Coupling Effects of Microstructure Characteristics on Stress Distribution for Pore-Scale Gas Diffusion Layers
Abstract
1. Introduction
2. Numerical Methods
2.1. Stochastic Reconstruction
2.2. Explicit Dynamics Method
2.3. Orthogonal Design Method
3. Results and Discussion
3.1. Model Description
3.2. Stress Distribution with CR = 10%
3.3. Stress Distribution with CR = 20%
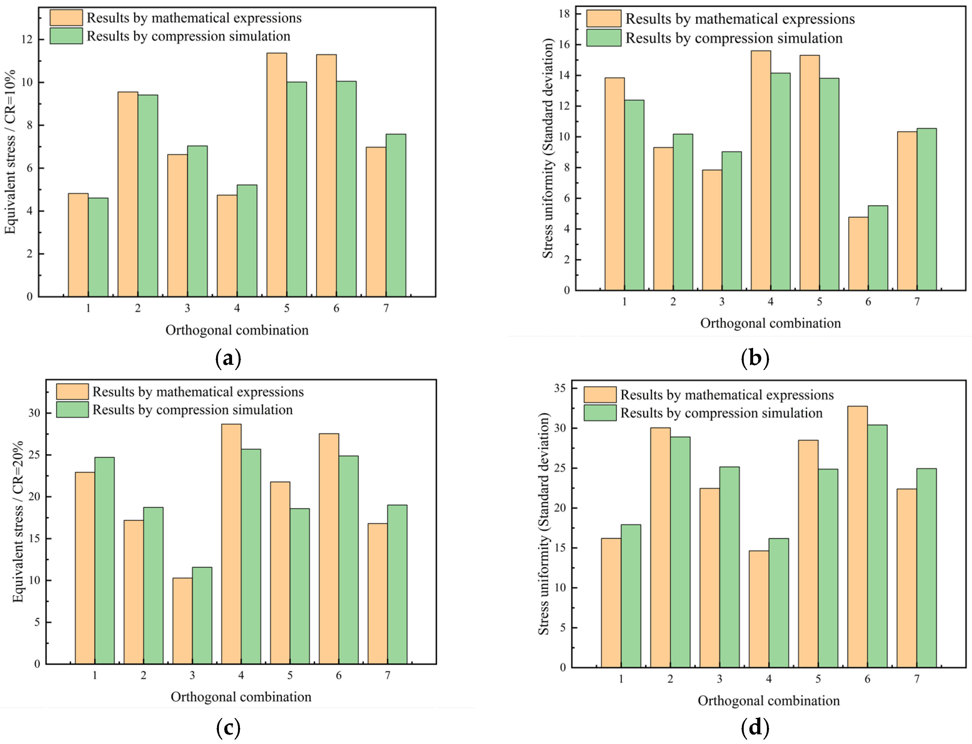
3.4. Mathematical Prediction Using Regression Orthogonal Design Method
4. Conclusions
- (1)
- With the increases in fiber diameter, fiber orientation coefficient, and GDL thickness, the stress-bearing capacity and distribution uniformity of GDLs were significantly enhanced, while the increase in porosity counteracted this trend.
- (2)
- Among all the microstructural characteristics examined, the carbon fiber diameter and porosity have a particularly significant impact on the mechanical properties of GDLs, outweighing the influence of other factors. From the results, it can be seen that when designing the GDL, one should avoid the phenomena of high average stress caused by too low porosity and non-uniform stress distribution caused by an excessively large carbon fiber diameter.
- (3)
- A significant reduction of 292% was achieved in optimal average stress, and a substantial improvement of 278% was made in stress uniformity.
- (4)
- The mathematical expressions are capable of providing an accurate and rapid evaluation of stress distribution for GDLs by considering the coupled effect of various microstructure characteristics simultaneously.
