Optimization of Industrial Park Integrated Energy System Considering Carbon Trading and Supply–Demand Response
Abstract
1. Introduction
1.1. Research Background and Motivation
1.2. Related Work
1.2.1. Integrated Energy Systems and Low-Carbon Technologies
1.2.2. Research on Carbon Trading Mechanisms
1.2.3. Supply–Demand Response Research
1.2.4. Research Gaps and Positioning of This Study
1.3. Research Content and Key Contributions
2. Methodology
2.1. System Model
2.2. Equipment Operation Model
2.2.1. Energy Supply Equipment Model
2.2.2. Energy Conversion Equipment Model
2.2.3. Storage Device Model
2.2.4. P2G–CCS Coupling Mechanism
2.3. Carbon Trading Mechanism
2.3.1. Initial Carbon Emission Allowances
2.3.2. Actual Carbon Emission Model
2.3.3. Tiered Carbon Trading Costs
2.4. Supply–Demand Response Mechanism
2.4.1. Supply-Side Response Model
2.4.2. Demand-Side Response Model
2.5. Operational Optimization Model
2.5.1. Objective Function
2.5.2. Constraints
2.5.3. Generation of Typical Daily Scenarios
2.5.4. Solution Method
3. Case Studies and Discussion
3.1. Case Study and Parameters
3.1.1. Case Study
3.1.2. System Configuration and Parameters
3.2. Results Analysis
3.2.1. Comparative System Analysis
- (1)
- Techno-Economic Performance Comparison
- (2)
- Cost Structure Decomposition Analysis
- (3)
- Seasonal Variation in Marginal Values
3.2.2. Response Characteristics and Cost Analysis for Typical Days
- (1)
- Supply-Side Response Analysis
- (2)
- Demand-Side Response Analysis
- (3)
- Cost Analysis
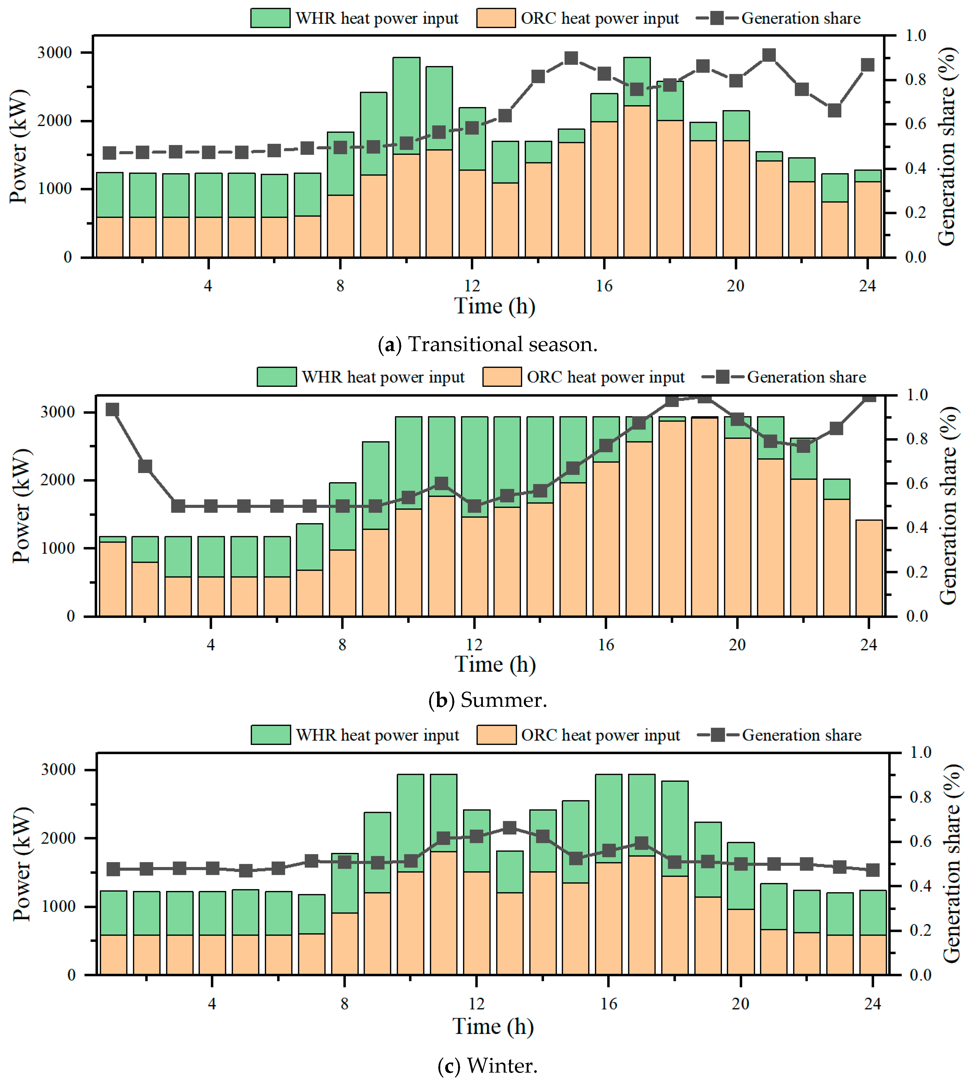
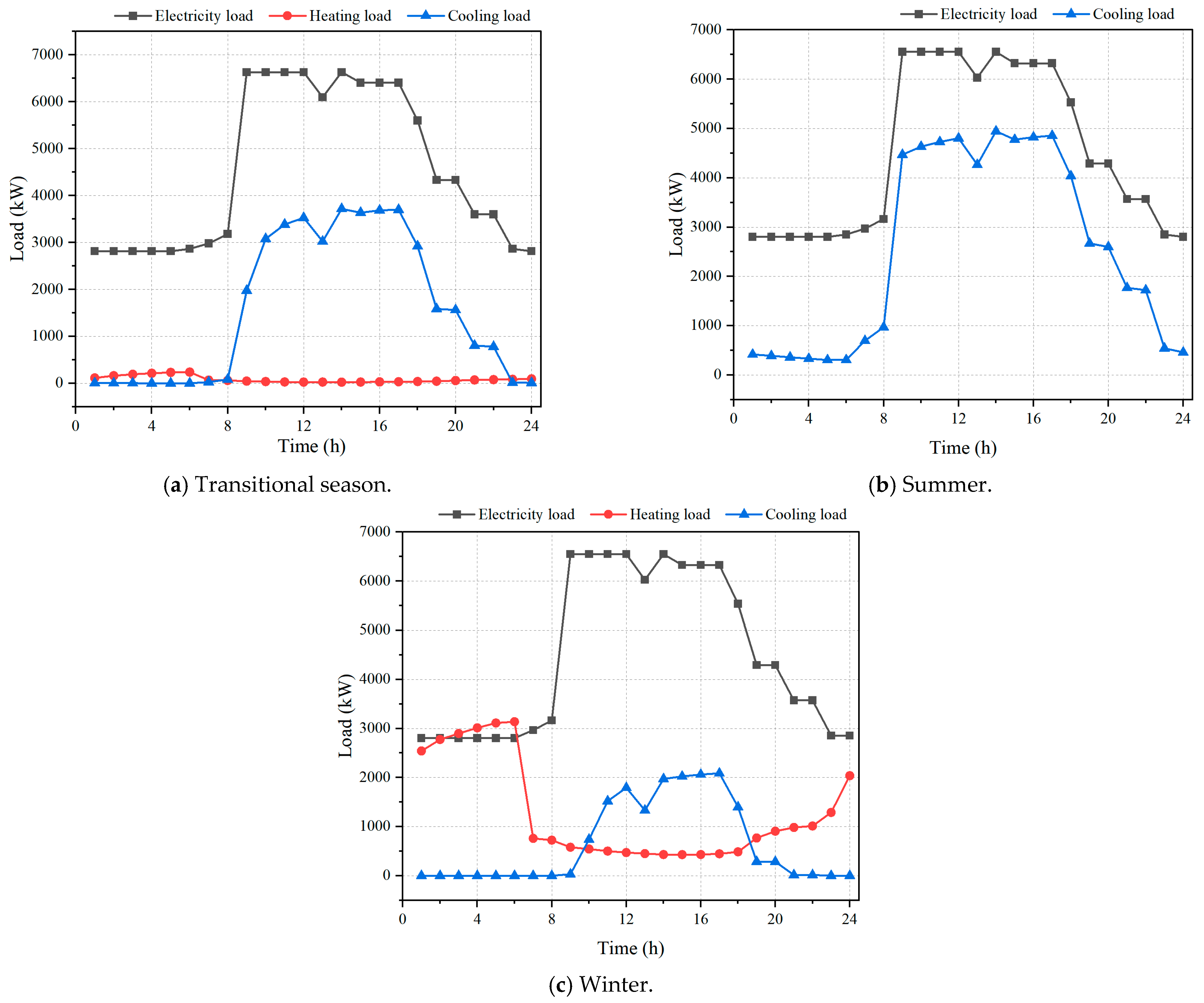
3.2.3. Dynamic Multi-Energy Flow Balance Analysis for Typical Days
- (1)
- Transitional Season Typical Day
- (2)
- Typical Summer Day
- (3)
- Typical Winter Day
3.2.4. Analysis of Carbon Price Impact on Typical Days
- Low-Sensitivity Phase, which primarily relies on adjusting system operation strategies to reduce fossil fuel usage, yielding limited emission reductions.
- Rapid Reduction Phase: The CCS facility’s output significantly increases, capturing large volumes of CO2 emissions, resulting in a rapid decline in carbon emissions.
- Saturation Phase: System equipment outputs stabilize, resulting in essentially unchanged carbon emissions.
4. Conclusions
Author Contributions
Funding
Data Availability Statement
Conflicts of Interest
References
- Irfan, S.; Khan, S.B.; Yang, Z. Revolutionizing energy harvesting: A comprehensive review of thermoelectric devices. Rev. Adv. Mater. Sci. 2024, 63, 20240023. [Google Scholar] [CrossRef]
