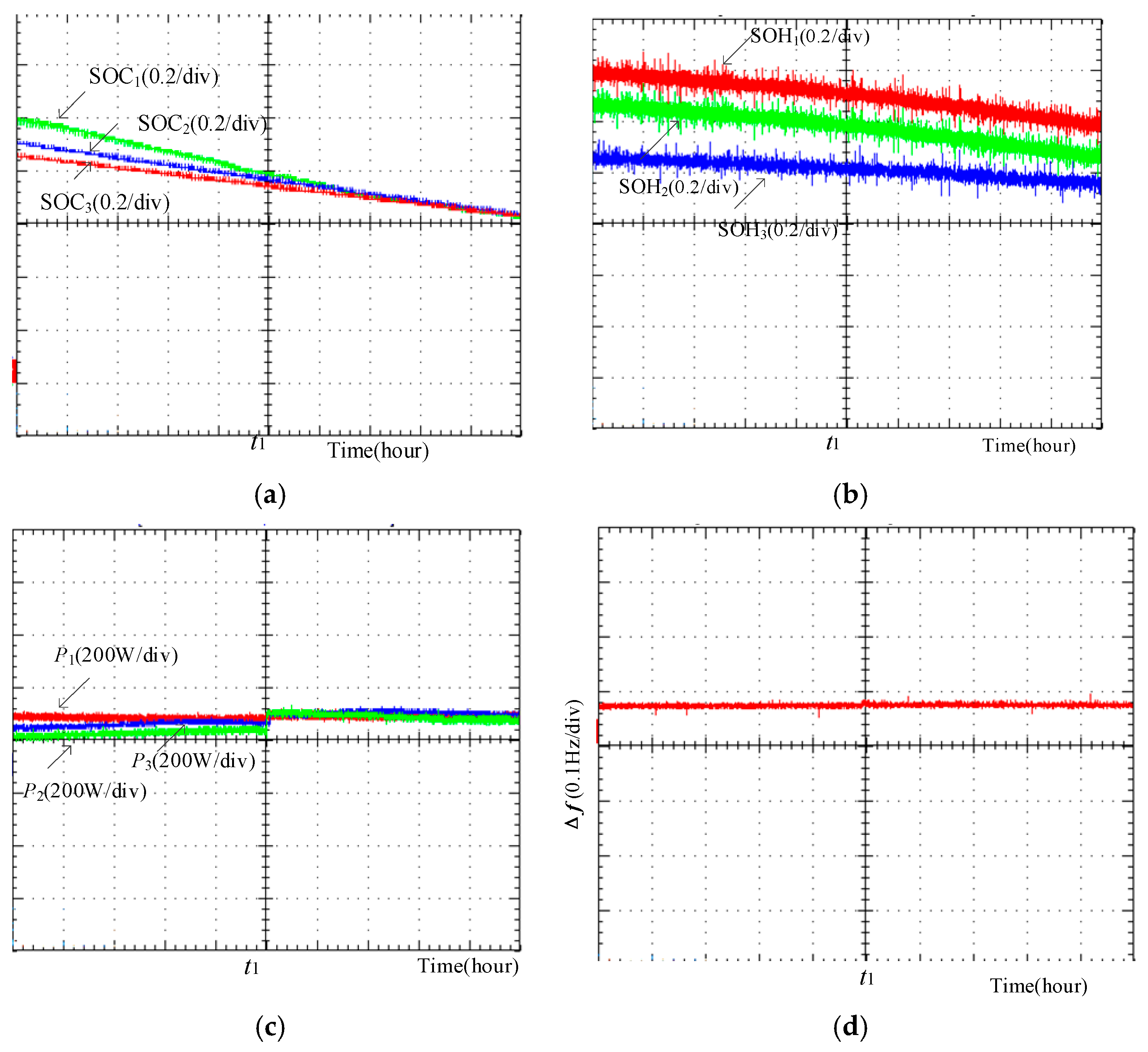
7. Experimental and Verification of the Proposed Scheme Under Multiple Work Conditions
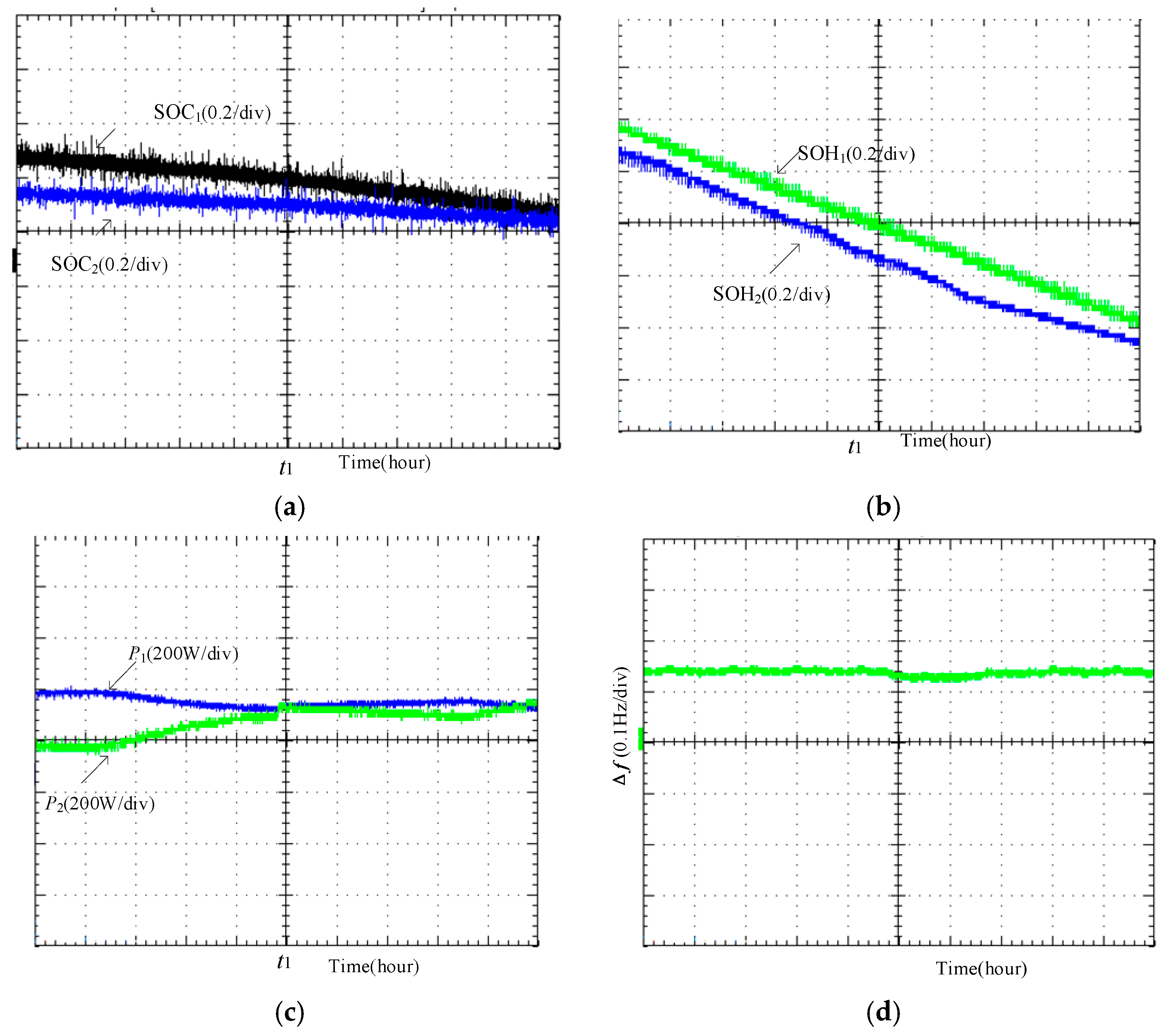
7.1. Experimental Analysis of SOC Balancing Control Scheme Based on Droop Control