Author Contributions
Funding
Data Availability Statement
Conflicts of Interest
References
- Majlan, E.H.; Rohendi, D.; Daud, W.R.W.; Husaini, T.; Haque, M.A. Electrode for proton exchange membrane fuel cells: A review. Renew. Sustain. Energy Rev. 2018, 89, 117–134. [Google Scholar] [CrossRef]
- Zhang, Q.; Lin, R.; Técher, L.; Cui, X. Experimental study of variable operating parameters effects on overall PEMFC performance and spatial performance distribution. Energy 2016, 115, 550–560. [Google Scholar] [CrossRef]
- Lin, J.-H.; Chen, W.-H.; Su, Y.-J.; Ko, T.-H. Effect of gas diffusion layer compression on the performance in a proton exchange membrane fuel cell. Fuel 2008, 87, 2420–2424. [Google Scholar] [CrossRef]
- Wilberforce, T.; Ijaodola, O.; Khatib, F.N.; Ogungbemi, E.O.; El Hassan, Z.; Thompson, J.; Olabi, A.G. Effect of humidification of reactive gases on the performance of a proton exchange membrane fuel cell. Sci. Total Environ. 2019, 688, 1016–1035. [Google Scholar] [CrossRef]
- Kurnia, J.C.; Sasmito, A.P.; Shamim, T. Performance evaluation of a PEM fuel cell stack with variable inlet flows under simulated driving cycle conditions. Appl. Energy 2017, 206, 751–764. [Google Scholar] [CrossRef]
- Ge, J.; Higier, A.; Liu, H. Effect of gas diffusion layer compression on PEM fuel cell performance. J. Power Sources 2006, 159, 922–927. [Google Scholar] [CrossRef]
- Zhang, Z.; He, P.; Dai, Y.-J.; Jin, P.-H.; Tao, W.-Q. Study of the mechanical behavior of paper-type GDL in PEMFC based on microstructure morphology. Int. J. Hydrogen Energy 2020, 45, 29379–29394. [Google Scholar] [CrossRef]
- Sassin, M.B.; Garsany, Y.; Gould, B.D.; Swider-Lyons, K. Impact of Compressive Stress on MEA Pore Structure and Its Consequence on PEMFC Performance. J. Electrochem. Soc. 2016, 163, F808–F815. [Google Scholar] [CrossRef]
- Chang, W.R.; Hwang, J.J.; Weng, F.B.; Chan, S.H. Effect of clamping pressure on the performance of a PEM fuel cell. J. Power Sources 2007, 166, 149–154. [Google Scholar] [CrossRef]
- Xiao, L.; Bian, M.; Yin, Z.; Wen, X.; Zhao, C.; Sui, P.-C.; Yuan, J.; Zhang, H. Combined effects of microstructural characteristics on anisotropic transport properties of gas diffusion layers for PEMFCs. Int. J. Hydrogen Energy 2022, 47, 37978–37989. [Google Scholar] [CrossRef]
- Zenyuk, I.V.; Parkinson, D.Y.; Connolly, L.G.; Weber, A.Z. Gas-diffusion-layer structural properties under compression via X-ray tomography. J. Power Sources 2016, 328, 364–376. [Google Scholar] [CrossRef]
- Xiao, L.; Yin, Z.; Bian, M.; Bevilacqua, N.; Zeis, R.; Yuan, J.; Sui, P.-C. Microstructure reconstruction using fiber tracking technique and pore-scale simulations of heterogeneous gas diffusion layer. Int. J. Hydrogen Energy 2022, 47, 20218–20231. [Google Scholar] [CrossRef]
- Simaafrookhteh, S.; Shakeri, M.; Baniassadi, M.; Sahraei, A.A. Microstructure Reconstruction and Characterization of the Porous GDLs for PEMFC Based on Fibers Orientation Distribution. Fuel Cells 2018, 18, 160–172. [Google Scholar] [CrossRef]
- Ozden, A.; Shahgaldi, S.; Li, X.; Hamdullahpur, F. A review of gas diffusion layers for proton exchange membrane fuel cells—With a focus on characteristics, characterization techniques, materials and designs. Prog. Energy Combust. Sci. 2019, 74, 50–102. [Google Scholar] [CrossRef]