- Wen, J.; Chang, W.; Shi, P.; Sun, T. In Study on factors analysis low-carbon development in hi-tech industrial park-A case study in China. Adv. Mater. Res. 2013, 610–613, 3149–3153. [Google Scholar] [CrossRef]
- Lan, L.; Zhang, Y.; Zhang, X.; Zhang, X. Price effect of multi-energy system with CCS and P2G and its impact on carbon-gas-electricity sectors. Appl. Energ. 2024, 359, 122713. [Google Scholar] [CrossRef]
- Lei, D.; Zhang, Z.; Wang, Z.; Zhang, L.; Liao, W. Long-term, multi-stage low-carbon planning model of electricity-gas-heat integrated energy system considering ladder-type carbon trading mechanism and CCS. Energy 2023, 280, 128113. [Google Scholar] [CrossRef]
- Yang, J.; Liang, T.; Mi, D.; Jing, Y.; Huang, Z.; Wu, H. Low-carbon optimization scheduling of a CCS-P2G-HFC integrated energy system with 2D-DR under multi-mechanism collaboration. Energy 2025, 336, 138348. [Google Scholar] [CrossRef]
- Niesporek, K.; Kotowicz, J.; Baszczeńska, O. Integration of membrane-based atmospheric CO2 capture with a combined cycle power plant: A novel hybrid CCS/DAC process concept. Energy 2025, 333, 137437. [Google Scholar] [CrossRef]
- Gao, L.; Yang, S.; Chen, N.; Gao, J. Integrated Energy System Dispatch Considering Carbon Trading Mechanisms and Refined Demand Response for Electricity, Heat, and Gas. Energies 2024, 17, 4705. [Google Scholar] [CrossRef]
- Zhao, J.; Song, Y.; Fan, H. Optimization Scheduling of Hydrogen-Integrated Energy Systems Considering Multi-Timescale Carbon Trading Mechanisms. Energies 2025, 18, 1612. [Google Scholar] [CrossRef]
- Liu, J.P.; Zhang, X.B.; Song, X.H. Regional carbon emission evolution mechanism and its prediction approach driven by carbon trading—A case study of Beijing. J. Clean. Prod. 2016, 172, 2793–2810. [Google Scholar] [CrossRef]
- Han, Z.; Ma, F.; Wu, D.; Zhang, H.; Dong, F.; Li, P.; Xiao, L. Collaborative optimization method and operation performances for a novel integrated energy system containing adiabatic compressed air energy storage and organic Rankine cycle. J. Energy Storage 2021, 41, 102942. [Google Scholar] [CrossRef]
- Zhu, Y.; Xu, Y.; Chen, H.; Guo, H.; Zhang, H.; Zhou, X.; Shen, H. Optimal dispatch of a novel integrated energy system combined with multi-output organic Rankine cycle and hybrid energy storage. Appl. Energy 2023, 343, 121113. [Google Scholar] [CrossRef]