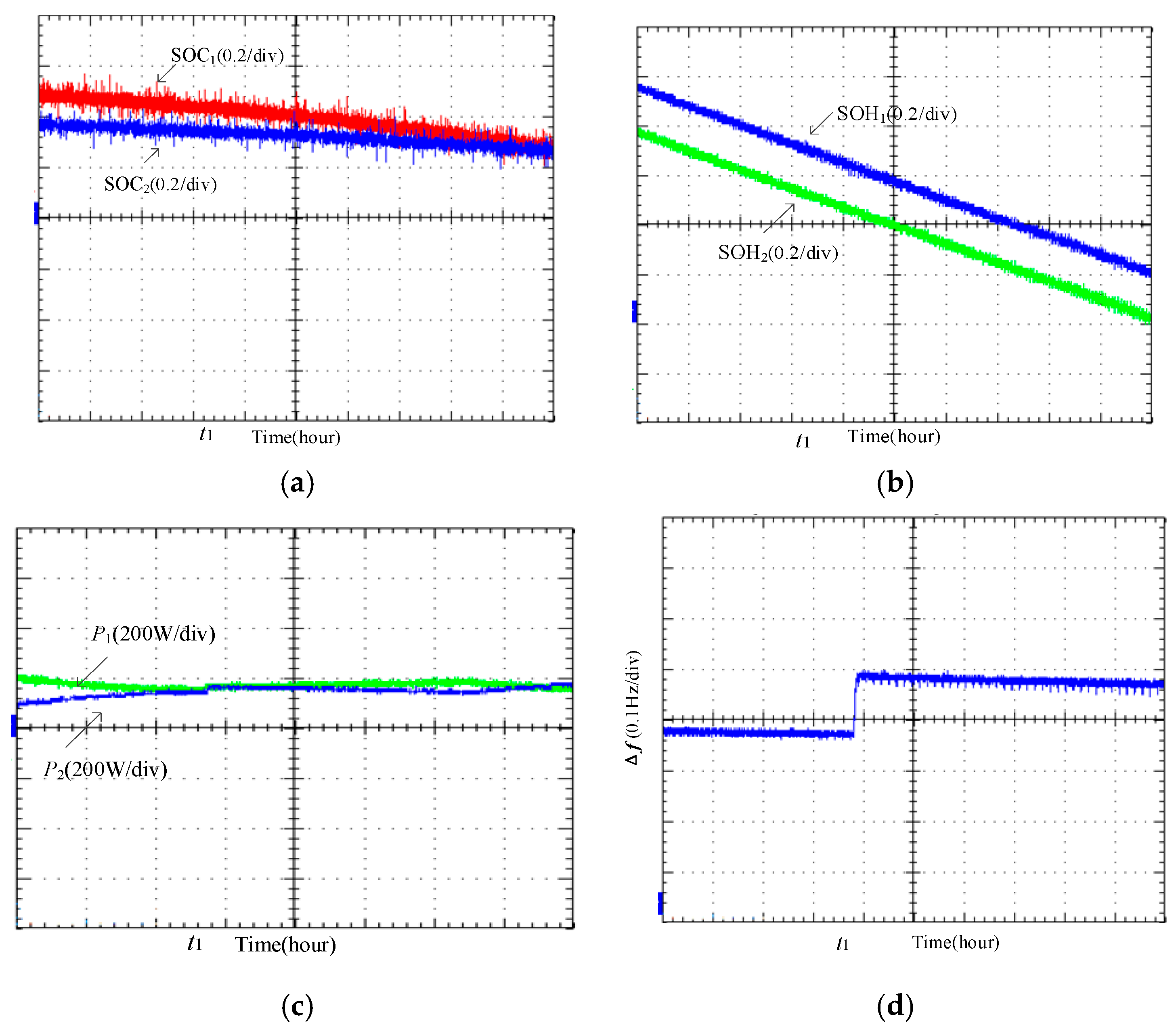
7.2. The Proposed Control Scheme with Load Changes
7.3. Experimental Analysis of Parallel Operation of Multiple LBESS
8. Conclusions
- The proposed solution adjusts the active power of LBESS inverters based on the SOH and SOC states. It not only achieves SOC balancing but also reduces the SOH balancing errors, thereby overcoming the limitations associated with large SOH balancing discrepancies in traditional P-f droop control and SOC balancing strategies.