- Park, J.; Oh, H.; Ha, T.; Lee, Y.I.; Min, K. A review of the gas diffusion layer in proton exchange membrane fuel cells: Durability and degradation. Appl. Energy 2015, 155, 866–880. [Google Scholar] [CrossRef]
- Escribano, S.; Blachot, J.-F.; Ethève, J.; Morin, A.; Mosdale, R. Characterization of PEMFCs gas diffusion layers properties. J. Power Sources 2006, 156, 8–13. [Google Scholar] [CrossRef]
- Zhang, J.; Hu, Y.; Han, C.; Zhang, H. Stress response and contact behavior of PEMFC during the assembly and working condition. Int. J. Hydrogen Energy 2021, 46, 30467–30478. [Google Scholar] [CrossRef]
- Andisheh-Tadbir, M.; Orfino, F.P.; Kjeang, E. Three-dimensional phase segregation of micro-porous layers for fuel cells by nano-scale X-ray computed tomography. J. Power Sources 2016, 310, 61–69. [Google Scholar] [CrossRef]
- Xiao, L.; Luo, M.; Zhu, L.; Duan, K.; Bevilacqua, N.; Eifert, L.; Zeis, R.; Sui, P.-C. Pore-Scale Characterization and Simulation of Porous Electrode Material for Vanadium Redox Flow Battery: Effects of Compression on Transport Properties. J. Electrochem. Soc. 2020, 167, 110545. [Google Scholar] [CrossRef]
- Tötzke, C.; Gaiselmann, G.; Osenberg, M.; Bohner, J.; Arlt, T.; Markötter, H.; Hilger, A.; Wieder, F.; Kupsch, A.; Müller, B.R.; et al. Three-dimensional study of compressed gas diffusion layers using synchrotron X-ray imaging. J. Power Sources 2014, 253, 123–131. [Google Scholar] [CrossRef]
- James, J.P.; Choi, H.W.; Pharoah, J.G. X-ray computed tomography reconstruction and analysis of polymer electrolyte membrane fuel cell porous transport layers. Int. J. Hydrogen Energy 2012, 37, 18216–18230. [Google Scholar] [CrossRef]
- Kotaka, T.; Tabuchi, Y.; Mukherjee, P.P. Microstructural analysis of mass transport phenomena in gas diffusion media for high current density operation in PEM fuel cells. J. Power Sources 2015, 280, 231–239. [Google Scholar] [CrossRef]
- Banerjee, R.; Hinebaugh, J.; Liu, H.; Yip, R.; Ge, N.; Bazylak, A. Heterogeneous porosity distributions of polymer electrolyte membrane fuel cell gas diffusion layer materials with rib-channel compression. Int. J. Hydrogen Energy 2016, 41, 14885–14896. [Google Scholar] [CrossRef]
- Xiao, L.; Bian, M.; Zhu, L.; Duan, K.; Leng, W.; Zeis, R.; Sui, P.-C.; Zhang, H. High-density and low-density gas diffusion layers for proton exchange membrane fuel cells: Comparison of mechanical and transport properties. Int. J. Hydrogen Energy 2022, 47, 22532–22544. [Google Scholar] [CrossRef]
- Espinoza, M.; Andersson, M.; Yuan, J.; Sundén, B. Compress effects on porosity, gas-phase tortuosity, and gas permeability in a simulated PEM gas diffusion layer. Int. J. Energy Res. 2015, 39, 1528–1536. [Google Scholar] [CrossRef]
- Schulz, V.P.; Becker, J.; Wiegmann, A.; Mukherjee, P.P.; Wangb, C.-Y. Modeling of two-phase behavior in the gas diffusion medium of PEFCs via full morphology approach. J. Electrochem. Soc. 2007, 154, B419–B426. [Google Scholar] [CrossRef]