- Zheng, W.; Hill, D.J. Distributed Real-Time Dispatch of Integrated Electricity and Heat Systems with Guaranteed Feasibility. IEEE Trans. Ind. Inform. 2022, 18, 1175–1185. [Google Scholar] [CrossRef]
- Yang, G.; Zhai, X.; Zheng, C.; Wang, R. Current situation and development tendency of CCHP systems in China. Huagong Xuebao/Ciesc J. 2015, 66, 1–9. [Google Scholar]
- Li, X.; Zhang, L.; Wang, R.; Sun, B.; Xie, W. Two-Stage Robust Optimization Model for Capacity Configuration of Biogas-Solar-Wind Integrated Energy System. IEEE Trans. Ind. Appl. 2023, 59, 662–675. [Google Scholar] [CrossRef]
- Zhou, J.; Wu, Y.; Zhong, Z.; Xu, C.; Ke, Y.; Gao, J. Modeling and configuration optimization of the natural gas-wind-photovoltaic-hydrogen integrated energy system: A novel deviation satisfaction strategy. Energy Convers. Manag. 2021, 243, 114340. [Google Scholar] [CrossRef]
- Yan, R.; Wang, J.; Huo, S.; Qin, Y.; Zhang, J.; Tang, S.; Wang, Y.; Liu, Y.; Zhou, L. Flexibility improvement and stochastic multi-scenario hybrid optimization for an integrated energy system with high-proportion renewable energy. Energy 2023, 263, 125779. [Google Scholar] [CrossRef]
- He, L.C.; Lu, Z.G.; Zhang, J.F.; Geng, L.J.; Zhao, H.; Li, X.P. Low-carbon economic dispatch for electricity and natural gas systems considering carbon capture systems and power-to-gas. Appl. Energy 2018, 224, 357–370. [Google Scholar] [CrossRef]
- Zhang, X.P.; Bai, Y.K.; Zhang, Y.Z. Collaborative optimization for a multi-energy system considering carbon capture system and power to gas technology. Sustain. Energy Technol. Assess. 2022, 49, 101765. [Google Scholar] [CrossRef]
- Li, X.; Li, T.X.; Liu, L.; Wang, Z.; Li, X.Y.; Huang, J.A.; Huang, J.Q.; Guo, P.F.; Xiong, W. Operation optimization for integrated energy system based on hybrid CSP-CHP considering power-to-gas technology and carbon capture system. J. Clean. Prod. 2023, 391, 136119. [Google Scholar] [CrossRef]
- Lv, W.; Ye, Y.; Cui, T.; Chen, S.; Xu, D.; Yu, W.; Huang, D.; Liu, Z.; Zhu, J.; Li, T.; et al. Sustainable electrified seaports: A coordinated energy and logistics scheduling approach for future maritime hubs. Appl. Energy 2025, 401, 126645. [Google Scholar] [CrossRef]
- Shi, L.; Li, B.; Zhao, H.; Song, M.; Liu, L.; Wang, Y. Economic-environmental equilibrium operation strategy for renewable driven and hydrogen involved multi-energy system considering source-load uncertainties. Energy 2026, 342, 139593. [Google Scholar] [CrossRef]