- The SOC balancing factors and HSF of the proposed solution gradually decrease during the SOC balancing process. After SOC balancing, the SOC balancing factors and HSF reduce to 0, thereby avoiding frequency deviation issues.
- The proposed solution is applicable to medium- and high-voltage microgrid energy storage systems with centralized controllers. Under the normal operation of central control and good communication conditions, the best control effect can be achieved.
Author Contributions
Funding
Data Availability Statement
Conflicts of Interest
References
- Pan, T.; Li, C.; Jin, X.; Meng, Z.; Cai, X. Energy storage capacity configuration and scheduling method for microgrid considering demand response. Energies 2025, 18, 5167. [Google Scholar] [CrossRef]
- Tewari, C.; Rawat, K.S.; Yoon, S.; Jung, Y.C. Polymer-Based electrolytes for organic batteries. Energies 2025, 18, 5168. [Google Scholar] [CrossRef]
- Wang, X.; Zhu, H.; Luo, X.; Guan, X. Data-Driven-Based detection and localization framework against false data injection attacks in DC microgrids. IEEE Internet Things J. 2025, 12, 36079–36093. [Google Scholar] [CrossRef]
- Wang, X.; Zhu, H.; Luo, X.; Chang, S.; Guan, X. A novel optimal dispatch strategy for hybrid energy ship power system based on the improved NSGA-II algorithm. Electr. Power Syst. Res. 2024, 232, 110385. [Google Scholar] [CrossRef]
- Chang, X.Y.; Li, R.P.; Wang, Y.T.; Zhai, M.J.; Cai, J.H. A two-stage soc balancing control strategy for distributed energy storage systems in dc microgrids based on improved droop control. J. Electr. Eng. Technol. 2024, 19, 3891–3905. [Google Scholar] [CrossRef]
- Wang, X.; Li, R.; Luo, X.; Guan, X. Improved differential mutation aquila optimizer-based optimization dispatching strategy for hybrid energy ship power system. IEEE Trans. Transp. Electrif 2025, 11, 12667–12683. [Google Scholar] [CrossRef]
- Ma, Z.; Gao, F.; Gu, X.; Li, N.; Wang, X.L. Multilayer SOH equalization scheme for mmc battery energy storage system. IEEE Trans. Power Electron. 2020, 35, 13514–13527. [Google Scholar] [CrossRef]
- Lu, X.N.; Sun, K.; Guerrero, J.M.; Vasquez, J.C.; Huang, L.P. Double-Quadrant state-of-charge-based droop control method for distributed energy storage systems in autonomous DC microgrids. IEEE Trans. Smart Grid 2015, 6, 147–157. [Google Scholar] [CrossRef]
- Sun, X.F.; Hao, Y.C.; Wu, Q.F. A multifunctional and wireless droop control for distributed energy storage units in islanded AC microgrid applications. IEEE Trans. Power Electron. 2017, 32, 736–751. [Google Scholar] [CrossRef]
- Fan, M.S.; Geng, M.M.; Yang, M.J.; Liu, H. State of health estimation of lithium-ion battery based on electrochemical impedance spectroscopy. Energies 2023, 16, 3393. [Google Scholar] [CrossRef]
- Hoang, K.D.; Lee, H.H. Accurate power sharing with balanced battery state of charge in distributed DC microgrid. IEEE Trans. Ind. Electron. 2019, 66, 1883–1893. [Google Scholar] [CrossRef]
- Li, P.; Zhang, C.; Yuan, R.; Kan, Z.; Chen, Y. Load current sharing method of distributed energy storage systems by improved SOC drooping control. Proc. CSEE 2017, 37, 3746–3754. [Google Scholar] [CrossRef]