- Gaiselmann, G.; Tötzke, C.; Manke, I.; Lehnert, W.; Schmidt, V. 3D microstructure modeling of compressed fiber-based materials. J. Power Sources 2014, 257, 52–64. [Google Scholar] [CrossRef]
- Froning, D.; Brinkmann, J.; Reimer, U.; Schmidt, V.; Lehnert, W.; Stolten, D. 3D analysis, modeling and simulation of transport processes in compressed fibrous microstructures, using the Lattice Boltzmann method. Electrochim. Acta 2013, 110, 325–334. [Google Scholar] [CrossRef]
- Xiao, L.; Luo, M.; Zhang, H.; Zeis, R.; Sui, P.-C. Solid Mechanics Simulation of Reconstructed Gas Diffusion Layers for PEMFCs. J. Electrochem. Soc. 2019, 166, F377–F385. [Google Scholar] [CrossRef]
- Xia, S.; Lin, R.; Cui, X.; Shan, J. The application of orthogonal test method in the parameters optimization of PEMFC under steady working condition. Int. J. Hydrogen Energy 2016, 41, 11380–11390. [Google Scholar] [CrossRef]
- Wang, B.; Lin, R.; Liu, D.; Xu, J.; Feng, B. Investigation of the effect of humidity at both electrode on the performance of PEMFC using orthogonal test method. Int. J. Hydrogen Energy 2019, 44, 13737–13743. [Google Scholar] [CrossRef]
- Lin, R.; Diao, X.; Ma, T.; Tang, S.; Chen, L.; Liu, D. Optimized microporous layer for improving polymer exchange membrane fuel cell performance using orthogonal test design. Appl. Energy 2019, 254, 113714. [Google Scholar] [CrossRef]
- Liu, D.; Xia, S.; Tang, H.; Zhong, D.; Wang, B.; Cai, X.; Lin, R. Parameter optimization of PEMFC stack under steady working condition using orthogonal experimental design. Int. J. Energy Res. 2018, 43, 2571–2582. [Google Scholar] [CrossRef]
- Xiao, L.; Bian, M.; Sun, Y.; Yuan, J.; Wen, X. Transport properties evaluation of pore-scale GDLs for PEMFC using orthogonal design method. Appl. Energy 2024, 357, 122445. [Google Scholar] [CrossRef]
- Anyanwu, I.S.; Niu, Z.; Jiao, D.; Najmi, A.-U.-H.; Liu, Z.; Jiao, K. Liquid Water Transport Behavior at GDL-Channel Interface of a Wave-Like Channel. Energies 2020, 13, 2726. [Google Scholar] [CrossRef]
- Zhou, X.; Niu, Z.; Li, Y.; Sun, X.; Du, Q.; Xuan, J.; Jiao, K. Investigation of two-phase flow in the compressed gas diffusion layer microstructures. Int. J. Hydrogen Energy 2019, 44, 26498–26516. [Google Scholar] [CrossRef]
- Wang, H.; Yang, G.; Li, S.; Shen, Q.; Liao, J.; Jiang, Z.; Zhang, G.; Zhang, H.; Su, F. Effect of Binder and Compression on the Transport Parameters of a Multilayer Gas Diffusion Layer. Energy Fuels 2021, 35, 15058–15073. [Google Scholar] [CrossRef]
- Gao, Y.; Jin, T.; Wu, X.; Zhang, T. The Effect of Fiber Orientation on Stochastic Reconstruction and Permeability of a Carbon Paper Gas Diffusion Layer. Energies 2019, 12, 2808. [Google Scholar] [CrossRef]
- Chen, W.; Jiang, F. Impact of PTFE content and distribution on liquid–gas flow in PEMFC carbon paper gas distribution layer: 3D lattice Boltzmann simulations. Int. J. Hydrogen Energy 2016, 41, 8550–8562. [Google Scholar] [CrossRef]
- Yiotis, A.G.; Kainourgiakis, M.E.; Charalambopoulou, G.C.; Stubos, A.K. Microscale characterisation of stochastically reconstructed carbon fiber-based Gas Diffusion Layers; effects of anisotropy and resin content. J. Power Sources 2016, 320, 153–167. [Google Scholar] [CrossRef]