- Zhang, Z.; Fedorovich, K.S. Distributed robust cooperative optimization of multi-integrated energy systems based on variational inequality-driven non-cooperative game theory. Appl. Energy 2025, 401, 126696. [Google Scholar] [CrossRef]
- Zhao, Z.; Wang, Q.; Cheng, C.; Kang, Y. A scenario-based multi-agent reinforcement learning approach for efficient solving to long-term optimization of cascade hydropower reservoirs. Energy 2025, 340, 139356. [Google Scholar] [CrossRef]
- Li, F.; Hou, H.; Ni, T.; Wang, P.; Wang, Y.; Zhengmao, Z.; Pouresmaeil, E. A novel deep reinforcement learning framework for optimal scheduling of low-carbon integrated energy systems considering battery degradation. Energy 2025, 341, 139476. [Google Scholar] [CrossRef]
- Lin, X.; Li, J.; Zhong, W.; Lin, X.; Wei, W.; Zhang, H. Multi-segment flexibility-based optimization scheduling for integrated energy systems coupled with electric and hydrogen fuel cell vehicles. Appl. Energy 2026, 402, 126957. [Google Scholar] [CrossRef]
- Li, B.; Ampah, J.D.; Li, T.; Zhang, X.; Liu, H.; Feng, H.; Yue, Z.; Hussain Ratlamwala, T.A.; Yao, M. Enhancing renewable energy load forecasting through deep data analysis and feature extraction techniques. Energy 2025, 340, 139036. [Google Scholar] [CrossRef]
- Xiong, L.; Shen, B.; Qi, S.; Price, L.; Ye, B. The allowance mechanism of China’s carbon trading pilots: A comparative analysis with schemes in EU and California. Appl. Energy 2017, 185, 1849–1859. [Google Scholar] [CrossRef]
- Zhang, Y.J.; Wei, Y.M. An overview of current research on EU ETS: Evidence from its operating mechanism and economic effect. Appl. Energy 2010, 87, 1804–1814. [Google Scholar] [CrossRef]
- Huo, S.S.; Li, Q.; Pu, Y.C.; Xie, S.Q.; Chen, W.R. Low carbon dispatch method for hydrogen-containing integrated energy system considering seasonal carbon trading and energy sharing mechanism. Energy 2024, 308, 132794. [Google Scholar] [CrossRef]
- Lin, B.; Huang, C. Analysis of emission reduction effects of carbon trading: Market mechanism or government intervention? Sustain. Prod. Consum. 2022, 33, 28–37. [Google Scholar] [CrossRef]
- Zhang, W.; Zhang, N.; Yu, Y. Carbon mitigation effects and potential cost savings from carbon emissions trading in China’s regional industry. Technol. Forecast. Soc. 2019, 141, 1–11. [Google Scholar]
- Zhang, Y.; Li, S.; Luo, T.; Gao, J. The effect of emission trading policy on carbon emission reduction: Evidence from an integrated study of pilot regions in China. J. Clean. Prod. 2020, 265, 121843. [Google Scholar] [CrossRef]