- Guan, Y.; Meng, L.; Li, C.; Vasquez, J.C.; Guerrero, J.M. A dynamic consensus algorithm to adjust virtual impedance loops for discharge rate balancing of AC microgrid energy storage units. IEEE Trans. Smart Grid 2018, 9, 4847–4860. [Google Scholar] [CrossRef]
- Wu, Q.F.; Chu, X.L.; Fan, Y.M.; Liu, L.Q.; Sun, X.F. Consistency algorithm-based SOC balancing scheme of retired non-equal capacity lithium battery in virtual synchronous generator controlled microgrids. IEEE Access 2025, 13, 9073–9088. [Google Scholar] [CrossRef]
- Barresi, M.; De Simone, D.; Piegari, L. Direct state-of-charge balancing control for modular multilevel converter integrating batteries. IEEE J. Emerg. Sel. Top. Power Electron. 2025, 13, 733–746. [Google Scholar] [CrossRef]
- Bi, K.; Zhang, S.; Zhu, Y. An improved SOC balancing strategy for HVDC modular energy storage system based on low bandwidth communication with enhanced current regulation accuracy. IEEE Trans. Energ. Convers. 2021, 36, 3355–3364. [Google Scholar] [CrossRef]
- Cao, Y.; Abu Qahouq, J.A. Hierarchical SOC balancing controller for battery energy storage system. IEEE Trans. Ind. Electron. 2021, 68, 10. [Google Scholar] [CrossRef]
- Cheng, C.Z.; Xu, C.; Dai, K.; Huang, Y.S.; Pan, F. Three-level balancing control for battery state-of-charge based on MMC-LBESS. Power Syst. Prot. 2021, 49, 100–108. [Google Scholar] [CrossRef]
- Li, N.; Gao, F.; Hao, T. SOH balancing control method for the MMC battery energy storage system. IEEE Trans. Ind. Electron. 2018, 65, 6581–6591. [Google Scholar] [CrossRef]
- Liu, B.; Wu, T.; Liu, Z. A small-AC-signal injection-based decentralized secondary frequency control for droop-controlled Islanded Microgrids. IEEE Trans. Power Electron. 2020, 35, 11634–11651. [Google Scholar] [CrossRef]
- Ling, Y.; Li, Y.; Yang, Z.; Xiang, J. A dispatchable droop control method for distributed generators in islanded AC microgrids. IEEE Trans. Ind. Electron. 2021, 68, 8356–8366. [Google Scholar] [CrossRef]
- Wang, C.; Zhang, Q.; Han, L. A Novel Construction Method and Control Strategy of Modular Battery Energy Storage Systems Based on Improved Droop Control. IEEE Trans. Power Electron. 2025, 40, 11490–11508. [Google Scholar] [CrossRef]
- Zhang, Y.; Jing, S.; Wei, Y.; Li, T.; Huang, Z. A dynamic power balancing method for aircraft battery packs based on fuzzy droop control. IEEE J. Emerg. Sel. Top. Power Electron. 2025, 13, 4598–4606. [Google Scholar] [CrossRef]
- Sun, P.; Pinthurat, W.; Li, G.; Khalid, M.; Town, G.E.; Konstantinou, G. Adaptive droop control in VSC-based MT-MVDC distribution systems considering ESS participation. IEEE Trans. Energy Convers. 2025, 40, 761–772. [Google Scholar] [CrossRef]
- Tran, A.T.; Huynh, V.V.; Shim, J.W.; Lim, C.P. Optimized sliding mode frequency controller for power systems integrated energy storage system with droop control. IEEE Access 2025, 13, 43749–43766. [Google Scholar] [CrossRef]
- Ouoba, S.V.; Houari, A.; Machmoum, M. A resilient control for distributed energy storage units in an islanded ac microgrid. IEEE J. Emerg. Sel. Top. Power Electron. 2024, 12, 1446–1455. [Google Scholar] [CrossRef]