- Zhou, Y.; Lin, G.; Shih, A.J.; Hu, S.J. Assembly pressure and membrane swelling in PEM fuel cells. J. Power Sources 2009, 192, 544–551. [Google Scholar] [CrossRef]
- Radhakrishnan, V.; Haridoss, P. Effect of cyclic compression on structure and properties of a Gas Diffusion Layer used in PEM fuel cells. Int. J. Hydrogen Energy 2010, 35, 11107–11118. [Google Scholar] [CrossRef]
- Li, Y.; She, L.; Wen, L.; Zhang, Q. Sensitivity analysis of drilling parameters in rock rotary drilling process based on orthogonal test method. Eng. Geol. 2020, 270, 105576. [Google Scholar] [CrossRef]
- Li, X.; Hao, J. Orthogonal test design for optimization of synthesis of super early strength anchoring material. Constr. Build. Mater. 2018, 181, 42–48. [Google Scholar] [CrossRef]
- Luo, J.; Shao, X.; Cao, J.; Xiong, M.; Fan, W. Transverse bending behavior of the steel-UHPC lightweight composite deck: Orthogonal test and analysis. J. Constr. Steel Res. 2019, 162, 105708. [Google Scholar] [CrossRef]
- Hu, C.-B.; Zhang, X.-B. Influence of multiple structural parameters on interior ballistics based on orthogonal test methods. Def. Technol. 2019, 15, 690–697. [Google Scholar] [CrossRef]
- Gao, X.; Zhang, Y.; Zhang, H.; Wu, Q. Effects of Machine Tool Configuration on Its Dynamics Based on Orthogonal Experiment Method. Chin. J. Aeronaut. 2012, 25, 285–291. [Google Scholar] [CrossRef]
- Zhou, Y.; Jiao, K.; Du, Q.; Yin, Y.; Li, X. Gas diffusion layer deformation and its effect on the transport characteristics and performance of proton exchange membrane fuel cell. Int. J. Hydrogen Energy 2013, 38, 12891–12903. [Google Scholar] [CrossRef]
- Zhou, P.; Wu, C.W. Numerical study on the compression effect of gas diffusion layer on PEMFC performance. J. Power Sources 2007, 170, 93–100. [Google Scholar] [CrossRef]
- Liu, D.; Peng, L.; Lai, X. Effect of dimensional error of metallic bipolar plate on the GDL pressure distribution in the PEM fuel cell. Int. J. Hydrogen Energy 2009, 34, 990–997. [Google Scholar] [CrossRef]
- Li, D.; Wang, H.; Wang, X. Effect of microstructure on the modulus of PAN-based carbon fibers during high temperature treatment and hot stretching graphitization. J. Mater. Sci. 2007, 42, 4642–4649. [Google Scholar] [CrossRef]
- Fadzillah, D.M.; Rosli, M.I.; Talib, M.Z.M.; Kamarudin, S.K.; Daud, W.R.W. Review on microstructure modelling of a gas diffusion layer for proton exchange membrane fuel cells. Renew. Sustain. Energy Rev. 2017, 77, 1001–1009. [Google Scholar] [CrossRef]








| Materials | Frictional Coefficient | Young’s Modulus [Pa] | Poisson’s Ratio | Density [g/cm3] |
|---|---|---|---|---|
| Fiber | 0.1 | 6.5 × 109 | 0.256 | 1.76 |
| CFD | |||
|---|---|---|---|
| A/μm | B | C | D/μm |
| 6 | 70% | 1 | 180 |
| 8 | 75% | 2 | 210 |
| 10 | 80% | 3 | 240 |
| Case Number | CFD | Average Stress | Stress Uniformity (Standard Deviation) | Average Stress | Stress Uniformity (Standard Deviation) | |||
|---|---|---|---|---|---|---|---|---|
| (CR = 10%) | (CR = 20%) | |||||||
| A/μm | B | C | D/μm | MPa | (CR = 10%) | MPa | (CR = 20%) | |
| 1 | 6 | 70% | 1 | 180 | 3.6591 | 4.9924 | 10.1553 | 12.822 |
| 2 | 6 | 75% | 3 | 210 | 4.6068 | 6.2407 | 14.2400 | 17.9117 |