- Song, M.L.; Zheng, H.Y.; Shen, Z.Y. Whether the carbon emissions trading system improves energy efficiency-Empirical testing based on China?s provincial panel data. Energy 2023, 275, 127465. [Google Scholar]
- Hong, Q.; Cui, L.; Hong, P. The impact of carbon emissions trading on energy efficiency: Evidence from quasi-experiment in China’s carbon emissions trading pilot. Energy Econ. 2022, 110, 106025. [Google Scholar] [CrossRef]
- Parrish, B.; Heptonstall, P.; Gross, R.; Sovacool, B.K. A systematic review of motivations, enablers and barriers for consumer engagement with residential demand response. Energy Policy 2020, 138, 111221. [Google Scholar] [CrossRef]
- Lu, R.; Hong, S.H. Incentive-based demand response for smart grid with reinforcement learning and deep neural network. Appl. Energy 2019, 236, 937–949. [Google Scholar] [CrossRef]
- Korkas, C.D.; Baldi, S.; Michailidis, I.; Kosmatopoulos, E.B. Occupancy-based demand response and thermal comfort optimization in microgrids with renewable energy sources and energy storage. Appl. Energy 2016, 163, 93–104. [Google Scholar] [CrossRef]
- Wang, Y.; Li, Y.; Zhang, Y.; Xu, M.; Li, D. Optimized operation of integrated energy systems accounting for synergistic electricity and heat demand response under heat load flexibility. Appl. Therm. Eng. 2024, 243, 122640. [Google Scholar] [CrossRef]
- Li, Y.; Han, M.; Yang, Z.; Li, G. Coordinating flexible demand response and renewable uncertainties for scheduling of community integrated energy systems with an electric vehicle charging station: A Bi-level approach. IEEE Trans. Sustain. Energy 2021, 12, 2321–2331. [Google Scholar] [CrossRef]
- Wang, S.; Wang, S.; Zhao, Q.; Dong, S.; Li, H. Optimal dispatch of integrated energy station considering carbon capture and hydrogen demand. Energy 2023, 269, 126981. [Google Scholar] [CrossRef]
- Wang, L.; Lin, J.; Dong, H.; Wang, Y.; Zeng, M. Demand response comprehensive incentive mechanism-based multi-time scale optimization scheduling for park integrated energy system. Energy 2023, 270, 126893. [Google Scholar] [CrossRef]
- Tian, L.; Zhu, C.; Deng, T. Day-ahead scheduling of SMR integrated energy system considering heat-electric-cold demand coupling response characteristics. Energy Rep. 2022, 8, 13302–13319. [Google Scholar] [CrossRef]