- Wu, Q.F.; Yang, K.Y.; Yu, S.J.; Liu, L.Q. Active SOH cooperative control scheme of micogrid energy storage systems based on no-communication. Acta Energi. Solaris Sin. 2023, 44, 40–47. [Google Scholar] [CrossRef]
















| Item | Symbol | Nominal Value |
|---|---|---|
| Filter cut-off frequency | ωc | 120 rad/s |
| Initial Phase Difference | θ | 0.25 rad |
| Line Impedance | X | 1.5 Ω |
| Capacity of DESU | Qrated | 100 Ah |
| Droop Coefficient | m | 0 to 0.8 × 10−3 rad/W |
| Droop Coefficient | n | 0 to 0.5 × 10−3 rad |
| Coefficient | GP | 0 to 5.6 × 10−3 |
| Coefficient | Gi | 0 to 3.9 × 10−3 |
| Project | Symbol | Simulation Parameters | Experimental Parameters |
|---|---|---|---|
| Line impedance | R1 + jX1 | 0.2 + j2 Ω | 0.2 + j1.0 Ω |
| Line impedance | R2 + jX2 | 0.4 + j4 Ω | 0.4 + j2.0 Ω |
| Rated frequency | fref | 50 Hz | 50 Hz |
| LBESS voltage | Vdc | 230 V | 200 V |
| LBESS1 pack rated capacity | Qrated1 | 200 Ah | 40 Ah |
| LBESS2 pack rated capacity | Qrated2 | 200 Ah | 40 Ah |
| Droop coefficient | m | 0.36 × 10−3 rad/W | 0.12 × 10−3 rad/W |
| Droop coefficient | n | 0.178 × 10−3 rad | 0.227 × 10−3 rad |
| Proportionality coefficient | kp | 1.2 | 0.45 |
| Integral coefficient | ki | 0.54 | 0.17 |
| DOD coefficient | a | 694 | 694 |
| DOD coefficient | b | 0.795 | 0.795 |
| LBESS cumulative cycle | Calc | 500 | 500 |
| Schemes | SOC Balancing Difference (%) | SOH Balancing Difference (%) | Frequency Offset (Hz) |
|---|---|---|---|
| Traditional P-f droop control | 10.5 | 9.3 | 0.08 |
| SOC balancing scheme based on droop control [9] | 0.9 | 8.5 | 0.12 |
| SOC balancing scheme based on distributed control [26] | 0.8 | 8.1 | 0.0003 |
| SOH balancing scheme based on droop control [27] | 9.8 | 0.9 | 0.05 |
| The proposed scheme | 0.7 | 4.2 | 0.01 |
Disclaimer/Publisher’s Note: The statements, opinions and data contained in all publications are solely those of the individual author(s) and contributor(s) and not of MDPI and/or the editor(s). MDPI and/or the editor(s) disclaim responsibility for any injury to people or property resulting from any ideas, methods, instructions or products referred to in the content. |
© 2025 by the authors. Licensee MDPI, Basel, Switzerland. This article is an open access article distributed under the terms and conditions of the Creative Commons Attribution (CC BY) license.
Share and Cite
Yang, J.; Liu, L.; Wu, Q.; Yu, S.; Fan, Y.; Ma, R. SOC Balancing Scheme of Microgrid Lithium Battery Energy Storage System Considering SOH. Energies 2026, 19, 180. https://doi.org/10.3390/en19010180
Yang J, Liu L, Wu Q, Yu S, Fan Y, Ma R. SOC Balancing Scheme of Microgrid Lithium Battery Energy Storage System Considering SOH. Energies. 2026; 19(1):180. https://doi.org/10.3390/en19010180
Chicago/Turabian StyleYang, Jiebao, Liqun Liu, Qingfeng Wu, Shaojuan Yu, Yamin Fan, and Rui Ma. 2026. "SOC Balancing Scheme of Microgrid Lithium Battery Energy Storage System Considering SOH" Energies 19, no. 1: 180. https://doi.org/10.3390/en19010180
APA StyleYang, J., Liu, L., Wu, Q., Yu, S., Fan, Y., & Ma, R. (2026). SOC Balancing Scheme of Microgrid Lithium Battery Energy Storage System Considering SOH. Energies, 19(1), 180. https://doi.org/10.3390/en19010180