| 3 | 6 | 80% | 2 | 240 | 4.9185 | 8.6467 | 10.0229 | 13.5792 |
| 4 | 8 | 70% | 3 | 240 | 9.4166 | 12.3848 | 24.7141 | 28.9013 |
| 5 | 8 | 75% | 2 | 180 | 7.0398 | 10.1779 | 18.7372 | 25.1538 |
| 6 | 8 | 80% | 1 | 210 | 5.2171 | 9.0287 | 11.5816 | 16.1833 |
| 7 | 10 | 70% | 2 | 210 | 10.0181 | 14.1499 | 25.6844 | 32.1245 |
| 8 | 10 | 75% | 1 | 240 | 7.9601 | 11.5633 | 18.5906 | 24.8747 |
| 9 | 10 | 80% | 3 | 180 | 4.9489 | 8.3606 | 10.2428 | 16.6604 |
| Factors | ||||
|---|---|---|---|---|
| x1 | x2 | x3 | x4 | |
| range | 6–10 | 70–80% | 1–3 | 180–240 |
| Normative Variables | ||||
|---|---|---|---|---|
| Highest level (1) | 10 | 80% | 3 | 240 |
| Lowest level (−1) | 6 | 70% | 2 | 180 |
| Zero level (0) | 8 | 75% | 1 | 210 |
| Variation interval | 2 | 5% | 1 | 30 |
| Case | CFD | Average Stress | Stress Uniformity (Standard Deviation) | Average Stress | Stress Uniformity (Standard Deviation) | |||
|---|---|---|---|---|---|---|---|---|
| CR = 10% | CR = 20% | |||||||
| Z1 | Z2 | Z3 | Z4 | MPa | CR = 10% | MPa | CR = 20% | |
| 1 | 1 | 1 | 1 | 1 | 5.9386 | 10.2494 | 11.2592 | 17.0573 |
| 2 | 1 | −1 | 1 | −1 | 9.8824 | 13.8092 | 25.9076 | 32.184 |
| 3 | 1 | −1 | −1 | 1 | 10.0523 | 13.859 | 24.8842 | 30.4059 |
| 4 | −1 | 1 | 1 | −1 | 3.5766 | 5.5163 | 8.7771 | 11.8487 |
| 5 | −1 | 1 | −1 | 1 | 3.1798 | 6.3442 | 6.3735 | 8.957 |
| 6 | −1 | −1 | −1 | −1 | 3.6591 | 4.9924 | 10.1553 | 12.822 |
| 7 | 0 | 0 | 0 | 0 | 7.5863 | 10.5464 | 19.0160 | 24.9429 |
| 8 | 0 | 0 | 0 | 0 | 7.5863 | 10.5464 | 19.0160 | 24.9429 |
| 9 | 0 | 0 | 0 | 0 | 7.5863 | 10.5464 | 19.0160 | 24.9429 |
Disclaimer/Publisher’s Note: The statements, opinions and data contained in all publications are solely those of the individual author(s) and contributor(s) and not of MDPI and/or the editor(s). MDPI and/or the editor(s) disclaim responsibility for any injury to people or property resulting from any ideas, methods, instructions or products referred to in the content. |
© 2025 by the authors. Licensee MDPI, Basel, Switzerland. This article is an open access article distributed under the terms and conditions of the Creative Commons Attribution (CC BY) license (https://creativecommons.org/licenses/by/4.0/).
Share and Cite
Sun, Y.; Du, P.; Bian, M.; Miao, H.; Hu, H.; Xiao, L. Coupling Effects of Microstructure Characteristics on Stress Distribution for Pore-Scale Gas Diffusion Layers. Energies 2025, 18, 1561. https://doi.org/10.3390/en18071561
Sun Y, Du P, Bian M, Miao H, Hu H, Xiao L. Coupling Effects of Microstructure Characteristics on Stress Distribution for Pore-Scale Gas Diffusion Layers. Energies. 2025; 18(7):1561. https://doi.org/10.3390/en18071561
Chicago/Turabian StyleSun, Yushuai, Pinliang Du, Miaoqi Bian, He Miao, Hao Hu, and Liusheng Xiao. 2025. "Coupling Effects of Microstructure Characteristics on Stress Distribution for Pore-Scale Gas Diffusion Layers" Energies 18, no. 7: 1561. https://doi.org/10.3390/en18071561
APA StyleSun, Y., Du, P., Bian, M., Miao, H., Hu, H., & Xiao, L. (2025). Coupling Effects of Microstructure Characteristics on Stress Distribution for Pore-Scale Gas Diffusion Layers. Energies, 18(7), 1561. https://doi.org/10.3390/en18071561