- Mu, H.; Jiang, C.; Wang, H. Capacity allocation optimization for integrated energy system with P2G and CCS. In Proceedings of the SPIE—The International Society for Optical Engineering, Guangzhou, China, 20–22 December 2024. [Google Scholar]





















| Scenario | P2G–CCS | Supply–Demand Response | Carbon Pricing |
|---|---|---|---|
| S0 | No | No | Fixed |
| S1 | Yes | No | Fixed |
| S2 | No | Yes | Fixed |
| S3 | Yes | Yes | Fixed |
| S4 | No | No | Tiered |
| S5 | Yes | Yes | Tiered |
| Category | Parameter | Value |
|---|---|---|
| Carbon trading benchmark price | χ (CNY/t) | 200 |
| Price growth factor | θ | 0.25 |
| Compensation factor | δ | 0.20 |
| Interval length | L (kg) | 300 |
| Gas turbine power generation benchmark | βCH4,e (tCO2/MWh) | 0.3288 |
| Gas turbine heating benchmark value | βCH4,h (tCO2/GJ) | 0.0533 |
| Grid electricity baseline value | βe (tCO2/MWh) | 0.5801 |
| Substitutable–transferable load compensation cost | λp/λc | 0.2 |
| Energy Type | Time | Price |
|---|---|---|
| Electricity price (CNY/kWh) | 8:00–11:00 4:00 P.M.–9:00 P.M. | 1.1234 |
| 11:00–16:00 9:00 P.M.–11:00 P.M. | 0.7489 | |
| 11:00 P.M.–8:00 A.M. | 0.3745 | |
| Natural gas purchase price (CNY/m3) | 1:00 A.M.–12:00 A.M. | 3.30 |
| Equipment | Parameter | Value |
|---|---|---|
| P2G | ηP2G | 0.80 |
| Hh(kJ/mol) | 282 | |
| CCS | λCO2 (kWh/m3) | 0.30 |
| rcon (CNY/m3) | 0.10 | |
| Photovoltaic | α | −0.50 |
| τβ | 0.90 | |
| Wind turbine | wi (m/s) | 3.50 |
| wr (m/s) | 12.00 | |
| wf (m/s) | 25.00 | |
| Gas turbine | ηmt | 0.33 |
| Gas boiler | ηb | 0.90 |
| WHR unit | ηhr | 0.80 |
| Absorption chiller | CCOP,ac | 0.80 |
| Electric refrigeration unit | CCOP,ec | 4.00 |
| Battery | θbt | 0.001 |
| ηe,c | 0.95 | |
| ηe,d | 0.95 | |
| Thermal storage tank | θhs | 0.005 |
| ηhs,c | 0.90 | |
| ηhs,d | 0.90 | |
| Carbon storage unit | θCO2 | 0.005 |
| ηCO2,c | 0.90 | |
| ηCO2,d | 0.90 |
| Scenario | Total Cost (CNY) | Cost Reduction vs. S0 | Carbon Emissions (t) | Emission Reduction vs. S0 | RE Utilization (%) |
|---|---|---|---|---|---|
| S0 | 28,412.17 | - | 13.07 | - | 99.63 |
| S1 | 24,090.17 | 15.2% | 6.62 | 49.3% | 100.00 |
| S2 | 27,405.15 | 3.5% | 12.34 | 5.6% | 99.88 |
| S3 | 25,948.72 | 8.7% | 3.07 | 76.5% | 100.00 |
| S4 | 28,412.17 | 0% | 13.07 | 0% | 99.63 |
| S5 | 25,576.80 | 10.0% | 1.98 | 84.9% | 100.00 |
| Season | Metric | P2G–CCS (S1 vs. S0) | SDR (S2 vs. S0) | Tiered Pricing (S5 vs. S3) |
|---|---|---|---|---|
| Transitional | Cost reduction (CNY) | 4322.00 (15.2%) | 1007.02 (3.5%) | −371.92 (−1.4%) |
| Emission reduction (t) | 6.45 (49.3%) | 0.73 (5.6%) | −1.09 (−35.5%) | |
| Summer | Cost reduction (CNY) | 1294.54 (3.2%) | 530.73 (1.3%) | −373.68 (−0.9%) |
| Emission reduction (t) | 2.04 (9.5%) | 0.44 (2.0%) | −7.15 (−44.7%) | |
| Winter | Cost reduction (CNY) | 4070.54 (10.6%) | 1463.91 (3.8%) | −380.05 (−1.1%) |
| Emission reduction (t) | 11.00 (59.6%) | 1.22 (6.6%) | −2.90 (−46.3%) |
| Cost | Unit | Transitional Season | Summer | Winter |
|---|---|---|---|---|
| Total Cost | CNY | 25,575.27 | 39,643.63 | 34,763.56 |
| Energy Procurement Cost | CNY | 22,777.11 | 37,174.70 | 31,865.88 |
| Carbon Trading Costs | CNY | −2071.61 | −2530.72 | −2328.07 |
| Carbon Sequestration and Purchase Costs | CNY | 506.96 | 678.53 | 688.12 |
| Demand Response Compensation Cost | CNY | 649.76 | 841.78 | 787.13 |
| Energy Curtailment Costs | CNY | 0 | 0 | 0 |
| Operational Maintenance Cost | CNY | 3713.05 | 3479.36 | 3750.49 |
Disclaimer/Publisher’s Note: The statements, opinions and data contained in all publications are solely those of the individual author(s) and contributor(s) and not of MDPI and/or the editor(s). MDPI and/or the editor(s) disclaim responsibility for any injury to people or property resulting from any ideas, methods, instructions or products referred to in the content. |
© 2025 by the authors. Licensee MDPI, Basel, Switzerland. This article is an open access article distributed under the terms and conditions of the Creative Commons Attribution (CC BY) license.
Share and Cite
Zhao, X.; Li, N.; Mu, H.; Jiang, C. Optimization of Industrial Park Integrated Energy System Considering Carbon Trading and Supply–Demand Response. Energies 2026, 19, 117. https://doi.org/10.3390/en19010117
Zhao X, Li N, Mu H, Jiang C. Optimization of Industrial Park Integrated Energy System Considering Carbon Trading and Supply–Demand Response. Energies. 2026; 19(1):117. https://doi.org/10.3390/en19010117
Chicago/Turabian StyleZhao, Xunwen, Nan Li, Hailin Mu, and Chengwei Jiang. 2026. "Optimization of Industrial Park Integrated Energy System Considering Carbon Trading and Supply–Demand Response" Energies 19, no. 1: 117. https://doi.org/10.3390/en19010117
APA StyleZhao, X., Li, N., Mu, H., & Jiang, C. (2026). Optimization of Industrial Park Integrated Energy System Considering Carbon Trading and Supply–Demand Response. Energies, 19(1), 117. https://doi.org/10.3390/en19010117

